FIJA EMPRESAS ADJUDICATARIAS DE LA CONSTRUCCIÓN Y EJECUCIÓN DE LAS OBRAS DE AMPLIACIÓN DE LOS SISTEMAS DE TRANSMISIÓN NACIONAL Y ZONAL, CONTEMPLADAS EN LOS DECRETOS EXENTOS N° 171 DE 2020 Y N° 185 DE 2021, AMBOS DEL MINISTERIO DE ENERGÍA
Núm. 13 T.- Santiago, 20 de septiembre de 2022.
Vistos:
Lo dispuesto en los artículos 32 N° 6 y 35 del decreto supremo Nº 100, de 2005, del Ministerio Secretaría General de la Presidencia, que fija el texto refundido, coordinado y sistematizado de la Constitución Política de la República; en el decreto ley Nº 2.224, de 1978, del Ministerio de Minería, que crea el Ministerio de Energía y la Comisión Nacional de Energía; en el decreto con fuerza de ley Nº 4/20.018, de 2006, del Ministerio de Economía, Fomento y Reconstrucción, que fija texto refundido, coordinado y sistematizado del decreto con fuerza de ley Nº 1, de Minería, de 1982, Ley General de Servicios Eléctricos, en materia de energía eléctrica, y sus modificaciones posteriores, en adelante la "Ley"; en el decreto supremo Nº 10, de 2019, del Ministerio de Energía, que aprueba reglamento de calificación, valorización, tarificación y remuneración de las instalaciones de transmisión; en el decreto exento Nº 171, de 2020, del Ministerio de Energía, que fija obras de ampliación de los sistemas de transmisión nacional y zonal que deben iniciar su proceso de licitación en los doce meses siguientes, correspondientes al Plan de Expansión del año 2019, rectificado por el decreto exento Nº 51, de 2021, del Ministerio de Energía, en adelante el "Decreto Exento Nº 171"; en el decreto exento Nº 185, de 2021, del Ministerio de Energía, que fija obras de ampliación de los sistemas de transmisión nacional y zonal que deben iniciar su proceso de licitación en los doce meses siguientes, correspondientes al Plan de Expansión del año 2020, en adelante el "Decreto Exento Nº 185"; en el decreto exento Nº 229, de 2021, del Ministerio de Energía, que fija obras nuevas de los sistemas de transmisión nacional y zonal que deben iniciar su proceso de licitación o estudio de franja, según corresponda, en los doce meses siguientes, correspondientes al Plan de Expansión del año 2020; en lo informado por el Coordinador Independiente del Sistema Eléctrico Nacional, en adelante el "Coordinador", en su carta DE 03813-22, de 12 de agosto de 2022; en la resolución exenta Nº 637, de 19 de agosto de 2022, de la Comisión Nacional de Energía, en adelante la "Comisión", que aprueba Informe Técnico "Resultado del llamado a Licitación para la Adjudicación de la Construcción y Ejecución de las Obras de Ampliación contempladas en los decretos exentos N° 171 de 2020 y N° 185 de 2021, ambos del Ministerio de Energía", enviada al Ministerio de Energía, en adelante el "Ministerio", mediante el oficio CNE Of. Ord. Nº 544/2022, de fecha 19 de agosto de 2022; y en la resolución Nº 7, de 2019, de la Contraloría General de la República.
Considerando:
1. Que, conforme a lo dispuesto en el inciso primero del artículo 92° de la Ley, mediante el decreto exento Nº 171, de 2020, del Ministerio de Energía, se fijaron las obras de ampliación de los sistemas de transmisión nacional y zonal que deben iniciar su proceso de licitación en los doce meses siguientes, correspondientes al Plan de Expansión del año 2019.
2. Que, asimismo, mediante el decreto exento Nº 185, de 2021, esta Secretaría de Estado fijó las obras de ampliación de los sistemas de transmisión nacional y zonal que deben iniciar su proceso de licitación en los doce meses siguientes, correspondientes al plan de expansión del año 2020.
3. Que, el Coordinador realizó la licitación pública internacional para la adjudicación de la construcción y ejecución de las obras de ampliación fijadas en el decreto exento Nº 171 y en el decreto exento Nº 185.
4. Que, seguidamente y considerando lo dispuesto en el inciso primero del artículo 96° de la Ley, el Coordinador resolvió la referida licitación y adjudicó la construcción y ejecución de las obras de ampliación que se indican en el presente decreto, en conformidad a las respectivas bases de licitación, y procedió a informar a la Comisión sobre la evaluación de los proyectos y su adjudicación mediante su carta DE 03813-22, de 12 de agosto de 2022, habiéndose adjudicado un total de 26 obras.
5. Que, en cumplimiento de lo señalado en el inciso segundo del artículo 96° de la Ley, la Comisión mediante su oficio CNE Of. Ord. Nº 544/2022, de fecha 19 de agosto de 2022, remitió al Ministerio su Resolución exenta Nº 637, de 19 de agosto del mismo año, que aprueba "Informe Técnico Resultado del llamado a Licitación para la Adjudicación de la Construcción y Ejecución de las Obras de Ampliación contempladas en los decretos exentos N° 171 de 2020 y N° 185 de 2021, ambos del Ministerio de Energía".
6. Que, en virtud de lo dispuesto en el artículo 96° de la Ley, esta Secretaría de Estado, mediante decreto expedido bajo la fórmula "Por orden del Presidente de la República", debe fijar las empresas adjudicatarias de la construcción y ejecución de las obras de ampliación que se indican en el numeral 1º del presente decreto, y demás aspectos señalados en dicho artículo.
Decreto:
1º Fíjanse los propietarios, empresas adjudicatarias encargadas de la construcción y ejecución, valor de inversión ("V.I.") adjudicado y plazo máximo para la entrada en operación de las obras de ampliación de los Sistemas de Transmisión Nacional y Zonal correspondientes al Plan de Expansión de los años 2019 y 2020, que se indican a continuación:


En el caso de la obra "Aumento de Capacidad Línea 2x220 kV Encuentro - Kimal", indicada en la fila 2 de la tabla anterior, dado que en dicho proyecto se deben intervenir instalaciones de más de una empresa propietaria, el V.I. adjudicado que se establece en la tabla 1 anterior se ha separado según lo indicado en las Bases de Licitación elaboradas por el Coordinador. A partir de lo anterior, se obtiene, para cada obra y propietario, los valores que se indican en la siguiente tabla:
Los proyectos deberán estar construidos y entrar en operación, a más tardar, dentro de los plazos constructivos indicados en la Tabla 1 anterior, contados desde la publicación del presente decreto en el Diario Oficial. En caso de que el día de entrada en operación de un determinado proyecto de los indicados anteriormente sea un día sábado, domingo o festivo, éste deberá ser prorrogado al primer día hábil siguiente.
2º Fíjanse las características técnicas mínimas de las obras de ampliación señaladas en el numeral anterior.
1. REEMPLAZO EQUIPO DE COMPENSACIÓN REACTIVA EN S/E LAGUNAS (RCER AT)
1.1. Descripción General de la Obra
El proyecto consiste en el reemplazo del banco de condensadores existentes de 60 MVAr en la subestación Lagunas 220 kV por un equipo de compensación estática de reactivos con capacidad de regulación dinámica (CER o STATCOM) de ±100 MVAr, el cual se deberá conectar en configuración doble barra principal más barra de transferencia. A su vez, el proyecto considera el reemplazo y los ajustes de todo el equipamiento asociado a esta obra que se vea sobrepasado en sus características nominales producto del reemplazo.
El proyecto incluye todas las obras, modificaciones y labores necesarias para la ejecución y puesta en servicio de las nuevas instalaciones, tales como adecuaciones en los patios respectivos, adecuación de las protecciones, comunicaciones, SCADA, obras civiles, montaje, malla de puesta a tierra y pruebas de los nuevos equipos.
A su vez, el proyecto contempla todas las tareas, labores y obras necesarias para evitar interrupciones en el suministro a clientes finales, considerando para ello una secuencia constructiva que evite o minimice dichas interrupciones.
Asimismo, el proyecto incluye todas las obras y labores establecidas en las Bases de Licitación elaboradas por el Coordinador y en la Oferta Técnica del adjudicatario.
2. AUMENTO DE CAPACIDAD LÍNEA 2X220 KV ENCUENTRO - KIMAL
2.1. Descripción General de la Obra
El proyecto consiste en el aumento de capacidad de transmisión de la línea 2x220 kV Encuentro - Kimal, de aproximadamente 10 km de longitud. El aumento de capacidad se realizará mediante el cambio del actual conductor ACAR 900 MCM por un conductor con capacidad de transmisión de, al menos, 1.000 MVA por circuito a 35°C con sol.
A su vez, el proyecto considera el reemplazo y los ajustes de todo el equipamiento asociado a esta obra que se vea sobrepasado en sus características nominales producto del aumento de capacidad.
El proyecto incluye todas las obras, modificaciones y labores necesarias para la ejecución y puesta en servicio de las nuevas instalaciones, tales como adecuaciones en los patios respectivos, adecuación de las protecciones, comunicaciones, SCADA, obras civiles, montaje, malla de puesta a tierra y pruebas de los nuevos equipos.
A su vez, el proyecto contempla todas las tareas, labores y obras necesarias para evitar interrupciones en el suministro a clientes finales, considerando para ello una secuencia constructiva que evite o minimice dichas interrupciones.
Asimismo, el proyecto incluye todas las obras y labores establecidas en las Bases de Licitación elaboradas por el Coordinador y en la Oferta Técnica del adjudicatario.
3. AMPLIACIÓN EN S/E CHICUREO (NTR ATMT)
3.1. Descripción General de la Obra
El proyecto consiste en el aumento de capacidad de la subestación Chicureo mediante la instalación de un nuevo transformador 220/23 kV y 50 MVA con Cambiador de Derivación Bajo Carga (CDBC), y sus respectivos paños de conexión en ambos niveles de tensión.
Adicionalmente, el proyecto considera la construcción de una nueva sala de celdas de 23 kV, en configuración barra principal más barra auxiliar, contemplándose la construcción de, al menos, tres (3) celdas para alimentadores, la construcción de tres (3) espacios para celdas de futuros alimentadores, las celdas de conexión del transformador antes mencionadas a la barra principal y a la barra auxiliar, la construcción de una celda para equipos de medida, la construcción de una celda para banco de condensadores, la construcción de una celda de transición para la conexión a la celda de remonte asociada al conjunto de celdas N° 2 y el espacio para una celda acopladora con remonte de barras para interconexión futura.
El proyecto incluye todas las obras, modificaciones y labores necesarias para la ejecución y puesta en servicio de las nuevas instalaciones, tales como adecuaciones en los patios respectivos, adecuación de las protecciones, comunicaciones, SCADA, obras civiles, montaje, malla de puesta a tierra y pruebas de los nuevos equipos.
A su vez, el proyecto contempla todas las tareas, labores y obras necesarias para evitar interrupciones en el suministro a clientes finales, considerando para ello una secuencia constructiva que evite o minimice dichas interrupciones.
Asimismo, el proyecto incluye todas las obras y labores establecidas en las Bases de Licitación elaboradas por el Coordinador y en la Oferta Técnica del adjudicatario.
4. AMPLIACIÓN EN S/E SANTA RAQUEL (NTR ATMT)
4.1. Descripción General de la Obra
El proyecto consiste en el aumento de capacidad de la subestación Santa Raquel mediante la instalación de un nuevo transformador 110/12,5 kV y 50 MVA con Cambiador de Derivación Bajo Carga (CDBC), y sus respectivos paños de conexión en ambos niveles de tensión.
Adicionalmente, el proyecto considera la construcción de una nueva sala de celdas de 12,5 kV, en configuración barra principal y barra auxiliar, contemplándose la construcción de, al menos, cuatro (4) celdas para alimentadores, cuatro (4) espacios para celdas de futuros alimentadores, las celdas de conexión del transformador antes mencionadas a la barra principal y a la barra auxiliar, la construcción de una celda para equipos de medida, la construcción de una celda para banco de condensadores y la construcción de tres celdas de interconexión a las barras de media tensión existentes.
El proyecto incluye todas las obras, modificaciones y labores necesarias para la ejecución y puesta en servicio de las nuevas instalaciones, tales como adecuaciones en los patios respectivos, adecuación de las protecciones, comunicaciones, SCADA, obras civiles, montaje, malla de puesta a tierra y pruebas de los nuevos equipos.
A su vez, el proyecto contempla todas las tareas, labores y obras necesarias para evitar interrupciones en el suministro a clientes finales, considerando para ello una secuencia constructiva que evite o minimice dichas interrupciones.
Asimismo, el proyecto incluye todas las obras y labores establecidas en las Bases de Licitación elaboradas por el Coordinador y en la Oferta Técnica del adjudicatario.
5. AMPLIACIÓN EN S/E PUNTA DE CORTÉS (NTR ATAT)
5.1. Descripción General de la Obra
El proyecto consiste en el aumento de capacidad de la subestación Punta de Cortés, mediante la instalación de un nuevo transformador 220-154/66 kV, de 75 MVA de capacidad con Cambiador de Derivación Bajo Carga (CDBC), y sus respectivos paños de conexión en ambos niveles de tensión. El proyecto contempla completar una media diagonal disponible en el patio de 220 kV energizado en 154 kV que resulta del proyecto "Ampliación en S/E Punta de Cortés para Interconexión de Línea 2x220 kV Punta de Cortés - Tuniche", fijada en el numeral 2.4.6 del artículo primero del decreto exento N° 293, de 2018, del Ministerio de Energía. A su vez, el proyecto considera la ampliación de las barras B1 y B3 e instalaciones comunes en el patio de 66 kV de la subestación Punta de Cortés, cuya configuración corresponde a barra principal seccionada y barra de transferencia, de manera de permitir la conexión del nuevo transformador a ambas secciones mencionadas.
El proyecto incluye todas las obras, modificaciones y labores necesarias para la ejecución y puesta en servicio de las nuevas instalaciones, tales como adecuaciones en los patios respectivos, adecuación de las protecciones, comunicaciones, SCADA, obras civiles, montaje, malla de puesta a tierra y pruebas de los nuevos equipos.
A su vez, el proyecto contempla todas las tareas, labores y obras necesarias para evitar interrupciones en el suministro a clientes finales, considerando para ello una secuencia constructiva que evite o minimice dichas interrupciones.
Asimismo, el proyecto incluye todas las obras y labores establecidas en las Bases de Licitación elaboradas por el Coordinador y en la Oferta Técnica del adjudicatario.
6. AUMENTO DE CAPACIDAD LÍNEA 1X66 KV PUNTA DE CORTÉS - TUNICHE, TRAMO PUNTA DE CORTÉS - PUENTE ALTA
6.1. Descripción General de la Obra
El proyecto consiste en el aumento de capacidad de transmisión de la línea 1x66 kV Punta de Cortés - Tuniche, en el tramo Punta de Cortés - Puente Alta, de aproximadamente 4,83 km de longitud. El aumento de capacidad se realizará mediante el cambio del actual conductor CU 2 AWG, por un conductor con capacidad de transmisión de, al menos, 46 MVA a 35° C con sol.
A su vez, el proyecto considera el reemplazo y los ajustes de todo el equipamiento asociado a esta obra que se vea sobrepasado en sus características nominales producto del aumento de capacidad.
El proyecto incluye todas las obras, modificaciones y labores necesarias para la ejecución y puesta en servicio de las nuevas instalaciones, tales como adecuaciones en los patios respectivos, adecuación de las protecciones, comunicaciones, SCADA, obras civiles, montaje, malla de puesta a tierra y pruebas de los nuevos equipos.
A su vez, el proyecto contempla todas las tareas, labores y obras necesarias para evitar interrupciones en el suministro a clientes finales, considerando para ello una secuencia constructiva que evite o minimice dichas interrupciones.
Asimismo, el proyecto incluye todas las obras y labores establecidas en las Bases de Licitación elaboradas por el Coordinador y en la Oferta Técnica del adjudicatario.
7. AMPLIACIÓN EN S/E LA RONDA (NTR ATMT)
7.1. Descripción General de la Obra
El proyecto consiste en el aumento de capacidad de la subestación La Ronda mediante la instalación de un nuevo transformador 66/15 kV y 20 MVA con Cambiador de Derivación Bajo Carga (CDBC), y sus respectivos paños de conexión en ambos niveles de tensión. A su vez, el proyecto considera la ampliación de la sección de barra N°1 (asociada a la conexión de la línea 1x66 kV La Ronda - Tap La Paloma) e instalaciones comunes en el patio de 66 kV de la subestación, cuya configuración corresponde a barra simple seccionada, de manera de permitir la conexión del nuevo transformador a la sección ampliada.
Adicionalmente, el proyecto considera la construcción de un nuevo patio de 15 kV, en configuración barra simple y barra auxiliar, contemplándose la construcción de, al menos, tres (3) paños para alimentadores y el paño de conexión del transformador antes mencionado.
Además, el proyecto contempla completar el paño en 66 kV asociado al transformador existente, junto con los paños asociados a las líneas 1x66 kV San Fernando - La Ronda y 1x66 kV San Vicente de Tagua Tagua - La Ronda, así como también la construcción de un nuevo paño para la línea 1x66 kV La Ronda - Tap La Paloma en el extremo de subestación La Ronda, reutilizando, cuando sea posible, la infraestructura existente, y manteniendo su configuración en barra simple seccionada.
El proyecto incluye todas las obras, modificaciones y labores necesarias para la ejecución y puesta en servicio de las nuevas instalaciones, tales como adecuaciones en los patios respectivos, adecuación de las protecciones, comunicaciones, SCADA, obras civiles, montaje, malla de puesta a tierra y pruebas de los nuevos equipos.
A su vez, el proyecto contempla todas las tareas, labores y obras necesarias para evitar interrupciones en el suministro a clientes finales, considerando para ello una secuencia constructiva que evite o minimice dichas interrupciones.
Asimismo, el proyecto incluye todas las obras y labores establecidas en las Bases de Licitación elaboradas por el Coordinador y en la Oferta Técnica del adjudicatario.
8. AMPLIACIÓN EN S/E SAN MIGUEL (NTR ATMT)
8.1. Descripción General de la Obra
El proyecto consiste en la ampliación de capacidad de transformación de la S/E San Miguel, mediante la instalación de un nuevo transformador 66/15 kV, 30 MVA con Cambiador de Derivación Bajo Carga (CDBC), con sus respectivos paños de transformación en ambos niveles de tensión. A su vez, el proyecto considera el seccionamiento de la línea 1x66 kV Maule - Talca en la subestación San Miguel, mediante la construcción de una nueva barra simple en 66 kV para conectar los paños del seccionamiento de la línea, el transformador existente y el nuevo transformador que se instalará.
Adicionalmente, las obras contemplan la construcción de una nueva sala de celdas en 15 kV, en configuración barra simple, la cual deberá contar con seis paños para alimentadores, un paño para la conexión de equipos de medida, un paño para conectar un nuevo transformador de servicios auxiliares, un paño para conectar el nuevo transformador de poder que se instalará, un paño de interconexión con el patio 15 kV existente y un paño para la conexión de un banco de condensadores.
Finalmente, el proyecto contempla la instalación de un nuevo banco de condensadores de 5 MVAr en 15 kV.
El proyecto incluye todas las obras, modificaciones y labores necesarias para la ejecución y puesta en servicio de las nuevas instalaciones, tales como adecuaciones en los patios respectivos, adecuación de las protecciones, comunicaciones, SCADA, obras civiles, montaje, malla de puesta a tierra y pruebas de los nuevos equipos, entre otras.
A su vez, el proyecto contempla todas las tareas, labores y obras necesarias para evitar interrupciones en el suministro a clientes regulados, considerando para ello una secuencia constructiva que evite o minimice dichas interrupciones.
Asimismo, el proyecto incluye todas las obras y labores establecidas en las Bases de Licitación elaboradas por el Coordinador y en la Oferta Técnica del adjudicatario.
9. AMPLIACIÓN EN S/E PARRAL (NTR ATMT)
9.1. Descripción General de la Obra
El proyecto consiste en el aumento de capacidad de la S/E Parral, mediante la instalación de un nuevo transformador 66/13,8 kV, 30 MVA, con Cambiador de Derivación Bajo Carga (CDBC) con sus respectivos paños en ambos niveles de tensión. A su vez, el proyecto considera la ampliación de la barra e instalaciones comunes del patio de 66 kV de la subestación, cuya configuración corresponde a barra principal seccionada, de manera de permitir la conexión del nuevo transformador a la sección ampliada.
Adicionalmente, el proyecto considera la construcción de un nuevo patio de 13,8 kV, en configuración barra simple, para la incorporación de, a lo menos, cuatro paños para alimentadores, un paño para la conexión del nuevo transformador y un paño seccionador que se conectará con el patio de 13,8 kV existente.
El proyecto incluye todas las obras, modificaciones y labores necesarias para la ejecución y puesta en servicio de las nuevas instalaciones, tales como adecuaciones en los patios respectivos, adecuación de las protecciones, comunicaciones, SCADA, obras civiles, montaje, malla de puesta a tierra y pruebas de los nuevos equipos, entre otras.
A su vez, el proyecto contempla todas las tareas, labores y obras necesarias para evitar interrupciones en el suministro a clientes regulados, considerando para ello una secuencia constructiva que evite o minimice dichas interrupciones.
Asimismo, el proyecto incluye todas las obras y labores establecidas en las Bases de Licitación elaboradas por el Coordinador y en la Oferta Técnica del adjudicatario.
10. AMPLIACIÓN EN S/E HUALTE (NTR ATMT)
10.1. Descripción General de la Obra
El proyecto consiste en el aumento de capacidad de la subestación Hualte mediante la instalación de un nuevo transformador 66/13,8 kV y 10 MVA con Cambiador de Derivación Bajo Carga (CDBC), y sus respectivos paños de conexión en ambos niveles de tensión. A su vez, el proyecto considera la ampliación de barra e instalaciones comunes en el patio de 66 kV de la subestación, cuya configuración corresponde a barra simple, en tres posiciones, de manera de permitir la conexión del nuevo transformador a la barra ampliada y la conexión de nuevos proyectos en la zona.
Adicionalmente, el proyecto considera la construcción de un nuevo patio de 13,8 kV, en configuración barra simple, contemplándose la construcción de, al menos, dos (2) paños para alimentadores y el paño de conexión del nuevo transformador antes mencionado.
Además, el proyecto contempla completar el paño asociado a la línea 1x66 kV Cocharcas - Hualte, reutilizando, cuando sea posible, la infraestructura existente, y manteniendo su configuración de barra simple.
El proyecto incluye todas las obras, modificaciones y labores necesarias para la ejecución y puesta en servicio de las nuevas instalaciones, tales como adecuaciones en los patios respectivos, adecuación de las protecciones, comunicaciones, SCADA, obras civiles, montaje, malla de puesta a tierra y pruebas de los nuevos equipos.
A su vez, el proyecto contempla todas las tareas, labores y obras necesarias para evitar interrupciones en el suministro a clientes finales, considerando para ello una secuencia constructiva que evite o minimice dichas interrupciones.
Asimismo, el proyecto incluye todas las obras y labores establecidas en las Bases de Licitación elaboradas por el Coordinador y en la Oferta Técnica del adjudicatario.
11. AMPLIACIÓN EN S/E MONTERRICO (NTR ATMT)
11.1. Descripción General de la Obra
El proyecto consiste en el aumento de capacidad de la subestación Monterrico mediante la instalación de un nuevo transformador 66/13,8 kV y 30 MVA con Cambiador de Derivación Bajo Carga (CDBC), y sus respectivos paños de transformación en ambos niveles de tensión. El nuevo transformador se conectará a la actual barra de 66 kV de la subestación, cuya configuración corresponde a barra simple y barra de transferencia.
Adicionalmente, el proyecto considera la construcción de un nuevo patio de 13,8 kV, en configuración barra simple y barra auxiliar, contemplándose la construcción de, al menos, cuatro (4) paños para alimentadores, el paño de conexión del transformador antes mencionado y la construcción de un paño de conexión de compensación capacitiva.
El proyecto incluye todas las obras, modificaciones y labores necesarias para la ejecución y puesta en servicio de las nuevas instalaciones, tales como adecuaciones en los patios respectivos, adecuación de las protecciones, comunicaciones, SCADA, obras civiles, montaje, malla de puesta a tierra y pruebas de los nuevos equipos.
A su vez, el proyecto contempla todas las tareas, labores y obras necesarias para evitar interrupciones en el suministro a clientes finales, considerando para ello una secuencia constructiva que evite o minimice dichas interrupciones.
Asimismo, el proyecto incluye todas las obras y labores establecidas en las Bases de Licitación elaboradas por el Coordinador y en la Oferta Técnica del adjudicatario.
12. AUMENTO DE CAPACIDAD LÍNEA 1X66 KV SANTA ELVIRA - TAP EL NEVADO
12.1. Descripción General de la Obra
El proyecto consiste en el aumento de capacidad de transmisión de la línea 1x66 kV Santa Elvira - Tap El Nevado, de aproximadamente 2 km de longitud. El aumento de capacidad se realizará mediante el cambio del actual conductor AAAC Butte por un conductor con capacidad de transmisión de, al menos, 90 MVA a 35°C con sol.
A su vez, el proyecto considera el reemplazo y los ajustes de todo el equipamiento asociado a esta obra que se vea sobrepasado en sus características nominales producto del aumento de capacidad.
Además, el proyecto contempla completar el paño de la línea 1x66 kV Santa Elvira - Tap El Nevado en el extremo de subestación Santa Elvira, reutilizando cuando sea posible la infraestructura existente y manteniendo su configuración en barra simple.
El proyecto incluye todas las obras, modificaciones y labores necesarias para la ejecución y puesta en servicio de las nuevas instalaciones, tales como adecuaciones en los patios respectivos, adecuación de las protecciones, comunicaciones, SCADA, obras civiles, montaje, malla de puesta a tierra y pruebas de los nuevos equipos.
A su vez, el proyecto contempla todas las tareas, labores y obras necesarias para evitar interrupciones en el suministro a clientes finales, considerando para ello una secuencia constructiva que evite o minimice dichas interrupciones.
Asimismo, el proyecto incluye todas las obras y labores establecidas en las Bases de Licitación elaboradas por el Coordinador y en la Oferta Técnica del adjudicatario.
13. NUEVO EQUIPO DE COMPENSACIÓN REACTIVA EN S/E ENTRE RÍOS (STATCOM AT)
13.1. Descripción General de la Obra
El proyecto consiste en la instalación de un STATCOM de ±200 MVAr en la subestación Entre Ríos 500 kV. A su vez, el proyecto considera la ampliación de las barras principales e instalaciones comunes en el patio de 500 kV de la subestación, cuya configuración corresponde a interruptor y medio, de manera de permitir la conexión del nuevo equipo de compensación reactiva a la barra ampliada.
El proyecto incluye todas las obras, modificaciones y labores necesarias para la ejecución y puesta en servicio de las nuevas instalaciones, tales como adecuaciones en los patios respectivos, adecuación de las protecciones, comunicaciones, SCADA, obras civiles, montaje, malla de puesta a tierra y pruebas de los nuevos equipos.
A su vez, el proyecto contempla todas las tareas, labores y obras necesarias para evitar interrupciones en el suministro a clientes finales, considerando para ello una secuencia constructiva que evite o minimice dichas interrupciones.
Asimismo, el proyecto incluye todas las obras y labores establecidas en las Bases de Licitación elaboradas por el Coordinador y en la Oferta Técnica del adjudicatario.
14. AMPLIACIÓN EN S/E PERALES (NTR ATMT)
14.1. Descripción General de la Obra
El proyecto consiste en el aumento de capacidad de la subestación Perales mediante la instalación de un nuevo transformador 66/15 kV y 25 MVA con Cambiador de Derivación Bajo Carga (CDBC), y sus respectivos paños de conexión en ambos niveles de tensión. A su vez, el proyecto considera la ampliación de barra e instalaciones comunes en el patio de 66 kV de la subestación, cuya configuración corresponde a barra simple, de manera de permitir la conexión del nuevo transformador a la barra ampliada.
Adicionalmente, el proyecto considera la ampliación de la barra de 15 kV, en configuración barra simple y barra de transferencia, contemplándose la construcción de, al menos, tres (3) paños para alimentadores, el paño de conexión del transformador antes mencionado y la construcción de un paño seccionador de barras.
Además, el proyecto contempla completar los paños asociados a las líneas 1x66 Talcahuano - Perales y 1x66 kV Alonso de Ribera - Perales, ambas en el extremo de subestación Perales, reutilizando cuando sea posible la infraestructura existente, y manteniendo su configuración en barra simple.
El proyecto incluye todas las obras, modificaciones y labores necesarias para la ejecución y puesta en servicio de las nuevas instalaciones, tales como adecuaciones en los patios respectivos, adecuación de las protecciones, comunicaciones, SCADA, obras civiles, montaje, malla de puesta a tierra y pruebas de los nuevos equipos.
A su vez, el proyecto contempla todas las tareas, labores y obras necesarias para evitar interrupciones en el suministro a clientes finales, considerando para ello una secuencia constructiva que evite o minimice dichas interrupciones.
Asimismo, el proyecto incluye todas las obras y labores establecidas en las Bases de Licitación elaboradas por el Coordinador y en la Oferta Técnica del adjudicatario.
15. AMPLIACIÓN EN S/E SANTA BÁRBARA (RTR ATMT)
15.1. Descripción General de la Obra
El proyecto consiste en el aumento de capacidad de la subestación Santa Bárbara mediante el reemplazo del actual transformador de 66/13,8 kV y 5 MVA, por un nuevo equipo de transformación 66/13,8 kV y 16 MVA con Cambiador de Derivación Bajo Carga (CDBC). A su vez, el proyecto considera el reemplazo de todo el equipamiento que se vea sobrepasado en sus características nominales producto del aumento de capacidad antes descrito.
Adicionalmente, el proyecto considera la ampliación de la sala de celdas de 13,8 kV, en configuración barra simple, contemplándose la construcción de, al menos, dos (2) celdas para alimentadores y la celda de conexión del nuevo transformador antes mencionada.
El proyecto incluye todas las obras, modificaciones y labores necesarias para la ejecución y puesta en servicio de las nuevas instalaciones, tales como adecuaciones en los patios respectivos, adecuación de las protecciones, comunicaciones, SCADA, obras civiles, montaje, malla de puesta a tierra y pruebas de los nuevos equipos.
A su vez, el proyecto contempla todas las tareas, labores y obras necesarias para evitar interrupciones en el suministro a clientes finales, considerando para ello una secuencia constructiva que evite o minimice dichas interrupciones.
Asimismo, el proyecto incluye todas las obras y labores establecidas en las Bases de Licitación elaboradas por el Coordinador y en la Oferta Técnica del adjudicatario.
16. AMPLIACIÓN EN S/E TRAIGUÉN (RTR ATMT)
16.1. Descripción General de la Obra
El proyecto consiste en el aumento de capacidad de la S/E Traiguén, mediante el reemplazo del transformador N° 3 de 66/13,8 kV, de 2,5 MVA, por un nuevo equipo de transformación 66/13,8 kV, 10 MVA con Cambiador de Derivación Bajo Carga (CDBC). A su vez, el proyecto considera la ampliación de la barra e instalaciones comunes del patio de 66 kV de la subestación, cuya configuración corresponde a barra simple, para dos nuevos paños, de manera de permitir la conexión del nuevo transformador a la barra ampliada y la conexión de la línea 1x66 kV Victoria - Traiguén además del reemplazo de todo el equipamiento que se vea sobrepasado en sus características nominales producto del aumento de capacidad antes descrito.
El proyecto incluye todas las obras, modificaciones y labores necesarias para la ejecución y puesta en servicio de las nuevas instalaciones, tales como adecuaciones en los patios respectivos, adecuación de las protecciones, comunicaciones, SCADA, obras civiles, montaje, malla de puesta a tierra y pruebas de los nuevos equipos, entre otras.
A su vez, el proyecto contempla todas las tareas, labores y obras necesarias para evitar interrupciones en el suministro a clientes regulados, considerando para ello una secuencia constructiva que evite o minimice dichas interrupciones.
Asimismo, el proyecto incluye todas las obras y labores establecidas en las Bases de Licitación elaboradas por el Coordinador y en la Oferta Técnica del adjudicatario.
17. AMPLIACIÓN EN S/E TEMUCO (BPS+BT)
17.1. Descripción General de la Obra
El proyecto consiste en la ampliación de la sección de barra N° 2 e instalaciones comunes del patio de 66 kV de la subestación, cuya configuración corresponde a barra principal seccionada y barra de transferencia, de manera de permitir la conexión del nuevo equipo de transformación a la sección ampliada, propuesto en el decreto exento N° 171 de 2020, del Ministerio de Energía.
El proyecto incluye todas las obras, modificaciones y labores necesarias para la ejecución y puesta en servicio de las nuevas instalaciones, tales como adecuaciones en los patios respectivos, adecuación de las protecciones, comunicaciones, SCADA, obras civiles, montaje, malla de puesta a tierra y pruebas de los nuevos equipos, entre otras.
A su vez, el proyecto contempla todas las tareas, labores y obras necesarias para evitar interrupciones en el suministro a clientes regulados, considerando para ello una secuencia constructiva que evite o minimice dichas interrupciones.
Asimismo, el proyecto incluye todas las obras y labores establecidas en las Bases de Licitación elaboradas por el Coordinador y en la Oferta Técnica del adjudicatario.
18. CAMBIO DE INTERRUPTOR PAÑO ACOPLADOR EN S/E TEMUCO 66 KV
18.1. Descripción General de la Obra
El proyecto consiste en el reemplazo del interruptor correspondiente al paño acoplador BR del patio de 66 kV de la S/E Temuco, por un interruptor con capacidad de ruptura de, al menos, 40 kA. A su vez, el proyecto considera el reemplazo de todo el equipamiento asociado que se vea sobrepasado en sus características nominales.
El proyecto incluye todas las obras, modificaciones y labores necesarias para la ejecución y puesta en servicio de las nuevas instalaciones, tales como adecuaciones en los patios respectivos, adecuación de las protecciones, comunicaciones, SCADA, obras civiles, montaje, malla de puesta a tierra y pruebas de los nuevos equipos, entre otras.
A su vez, el proyecto contempla todas las tareas, labores y obras necesarias para evitar interrupciones en el suministro a clientes regulados, considerando para ello una secuencia constructiva que evite o minimice dichas interrupciones.
Asimismo, el proyecto incluye todas las obras y labores establecidas en las Bases de Licitación elaboradas por el Coordinador y en la Oferta Técnica del adjudicatario.
19. AMPLIACIÓN EN S/E TEMUCO (NTR ATMT)
19.1. Descripción General de la Obra
El proyecto consiste en el aumento de capacidad de la S/E Temuco, mediante la instalación de un nuevo transformador 66/13,8 kV, 10 MVA con Cambiador de Derivación Bajo Carga (CDBC), con sus respectivos paños de transformación en ambos niveles de tensión.
Adicionalmente, las obras consideran la construcción de una nueva sala de celdas en 13,8 kV, en configuración barra simple, la cual deberá contar con un paño para conexión del nuevo transformador, un paño para conexión de servicios auxiliares, dos paños para alimentadores, un paño para conexión con el patio de media tensión existente y un paño para transformadores de medida.
El proyecto incluye todas las obras, modificaciones y labores necesarias para la ejecución y puesta en servicio de las nuevas instalaciones, tales como adecuaciones en los patios respectivos, adecuación de las protecciones, comunicaciones, SCADA, obras civiles, montaje, malla de puesta a tierra y pruebas de los nuevos equipos, entre otras.
A su vez, el proyecto contempla todas las tareas, labores y obras necesarias para evitar interrupciones en el suministro a clientes regulados, considerando para ello una secuencia constructiva que evite o minimice dichas interrupciones.
Asimismo, el proyecto incluye todas las obras y labores establecidas en las Bases de Licitación elaboradas por el Coordinador y en la Oferta Técnica del adjudicatario.
20. SECCIONAMIENTO CIRCUITO N° 1 LÍNEA 2X66 KV PULLINQUE - LOS LAGOS EN S/E PANGUIPULLI
20.1. Descripción General de la Obra
El proyecto consiste en el seccionamiento del circuito N°1 de la línea 2x66 kV Pullinque - Los Lagos en la subestación Panguipulli, mediante la incorporación de un paño en la línea resultante 1x66 kV Pullinque - Panguipulli en el extremo de subestación Panguipulli, reutilizando, cuando sea posible, la infraestructura existente y manteniendo su configuración de barra simple, de manera que el paño existente desde la conexión en derivación a la subestación Panguipulli opere como paño de la línea resultante 1x66 kV Panguipulli - Los Lagos.
El proyecto incluye todas las obras, modificaciones y labores necesarias para la ejecución y puesta en servicio de las nuevas instalaciones, tales como adecuaciones en los patios respectivos, adecuación de las protecciones, comunicaciones, SCADA, obras civiles, montaje, malla de puesta a tierra y pruebas de los nuevos equipos, entre otras.
A su vez, el proyecto contempla todas las tareas, labores y obras necesarias para evitar interrupciones en el suministro a clientes finales, considerando para ello una secuencia constructiva que evite o minimice dichas interrupciones.
Asimismo, el proyecto incluye todas las obras y labores establecidas en las Bases de Licitación elaboradas por el Coordinador y en la Oferta Técnica del adjudicatario.
21. AMPLIACIÓN EN S/E LOS LAGOS (NTR ATMT)
21.1. Descripción General de la Obra
El proyecto consiste en el aumento de capacidad de la subestación Los Lagos mediante la instalación de un nuevo transformador 66/13,2 kV y 16 MVA con Cambiador de Derivación Bajo Carga (CDBC), y sus respectivos paños de conexión en ambos niveles de tensión.
Adicionalmente, el proyecto considera la construcción de una nueva sección de barra de 13,2 kV, en configuración barra principal y barra de transferencia, contemplándose la construcción de, al menos, dos (2) paños para alimentadores, la construcción de un (1) paño para la conexión del alimentador existente TEMSA, el paño de conexión para el transformador antes mencionado, la construcción de un paño acoplador de barras y espacio en barra para la conexión de un banco de condensadores futuro.
Además, el proyecto contempla que el paño que resulta disponible por el traslado del alimentador TEMSA a la nueva sección de barra en media tensión, se mantenga en su actual posición de manera que opere como paño seccionador barras, y así interconectar la nueva sección de barra con la existente, reutilizando cuando sea posible la infraestructura y equipos en la barra existente.
El proyecto incluye todas las obras, modificaciones y labores necesarias para la ejecución y puesta en servicio de las nuevas instalaciones, tales como adecuaciones en los patios respectivos, adecuación de las protecciones, comunicaciones, SCADA, obras civiles, montaje, malla de puesta a tierra y pruebas de los nuevos equipos, entre otras.
A su vez, el proyecto contempla todas las tareas, labores y obras necesarias para evitar interrupciones en el suministro a clientes finales, considerando para ello una secuencia constructiva que evite o minimice dichas interrupciones.
Asimismo, el proyecto incluye todas las obras y labores establecidas en las Bases de Licitación elaboradas por el Coordinador y en la Oferta Técnica del adjudicatario.
22. AMPLIACIÓN EN S/E NUEVA PICHIRROPULLI 220 KV (IM)
22.1. Descripción General de la Obra
El proyecto consiste en la ampliación de las barras principales e instalaciones comunes del patio de 220 kV de la subestación, cuya configuración corresponde a interruptor y medio, para una nueva diagonal, de manera de permitir la conexión de futuros proyectos de la zona.
El proyecto incluye todas las obras, modificaciones y labores necesarias para la ejecución y puesta en servicio de las nuevas instalaciones, tales como adecuaciones en los patios respectivos, adecuación de las protecciones, comunicaciones, SCADA, obras civiles, montaje, malla de puesta a tierra y pruebas de los nuevos equipos, entre otras.
A su vez, el proyecto contempla todas las tareas, labores y obras necesarias para evitar interrupciones en el suministro a clientes finales, considerando para ello una secuencia constructiva que evite o minimice dichas interrupciones.
Asimismo, el proyecto incluye todas las obras y labores establecidas en las Bases de Licitación elaboradas por el Coordinador y en la Oferta Técnica del adjudicatario.
23. AMPLIACIÓN EN S/E PICHIRROPULLI (RTR ATMT)
23.1. Descripción General de la Obra
El proyecto consiste en el aumento de capacidad de la subestación Pichirropulli mediante el reemplazo del actual transformador N° 1 de 66/13,2 kV y 5 MVA, por un nuevo equipo de transformación 66/23 kV y 16 MVA con Cambiador de Derivación Bajo Carga (CDBC), y sus respectivos paños de conexión en ambos niveles de tensión.
Adicionalmente, el proyecto considera el desarme y retiro de la barra de 13,2 kV existente, con todos los elementos que a ella se conectan, y la construcción de una nueva sala de celdas de 23 kV, en configuración barra simple, contemplándose la construcción de, al menos, dos (2) celdas para alimentadores, la celda de conexión para el transformador antes mencionado, la construcción de una celda para el seccionador de barras y la construcción de una celda para equipos de medida. Además, el proyecto contempla la instalación de un nuevo transformador de servicios auxiliares y los elementos necesarios para su conexión a la barra de 23 kV existente, en posición disponible.
El proyecto incluye todas las obras, modificaciones y labores necesarias para la ejecución y puesta en servicio de las nuevas instalaciones, tales como adecuaciones en los patios respectivos, adecuación de las protecciones, comunicaciones, SCADA, obras civiles, montaje, malla de puesta a tierra y pruebas de los nuevos equipos.
A su vez, el proyecto contempla todas las tareas, labores y obras necesarias para evitar interrupciones en el suministro a clientes finales, considerando para ello una secuencia constructiva que evite o minimice dichas interrupciones.
Asimismo, el proyecto incluye todas las obras y labores establecidas en las Bases de Licitación elaboradas por el Coordinador y en la Oferta Técnica del adjudicatario.
24. REACTOR EN S/E NUEVA ANCUD (NR AT)
24.1. Descripción General de la Obra
El proyecto consiste en la instalación de un reactor trifásico de 50 MVAr en la subestación Nueva Ancud 220 kV. El proyecto considera los equipos necesarios para la conexión en configuración interruptor y medio, completando la media diagonal disponible que resulta del proyecto "Ampliación en S/E Chiloé y Tendido Segundo Circuito Línea 2x220 kV Nueva Ancud - Chiloé", fijada en el numeral 1.16 del artículo primero del decreto exento N° 171, de 2020, del Ministerio de Energía.
El proyecto incluye todas las obras, modificaciones y labores necesarias para la ejecución y puesta en servicio de las nuevas instalaciones, tales como adecuaciones en los patios respectivos, adecuación de las protecciones, comunicaciones, SCADA, obras civiles, montaje, malla de puesta a tierra y pruebas de los nuevos equipos.
A su vez, el proyecto contempla todas las tareas, labores y obras necesarias para evitar interrupciones en el suministro a clientes finales, considerando para ello una secuencia constructiva que evite o minimice dichas interrupciones.
Asimismo, el proyecto incluye todas las obras y labores establecidas en las Bases de Licitación elaboradas por el Coordinador y en la Oferta Técnica del adjudicatario.
25. AMPLIACIÓN EN S/E CHILOÉ Y TENDIDO SEGUNDO CIRCUITO LÍNEA 2X220 KV NUEVA ANCUD - CHILOÉ
25.1. Descripción General de la Obra
El proyecto consiste en la ampliación de las barras principales e instalaciones comunes del patio de 220 kV de la subestación Chiloé, cuya configuración corresponde a interruptor y medio, para una nueva diagonal, de manera de permitir la conexión del tendido del segundo circuito de la línea 2x220 kV Nueva Ancud - Chiloé que utilizará una media diagonal.
Además, el proyecto considera el tendido del segundo circuito de la línea 2x220 kV Nueva Ancud - Chiloé, de aproximadamente 20 km de longitud, y la construcción de los nuevos paños de línea en las subestaciones Nueva Ancud y Chiloé. Actualmente, el primer circuito de la línea considera el uso de un conductor AAAC Flint. El tendido del nuevo circuito deberá posibilitar la transmisión de una potencia equivalente de, a lo menos, 500 MVA a 35°C con sol.
El proyecto incluye todas las obras, modificaciones y labores necesarias para la ejecución y puesta en servicio de las nuevas instalaciones, tales como adecuaciones en los patios respectivos, adecuación de las protecciones, comunicaciones, SCADA, obras civiles, montaje, malla de puesta a tierra y pruebas de los nuevos equipos, entre otras.
A su vez, el proyecto contempla todas las tareas, labores y obras necesarias para evitar interrupciones en el suministro a clientes regulados, considerando para ello una secuencia constructiva que evite o minimice dichas interrupciones.
Asimismo, el proyecto incluye todas las obras y labores establecidas en las Bases de Licitación elaboradas por el Coordinador y en la Oferta Técnica del adjudicatario.
26. AMPLIACIÓN EN S/E CASTRO (NTR ATMT)
26.1. Descripción General de la Obra
El proyecto consiste en el aumento de capacidad de la S/E Castro, mediante la instalación de un nuevo transformador 110/23 kV, 16 MVA, con Cambiador de Derivación Bajo Carga (CDBC), con sus respectivos paños de transformación en ambos niveles de tensión.
Adicionalmente, el proyecto considera la construcción de un nuevo patio de 23 kV, en configuración barra principal y barra de transferencia, contemplándose, al menos, dos paños para alimentadores, un paño acoplador y un paño seccionador.
El proyecto incluye todas las obras, modificaciones y labores necesarias para la ejecución y puesta en servicio de las nuevas instalaciones, tales como adecuaciones en los patios respectivos, adecuación de las protecciones, comunicaciones, SCADA, obras civiles, montaje, malla de puesta a tierra y pruebas de los nuevos equipos, entre otras.
A su vez, el proyecto contempla todas las tareas, labores y obras necesarias para evitar interrupciones en el suministro a clientes regulados, considerando para ello una secuencia constructiva que evite o minimice dichas interrupciones.
Asimismo, el proyecto incluye todas las obras y labores establecidas en las Bases de Licitación elaboradas por el Coordinador y en la Oferta Técnica del adjudicatario.
3º Fíjase el Valor Anual de la Transmisión por Tramo ("V.A.T.T.") de las obras de ampliación.
Conforme a lo informado por la Comisión en su informe técnico, a continuación, se indican el V.A.T.T., la Anualidad del Valor de Inversión ("A.V.I."), el Costo de Operación, Mantenimiento y Administración ("C.O.M.A."), y el Ajuste por Efecto de Impuesto a la Renta ("A.E.I.R."), calculados respecto al V.I. adjudicado:

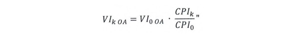
4º Fíjanse las fórmulas de indexación.
El A.V.I., C.O.M.A. y A.E.I.R. de las obras de ampliación adjudicadas se reajustará anualmente, en dólares de los Estados Unidos de Norte América, según las siguientes fórmulas de indexación:

La Decreto 336 EXENTO,
ENERGÍA
Art. Quinto N° 3
D.O. 28.01.2026fórmula de indexación del V.I. de las obras 'Ampliación en S/E Pichirropulli (RTR ATMT)', 'Ampliación en S/E Temuco (NTR ATMT)', 'Ampliación en S/E Chiloé y tendido segundo circuito Línea 2x220 kV Nuevo Ancud - Chiloé' y 'Aumento de Capacidad Línea 1x66 kV Santa Elvira - Tap El Nevado' fijados en los términos establecidos en el presente acto administrativo será la siguiente:
ENERGÍA
Art. Quinto N° 3
D.O. 28.01.2026fórmula de indexación del V.I. de las obras 'Ampliación en S/E Pichirropulli (RTR ATMT)', 'Ampliación en S/E Temuco (NTR ATMT)', 'Ampliación en S/E Chiloé y tendido segundo circuito Línea 2x220 kV Nuevo Ancud - Chiloé' y 'Aumento de Capacidad Línea 1x66 kV Santa Elvira - Tap El Nevado' fijados en los términos establecidos en el presente acto administrativo será la siguiente:

Respecto al subí
ndice 0 de las fórmulas anteriores, éste corresponde al segundo mes anterior al mes del último día de recepción de ofertas, con el fin de conformar los valores base de los índices, de forma tal que, al mes de la entrega de oferta, la aplicación de las fórmulas de indexación para el A.V.I., C.O.M.A. y A.E.I.R. dé como resultado el A.V.I., C.O.M.A. y A.E.I.R. que conforman el V.A.T.T. indicado en el numeral 3º del presente decreto.
ndice 0 de las fórmulas anteriores, éste corresponde al segundo mes anterior al mes del último día de recepción de ofertas, con el fin de conformar los valores base de los índices, de forma tal que, al mes de la entrega de oferta, la aplicación de las fórmulas de indexación para el A.V.I., C.O.M.A. y A.E.I.R. dé como resultado el A.V.I., C.O.M.A. y A.E.I.R. que conforman el V.A.T.T. indicado en el numeral 3º del presente decreto. Los valores base para los índices antes definidos corresponden a los que a continuación se indican:
5º Fíjase e
l régimen y período de remuneración de los proyectos.
l régimen y período de remuneración de los proyectos. El propietario de la obra de ampliación será el responsable de pagar al respectivo adjudicatario de la obra el valor de la adjudicación, de acuerdo con los V.I. señalados en el numeral 1º del presente decreto, según lo establecido en las bases de licitación y en el contrato respectivo.
El pago del A.V.I., C.O.M.A. y A.E.I.R. señalados en el numeral 3º y las fórmulas de indexación del numeral 4º, ambos del presente decreto, constituirán la remuneración del propietario de la respectiva obra de ampliación.
El pago del A.V.I. se aplicará durante cinco períodos tarifarios a partir de la entrada en operación de la obra de ampliación, transcurridos los cuales las instalaciones y su valorización deberán ser revisadas y actualizadas en el proceso de valorización de la transmisión correspondiente.
El C.O.M.A. determinado será remunerado hasta la entrada en vigencia del decreto tarifario relativo al período 2024 - 2027 o al periodo que corresponda, período en el cual el C.O.M.A. se determinará de acuerdo a lo que indiquen las respectivas bases que regulen el estudio de valorización a que hace referencia el artículo 107° de la Ley. Lo mismo aplicará para el A.E.I.R, según lo establecido en el literal d. del artículo 49 del decreto supremo N° 10, de 2019, del Ministerio de Energía, que aprueba reglamento de calificación, valorización, tarificación y remuneración de las instalaciones de transmisión.
NOTA
El N° 2º del Decreto 6, Energía, publicado el 23.10.2025, modifica el N° 1 de la presente norma en el siguiente sentido: 1) el númeral 1, dispone sustituir en la tabla 1 denominada "Obras de Ampliación Adjudicadas del Sistema de Transmisión" donde dice "Transelec S.A." por "Transelec Concesiones S.A." y donde dice "Transelec Holding Rentas Limitada" por "Transmisora del Pacífico S.A.", respectivamente; 2) el numeral 2, ordena sustituir en la tabla 2 denominada "Separación de V.I. por propietario según actividades señaladas en Bases de Licitación", en la fila 2.1, columna "V.I. adjudicado USD", el guarismo "8.757.613,13" por "6.227.059,34" y 3) el numeral 3 sustituye en la Tabla 2: "Separación de V.I. por propietario según actividades señaladas en Bases de Licitación", la fila 2.2, columna "V.I. adjudicado USD", el guarismo "190.596,87" por "2.721.150,66". Por su parte, el numeral 4 modifica el N° 3 de la presente norma, en el sentido de sustituir las filas 2.1 y 2.2 de la "Tabla 3: V.A.T.T. de las obras de ampliación", por aquellas que la citada norma indica.
El N° 2º del Decreto 6, Energía, publicado el 23.10.2025, modifica el N° 1 de la presente norma en el siguiente sentido: 1) el númeral 1, dispone sustituir en la tabla 1 denominada "Obras de Ampliación Adjudicadas del Sistema de Transmisión" donde dice "Transelec S.A." por "Transelec Concesiones S.A." y donde dice "Transelec Holding Rentas Limitada" por "Transmisora del Pacífico S.A.", respectivamente; 2) el numeral 2, ordena sustituir en la tabla 2 denominada "Separación de V.I. por propietario según actividades señaladas en Bases de Licitación", en la fila 2.1, columna "V.I. adjudicado USD", el guarismo "8.757.613,13" por "6.227.059,34" y 3) el numeral 3 sustituye en la Tabla 2: "Separación de V.I. por propietario según actividades señaladas en Bases de Licitación", la fila 2.2, columna "V.I. adjudicado USD", el guarismo "190.596,87" por "2.721.150,66". Por su parte, el numeral 4 modifica el N° 3 de la presente norma, en el sentido de sustituir las filas 2.1 y 2.2 de la "Tabla 3: V.A.T.T. de las obras de ampliación", por aquellas que la citada norma indica.
NOTA 1
El artículo quinto del Decreto 332, Energía, publicado el 24.01.2026, modifica la presente norma en el siguiente sentido: 1) el numeral 1°, dispone reemplazar íntegramente la fila N° 19 de la Tabla 1 del resuelvo 1° de la presente norma, por la que se inserta en el citado Decreto; 2) el numeral 2°, ordena reemplazar íntegramente la fila N° 19 de la tabla indicada en el resuelvo 3° de la presente norma, por la que se inserta en el referido Decreto y 3) el numeral 3° dispone reemplazar en el párrafo segundo del resuelvo 4° de la presente norma, inmediatamente posterior a la última fórmula de indexación del párrafo primero, por el párrafo que la citada norma indica.
El artículo quinto del Decreto 332, Energía, publicado el 24.01.2026, modifica la presente norma en el siguiente sentido: 1) el numeral 1°, dispone reemplazar íntegramente la fila N° 19 de la Tabla 1 del resuelvo 1° de la presente norma, por la que se inserta en el citado Decreto; 2) el numeral 2°, ordena reemplazar íntegramente la fila N° 19 de la tabla indicada en el resuelvo 3° de la presente norma, por la que se inserta en el referido Decreto y 3) el numeral 3° dispone reemplazar en el párrafo segundo del resuelvo 4° de la presente norma, inmediatamente posterior a la última fórmula de indexación del párrafo primero, por el párrafo que la citada norma indica.
NOTA 2
Los Nºs 1 y 2 del artículo quinto del Decreto 331 Exento, Energía, publicado el 24.01.2026, modifican la presente norma en el siguiente sentido: 1) el numeral 1°, dispone reemplazar íntegramente la fila N° 23 de la Tabla 1 del resuelvo 1° de la presente norma, por la que se inserta en el citado Decreto; 2) el numeral 2º, dispone reemplazar íntegramente la fila N°23 de la tabla del resuelvo 3º de la presente norma, por la que se inserta en el citado Decreto.
Los Nºs 1 y 2 del artículo quinto del Decreto 331 Exento, Energía, publicado el 24.01.2026, modifican la presente norma en el siguiente sentido: 1) el numeral 1°, dispone reemplazar íntegramente la fila N° 23 de la Tabla 1 del resuelvo 1° de la presente norma, por la que se inserta en el citado Decreto; 2) el numeral 2º, dispone reemplazar íntegramente la fila N°23 de la tabla del resuelvo 3º de la presente norma, por la que se inserta en el citado Decreto.
NOTA 3
Los Nºs 1 y 2 del artículo quinto del Decreto 336 Exento, Energía, publicado el 28.01.2026, modifican la presente norma en el siguiente sentido: 1) el numeral 1°, dispone reemplazar íntegramente la fila N° 12 de la Tabla 1 del resuelvo 1° de la presente norma, por la que se inserta en el citado Decreto; 2) el numeral 2º, dispone reemplazar íntegramente la fila N°12 de la tabla del resuelvo 3º de la presente norma, por la que se inserta en el citado Decreto.
Los Nºs 1 y 2 del artículo quinto del Decreto 336 Exento, Energía, publicado el 28.01.2026, modifican la presente norma en el siguiente sentido: 1) el numeral 1°, dispone reemplazar íntegramente la fila N° 12 de la Tabla 1 del resuelvo 1° de la presente norma, por la que se inserta en el citado Decreto; 2) el numeral 2º, dispone reemplazar íntegramente la fila N°12 de la tabla del resuelvo 3º de la presente norma, por la que se inserta en el citado Decreto.
Anótese, tómese razón y publíquese.- Por orden del Presidente de la República, Julio Maturana Franca, Ministro de Energía (S).
Lo que transcribo a Ud. para su conocimiento.- Saluda Atte. a Ud., María Fernanda Riveros Inostroza, Jefa División Jurídica, Subsecretaría de Energía.