1. Modifícase la resolución exenta Nº 663 (V. y U.) de 2023, en el siguiente:
a) Reemplázase la tabla inserta en su resuelvo 2 por la siguiente:

b) Incorpórase en la letra a) del numeral 3.9, del resuelvo 3, los siguientes párrafos tercero y cuarto:
"En el caso que se desarrollen proyectos de edificación en altura que incorporen ascensores, el subsidio alcanzará un monto total de hasta 400 Unidades de Fomento para proyectos hasta 160 viviendas, y hasta 300 Unidades de Fomento en proyectos sobre 160 viviendas. Para la obtención de los montos señalados, los proyectos deberán cumplir con lo establecido a continuación:
a) Altura máxima de edificación de 12 pisos.
b) Considerar en el diseño de las viviendas un espacio de balcón de al menos 85 centímetros de ancho libre.
c) Conformar una superficie continua de locales comerciales o equipamientos de servicio de al menos 200 metros cuadrados. En estos casos, la superficie mínima de cada recinto deberá ser de 25 metros cuadrados y un máximo 65 metros cuadrados útiles, los que serán distribuidos de manera equitativa en la solución arquitectónica o bien con un mínimo de 2 unidades de locales por torre, según corresponda. Los locales comerciales deberán tener acceso directo del espacio público y contar con los artefactos y servicios de agua potable y alcantarillado como mínimo.
d) Cumplir con todos los estándares urbanos señalados en el párrafo cuarto de la letra a), del artículo 35, del DS Nº 49.
Además, en estos casos, el Director del Serviu podrá determinar requisitos adicionales relacionados al estándar técnico de los proyectos y a los requisitos del equipo profesional a cargo del Plan de Acompañamiento Social, debiendo exigir el desarrollo de actividades adicionales en esta línea, que estén relacionadas con la habitabilidad, operación, mantención y administración de un edificio en altura con ascensor. Con todo en el Plan de Acompañamiento Social, en su etapa de "Conformación del Nuevo Barrio" deberá tener una duración de al menos 12 meses y deberá ser desarrollada por Serviu, o a través de terceros."
c) Elimínase en el segundo párrafo de la letra c), del numeral 3.9., del resuelvo 3., luego del número "2011" la frase "podrá considerarse dentro del Subsidio para Equipamiento y Espacio Público".
d) Reemplázase en el literal iii, del segundo párrafo de la letra c), del numeral 3.9., del resuelvo 3., luego la palabra "Umbral" la frase "sumándolo al subsidio base", por "sumándolo al subsidio de Equipamiento y Espacio Público".
e) Incorpórase en la letra f), del numeral 3.9., del resuelvo 3, el siguiente tercer párrafo:
"h) Adicionalmente, podrán financiarse obras correspondientes a la incorporación de estándares de construcción sustentable, no contempladas en el inciso anterior, tales como paneles fotovoltaicos, sistema de manejo de aguas grises, sistemas solares térmicos, manejo de residuos en la construcción y domiciliarios, entre otros, de acuerdo con las indicaciones que establezcan las normas señaladas en el párrafo anterior y aquellas dispuestas por la División Técnica de Estudios y Fomento Habitacional. En estos casos, el subsidio base aumentará en hasta 40 Unidades de Fomento."
f) Reemplázase la letra g), del numeral 3.9., del resuelvo 3., por la siguiente:
"g) El Subsidio de Factibilización, a que alude el inciso primero de la letra b), del artículo 35 del DS Nº 49 (V. y U.), de 2011, podrá alcanzar hasta 150 Unidades de Fomento.
Con todo, en las comunas de la Provincia de Palena, en la Región de Los Lagos, y las comunas de las regiones de Aysén del General Carlos Ibáñez del Campo y de Magallanes y la Antártica Chilena, el subsidio complementario podrá alcanzar las 170 Unidades de Fomento.".
g) Incorpórase en el numeral 3.9 del resuelvo 3 la siguiente letra h):
"h) El Serviu podrá aceptar, en aquellos casos de discapacidades diferentes a las físicas, soluciones de diseño que permitan mejorar el uso de los recintos de la vivienda, o del conjunto habitacional, según corresponda, o incorporar alguno o algunos de los estándares dispuestos en el Anexo Técnico y Cuadro Normativo Abreviado el que estará publicado en el sitio web del Ministerio de Vivienda y Urbanismo, en la sección Postulaciones a Subsidios (www.minvu.gob.cl/postulaciones), y que se entenderá como parte de esta resolución. Estas medidas también podrán ser aplicadas por familias, que dentro de su núcleo familiar cuenten con algún integrante que presente alguna condición de neurodivergencia, tales como trastornos del espectro autista. En estos casos, Serviu podrá autorizar su acreditación mediante informes o diagnósticos médicos certificados por instituciones de salud distintas a la Comisión de Medicina Preventiva e Invalidez de la Seremi de Salud correspondiente. En cualquiera de estos casos, el monto del subsidio complementario de discapacidad, indicado en el primer inciso, de la letra f), del artículo 35, del DS Nº 49, podrá alcanzar hasta 50 Unidades de Fomento."
h) Incorpórase en el numeral 3.10., del resuelvo 3., a continuación de la oración "por concepto de permisos" la frase ", anteproyecto y revisor independiente".
i) Incorpórase en el segundo párrafo del numeral 3.11., del resuelvo 3., luego la expresión "por familia" la frase ", manteniendo el promedio y montos máximos señalados en los numerales 4.2, 5.2, y 6.2, de la presente resolución, correspondientes al subsidio de Habilitación".
j) Incorpórase como tercer párrafo del numeral 3.11., del resuelvo 3., lo siguiente, pasando los incisos tercero, cuarto y quinto, a ser cuarto, quinto y sexto:
"En el caso de proyectos en la comuna de Alto Hospicio, Región de Tarapacá, que apliquen el subsidio de Densificación en Altura, que se encuentren emplazados sobre suelo salino, deberán considerar como parte de sus obras de habilitación la ejecución de estacionamientos subterráneos, incluyendo partidas de mejoramiento estructural de suelo, fundaciones, elevaciones, muros, losas y elementos estructurales, además de los elementos de circulación respectivos, impermeabilización, e instalaciones sanitarias y eléctricas complementarias, entre otras. En estos casos, se podrán utilizar el total de los montos mencionados para los tramos de subsidio descritos en el numeral 4.2., de la presente resolución. Excepcionalmente, mediante resolución fundada, el Seremi de Vivienda y Urbanismo podrá eximir de la exigencia señalada, cuando los proyectos presenten dificultades técnicas u otras debidamente argumentadas, para su correcta ejecución.".
k) Incorpórase, luego del punto final que pasa a ser punto aparte del segundo párrafo del numeral 3.13., del resuelvo 3., lo siguiente:
"Con todo, la Empresa Constructora podrá solicitar el pago de hasta el 100% del monto de los subsidios, una vez recepcionadas las viviendas por parte de la Dirección de Obras Municipales y el Serviu respectivo, no siendo, por tanto, necesario el cumplimiento de lo dispuesto en el artículo 67 del DS N° 49 (V. y U.), de 2011, referido a la inscripción de las viviendas en el Conservador de Bienes Raíces a nombre de su beneficiario para el pago del 100% del subsidio.".
l) Agrégase en el numeral 3.15 del resuelvo 3., entre la palabra "Regional" y la palabra "no", la frase "y/o de otras instituciones públicas".
m) Incorpórase el siguiente tercer párrafo en el numeral 3.17 del resuelvo 3., "Podrán presentarse postulaciones acreditando terrenos adquiridos por empresas y sociedades del Estado para desarrollar proyectos habitacionales.".
n) Incorpórase los siguientes numerales 3.19 y 3.20, en el resuelvo 3.:
"3.19. Alternativamente a lo dispuesto en el artículo 46 del DS Nº 49 (V. y U.), de 2011, el subsidio complementario de Equipamiento y Áreas Verdes, se podrá utilizar para ejecutar las obras que se señalan en el Anexo Técnico y Cuadro Normativo Abreviado el que estará publicado en el sitio web del Ministerio de Vivienda y Urbanismo, en la sección Postulaciones a Subsidios (www.minvu.gob.cl/postulaciones). Estas obras deberán contar con la aprobación de las familias conforme lo establece la letra g), del artículo 35 del reglamento antes citado.
3.20 En aquellos casos en que los proyectos ejecutados físicamente en un 100%, con recepción Serviu, cuya Entidad Patrocinante no ha cumplido satisfactoriamente con la elaboración de las escrituras e inscripción de la propiedad, a la fecha de entrega comprometida de acuerdo a lo indicado en la resolución exenta Nº 1.875 (V. y U.), de 2015, o a más tardar a los 12 meses transcurrida la entrega de las viviendas, el Serviu podrá contratar este servicio con cargo a los recursos de asistencia técnica del proyecto, con consultores inscritos en el Registro Nacional de Consultores regulado por DS Nº 135 (V. y U.), de 1978, debiendo requerir de la correspondiente Seremi, el respectivo procedimiento administrativo a fin de aplicar las sanciones por el incumplimiento señalado en los convenios de Asistencia Técnica.".
o) Incorpórase en el resuelvo 7, el siguiente numeral 7.5:
"7.5 Los municipios podrán desarrollar las labores de Entidad Patrocinante directamente, sin que sea necesario suscribir el convenio a que alude el inciso segundo del artículo 52 del DS Nº 49 (V. y U.), de 2011. Para esta labor, podrán actuar conjuntamente con una Entidad Patrocinante vigente, con la que suscribirán un convenio de colaboración, la que podrá asumir las labores correspondientes a los servicios de "Elaboración de proyectos técnicos y contratación de obras", y "Gestión legal".
p) Incorpórase en el resuelvo 9., los siguientes párrafos segundo, tercero y cuarto:
"En estos casos, hasta un 20% de las viviendas de dichos proyectos podrán ser destinadas al arriendo para familias que cumplan con los requisitos del Programa de Subsidio de Arriendo de Vivienda, regulado por el DS Nº 52 (V. y U.), de 2013.
Además, las tareas de administración, operación y mantención de las unidades del proyecto o inmueble que se dispongan para tales fines, las realizará el Serviu respectivo a través de terceros mediante un Administrador contratado para tales fines. El Serviu podrá efectuar directamente dicha administración en casos debidamente fundados, cuando así lo autorice el Ministro de Vivienda y Urbanismo, mediante resolución visada por la Dirección de Presupuestos del Ministerio de Hacienda.
Respecto de las condiciones de administración, operación, mantención, cuidado, mejoramiento, aseo, pago de servicios comunes y otros consumos, gestión comunitaria, gestión del personal asociado a la administración de las unidades que se dispongan para arriendo, y todas las obligaciones derivadas del Programa de Subsidio de Arriendo de Vivienda, y las que surjan de la adecuada administración del inmueble. Con todo, para efectos de las unidades que se dispongan en cada proyecto para arriendo, se deberán considerar las siguientes condiciones:
a) El Administrador, en base a los criterios que se impartan al efecto por el Minvu o el Serviu, seleccionará a las familias o núcleos arrendatarios de viviendas. Los criterios para la priorización de arrendatarios se fundarán en aspectos relacionados a la vulnerabilidad social y/o habitacional, la condición de damnificados o pertenencia a campamentos, además de establecerse cuotas para la atención prioritaria de familias pertenecientes a la comuna en que se emplaza el inmueble, y pertenecientes a diversos estratos socioeconómicos, según el Registro Social de Hogares. Asimismo, podrá mantenerse una lista de espera de personas interesadas en arrendar, conforme a los criterios señalados.
b) El monto mensual de la renta de arrendamiento será fijado por el Administrador en función del tamaño de las viviendas, estableciendo criterios de asequibilidad, considerando que el costo no supere el 25% de los ingresos del arrendatario, debiendo en cualquier caso resguardarse el financiamiento de la administración, operación y mantención las de viviendas que se dispongan para tales fines. Con todo, los adultos mayores beneficiarios de llamados especiales del programa regulado por el DS Nº 52 (V. y U.), de 2013, pagarán únicamente la renta de arrendamiento que corresponda al copago establecido en dichos llamados, según tramo de caracterización socioeconómica.
c) El arrendatario podrá permanecer por un plazo de hasta 8 años, plazo en el que deberá abandonar el inmueble, salvo que se encuentre en proceso de postulación a algún programa habitacional para la provisión de vivienda, caso en el cual el Administrador podrá extender el contrato de arriendo por un plazo adicional máximo de dos años, debiendo el beneficiario continuar con el pago íntegro de la renta. En casos excepcionales, debidamente autorizados por el Serviu, dicho plazo podrá extenderse por un año adicional. Lo anterior deberá ser estipulado en el contrato de arriendo respectivo.
d) En caso que, por cualquier motivo o incumplimiento, se ponga término al contrato de arrendamiento antes de agotar los recursos otorgados por el subsidio de arriendo, el beneficiario podrá contar con el saldo para suscribir un nuevo contrato para el arriendo de otra vivienda. La aplicación del saldo se realizará conforme a las condiciones señaladas en el DS Nº 52 (V. y U.), de 2013, y/o los llamados respectivos.".
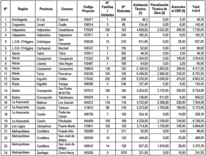
2. Apruébase la siguiente nómina de proyectos seleccionados, con su respectivo financiamiento total, para el otorgamiento de subsidios del Programa Habitacional Fondo Solidario de Elección de Vivienda en la alternativa de postulación colectiva, para el proyecto de Construcción en Nuevos Terrenos, en las regiones de Antofagasta, Coquimbo, Valparaíso, Libertador General Bernardo O'Higgins, Maule, Ñuble, Biobío, Araucanía y Los Lagos, correspondiente al proceso de selección cuyo cierre de postulación se verificó el día 6 de abril de 2023, del llamado efectuado por resolución exenta N° 663 (V. y U.), de 2023:

El detalle de los recursos comprometidos por concepto de subsidio base y subsidios complementarios para cada uno de los proyectos seleccionados en el presente resuelvo y que por este acto se asignan, se informa en la nómina que se adjunta como anexo y forma parte integrante de la presente resolución.
Sólo para efectos de imputación dicho monto ha incluido, en los casos que corresponda, el monto aludido en el segundo inciso, de la letra c), del resuelvo 3.9 de la resolución exenta Nº 663 (V. y U.), de 2023. Mediante resolución, el Director del Serviu respectivo deberá sancionar el monto definitivo que corresponda asignar para el financiamiento de las obras correspondientes a mitigaciones directas producto de la aplicación de la ley Nº 20.958, que Establece un Sistema de Aportes al Espacio Público, el que no podrá superar el monto por familia ahí señalado.
3.- El monto del subsidio asignado de conformidad con el cuadro del resuelvo 2. de esta resolución comprende los siguientes valores por concepto de Servicios de Asistencia Técnica, de Labores de Fiscalización Técnica de Obra y pago de Aranceles al Conservador de Bienes Raíces:

Dichos montos fueron calculados conforme a la resolución exenta Nº 1.875 (V. y U.), de 2015, mencionada en el Visto d) de la presente resolución:
i. En el caso de los Servicios de Asistencia Técnica, de acuerdo al número de familias postulantes que se beneficiarán por esta resolución, considerando los recursos para Asistencia Técnica descritos en las tablas insertas en los números 1.1 y 1.2 del numeral 1 del artículo 3º de la citada resolución. Se adiciona además 1 UF por familia, considerando lo señalado en el segundo inciso, del número 1.1. del numeral 1 del citado artículo. Este monto también incorpora los incrementos señalados en las letras a), b), c) y d) del numeral 3 del mismo artículo, referidos a Densificación en Altura o Habilitación, Factibilización, Discapacidad, Territorios Especiales y Localidades Aisladas, conforme lo define la referida resolución;
ii. En el caso de la Fiscalización Técnica de Obras, de acuerdo a la totalidad de viviendas del proyecto y según mecanismo expresado en el artículo 4º número 17 de la resolución exenta Nº 1.875 ya citada y lo señalado en segundo inciso del resuelvo 2. de la resolución exenta Nº 663 (V. y U), de 2023.
Mediante resolución del Director del Serviu respectivo, se determinarán los montos definitivos de Asistencia Técnica, cuando corresponda otorgar los incrementos que la resolución exenta Nº 1.875 (V. y U.), de 2015, establece en las letras e), g), h), i), j) y k) del número 3 de su artículo 3º, o cuando corresponda aplicar lo señalado en el inciso 2 del número 8 de su artículo 2º.
4. Los recursos comprometidos en el resuelvo 2. de la presente resolución, para los proyectos seleccionados en el cierre de postulación efectuado el día 6 de abril de 2023, del concurso a que se llamó mediante la resolución exenta Nº 663 (V. y U.), de 2023, se resumen en el siguiente cuadro para cada región del país, incluyendo la suma total de familias beneficiadas y las Unidades de Fomento comprometidas, considerando los montos de subsidio de los proyectos, incluidos sus respectivos servicios de asistencia técnica y fiscalización técnica de obras:
