1. Modifícase la resolución exenta N° 399 (V. y U.), de fecha 10 de marzo de 2022 y sus modificaciones, en el sentido de reemplazar la tabla inserta en su Resuelvo 2 por la siguiente:

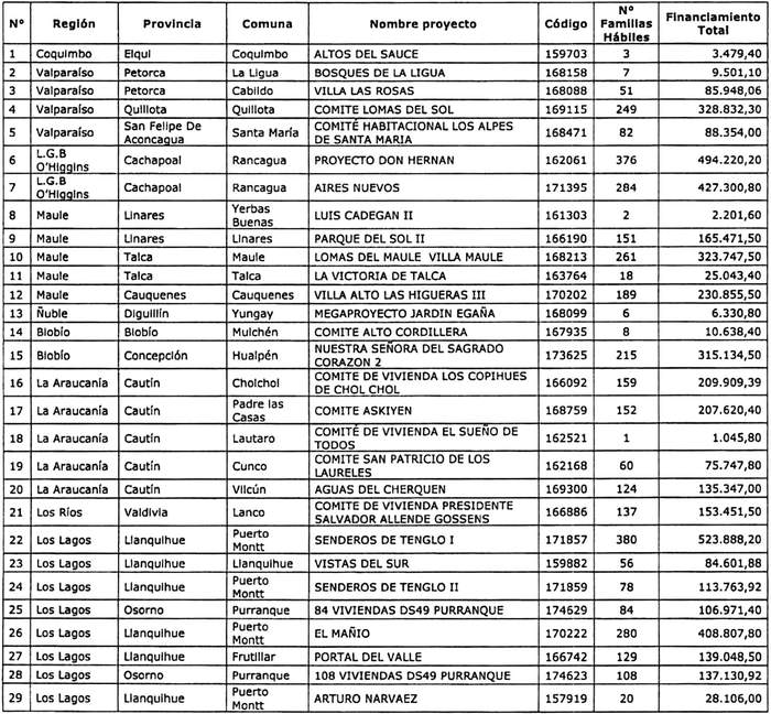
2. Apruébase la siguiente nómina de proyectos seleccionados, con su respectivo financiamiento total, para el otorgamiento de subsidios del Programa Habitacional Fondo Solidario de Elección de Vivienda en la alternativa de postulación colectiva, para proyectos de Construcción en Nuevos Terrenos, en las regiones de Coquimbo, Valparaíso, O'Higgins, Maule, Ñuble, Biobío, La Araucan�a, Los Ríos y Los Lagos, correspondiente al proceso de selección cuyo cierre de postulación se verificó el día 27 de diciembre de 2022, del llamado efectuado por resolución exenta N° 399 (V. y U.), de 2022:

El detalle de los recursos comprometidos por concepto de subsidio base y subsidios complementarios para cada uno de los proyectos seleccionados en el presente Resuelvo y que por este acto se asignan, se informa en la nómina que se adjunta como anexo y forma parte integrante de la presente resolución.
Sólo para efectos de imputación dicho monto ha incluido el financiamiento de las obras correspondientes a mitigaciones directas producto de la aplicación de la ley N° 20.958, que Establece un Sistema de Aportes al Espacio Público, en los casos que corresponda y conforme al monto aludido en el resuelvo 15 de la resolución exenta N° 399 (V. y U.), de 2022. Mediante resolución, el Director del Serviu respectivo deberá sancionar el monto definitivo que corresponda asignar, el que no podrá superar el monto por familia ahí señalado.
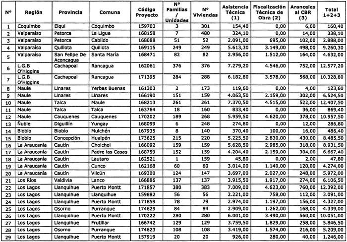
3. El monto del subsidio asignado de conformidad con el cuadro del Resuelvo 2. de esta resolución comprende los siguientes valores por concepto de Servicios de Asistencia Técnica, de Labores de Fiscalización Técnica de Obra y pago de Aranceles al Conservador de Bienes Raíces:

Dichos montos fueron calculados conforme a la resolución exenta N° 1.875 (V. y U.), de 2015, mencionada en el visto d) de la presente resolución:
i. En el caso de los Servicios de Asistencia Técnica, de acuerdo al número de familias postulantes que se beneficiarán por esta resolución, considerando los recursos para Asistencia Técnica descritos en las tablas insertas en los números 1.1 y 1.2 del numeral 1 del artículo 3° de la citada resolución. Se adiciona además 1 UF por familia, considerando lo señalado en el segundo inciso, del número 1.1. del numeral 1 del citado artículo. Este monto también incorpora los incrementos señalados en las letras a), b), c) y d) del numeral 3 del mismo artículo, referidos a Densificación en Altura o Habilitación, Factibilización, Discapacidad, Territorios Especiales y Localidades Aisladas, conforme lo define la referida resolución;
ii. En el caso de la Fiscalización Técnica de Obras, de acuerdo a la totalidad de viviendas del proyecto y según mecanismo expresado en el artículo 4° número 17 de la resolución exenta N°1.875 ya citada.
Mediante resolución del Director del Serviu respectivo, se determinarán los montos definitivos de Asistencia Técnica, cuando corresponda otorgar los incrementos que la resolución exenta N° 1.875 (V. y U.), de 2015, establece en las letras e), g), h), i), j) y k) del número 3 de su artículo 3°, o cuando corresponda aplicar lo señalado en el inciso 2 del número 8 de su artículo 2°.
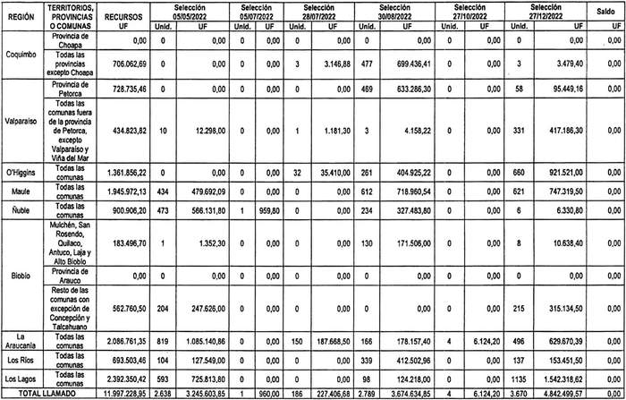
4. Los recursos comprometidos en el Resuelvo 2. de la presente resolución, para los proyectos seleccionados en el cierre de postulación efectuado el día 27 de diciembre de 2022, del concurso a que se llamó por resolución exenta N° 399 (V. y U.), de 2022, se resumen en el siguiente cuadro para cada región del país, incluyendo la suma total de familias beneficiadas y las Unidades de Fomento comprometidas, considerando los montos de subsidio de los proyectos, incluidos sus respectivos servicios de asistencia técnica y fiscalización técnica de obras:
