APRUEBA REGLAMENTO DE ASIGNACIÓN DE RECURSOS DEL SISTEMA NACIONAL DE SEGURIDAD MUNICIPAL
Núm. 49.- Santiago, 30 de enero de 2023.
Vistos:
Lo dispuesto en los artículos 32 Nº 6, 35 y 101, inciso 2º, de la Constitución Política de la República, cuyo texto refundido, coordinado y sistematizado fue fijado mediante el decreto Nº 100, de 2005, del Ministerio Secretaría General de la Presidencia; en la Ley Nº 18.575, Orgánica constitucional de bases generales de la Administración del Estado, cuyo texto refundido, coordinado y sistematizado fue fijado mediante el decreto con fuerza de ley Nº 1-19.653, de 2000, del Ministerio Secretaría General de la Presidencia; en la ley Nº 20.502, que crea el Ministerio del Interior y Seguridad Pública y el Servicio Nacional para la Prevención y Rehabilitación del Consumo de Drogas y Alcohol, y modifica diversos cuerpos legales; en la Ley Nº 18.695, Orgánica Constitucional de Municipalidades, cuyo texto refundido, coordinado y sistematizado fue fijado mediante el decreto con fuerza de ley Nº 1. de 2006, del Ministerio de Interior; en la ley Nº 19.880, que establece las bases de los procedimientos administrativos que rigen los actos de los Órganos de la Administración del Estado; en la Ley Nº 21.516, de Presupuesto de Ingresos y Gastos del Sector Público para el año 2023; y en la resolución Nº 7, de 2019, de la Contraloría General de la República, sobre exención del trámite de toma de razón en las materias que indica.
Considerando:
1.- Que, el Supremo Gobierno a través del Plan Nacional de Seguridad Pública y Prevención del Delito 2022-2026, ha decidido poner en marcha un Sistema Nacional de Seguridad Municipal como mecanismo más estable de apoyo a los municipios, orientado a fortalecer las capacidades de éstos para desarrollar estrategias de prevención social y situacional desde una perspectiva democrática, participativa y con criterio de equidad territorial.
2.- Que, el enfoque de seguridad ciudadana reconoce en los municipios el liderazgo para articular al conjunto de actores que desarrollan acciones en el ámbito de prevención del delito y las violencias.
3.- Que, los municipios están en distintas condiciones para realizar una gestión efectiva en seguridad, y que por lo mismo requieren de una asistencia diferenciada por parte del Estado central, propendiendo siempre a una mayor equidad territorial.
4.- Que, la Ley Nº 21.516 de Presupuesto de Ingresos y Gastos del Sector Público para el año 2023 en la Partida 05, Capítulo 08, Programa 01, Subtítulo 24, Ítem 03/116, contempla el Sistema Municipal de Seguridad.
5.- Que, a su vez, la glosa 09 en su inciso segundo prescribe: "El procedimiento de asignación de estos recursos, deberá ser establecido en un reglamento dictado por el Ministerio del Interior y Seguridad Pública, que deberá contar con la visación de la Dirección de Presupuestos".
6.- Que, en ejercicio de mis potestades constitucionales y legales, vengo en decretar lo siguiente:
Decreto:
Apruébase el siguiente Reglamento de Asignación de Recursos del Sistema Nacional de Seguridad Municipal:
TÍTULO I
Disposiciones Generales
Artículo 1. Objeto. El presente reglamento regula la asignación de los recursos del Programa Sistema Nacional de Seguridad Municipal de la Subsecretaría de Prevención del Delito ("SPD" o "Subsecretaría"). Los recursos se definen anualmente en la Ley de Presupuestos del Sector Público respectiva y se asignan a los municipios y otras instituciones públicas y privadas, de conformidad a lo que se disponga en dicho ordenamiento.
Artículo 2. Sobre el programa. El programa tiene por propósito que el conjunto de los municipios del país aumente sus capacidades de gestión municipal en seguridad pública y sus componentes son:
a) Asesorías técnicas a municipios: Tiene por objetivo aumentar las capacidades técnicas de los municipios en materia de seguridad pública a través del desarrollo de un programa de asesoría técnica especializada, según su perfilamiento, orientado a que estos desarrollen capacidades para proveer un servicio de seguridad municipal eficaz.
b) Financiamiento de proyectos de prevención del delito y la violencia: Consiste en el financiamiento de proyectos de prevención del delito y la violencia, que buscan disminuir los factores de riesgo asociados a la ocurrencia de problemas de seguridad. Los proyectos deben ser formulados y ejecutados de acuerdo con el marco de formulación definido por la Subsecretaría.
c) Incubadora de proyectos de equidad e innovación en seguridad: Consiste en el financiamiento de proyectos de innovación que incluyan actividades de evaluación. Tiene por objetivo favorecer el desarrollo de iniciativas innovadoras y eficaces en materia de prevención del delito que generen conocimiento para la institución y para el diseño de políticas públicas.
Artículo 3. Definiciones.
- Plan Comunal de Seguridad Pública: instrumento de gestión que fija las orientaciones y medidas que la municipalidad y los organismos integrantes del respectivo Consejo Comunal de Seguridad Pública dispongan en materia de seguridad pública a nivel comunal, de acuerdo con los artículos 104 A y siguientes del DFL Nº 1, de 2006, del Ministerio del Interior que fija el texto refundido, coordinado y sistematizado de la Ley Nº 18.695, Orgánica Constitucional de Municipalidades.
- Prevención situacional: ámbito de la prevención orientado a disminuir factores de riesgo asociados a la comisión de delitos, incivilidades, actos de violencia y la percepción de inseguridad de la población en determinados espacios físicos, a través de estrategias destinadas a modificar condiciones físicas espaciales.
- Prevención social: ámbito de la prevención orientado a disminuir factores de riesgo social que tienen la probabilidad de influir en que una persona o grupo de personas participen en la comisión de delitos, incivilidades, y/o actos de violencia, a través de intervenciones con personas, familias, comunidades y/u otros grupos sociales.
- Categorías delictuales por gravedad: corresponde a la frecuencia de una serie de agrupaciones de crímenes, simples delitos y faltas, los cuales son ponderados por su gravedad a partir del Código Penal, así como otras disposiciones legales que sancionan delitos o faltas.
- Coeficiente de distribución: factor que permite determinar los recursos que a cada municipalidad le corresponde recibir respecto a la priorización realizada.
- Comuna: unidad territorial local que se crea por ley, cuya administración reside en una municipalidad.
- Comuna urgente: corresponde a las primeras 120 comunas en orden de prelación según mayor puntaje, del Índice Más Equidad, Más Seguridad. Éstas serán divididas en tres grupos de 40 comunas, en orden de prelación según mayor puntaje del índice señalado. Cada uno de estos grupos estará asociado a un monto de financiamiento diferenciado. Lo anterior, para efecto de asignación de recursos del componente de "Financiamiento de proyectos de prevención del delito y la violencia".
- Comuna rotativa: corresponde a todas aquellas comunas que no forman parte del grupo de "comunas urgentes", y que recibirán financiamiento en materia de seguridad para alcanzar la universalidad, en atención al objetivo de garantizar la equidad territorial.
El conjunto de las "comunas rotativas", 225 en total, serán divididas en dos grupos de 113 y 112 comunas, en orden de prelación según mayor puntaje del índice señalado. El primer año de funcionamiento del Sistema, se asignarán recursos al primer grupo y el siguiente año al segundo grupo. Lo anterior, para efectos de la asignación de recursos del componente de "Financiamiento de proyectos de prevención del delito y la violencia".
- Fondo Común Municipal ("FCM"): mecanismo de redistribución solidaria de recursos financieros entre las municipalidades del país.
- Hacinamiento comunal: corresponde a la proporción de hacinamiento de viviendas particulares ocupadas, considerando aquellas viviendas donde 3 personas o más comparten un mismo dormitorio.
- Incidencia de deserción escolar: metodología de estimación de deserción, que mide la proporción de estudiantes que, estando matriculados en un año anterior, no presentan matrícula en el año posterior, sin que durante este último tiempo se hayan graduado del sistema escolar.
- Indicadores: guarismos que representan a las variables integrantes del coeficiente de distribución del Índice Más Equidad, Más Seguridad.
- Índice de Violencia Contra la Mujer ("IVCM"): índice elaborado por la Subsecretaría en base a la frecuencia de mujeres víctimas de delitos, considerándose sólo aquellos delitos que ocurren en mayor proporción a mujeres.
- Índice de Vulnerabilidad Escolar ("IVE"): indicador elaborado por la Junta Nacional de Auxilio Escolar y Becas ("Junaeb"), que se aproxima a medir el riesgo de deserción escolar de un establecimiento en sí, a partir de la evaluación socioeconómica de sus estudiantes.
- Infractores de Ley Niños, Niñas y Adolescentes ("NNA"): número de infractores de Ley NNA, con residencia en cada comuna a partir de los casos policiales.
- Ingresos propios permanentes: son los ingresos municipales, que se deben estimar para efectos de lo establecido en el Nº 4 del artículo 38 de la Ley de Rentas Municipales.
- Jefatura de hogar femenina: proporción de mujeres que son reconocidas como jefa del hogar por el resto de los miembros de dicho hogar, a nivel comunal.
- Municipalidad: corporación autónoma de derecho público, que se crea por ley, con personalidad jurídica y patrimonio propio, que administra una comuna o agrupación de comunas.
- Población comunal: número de habitantes de cada comuna del país, excluida la Antártica Chilena, proyectada a partir del último Censo realizado por el Instituto Nacional de Estadísticas ("INE") o la entidad que legalmente tenga las competencias para ello.
- Población flotante comunal: corresponde al número de personas que, por motivos turísticos, visita una comuna determinada durante un año cronológico de análisis. Su cálculo se realiza mediante la suma del número de pernoctaciones por razones de turismo con el número de visitas diarias por razones de turismo en una comuna, de acuerdo con las estimaciones del Servicio Nacional de Turismo ("Sernatur").
- Población migrante extranjera comunal: corresponde al porcentaje de personas que nacieron en un país extranjero y que fueron censadas durante el proceso censal de 2017, declarando ser residentes habituales de Chile, a nivel comunal.
- Porcentaje de Pobreza Comunal: proporción de personas pobres estimada de cada comuna, informada por el Ministerio de Desarrollo Social y Familia ("MDSF"), sobre la base de la Encuesta de Caracterización Socioeconómica Nacional ("Casen") o por el instrumento que lo reemplace, o la estimación efectuada por el referido Ministerio.
- Recursos municipales: suma total de Ingresos Propios Permanente ("IPP") y Fondo Común Municipal ("FCM").
- Tramo del 40% de hogares más vulnerables: corresponde al 40% de los hogares más vulnerables asociados al Registro Social de Hogares, elaborado por el Ministerio de Desarrollo Social y Familia para la focalización de prestaciones sociales.
Artículo 4. Criterios de inclusión del programa. La población objetivo del programa son los habitantes de la totalidad de los municipios del país.
Artículo 5. Criterios de exclusión para el acceso a financiamiento de proyectos.
Sin perjuicio de lo anterior, no podrán acceder al financiamiento de proyectos por parte del programa Sistema Nacional de Seguridad Municipal, aquellas instituciones ejecutoras de proyectos que presenten una o más de las siguientes situaciones:
a) Municipalidades y otras instituciones públicas o privadas, que tengan rendiciones de cuentas pendientes, correspondientes a fondos transferidos por la Subsecretaría en cualquiera de sus programas.
b) Municipalidades y otras instituciones públicas o privadas que hayan puesto término anticipado a la ejecución de un proyecto financiado por la Subsecretaría, sin la autorización de ésta o contraviniendo las normas contenidas en el convenio suscrito al efecto.
c) Instituciones públicas o privadas, que tengan entre sus directores, administradores, socios y/o representantes, a personas que posean la calidad de autoridades o funcionarios directivos del Ministerio del Interior y Seguridad Pública.
d) Instituciones públicas o privadas, que tengan entre sus directores, administradores, socios y/o representantes a personas que posean la calidad de cónyuge, hijos, adoptados o parientes hasta el tercer grado de consanguinidad o segundo de afinidad, inclusive, de autoridades o funcionarios directivos del Ministerio del Interior y Seguridad Pública.
e) Instituciones públicas o privadas, que tengan entre sus directores, administradores, socios y/o representantes a personas que se hallen condenadas por crimen o simple delito.
f) Instituciones públicas o privadas, a las que se le ha puesto término anticipado a un convenio o contrato previo suscrito con la Subsecretaría, por causal imputable a esa entidad, dentro de los dos años anteriores.
g) Instituciones públicas o privadas, cuya existencia legal se extinga en el plazo propuesto para la ejecución del proyecto.
h) Instituciones públicas o privadas, a las que afecte cualquier otra inhabilidad legal, judicial o administrativa para contratar con el Ministerio del Interior y Seguridad Pública y/o sus organismos o programas dependientes.
TÍTULO II
Procedimientos de Asignación de Recursos
Artículo 6. Requisito previo para la asignación de recursos. Como requisito previo para la suscripción de el o los convenios de asignación de recursos, la municipalidad o la institución respectiva, deberá acompañar una declaración jurada ante ministro de fe -ya sea una copia certificada o su original-, por medio de la cual el representante legal de la respectiva entidad asegure que ésta no se encuentra en alguna de las situaciones previstas en el artículo 5 del presente reglamento.
Capítulo primero
De las asesorías técnicas a municipios
Artículo 7. Provisión de asesorías técnicas a municipios. Las asesorías técnicas a que se refiere este componente serán entregadas a todos los municipios del país. Su objeto será aumentar capacidades técnicas en las siguientes materias:
(i) la formulación, actualización y ejecución de planes comunales y/o proyectos en prevención del delito,
(ii) la gestión del Consejo Comunal de Seguridad Pública, y
(iii) la postulación a financiamiento y el desarrollo de iniciativas en seguridad.
Artículo 8. Entidades ejecutoras. En el caso que las entidades ejecutoras sean instituciones públicas, se suscribirán convenios de transferencias de recursos. Los criterios mínimos de selección serán: a) total de comunas que asesorará; b) total de comunas que no poseen Plan Comunal de Seguridad Pública; c) total de comunas con Planes Comunales de Seguridad Pública no vigentes; d) total de comunas con Planes Comunales de Seguridad Pública que pierdan vigencia durante el año; e) total de comunas clasificadas como urgentes en razón del Índice Más Equidad, Más Seguridad; f) total de proyectos con seguimiento técnico-administrativo del Sistema Nacional de Seguridad Municipal y, g) total de proyectos con seguimiento técnico-administrativo de la oferta programática de la División de Gestión territorial de la SPD.
Asimismo, se podrá contratar o convenir la ejecución de estas actividades y efectuar transferencias financieras con instituciones privadas caso en el cual, su selección se realizará a través de concurso o licitación pública, cuyas bases se establecerán mediante resolución del Subsecretario de Prevención del Delito.
Artículo 9. Bases de concurso. En el caso de celebrarse concurso, las bases deberán a lo menos, mencionar los requisitos y condiciones que deben cumplir los oferentes para que sus propuestas sean aceptadas, los requisitos, etapas y plazos del o de los llamados a concurso, los montos a ser entregados y los tipos de gastos, las temáticas y tipologías, los plazos y modalidades de aclaración de las bases, la entrega y apertura de las ofertas, la adjudicación y firma de los convenios, los criterios que serán considerados para decidir la adjudicación, la naturaleza y monto de las garantías exigidas y la forma y oportunidad en que serán restituidas, la forma de designación de la comisión evaluadora, entre otras materias, velando por la debida imparcialidad, eficacia y perfeccionamiento de los métodos de adjudicación.
Capítulo segundo
De los proyectos de prevención del delito y la violencia
Artículo 10. Selección de municipios beneficiarios. El programa seleccionará a los municipios beneficiarios de este componente, según el Índice Más Equidad, Más Seguridad (IMEMS).
Los municipios que resulten clasificados luego de la aplicación del índice deberán suscribir convenios de transferencia de recursos con la Subsecretaría, los que establecerán los términos y condiciones para la entrega y rendición de los recursos transferidos, así como también para la ejecución de los proyectos. La entrega de recursos será anual, de acuerdo con la Ley de Presupuesto respectiva.
Artículo 11. Índice Más Equidad, Más Seguridad. Es el instrumento de priorización de comunas para la asignación de recursos para el financiamiento de proyectos de prevención del delito y la violencia.
El índice identifica la situación socio-delictual de las 345 comunas del país, teniendo como base información confiable y actualizada, además de un método de priorización transparente, que pueda ser comprensible y reproducible por la mayoría de los usuarios. De este modo, el índice prioriza a las comunas en función de su mayor vulnerabilidad socio-delictual, propiciando así, una mejor focalización de los recursos y equidad territorial.
Artículo 12. Factores del índice y su ponderación. El cálculo del índice se realizará cada dos años, publicándose sus resultados, a más tardar, en el mes de abril del año respectivo, con los datos más actualizados del año inmediatamente anterior -en los casos en que ello sea posible- considerando los factores contenidos en la siguiente tabla, sobre los que se determinará la priorización:
Tabla: Ponderaciones de Factores

Artículo 13. Fórmula del Índice Más Equidad, Más Seguridad (IMEMS).
Índice Más Equidad, Más Seguridad = Variables delictuales por gravedad (50%) + Variables socioeconómicas (20%) + índice de violencia contra la mujer (8%) + Infractores de Ley NNA (7%) + población comunal y flotante (8%) - Recursos municipales (7%).
El Índice Más Equidad, Más Seguridad se computa para cada comuna. Esto se muestra en la fórmula siguiente, donde la letra "c" como subíndice indica cada comuna específica.

Artículo 14. Indicadores definidos por factor y fuente de datos.

Los indicadores cuya elaboración y fuentes son de la Subsecretaría de Prevención del Delito se construirán de la siguiente forma:
a) Crímenes y simples delitos por gravedad: Este indicador se obtendrá para cada comuna del país a partir de la suma ponderada de frecuencia y gravedad de 18 agrupaciones de delitos y faltas relevantes en materia de seguridad.

__________________
(1) Cada uno de los 6 factores incorporados son normalizados antes de su incorporación para el cómputo del índice y su valor máximo es 100.
Para el cómputo de los crímenes y simples delitos por gravedad, se utiliza la siguiente fórmula:

Donde el subíndice "i" toma valores del 1 al 18 e indica cada uno de los 18 grupos delictuales, el subíndice "c" indica a la comuna, "f" corresponde a la frecuencia de crímenes, simples delitos y faltas a partir de los casos policiales (denuncias más detenciones) para el año de referencia de cálculo; "G" corresponde a la gravedad del grupo delictual, la cual se obtiene a partir de un procedimiento de dos etapas. Primero, se obtienen los días promedio de pena para cada crimen, simple delito o falta, computándolo como el promedio simple de días entre la pena mínima y máxima de cada crimen, simple delito y falta específica. Posteriormente, para trabajar con agrupaciones de delitos, las penas de los crímenes y simples delitos específicos dentro de cada agrupación delictual serán ponderadas por su frecuencia relativa de casos policiales registrados durante el año base. Con lo anterior, se obtendrá un ponderador en días de pena para cada grupo delictual.
b) Índice de Violencia Contra la Mujer: Este indicador se obtendrá para cada comuna del país a partir de la frecuencia de víctimas mujeres. Para ello se considerarán solo crímenes y simples delitos asociados con violencias contra las personas, de los que exista una proporción de víctimas mujeres superior a 75%.
A partir de estos criterios se obtendrá un total de 33 categorías a las que se les denominará "delitos DEL_FEM", a los cuales se sumarán nueve crímenes y simples delitos que, si bien contarán con proporciones menores al corte de 75%, serán considerados atingentes al contexto de violencia contra la mujer.
Los 42 crímenes y simples delitos finalmente seleccionados serán agrupados en tres conjuntos de acuerdo con el tipo de violencia que infligen: 1) delitos de violencia sexual; 2) delitos de violencia física; 3) delitos de violencia psicológica. Lo anterior se efectuará con el objeto de distinguir el tipo de violencia prevalente en las comunas.
En específico, el IVCM se construirá a partir de seis pasos:
I. Primero, se operacionalizará la gravedad de los crímenes y simples delitos DEL_FEM según las penas del Código Penal a partir del promedio simple entre la pena mínima y máxima. Esto generará una variable de gravedad en días. Para las penas que contemplan multas, en tanto, se realizará una conversión de un día de pena por cada quinto de UTM (es decir, cada UTM de multa equivale a cinco días de pena).
II. Segundo, para acotar el valor de la variable gravedad, ésta se normalizará dividiendo la gravedad en días para cada delito por la gravedad máxima, obteniendo un ponderador de gravedad de 0,0005 para el delito DEL_FEM menos grave y de 1 para el delito DEL_FEM más grave. Así se obtendrá la variable "gravedad normalizada del delito" (Gi).
Este paso se expresará en la fórmula siguiente, donde Gi indica la gravedad del delito "i" expresado en días y g max el valor máximo de la gravedad expresado en días.

III. Tercero, se filtrarán aquellas comunas que cuenten con menos de cincuenta casos de víctimas mujeres DEL_FEM, con el objeto de controlar por frecuencias pequeñas y no sobrestimar la dimensión de frecuencia relativa de mujeres víctimas.
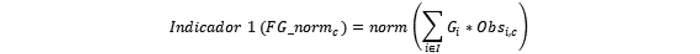
IV. Se calculará el Indicador 1 de frecuencia-gravedad (FG) a partir de la sumatoria del producto entre gravedad normalizada (Gi) y frecuencia de delitos DEL_FEM, normalizando el resultado final entre 0 y 100.
Lo anterior se expresará en la fórmula siguiente, donde "c" indica las comunas analizadas, "i" a los delitos DEL_FEM, Gi representará la gravedad normalizada para cada delito "i" y 0bs i/c a las observaciones de delitos "i" de la comuna "c".

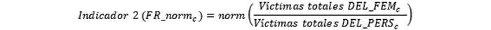
V. Para la construcción del Indicador 2 se computará la frecuencia relativa (FR) dividiendo el conteo de víctimas mujeres de crímenes y simples delitos DEL_FEM en la comuna "c" por el total de víctimas de crímenes y simples delitos contra las personas (DEL_PERS) en la misma comuna. El resultado se normalizará de la misma forma que en punto II. Lo anterior se expresará en la fórmula siguiente.
VI. Finalmente, los indicadores obtenidos de acuerdo con los puntos IV y V serán multiplicados por los factores de ponderación 0,7 y 0,3, respectivamente, generando el IVCM para cada comuna "c". El valor de los ponderadores será asignado bajo el supuesto que la seriedad de la problemática es superior mientras exista un mayor número de mujeres víctimas de delitos.

c) Infractores de Ley Niños, Niñas y Adolescentes (NNA): Este indicador se obtendrá para cada comuna del país y consistirá en el número de niños, niñas y adolescentes infractores de ley con residencia en cada comuna, a partir de casos policiales para el año de cálculo. Se utilizarán los datos más actualizados del año inmediatamente anterior.
Artículo 15. Origen de las fuentes.

Artículo 16. Uso del índice para la priorización de comunas para el financiamiento de proyectos de prevención del delito y la violencia. Para efectos del financiamiento de proyectos de prevención del delito y la violencia, se utilizará el Índice Más Equidad, Más Seguridad para establecer el orden de prelación de todas las comunas, según su puntaje, en orden decreciente.
Se establecerán dos grupos generales, las comunas urgentes y las rotativas. Serán comunas urgentes, aquellas 120 que presenten mayores puntajes en el índice, siendo comunas rotativas las restantes 225.
En el caso de las comunas urgentes, se utilizará el mismo índice y puntaje, clasificando a estas comunas en un orden de prelación decreciente, estableciendo 3 grupos que incorporarán a 40 comunas cada uno, de acuerdo con sus capacidades de gestión municipal en seguridad.
Las comunas clasificadas como urgentes recibirán financiamiento todos los años, de acuerdo con la disponibilidad presupuestaria del año respectivo, en un monto que variará en función del grupo en que se encuentren clasificadas y que será decreciente entre grupos. Con todo, el monto de recursos para el financiamiento de proyectos será igual para todas las comunas que formen parte de un mismo grupo de clasificación.
En el caso de las comunas rotativas, estas se dividirán en un primer y un segundo grupo, de 113 y 112 comunas, respectivamente. Las comunas que conforman cada uno de estos grupos recibirán financiamiento en el primer y segundo año, respectivamente. El monto para el financiamiento de proyectos, de acuerdo con la disponibilidad presupuestaria del año respectivo, será el mismo para comunas que se encuentren clasificadas en un mismo grupo.
Esta clasificación y los montos de financiamiento de proyectos por grupos se sancionará mediante resolución del Subsecretario de Prevención del Delito, la que se publicará en la página web de la Subsecretaría.
Tabla: Distribución de comunas según clasificación

Artículo 17. De los proyectos a financiar. Una vez realizada la clasificación señalada en los artículos precedentes, la Subsecretaría determinará anualmente, de acuerdo con el artículo 24 del presente reglamento, los ámbitos o temáticas respecto a los cuales se financiarán proyectos de prevención del delito y la violencia, lo que será comunicado mediante oficio a los municipios.
Artículo 18. Publicidad de la información. La Subsecretaría deberá publicar y mantener actualizada en su página web, en forma gratuita y a través de un sistema de libre acceso, las bases de datos que permitieron la elaboración del Índice Más Equidad, Más Seguridad, así como la clasificación anual de los municipios.
Capítulo tercero
De la incubadora de proyectos de equidad e innovación en seguridad
Artículo 19. Objetivo. Se financiarán proyectos innovadores para la intervención de problemas en seguridad, los que serán diseñados, acompañados y monitoreados durante su ejecución y también evaluados en sus resultados, con el objetivo de incorporar los aprendizajes que se desprendan de este proceso en la formulación, reformulación y/o evaluación de políticas públicas.
Artículo 20. Definición de problemas de interés. El Subsecretario de Prevención del Delito, mediante resolución, convocará a una mesa de trabajo, que incluirá, sin que la siguiente enumeración sea taxativa, a representantes de instituciones públicas, de la academia y la sociedad civil, los que luego de recibir un análisis de problemas de seguridad, realizado por la Subsecretaría, deberán proponer, de manera fundada, un conjunto de problemas de interés en seguridad para su abordaje por el componente.
Los problemas de interés se identificarán en función de los siguientes criterios mínimos: a) problemas identificados en los Planes Comunales de Seguridad Pública; b) problemas priorizados para la formulación de Planes Comunales de Seguridad Pública; c) problemas evidenciados en los programas de intervención de la Subsecretaría de Prevención del Delito y, e) otros problemas de interés institucional.
Artículo 21. Identificación de territorios que presentan problemas de interés. Una vez definidos los problemas de seguridad, la Subsecretaría identificará en qué comunas se concentran, en mayor medida, los problemas de seguridad seleccionados.
Artículo 22. Presentación de proyectos. Anualmente se realizará un llamado a instituciones públicas y privadas a presentar proyectos para la intervención de los problemas de interés, definidos conforme al artículo 20 anterior.
Artículo 23. Ejecución de proyectos. Los municipios serán los encargados de la ejecución de los proyectos y contarán con la asistencia técnica de la institución que lo presentó, si corresponde. El convenio de transferencia de recursos deberá contener el total acuerdo de voluntades entre las partes involucradas.
TÍTULO III
Disposiciones Finales
Artículo 24. Marco de formulación de proyectos. Cada año, la Subsecretaría deberá dictar una o más resoluciones fundadas, que contengan el marco de formulación que rige el diseño y ejecución de los proyectos de prevención del delito y la violencia y de los proyectos financiados por la incubadora de proyectos de equidad e innovación en seguridad. Quienes reciban financiamiento de tales componentes, deberán regirse por tales marcos para efectos de la formulación y ejecución de proyectos.
Artículo 25. Convenios. La transferencia de recursos estará sujeta a la firma de uno o más convenios entre la Subsecretaría y la entidad que ejecute el proyecto. En el caso que el convenio sea celebrado con una institución privada, el instrumento deberá cumplir con las exigencias de la Ley de Presupuestos respectiva para transferencias a privados y la receptora deberá registrarse de acuerdo con la ley Nº 19.862.
Artículo 26. Rendiciones. Todos los ejecutores de proyectos provenientes del financiamiento que regula el presente Reglamento deberán rendir cuenta documentada de la inversión y gasto de los mismos, de acuerdo con la resolución 30 de la Contraloría General de la República que fija normas de Procedimiento sobre Rendición de Cuentas, así como cualquier otra norma al respecto dicte en el futuro.
Anótese, tómese de razón y publíquese.- GABRIEL BORIC FONT, Presidente de la República.- Carolina Tohá Morales, Ministra del Interior y Seguridad Pública.- Mario Marcel Cullell, Ministro de Hacienda.
Lo que transcribe a Ud. para su conocimiento.- Saluda Atte., Iván Alejandro Heredia Riquelme, Coordinador de Oficina de Partes y Archivo, Subsecretaría de Prevención del Delito.