1. Modifícase en el resuelvo 2. de la resolución exenta Nº 624 (V. y U.), de 2023, en su cuadro el guarismo "26" por "31", y en su inciso final, la locución "o Sistemas Fotovoltaicos.", por ", Sistemas Fotovoltaicos, Proyectos de Acondicionamiento Térmico Regular y para zonas con PDA, y Calefactores Eficientes.".
2. Apruébanse las nóminas de seleccionados para el otorgamiento de subsidios habitacionales correspondientes al primer proceso de postulación del Llamado Nacional en condiciones especiales 2023, para proyectos del Título II, Mejoramiento de la Vivienda, del Programa de Protección del Patrimonio Familiar, destinados a Proyectos de Obras de Innovación de Eficiencia Energética, de Acondicionamiento Térmico de Viviendas, tanto en su línea general, como en el marco de los Planes de Descontaminación Atmosférica, efectuado por resolución exenta Nº 624 (V. y U.), de 2023 y sus modificaciones. Estas nóminas se adjuntan y se entenderán formar parte integrante de esta Resolución. Además, fíjese el número de postulantes Seleccionados por región, según se indica en tabla siguiente:

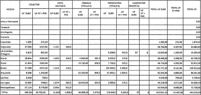
3. Comprométense los recursos disponibles para el primer proceso de postulación del Llamado Nacional en condiciones especiales para proyectos del Título II, Mejoramiento de la Vivienda, del Programa de Protección del Patrimonio Familiar, del año 2023, destinados a Proyectos de Obras de Innovación de Eficiencia Energética, de Acondicionamiento Térmico de Viviendas, tanto en su línea general como en el marco de los Planes de Descontaminación Atmosférica (PDA), los que se destinarán al financiamiento de los subsidios y al pago de los servicios de Asistencia Técnica, según la distribución por título y por región, señalada en el siguiente cuadro:

4. El saldo de recursos para la segunda selección de este llamado será el señalado en el siguiente cuadro:

5. Publíquese la presente resolución en el Diario Oficial; y publíquese en un periódico de circulación regional un aviso que indique el lugar y fecha en que serán publicadas las nóminas de los postulantes seleccionados y los respectivos proyectos, conforme al número 2. de esta resolución, las que deberán contener, a lo menos, la comuna, el título del cual se trate, el nombre de cada postulante con su respectiva cédula de identidad y el puntaje obtenido por el grupo o persona.