MODIFICA RESOLUCIÓN N° 399 EXENTA (V. Y U.), DE 2022, Y SUS MODIFICACIONES, QUE LLAMA A PROCESO DE SELECCIÓN EN CONDICIONES ESPECIALES PARA EL OTORGAMIENTO DE SUBSIDIOS DEL PROGRAMA HABITACIONAL FONDO SOLIDARIO DE ELECCIÓN DE VIVIENDA, REGULADO POR EL DS N° 49 (V. Y U.), DE 2011, Y SUS MODIFICACIONES, EN LA ALTERNATIVA DE POSTULACIÓN COLECTIVA PARA PROYECTOS DE CONSTRUCCIÓN EN NUEVOS TERRENOS EN LAS REGIONES QUE INDICA Y APRUEBA NÓMINA DE PROYECTOS CALIFICADOS AL 27 DE DICIEMBRE DE 2022
Santiago, 9 de marzo de 2023.- Hoy se resolvió lo que sigue:
Núm. 591 exenta.
Vistos:
a) El DS N° 49 (V. y U.), de 2011 y sus modificaciones, que reglamenta el Programa Habitacional Fondo Solidario de Elección de Vivienda;
b) La resolución exenta N° 2.007 (V. y U.), de fecha 17 de diciembre de 2021, que autoriza efectuar llamados a postulación y/o comprometer recursos durante el año 2022 en el otorgamiento de subsidios habitacionales y señala el monto de los recursos destinados, entre otros, a la atención a través del programa regulado por el DS N° 49 (V. y U.) de 2011;
c) La resolución exenta N° 399 (V. y U.), de fecha 10 de marzo de 2022 y sus modificaciones, que llama a proceso de selección en condiciones especiales para el otorgamiento de subsidios del Programa Habitacional Fondo Solidario de Elección de Vivienda, regulado por el DS N° 49 (V. y U.), de 2011 y sus modificaciones, en la alternativa de postulación colectiva para proyectos de Construcción en Nuevos Terrenos en las regiones que indica;
d) La resolución exenta N° 1.875 (V. y U.), de 2015 y sus modificaciones, que fija procedimiento para la prestación de servicios de asistencia técnica, jurídica y social para el Programa Fondo Solidario de Elección de Vivienda, y,
Considerando:
a) Que, mediante la resolución señalada en el visto c) precedente, se llamó a concurso en condiciones especiales, a las regiones de Coquimbo, Valparaíso, Libertador General Bernardo O'Higgins, Maule, Ñuble, Biobío, La Araucanía, Los Ríos y Los Lagos, para el otorgamiento de subsidios del Programa Habitacional Fondo Solidario de Elección de Vivienda, regulado por el DS N° 49 (V. y U.), de 2011, en la alternativa de Postulación Colectiva a proyectos de Construcción en Nuevos Terrenos, con fechas de cierre los días 5 de mayo, 5 de julio, 28 de julio, 30 de agosto, 27 de octubre y 27 de diciembre, todos de 2022;
b) Que, conforme al procedimiento establecido en el DS N° 49 (V. y U.), de 2011, corresponde aprobar la selección de las postulaciones presentadas hasta el cierre del día 27 de diciembre, en el llamado a que se convocó mediante la resolución indicada en el visto c) precedente, siendo necesario ajustar los recursos dispuestos en la misma;
c) Los correos electrónicos de fecha 7 de marzo de 2023 que dan cuenta de la conformidad de los Jefes de División de Política Habitacional y Jurídica con el tenor del presente acto administrativo.
Resuelvo:
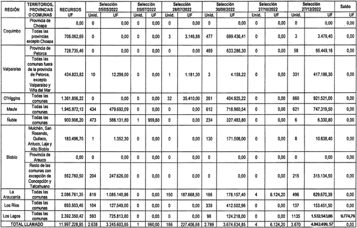
1. Modifícase la resolución exenta N° 399 (V. y U.), de fecha 10 de marzo de 2022 y sus modificaciones, en el sentido de reemplazar la tabla inserta en su Resuelvo 2 por la siguiente:

2. Apruébase la siguiente nómina de proyectos seleccionados, con su respectivo financiamiento total, para el otorgamiento de subsidios del Programa Habitacional Fondo Solidario de Elección de Vivienda en la alternativa de postulación colectiva, para proyectos de Construcción en Nuevos Terrenos, en las regiones de Coquimbo, Valparaíso, O'Higgins, Maule, Ñuble, Biobío, La Araucanía, Los Ríos y Los Lagos, correspondiente al proceso de selección cuyo cierre de postulación se verificó el día 27 de diciembre de 2022, del llamado efectuado por resolución exenta N° 399 (V. y U.), de 2022:




El detalle de los recursos comprometidos por concepto de subsidio base y subsidios complementarios para cada uno de los proyectos seleccionados en el presente Resuelvo y que por este acto se asignan, se informa en la nómina que se adjunta como anexo y forma parte integrante de la presente resolución.
Sólo para efectos de imputación dicho monto ha incluido el financiamiento de las obras correspondientes a mitigaciones directas producto de la aplicación de la ley N° 20.958, que Establece un Sistema de Aportes al Espacio Público, en los casos que corresponda y conforme al monto aludido en el resuelvo 15 de la resolución exenta N° 399 (V. y U.), de 2022. Mediante resolución, el Director del Serviu respectivo deberá sancionar el monto definitivo que corresponda asignar, el que no podrá superar el monto por familia ahí señalado.
3. El monto del subsidio asignado de conformidad con el cuadro del Resuelvo 2. de esta resolución comprende los siguientes valores por concepto de Servicios de Asistencia Técnica, de Labores de Fiscalización Técnica de Obra y pago de Aranceles al Conservador de Bienes Raíces:

Dichos montos fueron calculados conforme a la resolución exenta N° 1.875 (V. y U.), de 2015, mencionada en el visto d) de la presente resolución:
i. En el caso de los Servicios de Asistencia Técnica, de acuerdo al número de familias postulantes que se beneficiarán por esta resolución, considerando los recursos para Asistencia Técnica descritos en las tablas insertas en los números 1.1 y 1.2 del numeral 1 del artículo 3° de la citada resolución. Se adiciona además 1 UF por familia, considerando lo señalado en el segundo inciso, del número 1.1. del numeral 1 del citado artículo. Este monto también incorpora los incrementos señalados en las letras a), b), c) y d) del numeral 3 del mismo artículo, referidos a Densificación en Altura o Habilitación, Factibilización, Discapacidad, Territorios Especiales y Localidades Aisladas, conforme lo define la referida resolución;
ii. En el caso de la Fiscalización Técnica de Obras, de acuerdo a la totalidad de viviendas del proyecto y según mecanismo expresado en el artículo 4° número 17 de la resolución exenta N°1.875 ya citada.
Mediante resolución del Director del Serviu respectivo, se determinarán los montos definitivos de Asistencia Técnica, cuando corresponda otorgar los incrementos que la resolución exenta N° 1.875 (V. y U.), de 2015, establece en las letras e), g), h), i), j) y k) del número 3 de su artículo 3°, o cuando corresponda aplicar lo señalado en el inciso 2 del número 8 de su artículo 2°.
4. Los recursos comprometidos en el Resuelvo 2. de la presente resolución, para los proyectos seleccionados en el cierre de postulación efectuado el día 27 de diciembre de 2022, del concurso a que se llamó por resolución exenta N° 399 (V. y U.), de 2022, se resumen en el siguiente cuadro para cada región del país, incluyendo la suma total de familias beneficiadas y las Unidades de Fomento comprometidas, considerando los montos de subsidio de los proyectos, incluidos sus respectivos servicios de asistencia técnica y fiscalización técnica de obras:Resolución 1780 EXENTA,
VIVIENDA
Nº 1 b)
D.O. 30.10.2023
VIVIENDA
Nº 1 b)
D.O. 30.10.2023

Anótese, publíquese en el Diario Oficial y archívese.- Carlos Montes Cisternas, Ministro de Vivienda y Urbanismo.
Lo que transcribo para su conocimiento.- Tatiana Valeska Rojas Leiva, Subsecretaria de Vivienda y Urbanismo.
