FIJA PRECIOS DE NUDO PROMEDIO EN EL SISTEMA ELÉCTRICO NACIONAL, DE ACUERDO AL ARTÍCULO 158° DE LA LEY GENERAL DE SERVICIOS ELÉCTRICOS
Núm. 16 T.- Santiago, 13 de diciembre de 2022.
Vistos:
Lo dispuesto en el artículo 35 del Decreto N° 100, de 2005, del Ministerio Secretaría General de la Presidencia, que fija el texto refundido, coordinado y sistematizado de la Constitución Política de la República; en el Decreto Ley N° 2.224, de 1978, del Ministerio de Minería, que crea el Ministerio de Energía y la Comisión Nacional de Energía; en el Decreto con Fuerza de Ley N° 4/20.018, de 2006, del Ministerio de Economía, Fomento y Reconstrucción, que fija texto refundido, coordinado y sistematizado del Decreto con Fuerza de Ley N° 1, de Minería, de 1982, Ley General de Servicios Eléctricos, en materia de energía eléctrica, y sus modificaciones posteriores, en adelante "Ley"; en la Ley N° 20.936, que establece un nuevo sistema de transmisión eléctrica y crea un organismo coordinador independiente del sistema eléctrico nacional; en la Ley N° 21.185, que crea un mecanismo transitorio de estabilización de precios de la energía eléctrica para clientes sujetos a regulación de precios, en adelante "Ley N° 21.185"; en la Ley N° 21.194, que rebaja la rentabilidad de las empresas de distribución y perfecciona el proceso tarifario de distribución eléctrica, en adelante "Ley N° 21.194"; en la Ley N° 21.472, que crea un fondo de estabilización de tarifas y establece un nuevo mecanismo de estabilización transitorio de precios de la electricidad para clientes sometidos a regulación de precios, en adelante "Ley N° 21.472"; en el Decreto Supremo N° 86, de 2012, del Ministerio de Energía, que aprueba reglamento para la fijación de precios de nudo y sus modificaciones posteriores, en adelante el "Decreto Supremo N° 86"; en la Resolución Exenta N° 703, de la Comisión Nacional de Energía, de 30 de octubre de 2018, que modifica Resolución Exenta N° 778, que establece plazos, requisitos y condiciones para la fijación de precios de nudo promedio, de fecha 15 de noviembre de 2016, modificada por las Resoluciones Exentas N° 203 y N° 558, ambas de 2017, y fija texto refundido de la misma, en adelante "RE N° 703", todas de la Comisión Nacional de Energía, en adelante la "Comisión"; en la Resolución Exenta N° 641, de fecha 30 de agosto de 2016, modificada por las Resoluciones Exentas N° 434, de 9 de agosto de 2017, N° 603, de 25 de octubre de 2017 y N° 10, de 11 de enero de 2018, todas de la Comisión, que establece plazos, requisitos y condiciones para la fijación de precios de nudo de corto plazo; en la Resolución Exenta N° 7, de 8 de enero de 2019, de la Comisión, modificada por las Resoluciones Exentas N° 184, de 15 de febrero de 2019 y N° 245, de 10 de abril de 2019, ambas de la Comisión, que modifica Resolución Exenta N° 489, de 13 de julio de 2018, que aprueba metodología para la determinación del Cargo Equivalente de Transmisión a que se refiere el artículo vigesimoquinto transitorio de la Ley N° 20.936, y fija demás disposiciones necesarias para la aplicación del referido artículo, modificada por las Resoluciones Exentas N° 555, N° 627, N° 651, todas del 2018, y fija texto refundido de la misma, en adelante "RE N° 7"; en la Resolución Exenta N° 342, de 9 de septiembre de 2021, de la Comisión, que modifica Resolución Exenta N° 72, de 5 de marzo de 2020, que establece disposiciones técnicas para la implementación de la Ley N° 21.185, modificada por las Resoluciones Exentas N° 114 y N° 340 exentas, ambas de 2020, y resoluciones N° 115 y N° 186, exentas, ambas de 2021 y fija texto refundido de la misma, todas de la Comisión, en adelante "Resolución Exenta N° 342"; en el Decreto Supremo N° 11T, de 4 de noviembre de 2016, actualizado por el Decreto Supremo N° 5T, de 7 de marzo de 2018, ambos del Ministerio de Energía, que fija fórmulas tarifarias aplicables a los suministros sujetos a precios regulados que se señalan, efectuados por las empresas concesionarias de distribución que se indican, en adelante "Decreto Supremo N° 11T"; en el Decreto Supremo N° 1T, de 2019, del Ministerio de Energía, que fija Precios de Nudo para Suministros de Electricidad; en el Decreto Supremo N° 9T, de 2019, del Ministerio de Energía, que fija Precios de Nudo para Suministros de Electricidad; en el Decreto Supremo N° 2T, de 2020, del Ministerio de Energía, que fija Precios de Nudo para Suministros de Electricidad; en el Decreto Supremo N° 12T, de 2020, del Ministerio de Energía, que fija Precios de Nudo para Suministros de Electricidad; en el Decreto Supremo N° 3T, de 2021, del Ministerio de Energía, que fija Precios de Nudo para Suministros de Electricidad; en el Decreto Supremo N° 16T, de 2020, del Ministerio de Energía, que fija precios de nudo promedio en el Sistema Eléctrico Nacional, de acuerdo al artículo 158° de la Ley General de Servicios Eléctricos, y fija factor de ajuste por aplicación del mecanismo transitorio de estabilización de precios contemplado en la Ley N° 21.185; en el Decreto Supremo N° 20T, de 2018, del Ministerio de Energía, que fija Precios de Nudo Promedio en el Sistema Eléctrico Nacional, de acuerdo al artículo 158° de la Ley General de Servicios Eléctricos y fija ajustes y recargos por aplicación del mecanismo de equidad tarifaria residencial, en adelante "Decreto Supremo N° 20T"; en el Decreto Supremo N° 6T, de 2020, del Ministerio de Energía, que fija Precios de Nudo Promedio en el Sistema Eléctrico Nacional, de acuerdo al artículo 158° de la Ley General de Servicios Eléctricos, y fija Factor de Ajuste por aplicación del mecanismo Transitorio de Estabilización de Precios contemplado en la Ley N° 21.185, en adelante "Decreto Supremo N° 6T"; en el Decreto Supremo N° 19T, de 2020, del Ministerio de Energía, que fija Precios de Nudo Promedio en el Sistema Eléctrico Nacional, de acuerdo al artículo 158° de la Ley General de Servicios Eléctricos, y fija factor de ajuste por aplicación del mecanismo transitorio de estabilización de precios contemplado en la Ley N° 21.185; en el Decreto Supremo N° 8T, de 2021, del Ministerio de Energía, que fija Precios de Nudo Promedio en el Sistema Eléctrico Nacional, de acuerdo al artículo 158° de la Ley General de Servicios Eléctricos, y fija factor de ajuste por aplicación del mecanismo transitorio de estabilización de precios contemplado en la Ley N° 21.185; en el Decreto Supremo N° 9T, de 2022, del Ministerio de Energía, que fija Precios de Nudo Promedio en el Sistema Eléctrico Nacional, de acuerdo al artículo 158° de la Ley General de Servicios Eléctricos, y fija factor de ajuste por aplicación del mecanismo transitorio de estabilización de precios contemplado en la Ley N° 21.185, adelante "Decreto N° 9T/2022"; en el Decreto Supremo N° 1T, de 2015, del Ministerio de Energía, que fija precios a nivel de generación y transmisión en sistemas medianos de Punta Arenas, Puerto Natales, Porvenir y Puerto Williams, y establece planes de expansión en los sistemas señalados; en el Decreto Supremo N° 10T, de 2019, del Ministerio de Energía, que fija precios a nivel de generación y transmisión en sistemas medianos de Punta Arenas, Puerto Natales, Porvenir y Puerto Williams, y establece su plan de expansión, complementado por el Decreto Supremo N° 4T, de 2020, del Ministerio de Energía; en el Decreto Supremo N° 6T, de 2015, del Ministerio de Energía, que fija precios a nivel de generación y transmisión en sistemas medianos de Aysén, Palena y General Carrera, y establece planes de expansión en los sistemas señalados; en el Decreto Supremo N° 3T, de 2019, del Ministerio de Energía, que fija precios a nivel de generación y transmisión en sistemas medianos de Aysén, Palena y General Carrera y establece su plan de expansión, complementado por el Decreto Supremo N° 4T, de 2020, del Ministerio de Energía; en el Decreto Supremo N° 2T, de 2019, del Ministerio de Energía, que fija precios a nivel de generación y transmisión en sistema mediano de Cochamó y establece su plan de expansión; en el Decreto Supremo N° 4T, de 2019, del Ministerio de Energía, que fija precios a nivel de generación y transmisión en sistema mediano de Hornopirén y establece su plan de expansión; en el Decreto Supremo N° 4, de 2020, del Ministerio de Energía, que otorga a Sociedad de Ingeniería Eléctrica Mataquito Limitada, concesión definitiva de servicio público de distribución de energía eléctrica en la Región de Atacama, Provincias de Copiapó y Huasco, comunas de Copiapó y Huasco; en la Resolución Exenta N° 282, de 30 de abril de 2019, de la Comisión, que dispone publicación de precios de energía y potencia en las subestaciones de distribución primarias de los sistemas medianos de Cochamó, Hornopirén, Aysén, Palena, General Carrera, Punta Arenas, Puerto Natales, Porvenir y Puerto Williams; en las Resoluciones Exentas N° 279 y N° 281, ambas de 30 de abril de 2019, de la Comisión; en el Decreto Supremo N° 59, de 2021, del Ministerio de Energía, que otorga a Distribuidora Eléctrica S.A.C., concesión definitiva de servicio público de distribución de energía eléctrica en la Región de Arica y Parinacota, provincia de Arica, comunas de Arica y Camarones; en la Resolución Exenta N° 475, de fecha 28 de junio de 2022, de la Comisión, que aprueba Informe Técnico Definitivo para la Fijación de Precios de Nudo Promedio del Sistema Eléctrico Nacional y del factor de ajuste a que se refiere el numeral 3. del artículo 1° de la Ley Nº 21.185, de junio de 2022; en la Resolución Exenta N° 836, de fecha 16 de noviembre de 2022, de la Comisión, que aprueba Informe Técnico Definitivo para la Fijación de Precios de Nudo Promedio del Sistema Eléctrico Nacional, de noviembre de 2022 y deja sin efecto Resolución Exenta N° 475, de la Comisión, de 28 de junio de 2022, enviada al Ministerio de Energía mediante oficio CNE OF. ORD. N° 718, de fecha 16 de noviembre de 2022, en adelante "Resolución Exenta N° 836"; en la Resolución Exenta N° 886, de fecha 12 de diciembre de 2022, de la Comisión, que rectifica Informe Técnico Definitivo para la Fijación de Precios de Nudo Promedio del Sistema Eléctrico Nacional, de noviembre de 2022, y aprueba texto refundido, enviada al Ministerio de Energía, mediante Oficio CNE OF. ORD. N° 765, de igual fecha; en adelante "Resolución Exenta N° 886"; en el Oficio Ordinario N° 1393, de 29 de septiembre de 2022, del Ministerio de Energía; en el Oficio Ordinario N° 1989, de 14 de noviembre de 2022, del Ministerio de Hacienda; en la Resolución Exenta N° 86, de 2 de marzo de 2023, de la Comisión, que establece disposiciones técnicas para la implementación de la Ley N° 21.472, en adelante "Resolución Exenta N° 86"; en el Decreto N° 283, de 16 de marzo de 2023, del Ministerio de Hacienda, que modifica presupuesto vigente del sector público; en la Resolución Exenta N° 128, de 30 de marzo de 2023, de la Comisión, que rectifica Informe Técnico Definitivo para la Fijación de Precios de Nudo Promedio del Sistema Eléctrico Nacional, de noviembre de 2022, aprobado mediante Resolución Exenta N° 886 de la Comisión, de fecha 12 de diciembre de 2022, enviada al Ministerio de Energía mediante oficio CNE OF. ORD. N° 212, de 30 de marzo de 2023, en adelante "Resolución Exenta N° 128"; en la Resolución N° 7, de 2019, de la Contraloría General de la República; y
Considerando:
1. Que, de conformidad a lo establecido en el artículo 158° de la Ley corresponde fijar por decreto del Ministerio de Energía, expedido bajo la fórmula "por orden del Presidente de la República", los precios promedio que las concesionarias de servicio público de distribución, en adelante las "Concesionarias" o "Distribuidoras", deben traspasar a sus clientes regulados, previo informe de la Comisión
2. Que, de acuerdo a lo señalado en el artículo 158°, inciso tercero, de la Ley, las Concesionarias pagarán a sus suministradores los niveles de precios de los respectivos contratos señalados en el presente decreto.
3. Que, el artículo 158° de la Ley señala que los decretos de precio de nudo promedio tendrán vigencia semestral y serán dictados en la oportunidad que determine el reglamento.
4. Que, el artículo vigésimo transitorio de la Ley N° 20.936 estableció que mientras los reglamentos emanados de la mencionada ley no entren en vigencia, dichas disposiciones se sujetarán en cuanto a los plazos, requisitos y condiciones a las disposiciones de la Ley y a las que se establezcan por resolución exenta de la Comisión.
5. Que, mediante la RE N° 703, la Comisión estableció los plazos, requisitos y condiciones a los que deberá sujetarse el proceso de fijación de precios de nudo promedio regulado en los artículos 155° y siguientes de la Ley.
6. Que, con fecha 2 de noviembre de 2019, se publicó en el Diario Oficial la Ley N° 21.185, que crea un mecanismo transitorio de estabilización de precios de energía eléctrica para clientes sujetos a regulación de precios.
7. Que, por su parte, con fecha 2 de agosto de 2022, se publicó la Ley N° 21.472, que crea un fondo de estabilización de tarifas y establece un nuevo mecanismo de estabilización transitorio de precios de la electricidad para clientes sometidos a regulación de precios.
8. Que, los artículos 157° y 191° de la Ley regulan, respectivamente, los mecanismos de reconocimiento de generación local y de reconocimiento de generación local adicional; y el mecanismo de equidad tarifaria residencial.
9. Que, en relación a los cargos y descuentos asociados a la aplicación de los mecanismos de reconocimiento de generación local y de reconocimiento de generación local adicional y los ajustes y recargos a aplicar en virtud del mecanismo de equidad tarifaria residencial, cabe tener en consideración que conforme a lo establecido en el numeral 5 del artículo 3 de la Ley N° 21.472, para el caso de los mecanismos de reconocimiento de generación local, y a lo dispuesto en el artículo 13° de la Resolución Exenta N° 86, para el caso del mecanismo de equidad tarifaria residencial, y mientras se mantenga vigente el mecanismo de estabilización de precios, no se recalcularán los factores de intensidad para cada comuna y los descuentos según porcentaje de aporte, ni los factores de equidad tarifaria residencial, manteniéndose los mismos establecidos en informe técnico definitivo que dio origen al Decreto Supremo N° 9T/2022.
10. Que, mediante el Oficio Ordinario N° 1393, de 29 de septiembre de 2022, el Ministerio de Energía solicitó al Ministerio de Hacienda disponer de las medidas pertinentes con el objeto de dar aplicación a lo dispuesto en el artículo cuarto transitorio de la Ley N° 21.472, de manera de que se concrete el aporte de hasta 15 millones de dólares de los Estados Unidos de América, o su equivalente en moneda nacional, al Fondo de Estabilización de Tarifas creado en virtud del artículo 1 de la misma ley.
11. Que, mediante el Oficio Ordinario N° 1989, de 14 de noviembre de 2022, el Ministerio de Hacienda dio respuesta al oficio señalado en el considerando precedente, informando esa Cartera de Estado sobre la conveniencia de aportar al Fondo de Estabilización de Tarifas por un monto de 15 millones de dólares de los Estados Unidos de América o su equivalente en moneda nacional, con la finalidad de amortizar las alzas que se determinen con ocasión de la fijación tarifaria a que se refiere el artículo 158° de la Ley para las tarifas de los Clientes Protegidos. Lo anterior, fue materializado a través del Decreto N° 283, de 16 de marzo de 2023, del Ministerio de Hacienda, que modifica presupuesto vigente del sector público.
12. Que, de conformidad a lo dispuesto en los considerandos precedentes, la Comisión, mediante el oficio CNE OF. ORD. N° 718, de 16 noviembre de 2022, remitió a este Ministerio la Resolución Exenta N° 836, de la misma fecha, que aprueba Informe Técnico Definitivo para la Fijación de Precios de Nudo Promedio del Sistema Eléctrico Nacional, de noviembre de 2022, y deja sin efecto Resolución Exenta N° 475, de la Comisión, de 28 de junio de 2022.
13. Que, luego, mediante Resolución Exenta N° 886, de 12 de diciembre de 2022, de la Comisión, se rectificó el Informe Técnico Definitivo para la Fijación de Precios de Nudo Promedio del Sistema Eléctrico Nacional, de noviembre de 2022, y se aprobó su texto refundido. La referida Resolución fue remitida al Ministerio, mediante Oficio CNE OF. ORD. N° 765, de igual fecha.
14. Que, el informe técnico señalado en el considerando anterior contiene el cálculo de los nuevos precios de nudo promedio para cada Concesionaria, según lo establecido en el artículo 157° de la Ley, considerando el mecanismo de estabilización de precios establecido en el numeral 1 del artículo 3 de la Ley N° 21.472, a saber, desde el término de la vigencia del Decreto Supremo N° 9T/2022 y hasta que comience a regir el primer periodo tarifario del año 2023.
15. Que, mediante la Resolución Exenta N° 86, la Comisión estableció las disposiciones técnicas para la implementación de la Ley N° 21.472.
16. Que, mediante la Resolución Exenta N° 128, de 30 de marzo de 2023, de la Comisión, se rectificó el Informe Técnico Definitivo para la Fijación de Precios de Nudo Promedio del Sistema Eléctrico Nacional, de noviembre de 2022. La referida resolución fue remitida al Ministerio, mediante Oficio CNE OF. ORD. N° 212, de igual fecha.
17. Que, en virtud de lo expuesto en los considerandos precedentes, este Ministerio viene en dictar el presente acto administrativo, conforme se indica en la parte resolutiva del mismo.
Decreto:
Artículo primero: Fíjanse los precios de nudo promedio y las condiciones de aplicación de los mismos, para los suministros de electricidad destinados a clientes sometidos a regulación de precios, en adelante "Clientes Regulados" o "Clientes", en virtud de lo señalado en los artículos 155° y siguientes de la Ley, considerando el mecanismo de estabilización de precios establecido en el numeral 1 del artículo 3 de la Ley N° 21.472. Estos precios se aplicarán desde la publicación del presente decreto en el Diario Oficial, sin perjuicio de su entrada en vigencia a contar del 1° de julio de 2022.
1 DEFINICIONES Y CONSIDERACIONES
1.1 Ajuste o Recargo (AR):
Ajuste o recargo a nivel de distribución aplicable a los clientes regulados de la empresa concesionaria, resultante de la aplicación del artículo 157º de la Ley y de la incorporación de los cargos de reliquidaciones que correspondan, en [$/kWh]. Se entenderá que el factor AR corresponde a un ajuste cuando su valor sea negativo y a un recargo cuando su valor sea positivo.
1.2 Ajuste por Armonización Tarifaria (AAT)
Ajuste a que se refiere el Artículo 15° de la Resolución Exenta N° 703, el cual establece que el mecanismo de traspaso de los precios de nudo promedio, deberá resguardar la debida coherencia entre la facturación de los contratos de suministro en los Puntos de Compra y los retiros físicos asociados a dichos contratos, y la tarificación de los segmentos de transmisión. El AAT será incorporado por el Suministrador a la facturación de energía del concesionario de distribución.
1.3 Déficit Semestral de las Distribuidoras
Suma de los montos que no pudieron ser recaudados por las Distribuidoras, de conformidad a los balances de las Distribuidoras a que se refiere el artículo 33° de la Resolución Exenta N° 86.
1.4 Diferencias por Compras
Monto de dinero determinado por el Coordinador Independiente del Sistema Eléctrico Nacional, en adelante "Coordinador", para cada contrato, de conformidad a lo establecido en el artículo 17° de la RE N° 703.
1.5 Excedente Semestral de las Distribuidoras
Suma de los montos de exceso de recaudación por parte de las Distribuidoras, según los balances de las Distribuidoras, calculado de conformidad a lo establecido en el artículo 33° de la Resolución Exenta N° 86.
1.6 Mecanismo de Protección al Cliente ("MPC")
Mecanismo a que se refiere el artículo 2 de la Ley N° 21.472, que estabiliza los precios de energía, para el Sistema Eléctrico Nacional y los sistemas medianos, complementario a aquel establecido en la ley N° 21.185, para los clientes sujetos a regulación de precios suministrados por Concesionarias reguladas por la Ley.
1.7 Beneficio a Cliente Final
Beneficio contemplado en el artículo 4 de la Ley N° 21.472, que corresponde a la diferencia de valorización de los respectivos consumos entre los precios de nudo promedio correspondientes o del decreto respectivo para el caso de los sistemas medianos y los precios establecidos en el artículo 3 de dicho cuerpo normativo.
1.8 Excesos de Saldos Ley 21.185
Monto de saldos que ha superado el límite de 1.350 millones de dólares establecido en la Ley N° 21.185, calculado de conformidad al artículo 41° de la Resolución Exenta N° 86. El valor de Excesos de Saldos del Sistema será igual a cero mientras no se contabilice que los saldos han superado el referido límite.
1.9 Fondo de Estabilización de Tarifas
Corresponde al fondo a que se refiere el artículo 212°-14 de la Ley, el cual será administrado por la Tesorería General de la República, cuyo objeto será la estabilización de las tarifas eléctricas para clientes regulados.
1.10 Precio preferente para pequeños consumos 2022
Corresponde al precio de energía y potencia del período tarifario anterior, contemplado en el literal a), del numeral 1, del artículo 3, de la Ley N° 21.472, ajustado por la variación que experimente el Índice de Precios al Consumidor respecto al último período tarifario. Este precio aplicará a aquellos clientes cuyo consumo sea igual o inferior a 350 kWh promedio mensual.
1.11 Precio preferente para consumos medianos 2022
Corresponde, de acuerdo al literal b), del numeral 1, del artículo 3, de la Ley N° 21.472, al precio de nudo promedio de energía del período tarifario anterior, ajustado por la variación que experimente el Índice de Precios al Consumidor respecto al último período tarifario e incrementado en un 5%. Este precio aplicará a aquellos clientes cuyo consumo sea superior a 350 kWh promedio mensual e igual o inferior a 500 kWh promedio mensual.
1.12 Precio de estabilización 2022
Corresponde, de acuerdo al literal c), del numeral 1, del artículo 3, de la Ley N° 21.472, al precio nudo promedio de energía del período tarifario anterior ajustado por la variación que experimente el Índice de Precios al Consumidor respecto al último período tarifario e incrementado en un 15%. Este precio aplicará a aquellos clientes cuyo consumo sea superior a 500 kWh promedio mensual.
1.13 Precios de Nudo de Corto Plazo de energía y potencia de punta
Son aquellos precios fijados semestralmente conforme a lo establecido en el artículo 160° de la Ley y demás normativa vigente.
1.14 Precios de Nudo de Largo Plazo de energía y potencia
Son aquellos precios que debe pagar una Concesionaria a su suministrador en virtud del contrato de suministro respectivo, suscrito a partir de las licitaciones públicas reguladas en conformidad a los artículos 131° y siguientes de la Ley.
1.15 Saldos Contabilizados según Ley 21.185
Corresponde a los saldos originados con motivo de la aplicación del Mecanismo de Estabilización de Precios, los que además incorporan las diferencias de facturación a que se refiere el artículo 13° de la RE N° 703 que no hayan sido pagadas a la fecha de publicación de la Ley N° 21.185 y las Diferencias por Compras a que hace referencia el artículo 17° de la RE °703 que no hayan sido pagadas por las facturaciones de Armonización Tarifaria ("AAT") a la fecha de publicación de la Ley N° 21.185.
1.16 Consideraciones Generales
Para los efectos del presente decreto, el precio de nudo promedio corresponderá al promedio de los precios de nudo de largo plazo vigentes para los suministros, conforme a la modelación de los contratos de las Concesionarias, ponderando cada precio por el volumen de suministro correspondiente.
En el caso que una Concesionaria, a la fecha de entrada en vigencia del presente decreto, tenga suministros sujetos a Precio de Nudo de Corto Plazo, el precio de nudo promedio se obtendrá considerando esos suministros con criterios similares a los contratos licitados, constituyéndose entonces como un contrato recogido en el cálculo del precio de nudo promedio.
La modelación de los contratos de suministro, elaborada por la Comisión con ocasión de la realización de su informe técnico, considera los índices disponibles al momento en que realiza el cálculo. Lo anterior, sin perjuicio del pago que deban realizar las Concesionarias a sus suministradores, de acuerdo a lo establecido en sus respectivos contratos.
Se considerarán para el mecanismo solo aquellos contratos que inicien suministro antes de 2021. 2
PRECIOS DE NUDO DE LARGO PLAZO
2.1 Precios de Nudo de Largo Plazo de energía y potencia, Precios de Nudo de Largo Plazo y Cargo Equivalente de Transmisión
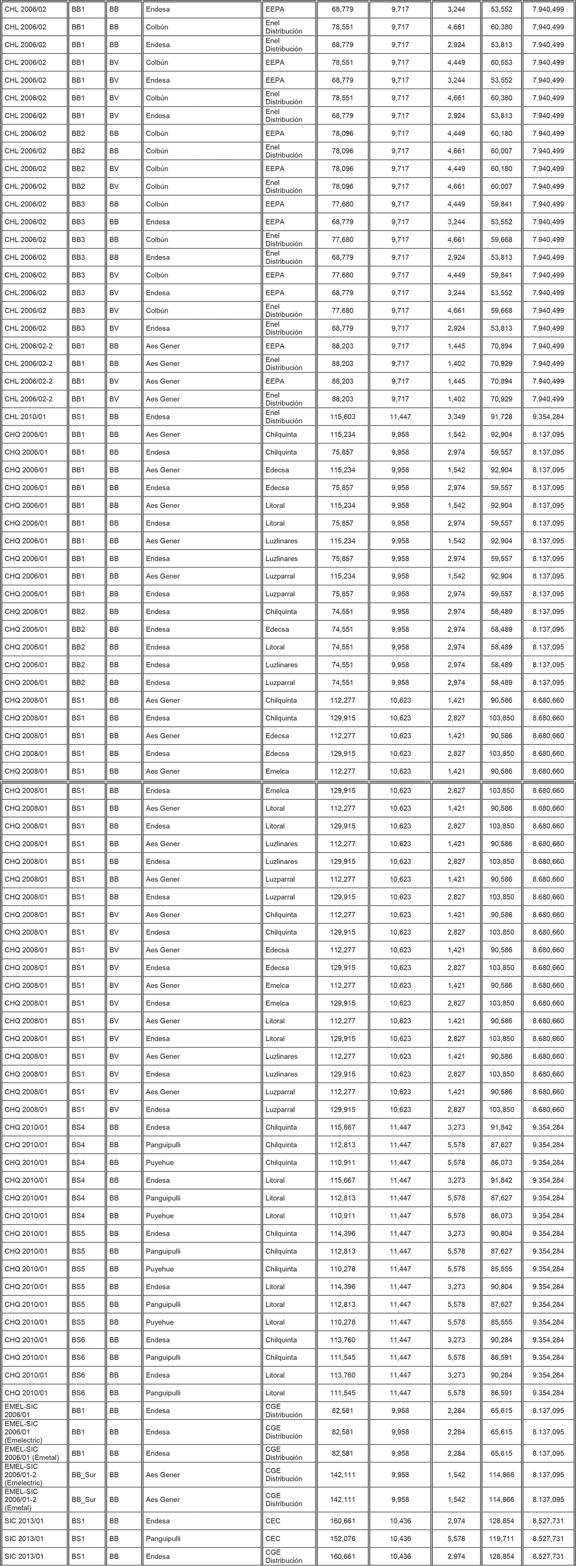
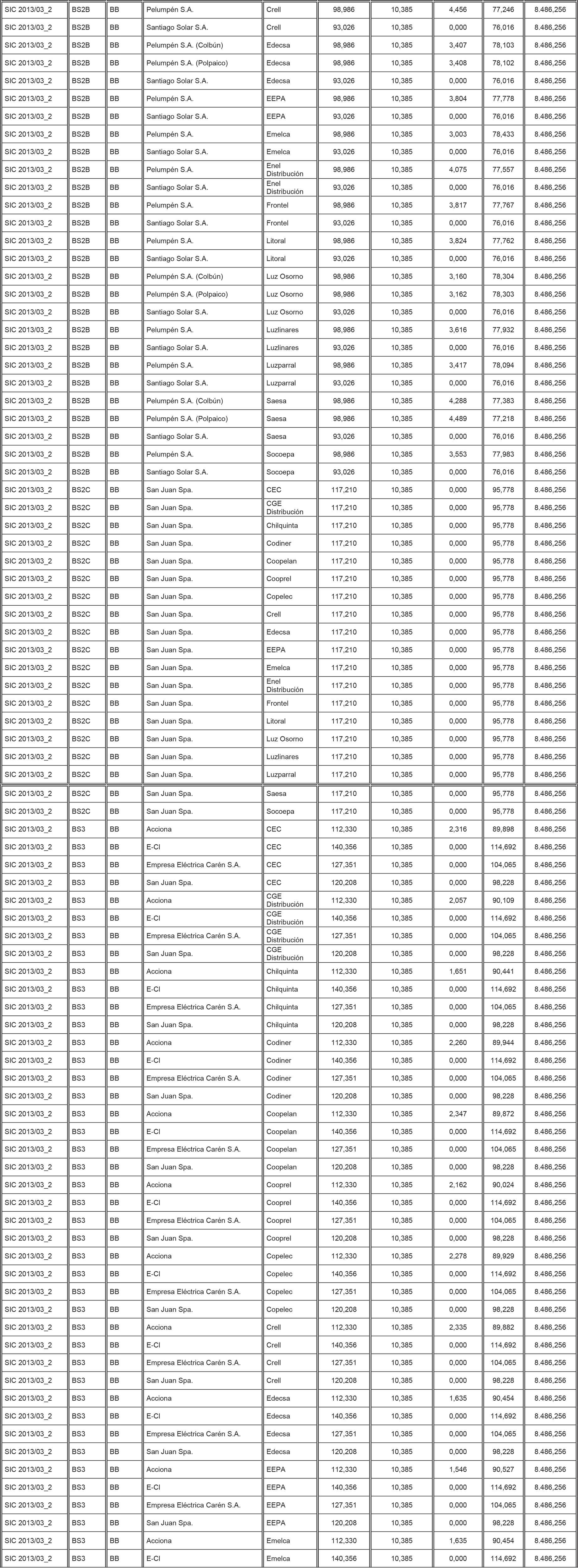
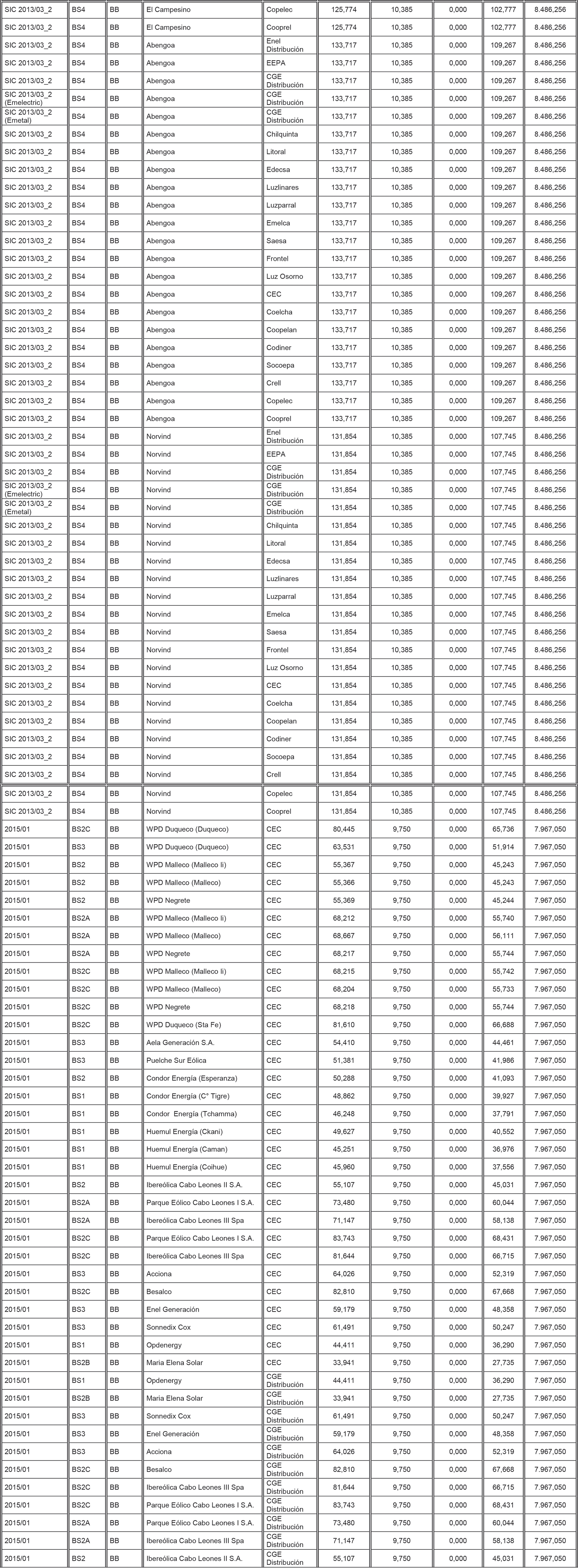
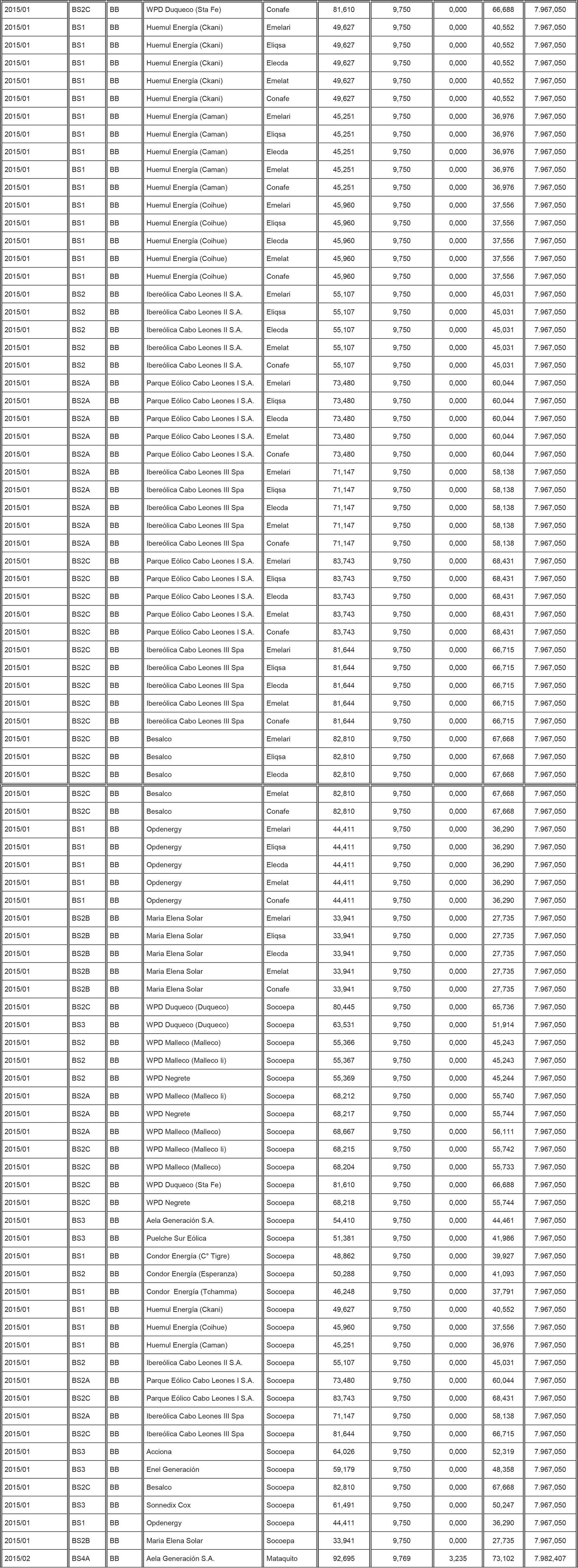
Los Precios de Nudo de Largo Plazo de energía y potencia, de acuerdo a lo señalado en los artículos 6° y 11° de la RE N° 703, y los descuentos del monto del Cargo Equivalente de Transmisión Final ("CET") en el precio total de energía de los contratos modificados de acuerdo a lo señalado en el artículo vigésimoquinto transitorio, letra E. número i., de la Ley N° 20.936 y en la RE N° 7, son los que se indican en la siguiente tabla:
Tabla 1: Precio de Nudo de Largo Plazo en Sistema Eléctrico Nacional























Para estos efectos, se han considerado las empresas que resultaron adjudicadas en las respectivas licitaciones, sin perjuicio de las posteriores cesiones de contratos y cambios en la persona jurídica del suministrador.
Adicionalmente, en conformidad a lo dispuesto en el numeral 4 del artículo 3° de la Ley N° 21.472, para el caso de los sistemas medianos, la componente de energía y potencia será estabilizada y fijada semestralmente de acuerdo a las condiciones definidas en los numerales anteriores del citado artículo y las demás disposiciones de la referida ley.
Tabla 2: Precios de Nudo de Largo Plazo en los Sistemas Medianos

3 SALDOS POR MECANISMO DE PROTECCIÓN AL CLIENTE
Conforme a lo dispuesto en la Ley N° 21.472, el presente decreto deberá indicar los saldos originados por la aplicación del Mecanismo de Protección al Cliente. Sin perjuicio de lo anterior, cabe señalar que no existen saldos originados por la aplicación del referido mecanismo.
A su vez, la contabilización de saldos deberá incorporar tanto las diferencias de facturación a que se refiere el artículo 13° de la RE N° 703 que no hayan sido pagadas a la fecha de publicación de la Ley Nº 21.185 como las Diferencias por Compras a que hace referencia el artículo 17° de la RE N° 703 que no hayan sido pagadas por las facturaciones de Armonización Tarifaria ("AAT") a la fecha de publicación de la Ley N° 21.185. De la misma forma, de acuerdo con lo indicado en el artículo 18° de la Resolución Exenta N° 86, las diferencias de facturación producidas en los sistemas medianos por la aplicación del Mecanismo de Estabilización serán incorporadas a los saldos del respectivo sistema mediano.
Conforme a lo señalado precedentemente, la siguiente tabla contiene los saldos antes mencionados, contabilizados a junio de 2022:
Tabla 3: Saldos a junio de 2022

Los detalles de los saldos del Sistema Eléctrico Nacional, identificando al suministrador acreedor de dichos saldos y la Distribuidora deudora correspondiente, se indican a continuación:
TablaResolución 1,
ENERGÍA
Nº 1 a)
D.O. 18.05.2023 4: Saldos por suministrador - Distribuidora SEN
ENERGÍA
Nº 1 a)
D.O. 18.05.2023 4: Saldos por suministrador - Distribuidora SEN







(*) Corresponde a modificaciones informadas por el CEN, de energías y potencias facturadas de períodos anteriores
Los detalles de los saldos de los sistemas medianos, identificando al suministrador acreedor de dichos saldos y la Distribuidora deudora correspondiente, se indican a continuación:
Tabla 5: Saldos por suministrador - Distribuidora sistemas medianos

El detalle de los saldos totales acumulados de cada contrato, se encuentra en el Anexo N° 3 del informe técnico definitivo para la fijación de precios de nudo promedio, cuyo texto refundido fue aprobado por Resolución Exenta N° 886, de la Comisión, el cual se encuentra disponible en el sitio web de la Comisión, en el siguiente link: https://www.cne.cl/wp-content/uploads/2022/11/ Anexo3-11-2022.xlsx.
4 BALANCE DISTRIBUIDORAS
Adicionalmente, se determinaron los Excedentes y/o Déficit Semestrales de las Distribuidoras de acuerdo con lo señalado en el artículo 33° de la Resolución Exenta N° 86, y conforme a lo indicado en el informe técnico de la Comisión, aprobado por la Resolución Exenta N° 886.
Tabla 6: Excedente o déficit semestral por Distribuidora

5 DIFERENCIAS DE FACTURACIÓN CONTRATOS QUE INICIAN SU SUMINISTRO A PARTIR DEL AÑO 2021
También se han considerado la suma de las diferencias de facturación de los contratos que inician su suministro a partir de 2021, calculada de conformidad a lo establecido en el artículo 16° de la Resolución Exenta N° 86, los que se detallan en la tabla a continuación:
Tabla 7: Diferencias de facturación contratos con inicio de suministro año 2021

6 PRECIOS DE NUDO PROMEDIO APLICABLES A CLIENTES REGULADOS
Los precios de nudo en nivel de distribución determinados para cada Concesionaria y sistema de transmisión zonal, incorporan los ajustes señalados por el mecanismo de estabilización y teniendo en consideración lo establecido en el artículo 3 de la Ley N° 21.472, en el sentido de distinguir los clientes de acuerdo a su consumo en:
(i) Clientes cuyo consumo sea igual o inferior a 350 KWh promedio mensual;
(ii) Clientes cuyo consumo sea superior a 350 KWh promedio mensual e igual o inferior a 500 KWh promedio mensual; y
(iii) Clientes cuyo consumo sea superior a 500 KWh promedio mensual.
Por su parte, de acuerdo a lo dispuesto en el artículo cuarto transitorio de la Ley N° 21.472, el Ministerio de Hacienda, mediante el Decreto N° 283, de 16 de marzo de 2023, que modifica presupuesto vigente del sector público, efectuó un aporte de 15 millones de dólares de los Estados Unidos de América o su equivalente en moneda nacional, al Fondo de Estabilización de Tarifas creado por el artículo 1 de la referida ley, con el propósito que dichos fondos sean utilizados para contener alzas que se determinen con ocasión de la fijación tarifaria que se refiere el artículo 158° de la Ley, para las tarifas de los clientes regulados en el literal a) del número 1 del artículo 1 de la Ley N° 21.472.
Los valores que las Distribuidoras podrán traspasar a sus Clientes Regulados se indican en la Tabla 11, para cada Concesionaria y sector de nudo asociado al sistema de transmisión zonal en donde se ubica el cliente respectivo, considerando la siguiente clasificación para las empresas distribuidoras presentes en más de un sector de nudo:
Tabla 8: Comunas por sistema de transmisión zonal



*En el caso de las comunas que están asociadas a dos o más sistemas de transmisión zonal, la Concesionaria deberá asignar el cliente al sistema que le corresponda de acuerdo a la información que sustenta el proceso anual de "Ingresos de Explotación", entregada a la Superintendencia de Electricidad y Combustibles.
En base a las diferencias de facturación y compra de energía y potencia de los contratos que iniciaron suministro a partir del año 2021, conforme a lo indicado en la Tabla 7, se determinó el cargo por excedente o déficit de recaudación ("CEDR"), el cual se indica en la tabla a continuación.
Tabla 9: Cargo por excedente o déficit de recaudación

Los precios de nudo promedio de energía y de potencia en nivel de distribución, sin considerar cargo o descuento por Reconocimiento de Generación Local, para cada concesionaria y sistema de transmisión zonal, incorporando el respectivo cargo AR, son los que se presentan a continuación:
Tabla 10: Precios en nivel distribución y AR

De acuerdo a lo indicado en el párrafo primero de este numeral, los precios de nudo de energía y potencia promedio en nivel de distribución para cada Concesionaria, sector de nudo y comuna, son los que se indican a continuación:
Tabla 11: Precios de energía y potencia en nivel de distribución






*Todas aquellas comunas que no se encuentren individualizadas en la tabla y que son suministradas por la respectiva Concesionaria en el sistema de transmisión zonal indicado.
Donde:
PNEP : Precio de nudo de la energía promedio para todas las subestaciones del sistema de transmisión nacional de generación-transporte de la concesionaria, en [$/kWh].
PNPP : Precio de nudo de la potencia de punta promedio para todas las subestaciones del sistema de transmisión nacional de generación-transporte de la concesionaria, en [$/kW/mes].
Pe : Precio de nudo de la energía en nivel de distribución, en [$/kWh].
Pp : Precio de nudo de la potencia en nivel de distribución, en [$/kW/mes].
CD RGL : Cargo o descuento a nivel de distribución aplicable a los clientes regulados de la empresa concesionaria por comuna, resultante de la aplicación del artículo 157° de la Ley, estabilizado mediante la Ley N° 21.472, en [$/kWh]. Se entenderá que el factor CD RGL corresponde a un descuento cuando su valor sea negativo y a un cargo cuando su valor sea positivo.
De acuerdo a lo establecido en el numeral 5 del artículo 3 de la Ley N° 21.472, respecto a los CD RGL, se han mantenido los mismos factores de intensidad y los descuentos por porcentaje de aporte, establecidos en el informe técnico definitivo que dio origen al Decreto 9T/2022.
Para el caso particular de los sistemas medianos de Cochamó y Hornopirén pertenecientes a la zona de concesión de Saesa, no será aplicable el cargo correspondiente a los parámetros AR y CD RGL. Los precios de energía a nivel de distribución traspasables a Clientes Regulados por las Concesionarias Edelaysen y Edelmag son los que se establecen a continuación:
Tabla 12: Precios en Nivel de distribución Sistemas Medianos

En los sistemas medianos de Punta Arenas, Puerto Natales, Porvenir y Puerto Williams y de Aysén, Palena y General Carrera, los precios de nudo de energía y potencia de punta que se aplicarán a los suministros servidos en la barra de retiro para el nivel de tensión que se indica, corresponden a los indicados en la Tabla 2.
En la Tabla 12, los valores correspondientes a "Precios fijación PNP julio 2022" se obtienen aplicando los factores Ni, que se señalan en la tabla siguiente:
Tabla 13: Ponderadores Ni para precios traspasables a cliente final en los sistemas medianos

7 GRAVÁMENES E IMPUESTOS
Las tarifas establecidas en el presente decreto son netas y no incluyen el impuesto al valor agregado ni otros impuestos o tributos que sean de cargo de los Clientes.
8 RELIQUIDACIONES ENTRE CONCESIONARIAS
El Coordinador determinará las reliquidaciones entre concesionarias producto de la aplicación del artículo 157° de la ley.
NOTA
Los literales b.1), b.2) y b.3) de la letra b) del Nº 1 de la Resolución 1, Energía, publicada el 18.05.2023, modifica la Tabla 5: Saldos por suministrador - Distribuidora sistemas medianos, del numeral 3 del presente artículo primero, en los valores que indican los literales de la citada norma.
Los literales b.1), b.2) y b.3) de la letra b) del Nº 1 de la Resolución 1, Energía, publicada el 18.05.2023, modifica la Tabla 5: Saldos por suministrador - Distribuidora sistemas medianos, del numeral 3 del presente artículo primero, en los valores que indican los literales de la citada norma.
Artículo segundo: Fíjanse los ajustes y recargos a que da origen el mecanismo de equidad tarifaria residencial establecido en el artículo 191° de la Ley y las condiciones de aplicación del mismo, considerando además lo dispuesto por la Resolución Exenta N° 86.
1. MECANISMO DE EQUIDAD TARIFARIA RESIDENCIAL
De conformidad a lo establecido en los incisos segundo y siguientes del artículo 191° de la Ley, en el conjunto de los sistemas eléctricos con capacidad instalada superior a 1.500 kilowatts, las tarifas máximas que las Distribuidoras podrán cobrar por suministro a usuarios residenciales no podrán superar el promedio simple de éstas, calculadas sobre la base de un consumo tipo, incrementado en un 10% del mismo, considerando una muestra representativa. En caso que dichas tarifas excedan el porcentaje señalado, se deberá aplicar un ajuste a la componente contemplada en el número 3 del artículo 182° de la Ley. Si a pesar de ello no se lograre alcanzar el porcentaje antes mencionado, se aplicará el máximo descuento obtenido, sin que procedan ajustes adicionales. Las diferencias serán absorbidas progresivamente por todos los demás suministros sometidos a regulación de precios que estén bajo el promedio señalado, con excepción de aquellos usuarios residenciales cuyo consumo promedio mensual de energía del año calendario anterior sea menor o igual a 200 kWh, de modo que no varíe la recaudación total inicial. Sin perjuicio de lo anterior, las tarifas correspondientes a aquellos usuarios residenciales que deban absorber las diferencias señaladas, no podrán resultar superiores al promedio simple de éstas.
Los ajustes y recargos que se originen con motivo de la aplicación del mecanismo antes señalado, se implementarán mediante la aplicación de los factores de equidad tarifaria residencial ("FETR") a las correspondientes fórmulas tarifarias señaladas en el Decreto Supremo N° 11T.
2. FACTORES DE EQUIDAD TARIFARIA RESIDENCIAL
El artículo 13° de la Resolución Exenta N° 86 dispone que, con el fin de mantener la debida coherencia del Mecanismo de Protección al Cliente, y durante toda su vigencia, se aplicarán ciertas reglas especiales respecto del informe técnico semestral asociado a la fijación de precios de nudo promedio a que se refiere el artículo 158° de la Ley, señalando en su literal c) que no se recalcularán los factores de equidad tarifaria residencial dispuestos por el mecanismo señalado en el inciso segundo del artículo 191° de la Ley, manteniéndose los mismos factores de equidad tarifaria residencial establecidos en el Decreto Supremo N° 9T, salvo por la entrada en vigencia de un nuevo decreto que fije el valor agregado de distribución de acuerdo al artículo 190° de la Ley.
En cumplimiento de lo expuesto, a continuación, se reproducen los FETR contenidos en el Decreto Supremo N° 9T, aplicables en las correspondientes fórmulas tarifarias contenidas en el Decreto Supremo N° 11T:
Tabla 14: Factores de equidad tarifaria










*Todas aquellas comunas que no se encuentren individualizadas en la tabla y que son suministradas por la respectiva Concesionaria en el sistema de transmisión zonal indicado.
En particular, para las combinaciones de tipos de suministros que se indican a continuación, atendidos los factores de modulación de costos subterráneos establecidos en el numeral 7.11 del Decreto Supremo N° 11T, que le corresponden a estos suministros a clientes residenciales, se deben aplicar los FETR señalados en la siguiente tabla, en las correspondientes fórmulas tarifarias contenidas en el Decreto Supremo N° 11T:
Tabla 15: Factores de equidad tarifaria para los tipos suministro señalados

No obstante lo señalado en el literal c) del artículo 10° de la Resolución Exenta N° 342, cabe señalar que la empresa Mataquito fue creada con posterioridad a la dictación del Decreto Supremo N° 20T y, por tanto, los FETR aplicables a la componente contemplada en el número 3 del artículo 182° de la Ley, asociado a las tarifas de los Clientes Regulados suministrados por dicha Concesionaria no se encuentran recogidos en el citado decreto.
Por lo anterior, los FETR aplicables a la componente contemplada en el número 3 del artículo 182° de la Ley, asociado a las tarifas de los Clientes Regulados suministrados por la empresa Mataquito, son los siguientes:
Tabla 16: Factores de equidad tarifaria para Mataquito

Asimismo, atendido que la empresa Distribución Eléctrica S.A.C. (DESA), fue creada con posterioridad a la dictación del Decreto Supremo N° 20T y, por tanto, los FETR aplicables a la componente contemplada en el número 3 del artículo 182° de la Ley, asociado a las tarifas de los Clientes Regulados suministrados por dicha Concesionaria no se encuentran recogidos en el citado decreto.
Por lo anterior, los FETR aplicables a la componente contemplada en el número 3 del artículo 182° de la Ley, asociado a las tarifas de los Clientes Regulados suministrados por DESA, son los siguientes:
Tabla 17: Factores de equidad tarifaria para DESA

Para efectos de la aplicación de las tarifas TRBT2, TRBT3, TRAT1, TRAT2 y TRAT3 individualizadas en el numeral 3.1 del Decreto N° 11T, el FETR a utilizar será aquel asociado a la combinación empresa distribuidora, comuna y sistema de transmisión zonal correspondiente a dicho usuario, definido para la tarifa residencial BT1a.
Para el caso de los clientes residenciales, cuyo consumo promedio mensual de energía del año calendario anterior haya sido mayor a 200 kWh y menor o igual a 240 kWh, los factores señalados en las tablas precedentes deberán aplicarse conforme las proporciones a que se refiere el inciso segundo del artículo 191° de la Ley.
Las transferencias entre concesionarias a que den origen las diferencias de facturación producto de la aplicación del mecanismo de equidad tarifaria residencial serán calculadas por el Coordinador, de acuerdo con lo señalado en la Resolución Exenta N° 556 de la Comisión, de fecha 6 de octubre de 2017.
Anótese, tómese razón y publíquese.- Por orden del Presidente de la República, Diego Pardow Lorenzo, Ministro de Energía.
Lo que transcribo a Ud. para su conocimiento.- Saluda Atte. a Ud., María Fernanda Riveros Inostroza, Jefa División Jurídica, Subsecretaría de Energía.