DETERMINA LOS ARANCELES REGULADOS, LOS DERECHOS BÁSICOS DE MATRÍCULA Y COBROS POR CONCEPTO DE TITULACIÓN O GRADUACIÓN PARA LAS INSTITUCIONES DE EDUCACIÓN SUPERIOR QUE ACCEDEN AL FINANCIAMIENTO INSTITUCIONAL PARA LA GRATUIDAD
     
    Núm. 2.483 exenta.- Santiago, 28 de abril de 2023.
     
    Considerando:
     
    1º. Que, el Título V de la Ley Nº 21.091, sobre Educación Superior (en adelante e indistintamente, "Ley N° 21.091" o "Ley de Educación Superior") regula el Financiamiento Institucional para la Gratuidad, cuyas normas deben aplicarse considerando lo establecido en el párrafo 7º de las disposiciones transitorias de dicha Ley.
    En ese marco normativo, el artículo 87 de la Ley antedicha establece las obligaciones que deben cumplir las Instituciones de Educación Superior que accedan al Financiamiento Institucional para la Gratuidad, considerando en su letra a) la de "Regirse por la regulación de aranceles, derechos básicos de matrícula y cobros por concepto de titulación o graduación, establecidas en el párrafo 2º y en conformidad al párrafo 5º del presente título".
    2º. Que, el artículo 88 de la Ley Nº 21.091, establece que aquellas Instituciones de Educación Superior que accedan al Financiamiento Institucional para la Gratuidad se regirán por los Valores Regulados de Aranceles, los Derechos Básicos de Matrícula y Cobros por concepto de Titulación o Graduación para las carreras o programas de estudio señalados en el artículo 104 de la misma Ley.
    Asimismo, señala que los "Los valores de los aranceles regulados se determinarán en razón a "grupos de carreras" definidos por la Subsecretaría, los que corresponderán a conjuntos de carreras o programas de estudios que tengan estructuras de costo similares entre sí. Para ello, la Subsecretaría deberá considerar, al menos, los recursos que se requieran para impartirlas en razón de su estructura curricular, si se trata de carreras o programas de estudios profesionales o técnicos de nivel superior, los niveles, años y dimensiones de acreditación institucional con que cuentan las instituciones que las imparten, el tamaño de estas últimas y la región en que se imparten".
    3º. Que, por su parte, el artículo 89 de la Ley dispone que "El arancel regulado deberá dar cuenta del costo de los recursos materiales y humanos que sean necesarios y razonables, de acuerdo a lo previsto en las bases técnicas señaladas en el artículo 90, para impartir una carrera o programa de estudios de los grupos de carreras respectivos. Dicho arancel deberá considerar tanto los costos anuales directos e indirectos como el costo anualizado de las inversiones en infraestructura, tales como laboratorios, servicios, edificios y uso de dependencias".
    4º. Que, en ese contexto, y en cumplimiento de lo dispuesto en los artículos 88 y siguientes y en el trigésimo séptimo transitorio de dicho cuerpo legal, la Subsecretaría de Educación Superior, dictó la Resolución Exenta N° 6.687, de 2019, que estableció las primeras Bases Técnicas para el Cálculo del Arancel Regulado, Derechos Básicos de Matrícula y Cobros por concepto de Titulación o Graduación, en el marco del Financiamiento Institucional para la Gratuidad (en adelante e indistintamente, "Resolución Exenta N° 6.687, de 2019").
    Conforme a la dictación del referido acto administrativo, se dictó la Resolución Exenta N° 1.742, de 2021, de la Subsecretaría de Educación Superior, publicada en el Diario Oficial con fecha 30 de abril de 2021, que determinó los Aranceles Regulados, los Derechos Básicos de Matrícula y Cobros por concepto de Titulación o Graduación para las Instituciones de Educación Superior que acceden al Financiamiento Institucional para la Gratuidad (en adelante e indistintamente, "Resolución Exenta N° 1.742, de 2021").
    5º. Que, por su parte, el Consejo de Rectores de las Universidades Chilenas ("CRUCH"); el Consorcio de Universidades del Estado de Chile ("CUECH"); la Universidad de Santiago de Chile ("USACH") y la Fundación Instituto Profesional DUOC UC ("IP DUOC UC") presentaron reclamos de ilegalidad en contra del procedimiento descrito en el considerando anterior, ante el Órgano Contralor.
    En ese contexto, la Contraloría General de la República, mediante Dictamen N° E147.687, de 15 de octubre de 2021, acogió las alegaciones de las instituciones y órganos antedichos en lo referido a la participación de los actores en el proceso, la motivación y transparencia del acto administrativo impugnado, y la no utilización de todas las variables de agrupación comprendidas en el artículo 88 de la Ley. En consecuencia, ordenó a esta Subsecretaría adoptar las medidas que correspondan para ajustar las Resoluciones Exentas N°s 6.687, de 2019 y 1.742, de 2021, conforme a los criterios señalados en su Dictamen.
    6º. Que, consecuentemente y, a través de la Resolución Exenta N° 1.376, de 2022, de la Subsecretaría de Educación Superior, se modificó y complementó la Resolución Exenta N° 6.687, de 2019, de este origen (en adelante e indistintamente, "Resolución Exenta N° 1.376, de 2022"), producto de la apertura del período de audiencias para oír a los interesados en el proceso de determinación de aranceles por medio de la Resolución Exenta N° 6.053, de 2021, de esta Subsecretaría.
    Posteriormente, mediante Resolución Exenta N° 1.350, de 2022, de este origen (en adelante e indistintamente, "Resolución Exenta N° 1.350, de 2022"), esta Subsecretaría concluyó el período de audiencia, y en su artículo 2°, resolvió la invalidación parcial de la Resolución Exenta N° 6.687, de 2019, respecto a las observaciones efectuadas por la Contraloría General de la República, en relación a la motivación de ésta y la determinación de los grupos de carreras. Resolviendo en su artículo 3°, que se dictaría el acto administrativo correspondiente para ajustar la Resolución Exenta N° 6.687, de 2019, a los criterios del Dictamen.
    7º. Que, sin perjuicio de lo anterior, mediante Resolución Exenta N° 2.453, de 2022, de esta Subsecretaría, se dio inicio a un nuevo procedimiento de invalidación, conforme al artículo 53 de la Ley N° 19.880 (en adelante e indistintamente, "Resolución Exenta N° 2.453, de 2022"), ahora respecto de la Resolución Exenta N° 1.376, de 2022, que modifica y complementa en la forma que indica la Resolución Exenta N° 6.687, de 2019, ambas de la Subsecretaría de Educación Superior, recién descrita.
    El fundamento para la revisión de la Resolución Exenta N° 1.376, de 2022, fue que, sin perjuicio de la invalidación parcial de la Resolución Exenta N° 6.687, de 2019, que estableció las primeras Bases Técnicas, dicho acto trajo consigo que se hablara de "bases técnicas refundidas", al estimar que estas incorporaban exclusivamente ajustes menores asociados a las observaciones de la Contraloría, "(...) la Subsecretaría consideró que las "bases técnicas reformuladas" no requerían ser sometidas al proceso de consulta a la CERA -Comisión de Expertos para la Regulación de Aranceles ("CERA")- establecido en los artículos 91° y trigésimo séptimo transitorio de la Ley N° 21.091 (...)". (Considerando 11° de la Resolución Exenta N° 2.453, de 2022, de la Subsecretaría de Educación Superior). Esto, sumado a lo determinado por la CERA, la que "(...) concluye precisamente que las bases técnicas refundidas introducen cambios sustantivos en el procedimiento de conformación de los "grupos de carreras", que afectan todo el procedimiento de cálculo posterior". (Considerando 14° de la Resolución Exenta N° 2.453, de 2022).
    En concreto, mediante la Resolución Exenta N° 2.453, de 2022, se concluyó que la Resolución Exenta N° 1.376, de 2022, no se encontraba debidamente fundada a la luz de lo resuelto por el Ente Contralor, dando inicio al procedimiento de invalidación total del último acto administrativo mencionado.
    8º. Que, luego de llevado a cabo el procedimiento de invalidación, mediante Resolución Exenta N° 5.660, de 2022, esta Subsecretaría dio término al procedimiento conforme al artículo 53 de la Ley N° 19.880, e invalidó la Resolución Exenta N° 1.376, de 2022, que modifica y complementa en la forma que indica, la Resolución Exenta N° 6.687, de 2019, ambas de la Subsecretaría, anulándose totalmente las Resoluciones Exentas precitadas, y sus actos complementarios.
    9º. Que, con el propósito de generar una nueva propuesta de Bases Técnicas, como también para el desarrollo del primer documento de memoria de cálculo dispuesto en el artículo 91 de la Ley N° 21.091, la Subsecretaría llevó a cabo entre los meses de agosto y octubre de 2022 un proceso de recolección de datos relativos a los costos directos, indirectos e infraestructura de las carreras y programas impartidos por las Instituciones de Educación Superior adscritas al Financiamiento Institucional para la Gratuidad.
    10º. Que, así las cosas, mediante Resolución Exenta N° 6.255, de 2022, la Subsecretaría de Educación Superior estableció las primeras Bases Técnicas para el Cálculo del Arancel Regulado, Derechos Básicos de Matrícula y Cobros por concepto de Titulación o Graduación, en el marco del Financiamiento Institucional para la Gratuidad (en adelante e indistintamente, "Resolución Exenta N° 6.255, de 2022").
    11º. Que la Resolución Exenta N° 6.255, de 2022, define como "carrera" para efectos de esta regulación un programa de estudios actualmente vigente, impartido en modalidad presencial, conducente a un título técnico de nivel superior, título profesional (con o sin licenciatura) o licenciatura no conducente a título profesional, incluyendo también programas de formación inicial general, tales como bachilleratos u otros equivalentes de conformidad al Artículo 105 de la Ley N° 21.091. Establece, asimismo, que este programa debe ser identificable a través del código único registrado en la base de datos del Servicio de Información sobre Educación Superior ("SIES") de la Subsecretaría de Educación Superior, considerando las variables institución, sede, carrera y jornada.
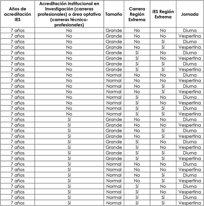
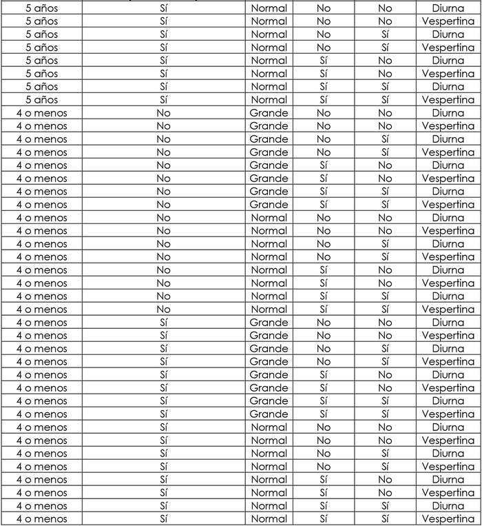
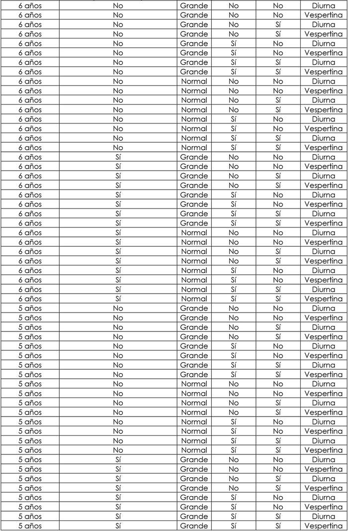
    12º. Que la metodología establecida en la Resolución Exenta N° 6.255, de 2022, establece un procedimiento para la conformación de "grupos de carreras" a través de dos etapas. En la primera, las carreras son clasificadas en "macrogrupos" a partir del tipo de carrera (profesional o técnico-profesional) y su estructura curricular, definida esta última a partir de las Áreas y Subáreas de la Clasificación Internacional Normalizada de Educación (CINE-F 2013) establecida por la Organización de las Naciones Unidas para la Educación, la Ciencia y la Cultura ("UNESCO"). En la segunda etapa, al interior de cada "macrogrupo" se conforman grupos definitivos en función de los años de acreditación de la Institución que imparte la carrera, su acreditación en investigación (para carreras profesionales) o en algún área optativa (para carreras técnico-profesionales), el tamaño de la Institución definido en función de su número de sedes, la región en la cual se ubica la carrera y/o la sede central de la Casa de Estudios, y la jornada en la cual se imparte la carrera.
    En ese orden de ideas, las Bases Técnicas fijadas en la Resolución Exenta N° 6.255, de 2022, establecen en forma expresa cuáles serán las carreras a regular para el año académico 2024 conforme a la metodología establecida en las referidas Bases. Estas corresponden a cuatro "macrogrupos" de carreras, a saber: carreras Profesionales de las subáreas CINE-F 2013 de "Bienestar" y "Periodismo e Información", y carreras Técnico-Profesionales de las subáreas de "Bienestar" y "Servicios de Higiene y Salud Ocupacional".
    13º. Que, conforme a la Resolución Exenta N° 6.255, los derechos básicos de matrícula deben ser calculados a partir de los valores promedio por estudiante de los costos asociados al proceso de matrícula para cada tipo de institución (universidad, centro de formación técnica o instituto profesional). En el caso en que el monto promedio para los institutos profesionales duplique al de los centros de formación técnica, o viceversa, se debe calcular un valor promedio de ambos tipos de instituciones en conjunto.
    Asimismo, para la regulación de los cobros por concepto de titulación o graduación, se debe calcular el valor promedio por estudiante de los costos asociados a los procesos de titulación, para cada uno de los "macrogrupos" a regular.
    14º. Que, el artículo 92 de la Ley N° 21.091, prescribe que " Dentro del plazo de siete meses contado desde la dictación de la resolución exenta que establece las bases técnicas, la Subsecretaría deberá presentar a la Comisión un informe que contenga el cálculo de los valores de los aranceles regulados, los derechos básicos de matrícula y los cobros por concepto de titulación o graduación, de conformidad a dichas bases técnicas, así como también las memorias de cálculo que correspondan. Asimismo, las instituciones de educación superior que accedan al financiamiento regulado en este título podrán enviar a la Comisión sus apreciaciones al referido informe dentro del plazo de un mes contado desde su dictación " . Por último, agrega que " La Comisión se pronunciará sobre el informe dentro del plazo de tres meses contado desde su recepción, pudiendo aprobarlo o realizarle observaciones fundadas, y debiendo tener a la vista las apreciaciones de las instituciones " .
    15º. Que, en este sentido, por medio del Oficio ORD. Nº 06/1.283, de 24 de enero de 2023, la Subsecretaría de Educación Superior remitió a la CERA el Informe de Cálculo de los Valores Regulados de Aranceles, Derechos Básicos de Matrícula y Costos de Titulación o Graduación, al que se refiere el artículo 92 de la Ley N° 21.091. Por su parte, por medio del Oficio ORD. Nº 06/1.284, con la misma fecha, se remitió el precitado informe a las Instituciones de Educación Superior adscritas a Gratuidad. En ese mismo Oficio ORD., la Subsecretaría otorgó a las Instituciones una ampliación del plazo previsto en la parte final del inciso primero del artículo 91 de la Ley para enviar a la CERA sus apreciaciones.
    16º. Que, consecuencialmente, por medio del Oficio Nº 5/2023, de fecha 20 de abril de 2023, la CERA remitió su "Informe con observaciones sobre informe de cálculo, de conformidad a las Bases Técnicas vigentes, de los valores de los Aranceles Regulados, de los Derechos de Matrícula y de los Cobros por concepto de Titulación o Graduación".
    17º. Que, el Informe de la CERA se estructuró en base a los siguientes puntos: (i) los antecedentes que le sirvieron de marco para el planteamiento de las observaciones; (ii) una enumeración sucinta de las principales apreciaciones realizadas por las Instituciones de Educación Superior al Informe de Cálculo, y (iii) al análisis de la Comisión sobre el Informe de Cálculo. Así, respecto del segundo punto, la CERA indicó que recibió "(...) 18 documentos de instituciones con diversos niveles de extensión, junto con dos aportes de entidades de distinto carácter que agrupan a entidades involucradas".
    18º. Que, las observaciones de la CERA se sintetizan en los siguientes acápites:
     
    A) Metodología aplicada en el cálculo de valores de aranceles regulados.
    La Comisión determinó que la metodología utilizada por la Subsecretaría se encuentra debidamente fundamentada en las Bases Técnicas, y que, a su vez, su utilización culminó en un cálculo dotado de "(...) una apropiada robustez y más entendible para su seguimiento y replicabilidad".
    Esta nueva metodología, además, según las apreciaciones de CERA: "(...) se hace cargo de una preocupación permanente de la Comisión, como es la de evitar una definición de grupos con un número extremadamente reducido de carreras, lo cual conduciría a vulnerar o al menos a limitar el concepto de fijación de valores por grupos dispuesto en la Ley".
     
    B) Recopilación de datos.
    El levantamiento de los costos e información fue desarrollado durante el segundo semestre del 2022, e implicó la utilización de información sobre costos de las carreras y programas presenciales de pregrado de las Instituciones adscritas al Financiamiento para la Gratuidad del año 2021.
    En relación a ello, la Comisión determinó que: "Así entonces, tal como fuera manifestado por esta Comisión en su informe de observaciones a la Propuesta de Bases Técnicas, la utilización de año 2021 es razonable dadas las restricciones vigentes, ya que agregar, por ejemplo, el 2020, aún en plena restricción de la movilidad de las personas, probablemente empeoraría la calidad de los datos en lugar de mejorarla. Lo anterior en el entendido de que los próximos procesos de determinación de valores irán incorporando sucesivamente la información de los años de referencia venideros".
     
    C) Tratamiento de datos.
    La Comisión constató que el tratamiento de los datos presentados en el Informe y los obtenidos mediante la ejecución de los códigos de programación disponibles en Stata, son consistentes con lo establecido en las Bases Técnicas, en específico, en sus secciones 2.3 y 2.4.
    Los procedimientos sobre tratamiento de los datos se clasifican en dos niveles. El primero, es el ajuste de datos inconsistentes y el segundo, a la winsorización (tratamiento de outliers), mediante el cual "(...) se reemplazan los valores atípicos que se encuentran en los límites inferiores y superiores de la distribución de costos, por los valores inmediatamente adyacentes para ambas colas".
     
    D) Tratamiento de costos de infraestructura.
    Sobre esta metodología, correspondiente a la utilización del promedio simple de los valores de arriendo por metro cuadrado para cada ítem de infraestructura determinado, la CERA determinó que "(...) es concordante con lo planteado por la Comisión en la Minuta Técnica de abril de 2020 denominada "Minuta sobre la metodología a aplicar en el costo de infraestructura para la determinación de aranceles", en la cual se recomienda considerar como costo de oportunidad de la infraestructura, tanto para la propia como para la arrendada, el valor de mercado de los arriendos".
     
    E) Observación sobre el cálculo de los derechos básicos de matrícula y cobros por conceptos de titulación y graduación.
    Estos cálculos se realizaron de conformidad a las secciones 3.4 y 3.5 de las Bases Técnicas de acuerdo a los procedimientos descritos en ellos. Los cálculos contenidos en el Informe fueron íntegramente replicados por la CERA, ejecutando los scripts en Stata para cada caso.
     
    F) Primera implementación para la determinación de valores regulados.
    A juicio de la Comisión: "Los criterios expuestos en las Bases Técnicas con relación al diseño de esta etapa se basan, pues, en opciones propias de la prudencia práctica. Cabe señalar que los respectivos cálculos fueron replicados por la Comisión".
     
    19º. Que, la vigencia de los Valores Regulados de Aranceles, Derechos Básicos de Matrícula y Cobros por concepto de Titulación o Graduación para las carreras o programas de estudio de la presente Resolución Exenta, se establecen por cinco años de conformidad con el artículo 88 de la Ley N° 21.091, pudiendo adelantarse el procedimiento de determinación de los valores en conformidad con el inciso cuarto del citado artículo.
    20º. Que, sin perjuicio de lo expuesto en el considerando anterior, la Ley N° 21.485, de 2022, modificó el plazo de entrada en vigencia de los Aranceles Regulados, Derechos Básicos de Matrícula y Cobros por concepto de Titulación o Graduación, establecidos en el Título V de la Ley N° 21.091, para el Financiamiento Institucional para la Gratuidad, cual determinó en su artículo único lo siguiente: "Los aranceles regulados, los derechos básicos de matrícula y los cobros por concepto de titulación o graduación establecidos en virtud del Título V de la Ley N° 21.091, sobre Educación Superior, para las instituciones de educación superior que acceden al financiamiento institucional para la gratuidad, entrarán en vigencia el año académico 2024. La Subsecretaría de Educación Superior deberá dictar la o las resoluciones exentas que establezcan las primeras bases técnicas para el cálculo del arancel regulado, derechos básicos de matrícula y cobros por concepto de titulación o graduación para uno o más grupos de carreras, de conformidad a lo dispuesto en el Párrafo 2° el Título V de la ley N° 21.091 de los respectivos artículos transitorios, a más tardar el segundo semestre del año 2022". (El subrayado es nuestro).
    21º. Que, el artículo 93 de la Ley N° 21.091, dispone que el presente acto administrativo debe establecer, al menos, lo siguiente:
     
    "a) La definición de el o los grupos de carreras que se hubieren determinado, debiendo explicitar las carreras o programas de estudios que se incluyan en cada grupo.
    b) Los valores de los aranceles regulados y cobros por concepto de titulación o graduación expresados en pesos por estudiante para cada grupo de carreras señalados en la letra a).
    c) Los valores de derechos básicos de matrícula, expresados en pesos por estudiante, de conformidad a la resolución vigente a cada tipo de institución de educación superior, sin perjuicio de los reajustes que establece esta ley".
     
    22º. Que, en el inciso tercero del artículo 92 de la Ley de Educación Superior, se consigna que las Resoluciones Exentas deberán dictarse en el plazo establecido en el inciso cuarto del artículo 88, el que dispone que los valores se establecerán, cada cinco años, mediante Resoluciones Exentas del Ministerio de Educación, las que deberán ser visadas por el Ministro de Hacienda y publicarse en abril del año anterior al que se aplicarán dichos valores.
    En virtud de lo anterior, corresponde que esta Subsecretaría dicte la Resolución Exenta correspondiente que contenga los Valores de los Aranceles Regulados, los Derechos Básicos de Matrícula y los cobros por Concepto de Titulación o Graduación.
    23º. Que, finalmente, conforme a lo dispuesto en el artículo 94 de la Ley N° 21.091, corresponderá a la Subsecretaría actualizar en octubre de cada año los valores establecidos en la presente resolución, de conformidad al reajuste que señale la Ley de Presupuestos del Sector Público para el año siguiente. Dicha actualización deberá considerar, además, eventuales cambios que se produzcan en los niveles, años y dimensiones de acreditación de las instituciones adscritas al Financiamiento Institucional para la Gratuidad.
     
    Visto:
     
    Lo dispuesto en la Ley Nº 18.575 Orgánica Constitucional de Bases Generales de la Administración del Estado, cuyo texto refundido, coordinado y sistematizado fue fijado por el Decreto con Fuerza de Ley N° 1/19.653, de 2000, del Ministerio Secretaría General de la Presidencia; en la Ley Nº 18.956, que Reestructura el Ministerio de Educación Pública; en la Ley N° 19.880, que establece las Bases de los Procedimientos Administrativos que rigen los Actos de la Administración del Estado; en la Ley Nº 21.091, sobre Educación Superior; en la Ley N° 21.485, que modifica el plazo de Entrada en Vigencia de los Aranceles Regulados, Derechos Básicos de Matrícula y Cobros por Concepto de Titulación o Graduación establecidos en el Título V de la Ley N° 21.091, sobre Educación Superior, para el Financiamiento Institucional para la Gratuidad;  en el Decreto con Fuerza de Ley N° 3, de 2019, del Ministerio de Educación; en la Resolución Exenta N° 6.687, de 2019, de la Subsecretaría de Educación Superior; en las Resoluciones Exentas N°s 1.742 y 6.053, ambas de 2021, de la Subsecretaría de Educación Superior; en las Resoluciones Exentas N°s 1.350; 1.376; 2.453, 5.660, 6.255, todas de 2022, de la Subsecretaría de Educación Superior; en los Oficios Ord. N°s 06/1.151; 06/1.283 y 06/1.284, todos de 2023, de la Subsecretaría de Educación Superior; en el Dictamen N° E147.687, de 2021, de la Contraloría General de la República; en el Oficio Nº 5/2023, de la Comisión de Expertos para la Regulación de Aranceles ("CERA") que remite el Informe con Observaciones sobre Informe de Cálculo, de conformidad a las Bases Técnicas Vigentes, de los Valores de los Aranceles Regulados, de los Derechos de Matrícula y de los Cobros por concepto de Titulación o Graduación; y en la Resolución N° 7, de 2019 de la Contraloría General de la República.
     
    Resuelvo:

    Artículo primero.- Defínanse los siguientes macrogrupos de carreras y las carreras pertenecientes a cada uno de ellos de acuerdo con la oferta académica, además de la combinación de variables que finalmente determinan los grupos definitivos de carreras a partir de los cuales se calcula el valor de arancel regulado, según lo dispuesto en el artículo 88 de la Ley N° 21.091 y las bases técnicas.
     
    Variables y carreras – Primera etapa de agrupación (macrogrupos)
     
   
     
   
     
    Variables segunda etapa de agrupación (para cada macrogrupo)
     
   
     
     
   
     
     
     
   
     
     
     

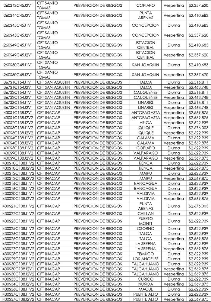
    Artículo segundo.- Determínanse los Valores de los Aranceles Regulados por grupo de carreras, expresados en pesos por estudiante, de conformidad a lo dispuesto por el artículo 93 de la ley N° 21.091, sobre Educación Superior.     
     

     
   
     
         
     
     
   
     
     
   
     
         
     
         
     
   
     
   
     
   
     
   
     
         
     
   
     
   
     
   
     
   
     
         
     
   
     
   
     
   
     
   
     
   
     
   
     
   

   


   
   

    Artículo tercero.- Determínanse los siguientes Valores de Derechos Básicos de Matrícula por tipo de Institución.
     
   
     

    Artículo cuarto.- Determínanse los siguientes Cobros por concepto de Titulación o Graduación.
     
   
     

    Artículo quinto.- Notifícase a las Instituciones de Educación Superior adscritas al Sistema de Financiamiento Institucional para la Gratuidad.

    Anótese, comuníquese, archívese y publíquese.- Víctor Orellana Calderón, Subsecretario de Educación Superior.- Mario Marcel Cullell, Ministro de Hacienda.