APRUEBA CONVENIO AD – REFERÉNDUM N° 2 DEL CONTRATO DE CONCESIÓN DE LA OBRA PÚBLICA FISCAL DENOMINADA "PROGRAMA DE CONCESIONES DE INFRAESTRUCTURA HOSPITALARIA"
Núm. 55.- Santiago, 30 de marzo de 2023.
Vistos:
- El DFL MOP Nº 850 de 1997, que fijó el texto refundido, coordinado y sistematizado de la Ley Nº 15.840, de 1964, Orgánica del Ministerio de Obras Públicas, y del DFL Nº 206, de 1960, Ley de Caminos.
- El Decreto Supremo MOP Nº 900 de 1996, que fijó el texto refundido, coordinado y sistematizado del DFL MOP Nº 164, de 1991, Ley de Concesiones de Obras Públicas, y sus modificaciones, en especial su artículo 19º.
- El Decreto Supremo MOP Nº 956 de 1997, Reglamento de la Ley de Concesiones de Obras Públicas, y sus modificaciones, en especial el artículo 69º.
- La Ley Nº 21.044, de fecha 17 de noviembre de 2017, que crea la Dirección General de Concesiones de Obras Públicas.
- El DFL MOP Nº 7, de fecha 25 de enero de 2018, que fija la planta de personal y fecha de iniciación de actividades de la Dirección General de Concesiones de Obras Públicas.
- El Decreto Supremo MOP Nº 230, de fecha 11 de agosto de 2009, que adjudicó el contrato de concesión para la ejecución, conservación y explotación de la obra pública fiscal denominada "Programa de Concesiones de Infraestructura Hospitalaria".
- El Decreto Supremo MOP N° 145 de 2018.
- La Resolución Afecta N° 1 de 2019, del Hospital Clínico de La Florida Dra. Eloísa Díaz Insunza.
- La Resolución DGC N° 0061 (Exenta), de fecha 18 de octubre de 2021.
- El Decreto Supremo MOP N° 225, de fecha 11 de noviembre de 2021.
- El Oficio Ord. (E) N° 1151, de fecha 9 de diciembre de 2022, del Director General de Concesiones de Obras Públicas.
- El Oficio Ordinario C49 / N° 275, de fecha 27 de enero de 2023, del Subsecretario de Redes Asistenciales de Ministerio de Salud.
- La Resolución Nº 7 de 2019, de la Contraloría General de la República, que fijó normas sobre exención del trámite de toma de razón.
Considerando:
1°. Que de acuerdo con lo establecido en el artículo 2 de la Ley Nº 21.044 de 2017, desde la fecha de inicio de las funciones de la Dirección General de Concesiones de Obras Públicas fijada en el DFL MOP Nº 7 de 2018, ésta asumió la totalidad de las competencias, funciones y atribuciones que desempeñaba la Dirección General de Obras Públicas, por sí y a través de la Coordinación de Concesiones de Obras Públicas, dispuestas en el DFL MOP Nº 850 de 1997, Ley Orgánica del Ministerio de Obras Públicas, relacionadas con la Ley de Concesiones de Obras Públicas, y por tanto, está encargada especialmente de continuar la gestión de los contratos de estudios, asesorías y concesión a través de sus etapas de proyecto, construcción y explotación, respecto de todos los contratos que, hasta la fecha de entrada en vigor de esa ley, la Dirección General de Obras Públicas tenía a su cargo.
2°. Que los artículos 19º de la Ley de Concesiones de Obras Públicas y 69º de su Reglamento, establecen que el Ministerio de Obras Públicas, en adelante el "MOP", desde que se perfeccione el contrato, podrá modificar, por razones de interés público, las características de las obras y servicios contratados.
3°. Que el artículo 69º Nº 4 del Reglamento agrega que el Director General de Concesiones de Obras Públicas, con el visto bueno del Ministro de Obras Públicas y del Ministro de Hacienda, por razones de urgencia, podrá exigir la modificación de las obras y servicios desde el momento que lo estime conveniente, aunque esté pendiente la determinación sobre la indemnización.
4°. Que de conformidad con lo dispuesto en los artículos 19º de la Ley de Concesiones de Obras Públicas y 69º Nº 4 de su Reglamento, el Ministerio de Obras Públicas, mediante Resolución DGC N° 0061 (Exenta), de fecha 18 de octubre de 2021, modificó por razones de interés público y urgencia las características de las obras y servicios del Contrato de Concesión de la obra pública fiscal denominada "Programa de Concesiones de Infraestructura Hospitalaria", con el objeto de establecer que la Sociedad Concesionaria debía desarrollar el proyecto de ingeniería definitiva, y ejecutar, mantener y operar las obras que se deriven de éste, que permitan proveer de un sistema de climatización definitiva adecuado a los requerimientos clínico-sanitarios en las áreas no climatizadas de ambos establecimientos hospitalarios que conforman el Contrato de Concesión. Adicionalmente, dados los plazos necesarios para desarrollar el proyecto de ingeniería definitiva y para la ejecución de las obras de climatización, se hizo necesario extender las obligaciones relativas a las medidas de mitigación implementadas para el Hospital de Maipú establecidas en el Decreto Supremo MOP N° 145 de 2018 y las medidas implementadas en virtud de la Resolución Afecta N° 1 de 2019, del Hospital Clínico de La Florida Dra. Eloísa Díaz Insunza, hasta la recepción definitiva de dichas obras. Lo anterior, dadas las condiciones de climatización de los Hospitales de Maipú y La Florida, en cuyo diseño no se consideró climatización para la totalidad de las instalaciones sino que sólo en los recintos de áreas clínicas más relevantes y en sectores específicos, el aumento de la cantidad de días con temperaturas máximas producen una mayor cantidad de eventos en los cuales la temperatura, en aquellos lugares donde no existe climatización, se aleja del rango de confort, con lo cual se generan evidentes incomodidades para los funcionarios, e inconvenientes y eventuales riesgos clínico-sanitarios para la salud de los pacientes. Lo anterior, toda vez que en los hospitales la ventilación tiene no sólo que realizar el tratamiento térmico del ambiente, sino que a la vez tiene que cubrir las necesidades clínicas y proporcionar las condiciones higiénicas adecuadas con el fin de proteger a los pacientes y a los profesionales que realizan sus tareas en éste ámbito, reduciendo la concentración de agentes contaminantes, tales como microorganismos, polvo, gases narcóticos, desinfectantes, sustancias odoríferas u otras sustancias contenidas en el ambiente. Esta situación, que hasta el momento sólo ha sido atenuada mediante medidas de mitigación temporales, ha requerido de un trabajo conjunto entre las partes y el Ministerio de Salud, para efectos de lograr concordar los aspectos técnicos y económicos de las medidas a implementar, en virtud de lo cual, acordadas dichas condiciones, se hacía urgente avanzar en el proceso de licitación del Proyecto de Ingeniería Definitiva, a efectos de resolver lo más pronto posible y de forma definitiva esta situación que afecta a ambos establecimientos de salud, ello mientras se tramitaba el Decreto Supremo que sancionó la mencionada Resolución DGC N° 0061 (Exenta), de fecha 18 de octubre de 2021.
5°. Que la Resolución DGC N° 0061 (Exenta), de fecha 18 de octubre de 2021, a que se refiere el considerando precedente fue sancionada mediante Decreto Supremo MOP N° 225, de fecha 11 de noviembre de 2021.
6°. Que las modificaciones a las características de las obras y servicios del contrato de concesión que trata la Resolución DGC N° 0061 (Exenta), de fecha 18 de octubre de 2021, sancionada mediante Decreto Supremo MOP N° 225, de fecha 11 de noviembre de 2021, involucran nuevas inversiones y mayores gastos y costos para la Sociedad Concesionaria, todo lo cual, de conformidad con lo prescrito en el artículo 19º de la Ley de Concesiones de Obras Públicas, obliga al MOP a compensarla, debiendo acordar con la Sociedad Concesionaria las indemnizaciones correspondientes, para efectos de lo cual, con fecha 1 de febrero de 2023, las partes suscribieron el Convenio Ad – Referéndum Nº 2 del contrato de concesión, que se aprueba mediante el presente Decreto Supremo.
7°. Que mediante Oficio (E) N° 1151, de fecha 9 de diciembre de 2022, el Director General de Concesiones de Obras Públicas, remitió al Subsecretario de Redes Asistenciales del Ministerio de Salud, una propuesta de Convenio Ad – Referéndum N° 2 para su revisión y validación.
8°. Que el Subsecretario de Redes Asistenciales del Ministerio de Salud, mediante Oficio Ordinario C49 / N° 275, de fecha 27 de enero de 2023, informó al Director General de Concesiones de Obras Públicas su aprobación del borrador de Convenio Ad – Referéndum N° 2, en los términos y condiciones planteados.
Decreto
1. Apruébase el Convenio Ad – Referéndum N° 2 del contrato de concesión de la obra pública fiscal denominada "Programa de Concesiones de Infraestructura Hospitalaria" de fecha 1 de febrero de 2023, celebrado entre la Dirección General de Concesiones Obras Públicas, representada por su Directora General (S), María de los Ángeles Vargas Manríquez, y "Sociedad Concesionaria San José – Tecnocontrol S.A.", debidamente representada por doña Hidalia Vargas Martínez y por don Francisco Palma Moreno, cuyo texto es el siguiente:
CONVENIO AD – REFERÉNDUM Nº 2
DEL CONTRATO DE CONCESIÓN DE LA OBRA PÚBLICA FISCAL DENOMINADA
"PROGRAMA DE CONCESIONES DE INFRAESTRUCTURA HOSPITALARIA"
En Santiago de Chile, a un día del mes de febrero de 2023, entre la DIRECCIÓN GENERAL DE CONCESIONES DE OBRAS PÚBLICAS, representada por su Directora General (S), María de los Ángeles Vargas Manríquez, ambas domiciliadas para estos efectos en calle Merced Nº 753, piso 7, comuna de Santiago, en adelante el "MOP"; y "SOCIEDAD CONCESIONARIA SAN JOSÉ – TECNOCONTROL S.A.", sociedad concesionaria de la obra pública fiscal denominada "PROGRAMA DE CONCESIONES DE INFRAESTRUCTURA HOSPITALARIA", Rut Nº 76.082.113-6, representada por doña Hidalia Vargas Martínez, Cédula de Identidad Nº 14.643.891-1, y por don Francisco Palma Moreno, Cédula de Identidad para extranjeros Nº 23.778.485-5, todos domiciliados para estos efectos en Alcántara N° 44, piso 5, comuna de Las Condes, en adelante la "Sociedad Concesionaria", se ha pactado el siguiente Convenio Ad – Referéndum, que consta de las cláusulas que a continuación se expresan:
PRIMERO: ANTECEDENTES Y FUNDAMENTOS DEL PRESENTE CONVENIO AD – REFERÉNDUM.
1.1 "Sociedad Concesionaria San José – Tecnocontrol S.A." es titular del contrato de concesión de la obra pública fiscal denominada "Programa de Concesiones de Infraestructura Hospitalaria", adjudicado por Decreto Supremo MOP Nº 230, de fecha 11 de agosto de 2009, en adelante el "Contrato de Concesión".
1.2 De conformidad con lo establecido en el artículo 2 de la Ley Nº 21.044 de 2017, desde la fecha de inicio de las funciones de la Dirección General de Concesiones de Obras Públicas fijada en el DFL MOP Nº 7 de 2018, ésta asumió la totalidad de las competencias, funciones y atribuciones que desempeñaba la Dirección General de Obras Públicas, por sí y a través de la Coordinación de Concesiones de Obras Públicas, dispuestas en el DFL MOP Nº 850 de 1997, Ley Orgánica del Ministerio de Obras Públicas, relacionadas con la Ley de Concesiones de Obras Públicas, y por tanto, está encargada especialmente de continuar la gestión de los contratos de estudios, asesorías y concesión a través de sus etapas de proyecto, construcción y explotación, respecto de todos los contratos que, hasta la fecha de entrada en vigor de esa ley, la Dirección General de Obras Públicas tenía a su cargo.
1.3 Los artículos 19º de la Ley de Concesiones de Obras Públicas y 69º de su Reglamento, establecen que el Ministerio de Obras Públicas, desde que se perfeccione el contrato, podrá modificar, por razones de interés público, las características de las obras y servicios contratados, debiendo compensar al concesionario con las indemnizaciones necesarias en caso de perjuicio, acordando con aquél indemnizaciones que podrán expresarse en el plazo de la concesión, en las tarifas, en los aportes o subsidios o en otros factores del régimen económico de la concesión pactados, pudiendo utilizar uno o varios factores a la vez. El artículo 69º Nº 4 del Reglamento agrega que el Director General de Concesiones de Obras Públicas, con el Visto Bueno del Ministro de Obras Públicas y del Ministro de Hacienda, por razones de urgencia, podrá exigir la modificación de las características de las obras y servicios contratados desde el momento que lo estime conveniente, aunque esté pendiente la determinación sobre la indemnización.
1.4 Acorde con lo prescrito en el artículo 19º de la Ley de Concesiones de Obras Públicas y 69º Nº 4 de su Reglamento, mediante Resolución DGC (Exenta) Nº 0061, de fecha 18 de octubre de 2021, sancionada mediante Decreto Supremo MOP N° 225, de fecha 11 de noviembre de 2021, se modificaron, por razones de interés público y urgencia, las características de las obras y servicios del contrato de concesión de la obra pública fiscal denominada "Programa de Concesiones de Infraestructura Hospitalaria", en el sentido que la Sociedad Concesionaria asumió la obligación de: a) desarrollar el estudio denominado "Proyecto de Ingeniería Definitiva de Climatización de los Hospitales de Maipú y La Florida", en adelante "PID Climatización"; b) ejecutar las obras que se deriven de dicho proyecto aprobado por el Inspector Fiscal; c) conservar, mantener, operar y explotar las obras de climatización que se ejecuten de conformidad a lo indicado en la letra b) precedente por todo el plazo de la concesión; y d) extender la obligación establecida en el Decreto Supremo MOP N° 145 de 2018, de arrendar, operar, conservar y mantener los equipos de aire acondicionado a que se refiere dicho decreto supremo, y las medidas implementadas en virtud de la Resolución Afecta N° 1, de 28 de enero de 2019, del Hospital Clínico de La Florida Dra. Eloísa Díaz Insunza, hasta la recepción definitiva de las obras a que se refiere la letra b) anteprecedente. Todo lo anterior, en los términos, plazos y condiciones de servicio que se establecen en dichos actos administrativos.
1.5 Las modificaciones a las características de las obras y servicios del contrato de concesión dispuestas mediante Resolución DGC (Exenta) Nº 0061 de 2021, sancionada mediante Decreto Supremo MOP N° 225 de 2021, involucran para la Sociedad Concesionaria nuevas inversiones y mayores gastos y costos, todo lo cual, de conformidad con lo establecido en el artículo 19º de la Ley de Concesiones de Obras Públicas, obliga a compensarla acordando con ella las indemnizaciones necesarias.
1.6 La Sociedad Concesionaria, en virtud de los antecedentes y fundamentos enunciados, y según prescribe el artículo 19º de la Ley de Concesiones de Obras Públicas, ha convenido con el Ministerio de Obras Públicas las cláusulas que en el presente Convenio se indican. Se deja constancia que mediante el Oficio Ordinario C49 / N° 275, de fecha 27 de enero de 2023, el Subsecretario de Redes Asistenciales otorgó su conformidad al borrador de convenio que las partes suscriben en este acto.
1.7 Forman parte integrante del presente Convenio Ad – Referéndum los siguientes anexos, que se adjuntan a éste:
. Anexo N° 1: Ejemplo numérico sobre avance acumulado y actualizado de inversiones ejecutadas, según numeral 3.2.1 del presente Convenio.
. Anexo N° 2: Ejemplo numérico de contabilización del saldo acumulado y actualizado de la "Cuenta de Inversión y Compensación Convenio Ad - Referéndum Nº 2".
. Anexo Nº 3: Ejemplo numérico del procedimiento estipulado en el numeral 4.6 del presente Convenio, para el cálculo de los montos de las Resoluciones por Valores Devengados.
. Anexo N° 4: Modelo de Resolución MINSAL por Valores Devengados.
. Anexo N° 5: Cálculo de los montos por concepto de arriendo, operación, conservación y mantenimiento de los equipos, calculados de acuerdo al procedimiento señalado en el numeral 6.2 del presente Convenio.
. Anexo N° 6: Cálculo de los montos por concepto de arriendo, operación, conservación y mantenimiento de los equipos, calculados de acuerdo al procedimiento señalado en el numeral 6.3 del presente Convenio.
. Anexo N° 7: Ejemplo de la forma de cálculo del monto a pagar por el Ministerio de Salud, por concepto de intereses, de acuerdo a lo señalado en el numeral 6.4 del presente Convenio.
. Anexo N° 8: Ejemplo de la forma de cálculo del monto a pagar por el Ministerio de Salud, por concepto de arriendo, operación, conservación y mantenimiento de los equipos, de acuerdo a lo señalado en el numeral 6.5 del presente Convenio.
SEGUNDO: VALORIZACIÓN DE NUEVAS INVERSIONES, COSTOS Y GASTOS ASOCIADOS.
Para compensar a la Sociedad Concesionaria por los montos de inversión, costos y gastos asociados, derivados de las modificaciones de las características de las obras y servicios del contrato de concesión dispuestas en la Resolución DGC (Exenta) N° 0061, de fecha 18 de octubre de 2021, sancionada mediante Decreto Supremo MOP N° 225, de fecha 11 de noviembre de 2021, el MOP acuerda con la Sociedad Concesionaria las valorizaciones que se detallan a continuación:
2.1 Por concepto del desarrollo del "PID Climatización" se fija la cantidad única, total y definitiva, acordada a suma alzada, de UF 26.866,85 (veintiséis mil ochocientas sesenta y seis coma ochenta y cinco Unidades de Fomento), neta de IVA, de conformidad al resultado del proceso de licitación privada establecido en el numeral 1.2 del Decreto Supremo MOP N° 225 de 2021.
2.2 Por concepto de la ejecución de las "Obras de Climatización Hospitales de Maipú y La Florida", se fijó el monto máximo de UF 400.000 (cuatrocientas mil Unidades de Fomento), neto de IVA, según lo establecido en el primer párrafo del numeral 6.2 del Decreto Supremo MOP N° 225 de 2021.
El valor definitivo que reconocerá el MOP por este concepto será el que apruebe el Inspector Fiscal, conforme al procedimiento establecido en el numeral 6.2 del Decreto Supremo MOP N° 225 de 2021.
2.3 Por concepto de administración y control del desarrollo del "PID Climatización" se fija la cantidad única, total y definitiva, acordada a suma alzada, de UF 1.076 (mil setenta y seis Unidades de Fomento), neta de IVA, de conformidad a lo establecido en el numeral 6.3 del Decreto Supremo MOP N° 225 de 2021.
2.4 Por concepto de seguros de responsabilidad civil por daños a terceros y seguro por catástrofe durante la construcción de las "Obras de Climatización Hospitales de Maipú y La Florida", se fija el monto máximo de UF 1.200 (mil doscientas Unidades de Fomento), neto de IVA, el que se reconocerá según su valor proforma, es decir, según los desembolsos que efectivamente realice la Sociedad Concesionaria por este concepto, según el procedimiento que se establece en el numeral 6.4 del Decreto Supremo MOP N° 225 de 2021.
2.5 Por concepto de garantías adicionales durante la construcción de las "Obras de Climatización Hospitales de Maipú y La Florida", se fija el monto máximo de UF 500 (quinientas Unidades de Fomento), neto de IVA, el que se reconocerá según su valor proforma, es decir, según los desembolsos que efectivamente realice la Sociedad Concesionaria por este concepto, según el procedimiento que se establece en el numeral 6.5 del Decreto Supremo MOP N° 225 de 2021.
2.6 Por concepto de mayores costos de conservación, mantenimiento, operación y explotación, incluyendo reposición, de las "Obras de Climatización Hospitales de Maipú y La Florida", se fijó la cantidad única, total y anual, acordada a suma alzada, equivalente a un 6% del monto definitivo que resulte de lo señalado en el numeral 2.2 del presente Convenio, neta de IVA, de conformidad a lo establecido en el numeral 6.6 del Decreto Supremo MOP N° 225 de 2021.
2.7 Por concepto de arriendo de los equipos de aire acondicionado a que hace referencia el Nº 4 del Decreto Supremo MOP N° 225 de 2021, y su operación, conservación y mantenimiento, se fijó la cantidad máxima mensual de UF 1.591,52 (mil quinientas noventa y una coma cincuenta y dos Unidades de Fomento), neta de IVA, conformidad a lo establecido en el numeral 6.7 del Decreto Supremo MOP N° 225 de 2021.
Se deja constancia que los montos mensuales definitivos que se reconocerán por concepto de arriendo, operación, conservación y mantenimiento de los equipos, deberán ajustarse proporcionalmente a la cantidad de equipos operativos durante dicho mes y a los días de arriendo, operación, conservación y mantenimiento efectivos, los cuales se reconocerán a partir del mes de mayo de 2020.
2.8 Por concepto de arriendo de los equipos de aire acondicionado a que hace referencia el Nº 5 del Decreto Supremo MOP N° 225 de 2021, y su operación, conservación y mantenimiento, se fijó la cantidad máxima mensual de UF 1.225,85 (mil doscientas veinticinco coma ochenta y cinco Unidades de Fomento), neta de IVA, conformidad a lo establecido en el numeral 6.8 del Decreto Supremo MOP N° 225 de 2021.
Se deja constancia que los montos mensuales definitivos que se reconocerán por concepto de arriendo, operación, conservación y mantenimiento de los equipos, deberán ajustarse proporcionalmente a la cantidad de equipos operativos durante dicho mes y a los días de arriendo, operación, conservación y mantenimiento efectivos, los cuales se reconocerán a partir del mes de agosto de 2019.
TERCERO: CONTABILIZACIÓN Y ACTUALIZACIÓN DE NUEVAS INVERSIONES, COSTOS Y GASTOS ASOCIADOS A LOS NUMERALES 2.1 A 2.5 DEL PRESENTE CONVENIO.
Las nuevas inversiones, costos y gastos efectuados por la Sociedad Concesionaria, en virtud de lo dispuesto en los numerales 2.1 a 2.5 de la cláusula segunda precedente, más el Impuesto al Valor Agregado (IVA) que corresponda, se contabilizarán con signo negativo, en una cuenta que se creará al efecto, en adelante denominada "Cuenta de Inversión y Compensación Convenio Ad-Referéndum N° 2", y el saldo acumulado en ella se actualizará mensualmente a una tasa de interés real mensual compuesta equivalente a una tasa real anual que se determinará de conformidad con el procedimiento que se fija en el numeral 3.1 siguiente.
Los montos a contabilizar en la citada cuenta deberán contabilizarse con signo negativo, y se expresarán en Unidades de Fomento, con dos decimales redondeados al segundo decimal, usando para su conversión el valor de dicha unidad para el último día del mes en que se hayan efectuado dichas inversiones, gastos o desembolsos.
3.1 TASA DE ACTUALIZACIÓN
Las partes acuerdan que la tasa mensual de actualización de la "Cuenta de Inversión y Compensación Convenio Ad-Referéndum N° 2" y de la totalidad de las Resoluciones por Valores Devengados que se emitan de conformidad con lo establecido en la cláusula cuarta del presente Convenio, corresponderá a la tasa real mensual compuesta equivalente a la menor tasa fija que resulte del proceso de licitación privada que deberá efectuar la Sociedad Concesionaria, conforme con lo señalado en los numerales siguientes:
3.1.1 El objeto de la licitación privada que deberá efectuar la Sociedad Concesionaria consiste en obtener propuestas para la adjudicación de un contrato de financiamiento, mediante la cesión de las Resoluciones por Valores Devengados que emitirá el Ministerio de Salud (MINSAL), a través de la Subsecretaría de Redes Asistenciales, para compensar las inversiones, costos y gastos señalados en la cláusula segunda del presente Convenio. El proceso consiste en obtener propuestas que permitan establecer la Tasa Fija Real Anual de emisión de la totalidad de las Resoluciones por Valores Devengados que se emitirán de conformidad con lo establecido en el numeral 4.2 del presente Convenio.
3.1.2 La Sociedad Concesionaria deberá presentar al Inspector Fiscal, dentro del plazo máximo de 5 días hábiles contados desde la fecha de publicación en el Diario Oficial del Decreto Supremo que apruebe el presente Convenio, una copia de las bases de licitación privada. El Inspector Fiscal tendrá un plazo de 5 días hábiles para observar dichas bases, plazo después del cual, si no hubiere observaciones, se entenderán aprobadas. En caso que las bases de licitación privada sean observadas por el Inspector Fiscal, la Sociedad Concesionaria tendrá un plazo de 5 días hábiles para entregar las bases de licitación privada corregidas. El Inspector Fiscal tendrá 5 días hábiles para aprobar o rechazar las bases de licitación privada corregidas. En caso que el Inspector Fiscal no se pronuncie en el plazo estipulado, se entenderá que aprueba las referidas bases de licitación privada. En el evento de atrasos en la entrega de las respectivas bases de licitación privada o de sus correcciones por parte de la Sociedad Concesionaria, se aplicará a ésta una multa de 2 UTM por día o fracción de día de atraso, cuya aplicación y pago se regularán según lo establecido en las Bases de Licitación.
3.1.3 Para efectos de la licitación privada, la Sociedad Concesionaria deberá invitar a un mínimo de 5 bancos chilenos o instituciones financieras locales.
3.1.4 El nombre del Banco o Institución Financiera que haya presentado la menor tasa fija de mercado, así como el valor de la misma, en adelante denominada "Tasa de Licitación", deberán ser comunicados por la Sociedad Concesionaria al Inspector Fiscal dentro del plazo máximo de 60 días contados desde la fecha de aprobación de las bases de licitación privada por parte del Inspector Fiscal, adjuntando todos los antecedentes tenidos a la vista.
3.1.5 Como condición de validez de la licitación privada que llevará a cabo la Sociedad Concesionaria, ésta deberá dejar establecido que en caso de adjudicarse la licitación, el adjudicatario quedará obligado de forma irrevocable e incondicional, a adquirir la totalidad de las Resoluciones por Valores Devengados que se emitan con motivo del presente Convenio. Sin perjuicio de lo anterior, el adjudicatario que adquirirá la totalidad de las Resoluciones por Valores Devengados que se emitan con motivo del presente Convenio, podrá, hasta 30 días antes de la fecha de pago consignada en cada una de las citadas Resoluciones, transferirlas o cederlas a otro tercero, el que deberá cumplir con las condiciones señaladas en el numeral 4.9 del presente Convenio.
3.1.6 Las partes acuerdan que sin perjuicio de la obligación de la Sociedad Concesionaria de realizar la licitación privada mencionada en el presente numeral, con el objeto de determinar la "Tasa de Licitación", ésta no estará obligada a adjudicar la licitación ni a suscribir el respectivo contrato de financiamiento, es decir, la propia Sociedad Concesionaria podrá ser el legítimo tenedor de las Resoluciones por Valores Devengados. Para ello, dentro del mismo plazo indicado en el numeral 3.1.4 del presente Convenio, deberá comunicarle al Inspector Fiscal si adjudicará la licitación a la menor oferta recibida, o bien, será la propia Sociedad Concesionaria el legítimo tenedor de las Resoluciones por Valores Devengados. En caso de optar la Sociedad Concesionaria por no adjudicar la respectiva licitación, la Sociedad Concesionaria no podrá ceder o transferir, en ningún momento, las respectivas Resoluciones por Valores Devengados, convirtiéndose en el único tenedor de cada una de las Resoluciones por Valores Devengados que se emitan en virtud del presente Convenio hasta su respectiva fecha de pago. En este caso, la tasa mensual de actualización será equivalente a la menor tasa ofertada conforme al procedimiento descrito en el presente numeral.
3.1.7 En caso que no se presenten ofertas para el proceso de licitación privada, la Sociedad Concesionaria deberá declarar desierta la licitación, lo que deberá ser informado al Inspector Fiscal en la misma comunicación señalada en el numeral 3.1.4 del presente Convenio. En tal caso, la tasa mensual de actualización de la "Cuenta de Inversión y Compensación Convenio Ad – Referéndum Nº 2" y de la totalidad de la Resoluciones por Valores Devengados que se emitan, corresponderá a la tasa mensual compuesta equivalente a la tasa de interés corriente para operaciones reajustables en moneda nacional de un año o más, superiores al equivalente de 2.000 Unidades de Fomento, que informe la Comisión para el Mercado Financiero, o la institución que la reemplace, vigente a la fecha en que se cumpla el plazo de 45 días que se fija en el párrafo anterior.
3.2 CONTABILIZACIÓN EN LA "CUENTA DE INVERSIÓN Y COMPENSACIÓN CONVENIO AD-REFERÉNDUM N° 2"
Para la contabilización de las inversiones, costos y gastos asociados señalados en los numerales 2.1 a 2.5 de la cláusula segunda del presente Convenio, se procederá de la siguiente manera:
3.2.1 Dentro de los primeros 10 días del mes siguiente a aquel en que la Sociedad Concesionaria haya comunicado la tasa real anual de conformidad con el procedimiento que se fija en el numeral 3.1 del presente Convenio, la Sociedad Concesionaria presentará al Inspector Fiscal un informe que contenga un detalle de los montos mensuales de inversión, gastos o costos señalados en los numerales 2.1 a 2.5 de la cláusula segunda precedente, más el IVA que corresponda, en virtud de las inversiones, gastos o desembolsos reconocidos según lo señalado en el numeral 3.2.3 subsiguiente, correspondientes al período comprendido entre la fecha de la total tramitación de la Resolución DGC (Exenta) N° 0061 de 2021, y el último día del mes anterior a aquel en que la Sociedad Concesionaria haya comunicado la tasa real anual de conformidad con el procedimiento que se fija en el numeral 3.1 del presente Convenio.
Estos montos se expresarán en Unidades de Fomento con dos decimales, redondeados al segundo decimal, usando para efectos de su conversión el valor de dicha unidad fijado para la fecha de reconocimiento de cada monto, señalado en el numeral 3.2.3 subsiguiente.
El informe antes señalado deberá incluir el cálculo de los intereses devengados mensualmente desde el reconocimiento de cada monto, según lo señalado en el numeral 3.2.3 subsiguiente, hasta el último día del mes anterior a la presentación del informe, y del avance acumulado y actualizado de las inversiones reconocidas según lo señalado en el numeral 3.2.3 subsiguiente, utilizando para ello la tasa de interés que se determine de conformidad con el numeral 3.1 precedente.
El Inspector Fiscal tendrá un plazo de 5 días para revisar, aprobar u observar el informe presentado. En caso de que el informe sea observado por el Inspector Fiscal, la Sociedad Concesionaria tendrá un plazo de 5 días para entregar el informe corregido y, a su vez, el Inspector Fiscal tendrá 5 días para aprobar o rechazar el informe corregido. Este procedimiento será iterativo hasta que el Inspector Fiscal apruebe el informe. En el evento de atrasos en la entrega del informe o sus correcciones por parte de la Sociedad Concesionaria, se aplicará a ésta una multa de 2 UTM, por día o fracción de día de atraso, cuya aplicación y pago se regularán según lo establecido en las Bases de Licitación.
Una vez aprobado el monto total correspondiente al informe señalado en el presente numeral 3.2.1, dicho monto se contabilizará en la "Cuenta de Inversión y Compensación Convenio Ad-Referéndum N° 2", por única vez, con fecha del último día del mes anterior a la entrega del informe que trata el presente numeral 3.2.1.
Toda comunicación relativa a la aprobación y/u observación del informe referido en el presente numeral, se efectuará con copia a la Subsecretaría de Redes Asistenciales del MINSAL.
3.2.2 A partir del mes subsiguiente a aquel en que la Sociedad Concesionaria haya comunicado la tasa real anual de conformidad con el procedimiento que se fija en el numeral 3.1 del presente Convenio, dentro de los primeros 10 días de cada mes calendario, la Sociedad Concesionaria informará por escrito al Inspector Fiscal el detalle de los montos mensuales de inversión, gastos o costos señalados en los numerales 2.1 a 2.5 de la cláusula segunda precedente, más el IVA que corresponda, ejecutados durante el mes anterior a la entrega del citado informe.
En caso que la Sociedad Concesionaria no presentare alguno de los informes mensuales singularizados en el párrafo anterior dentro del plazo establecido, se entenderá que en el mes anterior no han existido inversiones, costos y gastos desembolsados.
El Inspector Fiscal tendrá un plazo de 5 días para revisar, aprobar u observar el informe presentado. En caso que el informe sea observado por el Inspector Fiscal, la Sociedad Concesionaria tendrá un plazo de 5 días para entregar el informe corregido y el Inspector Fiscal tendrá 5 días para aprobar o rechazar el informe corregido. Este procedimiento será iterativo hasta que el Inspector Fiscal apruebe el informe respectivo. En el evento de atrasos en las correcciones por parte de la Sociedad Concesionaria, se aplicará a ésta una multa de 2 UTM, por día o fracción de día de atraso, cuya aplicación y pago se regularán según lo establecido en las Bases de Licitación.
Las inversiones, costos y gastos informados por la Sociedad Concesionaria y debidamente aprobados por el Inspector Fiscal, se contabilizarán mensualmente en la "Cuenta de Inversión y Compensación Convenio Ad - Referéndum N° 2" en las fechas indicadas en que se reconozca cada monto, conforme a los términos señalados en el numeral 3.2.3 siguiente.
3.2.3 Las partes acuerdan que las inversiones, costos y gastos señalados en los numerales 2.1 a 2.5 de la cláusula segunda del presente Convenio, más el IVA que corresponda, informados por la Sociedad Concesionaria y debidamente aprobados por el Inspector Fiscal de acuerdo a lo indicado en los numerales precedentes, serán reconocidos conforme a lo señalado en los literales siguientes:
a) El monto por concepto del desarrollo del "PID Climatización", señalado en el numeral 2.1 del presente Convenio, más el IVA que corresponda, serán reconocidos porcentualmente con fecha del último día del mes en que el Inspector Fiscal hubiere aprobado cada una de las fases que componen dicho proyecto de ingeniería, conforme a los porcentajes que se fijan en el siguiente cuadro:
Cuadro Nº 1
Porcentajes de contabilización "PID Climatización"

b) El monto definitivo por concepto de la ejecución de las "Obras de Climatización Hospitales de Maipú y La Florida", que resulte de lo señalado en el numeral 2.2 del presente Convenio, más el IVA que corresponda, serán reconocidos mensualmente de acuerdo a los respectivos avances de construcción de las citadas obras.
c) El monto por concepto de administración y control del desarrollo del "PID Climatización", señalado en el numeral 2.3 del presente Convenio, más el IVA que corresponda, serán reconocidos en forma proporcional y en las mismas fechas en que se reconozcan los montos asociados al desarrollo del "PID Climatización" conforme a lo señalado en la letra a) del presente numeral 3.2.3. Lo anterior, con dos decimales, redondeados al segundo decimal, y efectuando el ajuste que corresponda en la última cuota.
d) Los montos efectivamente desembolsados por concepto de seguros de responsabilidad civil por daños a terceros, seguro por catástrofe y garantías adicionales durante la construcción de las "Obras de Climatización Hospitales de Maipú y La Florida", señalados en los numerales 2.4 y 2.5 del presente Convenio, más el IVA que corresponda, serán reconocidos con fecha del último día del mes calendario en que la Sociedad Concesionaria acredite ante el Inspector Fiscal, mediante las boletas o facturas correspondientes, los desembolsos realizados por dichos conceptos.
Corresponderá a la Sociedad Concesionaria informar al Inspector Fiscal los montos a contabilizar en la "Cuenta de Inversión y Compensación Convenio Ad-Referéndum N° 2", sin perjuicio de las auditorías que pueda disponer el Inspector Fiscal en relación con las informaciones entregadas por la Sociedad Concesionaria y de la facultad de éste para inspeccionar y verificar en terreno las actividades e inversiones efectivamente ejecutadas.
Para facilitar la comprensión de la contabilización de los montos en la "Cuenta de Inversión y Compensación Convenio Ad-Referéndum N° 2", se adjuntan ejemplos numéricos como Anexos N° 1 y N° 2.
CUARTO: ACUERDO DE INDEMNIZACIONES PARA COMPENSAR A LA SOCIEDAD CONCESIONARIA POR LAS INVERSIONES, COSTOS Y GASTOS ASOCIADOS A LOS NUMERALES 2.1 A 2.5 DEL PRESENTE CONVENIO.
De conformidad con lo prescrito en el artículo 19º de la Ley de Concesiones de Obras Públicas, para compensar todas las nuevas inversiones, gastos y costos adicionales que expresamente se detallaron en los numerales 2.1 a 2.5 de la cláusula segunda del presente Convenio, los cuales serán contabilizados en la "Cuenta de Inversión y Compensación Convenio Ad-Referéndum N° 2" en los términos señalados en la cláusula tercera precedente, el MOP y la Sociedad Concesionaria acuerdan como indemnización lo siguiente:
4.1 El Ministerio de Salud, a través de la Subsecretaría de Redes Asistenciales, realizará los siguientes pagos según los montos comprometidos en las Resoluciones por Valores Devengados:
a. El último día hábil del mes de noviembre del año 2025, MINSAL pagará a la Sociedad Concesionaria un máximo de UF 125.000 (Ciento veinticinco mil Unidades de Fomento).
b. El último día hábil del mes de noviembre del año 2026, MINSAL pagará a la Sociedad Concesionaria un máximo de UF 125.000 (Ciento veinticinco mil Unidades de Fomento).
c. El último día hábil del mes de noviembre del año 2027, MINSAL pagará a la Sociedad Concesionaria un máximo de UF 125.000 (Ciento veinticinco mil Unidades de Fomento).
d. El último día hábil del mes de noviembre del año 2028, MINSAL pagará a la Sociedad Concesionaria el saldo, si correspondiere, de las inversiones, gastos y costos contabilizados en la "Cuenta de Inversión y Compensación Convenio Ad-Referéndum N° 2".
Cada uno de los pagos antes señalados serán contabilizados con signo positivo en la "Cuenta de Inversión y Compensación Convenio Ad-Referéndum N° 2" en la fecha ya definida para cada uno de ellos.
4.2 Los pagos indicados precedentemente corresponderán a la suma de los montos reconocidos mediante la emisión de Resoluciones MINSAL, llamadas por "Valores Devengados", de acuerdo al modelo de Resolución contenido en el Anexo Nº 4 del presente Convenio, las que se emitirán acorde al avance de las inversiones, costos y gastos efectuados por la Sociedad Concesionaria, contabilizados en la "Cuenta de Inversión y Compensación Convenio Ad-Referéndum N° 2", conforme se indica en la cláusula tercera del presente Convenio, previa aprobación y certificación del Inspector Fiscal de conformidad a lo indicado en el numeral 4.3 siguiente.
4.3 A partir del mes siguiente a aquel en que el Inspector hubiere aprobado el informe de avance a que hace referencia el numeral 3.2.1 precedente y a más tardar los primeros 10 días del mes siguiente a aquél en que el Inspector Fiscal apruebe los informes que dan cuenta de los montos de inversión asociados al avance de las nuevas inversiones, costos y gastos, el Inspector Fiscal deberá certificar en el Libro de Explotación los montos aprobados, remitiendo una copia de dicha certificación y de sus antecedentes de respaldo al MINSAL.
4.4 En virtud de la certificación señalada en el párrafo precedente, y dentro del plazo de 15 días contados desde la recepción de esos antecedentes, el Ministerio de Salud, a través de la Subsecretaría de Redes Asistenciales, emitirá una Resolución que reconozca los valores devengados informados por la Sociedad Concesionaria y aprobados por el Inspector Fiscal.
4.5 En cada Resolución emitida por el MINSAL, a través de la Subsecretaría de Redes Asistenciales, se deberá indicar, entre otros antecedentes, la fecha de pago, el monto adeudado y un detalle del mismo, distinguiéndose la cantidad que corresponda a inversiones de los intereses. Los intereses corresponderán a una tasa real anual equivalente a la tasa de interés establecida de acuerdo al procedimiento señalado en el numeral 3.1 del presente Convenio, expresada en su fracción mensual compuesta, calculados desde el último día del mes en que se contabilizó dicho avance, hasta la fecha de pago que se indique en la Resolución, de conformidad con lo dispuesto en el numeral siguiente. La Resolución señalará, además, que en caso de mora en el pago, el monto adeudado devengará, entre el día dispuesto para el pago y el día de su pago efectivo, un interés real diario equivalente, en base a 365 días, a la tasa de interés corriente para operaciones reajustables en moneda nacional a menos de un año, conforme a las tasas que informe la Comisión para el Mercado Financiero, o la institución que la reemplace, para el periodo de la mora.
4.6 Si a la fecha de la emisión de las Resoluciones, el monto comprometido en las Resoluciones por Valores Devengados ya emitidas, incluyendo los intereses calculados a la fecha de pago correspondiente, es menor o igual a la suma señalada en el literal a. del numeral 4.1 del presente Convenio, éstas serán pagadas en la fecha de pago según lo señalado en dicho literal a. Por su parte, las sumas calculadas, incluyendo los intereses correspondientes, que excedan la cantidad señalada en el literal a. del numeral 4.1, serán pagadas en la fecha señalada en el literal b. del mismo numeral, adicionándose a dicho excedente los intereses que correspondan, utilizando la tasa de interés que resulte del proceso señalado en el numeral 3.1 del presente Convenio, expresada en su fracción mensual compuesta, por el tiempo que transcurra entre la fecha del literal a. y la fecha del literal b. del numeral 4.1. Las sumas calculadas, incluyendo los intereses correspondientes, que excedan la cantidad señalada en el literal b. del numeral 4.1 serán pagadas en la fecha señalada en el literal c. del mismo numeral, adicionándose a dicho excedente los intereses que correspondan, utilizando la tasa de interés que resulte del proceso señalado en el numeral 3.1 del presente Convenio, expresada en su fracción mensual compuesta, por el tiempo que transcurra entre la fecha del literal b. y la fecha del literal c. del numeral 4.1, y así sucesivamente, hasta las cantidades que resulten en la cuota señalada en el literal d. del mismo numeral.
Para una mejor comprensión respecto de la forma de cálculo de los montos indicados en las respectivas resoluciones, se incluye un ejemplo numérico como Anexo Nº 3.
4.7 Una vez tramitada cada una de las Resoluciones emitidas por el MINSAL, a través de la Subsecretaría de Redes Asistenciales, sólo un ejemplar de cada una de ellas deberá ser suscrito ante notario por el representante legal de la Sociedad Concesionaria y por el Inspector Fiscal, quedando ésta en poder de la primera. Una vez tramitada cada Resolución, la obligación de pago en ella contenida tendrá el carácter de irrevocable e incondicional, lo cual deberá ser consignado expresamente en el texto de cada una de dichas Resoluciones.
4.8 De conformidad a lo indicado en el numeral 3.1.5 del presente Convenio, la Sociedad Concesionaria podrá adjudicar la licitación referida a la "Tasa de Licitación", cediendo o transfiriendo cada uno de los pagos comprometidos por el Ministerio Salud en cada una de las Resoluciones antes señaladas, lo que también constará, a mayor abundamiento, en el texto de las respectivas Resoluciones.
En virtud de lo anterior, MINSAL pagará las Resoluciones, a su vencimiento, al tercero que sea el legítimo tenedor de las mismas o, en caso contrario, a la Sociedad Concesionaria. Estas Resoluciones no podrán ser prepagadas por MINSAL, salvo con el consentimiento del legítimo tenedor de la respectiva Resolución, esto es, la Sociedad Concesionaria o el adquirente de éstas.
4.9 El Minsal sólo pagará las cantidades señaladas en el numeral 4.1 del presente Convenio a quien presente las Resoluciones, debidamente suscritas, sea éste la Sociedad Concesionaria o un tercero. En este último caso, el tercero deberá cumplir además con las siguientes condiciones:
a) Haber cumplido con todos los requisitos y formalidades que, de conformidad con la legislación general aplicable, sean necesarios para efectuar el cobro y para que se verifique el pago.
b) Acreditar ante el MINSAL, con al menos 20 días de antelación al día de vencimiento del plazo fijado para el pago, el cumplimiento de lo señalado en la letra a) anterior.
4.10 En el evento que el legítimo tenedor de la Resolución indicada en el numeral 4.2 del presente Convenio, sea un tercero, la Sociedad Concesionaria estará obligada a entregar a dicho tercero la factura correspondiente, a más tardar, 21 días antes de cada fecha de pago consignada en la mencionada Resolución. Lo anterior deberá ser consignado expresamente por el Ministerio de Salud en el texto de cada una de dichas Resoluciones.
4.11 Una vez aprobado el último de los informes mensuales a que se refiere el numeral 3.2.2 del presente Convenio, en un plazo máximo de 30 días, contado desde su aprobación, el Inspector Fiscal deberá presentar al Ministerio de Salud un informe donde se certifique el monto de los gastos, inversiones e intereses comprometidos en las Resoluciones por Valores Devengados que hubiese suscrito junto a la Sociedad Concesionaria, determinando el detalle de los pagos futuros que deberá efectuar MINSAL para cumplir los citados compromisos.
QUINTO: ACUERDO DE INDEMNIZACIONES PARA COMPENSAR A LA SOCIEDAD CONCESIONARIA POR EL CONCEPTO INDICADO EN EL NUMERAL 2.6 DEL PRESENTE CONVENIO.
De conformidad con lo prescrito en el artículo 19º de la Ley de Concesiones de Obras Públicas, para compensar los mayores costos de conservación, mantenimiento, operación y explotación, incluyendo reposición, de las "Obras de Climatización Hospitales de Maipú y La Florida", cuyo monto anual se determinará según se indica en el numeral 2.6 del presente Convenio, más el IVA que corresponda, el MOP y la Sociedad Concesionaria acuerdan lo siguiente:
5.1 Las partes acuerdan que el MINSAL, a través de la Subsecretaría de Redes Asistenciales, pagará anualmente a la Sociedad Concesionaria la cantidad que se determine según se indica en el numeral 2.6 del presente Convenio, neta de IVA, en su equivalente en pesos al último valor conocido de la Unidad de Fomento al momento de emitir la correspondiente factura, a más tardar, el último día hábil del mes de marzo del año siguiente, salvo para el primer y último año de operación, los que se efectuarán en las oportunidades señaladas en los numerales 5.2 y 5.3 de la presente cláusula. Para tales efectos se considerarán las proporcionalidades correspondientes para el primer año calendario en que se reciban definitivamente las "Obras de Climatización Hospitales de Maipú y La Florida" y para el último año de la concesión, de conformidad con lo señalado en los numerales 5.2 y 5.3 de la presente cláusula. Para efectos de los pagos señalados, con excepción del primer y último año de operación, la Sociedad Concesionaria deberá entregar al Inspector Fiscal la factura correspondiente, a más tardar, el último día hábil del mes de enero de cada año en que corresponda efectuar el pago respectivo.
5.2 El pago que efectuará el MINSAL a la Sociedad Concesionaria por concepto de mayores costos de conservación, mantenimiento, operación y explotación, incluyendo reposición, de las "Obras de Climatización Hospitales de Maipú y La Florida", correspondiente al primer año calendario de operación en que se reciban definitivamente dichas obras, se efectuará en el plazo máximo de 45 días, contado desde la fecha de emisión de la respectiva factura y deberá considerar la proporcionalidad correspondiente a la fracción del año que efectivamente estuvo en operación la obra a partir de la fecha de su recepción definitiva. Dicha proporcionalidad será calculada como el número de días que medien entre la fecha de recepción definitiva de la obra, de conformidad al procedimiento señalado en el numeral 2.1 del Decreto Supremo MOP N° 225 de 2021, y el 31 de diciembre de dicho año, dividido por el total de días del mismo año.
Para tal efecto, dentro de los 10 primeros días del mes de enero del año siguiente a la fecha de recepción definitiva de las "Obras de Climatización Hospitales de Maipú y La Florida", el Inspector Fiscal deberá certificar el monto que efectivamente deberá pagar el MINSAL a la Sociedad Concesionaria por este concepto, correspondiente al primer año calendario en que se reciban definitivamente dichas obras. Una vez certificado el monto antes señalado, la Sociedad Concesionaria deberá entregar al Inspector Fiscal la factura correspondiente, a más tardar, en el plazo de 10 días.
5.3 El pago por concepto de mayores costos de conservación, mantenimiento, operación y explotación, incluyendo reposición, de las "Obras de Climatización Hospitales de Maipú y La Florida", correspondiente al último año calendario de operación, se efectuará en el plazo máximo de 45 días, contado desde la fecha de emisión de la respectiva factura y deberá considerar la proporcionalidad correspondiente a la fracción del año que efectivamente estuvo en operación la obra. Dicha proporcionalidad será calculada como el número de días que medien entre el día 1 de enero del año de término de la concesión y el día de término de la concesión, ambos incluidos, dividido por el total de días del año.
Para tal efecto, dentro de los 10 días siguientes al término de la concesión, el Inspector Fiscal deberá certificar el monto que efectivamente deberá pagar el MINSAL a la Sociedad Concesionaria por este concepto, correspondiente al último año calendario de operación de las obras. Una vez certificado el monto antes señalado, la Sociedad Concesionaria deberá entregar al Inspector Fiscal la factura correspondiente, a más tardar, en el plazo de 10 días.
Todo lo anterior es sin perjuicio de la obligación de la Sociedad Concesionaria de entregar al Ministerio de Obras Públicas, al término de la concesión, la totalidad de las obras en las condiciones establecidas en el contrato de concesión, para permitir la adecuada continuidad del servicio.
5.4 En el evento de atraso por parte del Ministerio de Salud en alguno de los pagos señalados en los numerales 5.1, 5.2 y 5.3 del presente Convenio, el monto adeudado devengará diariamente, a partir del plazo establecido en el numeral correspondiente y hasta el día de pago efectivo, un interés real diario equivalente, en base a 365 días, a la tasa de interés corriente para operaciones reajustables en moneda nacional a menos de un año, conforme a las tasas que informe la Comisión para el Mercado Financiero, o la institución que la reemplace, para el periodo de la mora.
5.5 El Impuesto al Valor Agregado (IVA) que soportare la Sociedad Concesionaria con motivo de los mayores costos de conservación, mantenimiento, operación y explotación, incluyendo reposición, de las "Obras de Climatización Hospitales de Maipú y La Florida", será pagado por el Ministerio de Salud en las mismas oportunidades que los pagos indicados en los numerales 5.1, 5.2 y 5.3 del presente Convenio y por tanto deberá ser facturado por la Sociedad Concesionaria en los mismos plazos indicados en los citados numerales. Para ello, la Sociedad Concesionaria deberá presentar al Inspector Fiscal una relación escrita de los documentos que respaldarán la emisión de la factura respectiva, con la indicación de los montos que forman parte de la base imponible del impuesto a pagar por el Ministerio de Salud, con firma y timbre del representante legal, adjuntando fotocopia simple de dichos documentos.
SEXTO: ACUERDO DE COMPENSACIÓN A LA SOCIEDAD CONCESIONARIA POR LOS CONCEPTOS INDICADOS EN LOS NUMERALES 2.7 Y 2.8 DEL PRESENTE CONVENIO.
De conformidad con lo prescrito en el artículo 19º de la Ley de Concesiones de Obras Públicas, para compensar los costos por concepto de arriendo de los equipos de aire acondicionado a que hacen referencia los Nos. 4 y 5 del Decreto Supremo MOP N° 225 de 2021, y su operación, conservación y mantenimiento, cuyos montos mensuales se fijan en los numerales 2.7 y 2.8 del presente Convenio, más el IVA que corresponda, el MOP y la Sociedad Concesionaria acuerdan lo siguiente:
6.1 Las partes acuerdan que los montos mensuales definitivos que resulten de lo señalado en los numerales 2.7 y 2.8 del presente Convenio serán pagados por el Ministerio de Salud a la Sociedad Concesionaria, en los plazos y condiciones que se indican en los numerales siguientes.
6.2 Las partes acuerdan que para compensar a la Sociedad Concesionaria por los montos mensuales definitivos que resultaron de lo dispuesto en el numeral 2.7 del presente Convenio, correspondientes al período comprendido entre los meses de mayo de 2020 y septiembre de 2022, ambos meses inclusive, el Ministerio de Salud pagará a la Sociedad Concesionaria el monto total, definitivo y actualizado de UF 47.460,91 (Cuarenta y siete mil cuatrocientas sesenta coma noventa y una Unidades de Fomento), neto de IVA, cuyo detalle se adjunta como Anexo Nº 5 al presente Convenio.
Para efectos del pago señalado, la Sociedad Concesionaria deberá entregar al Inspector Fiscal la factura correspondiente en el plazo máximo de 10 días contados desde la fecha de publicación en el Diario Oficial del Decreto Supremo que apruebe el presente Convenio.
El pago señalado en el presente numeral 6.2 será realizado por el Ministerio de Salud a la Sociedad Concesionaria, a más tardar, a los 45 días siguientes a la fecha de emisión de la factura indicada en el párrafo precedente, en su equivalente en pesos al último valor conocido de la Unidad de Fomento al momento de emitir dicha factura.
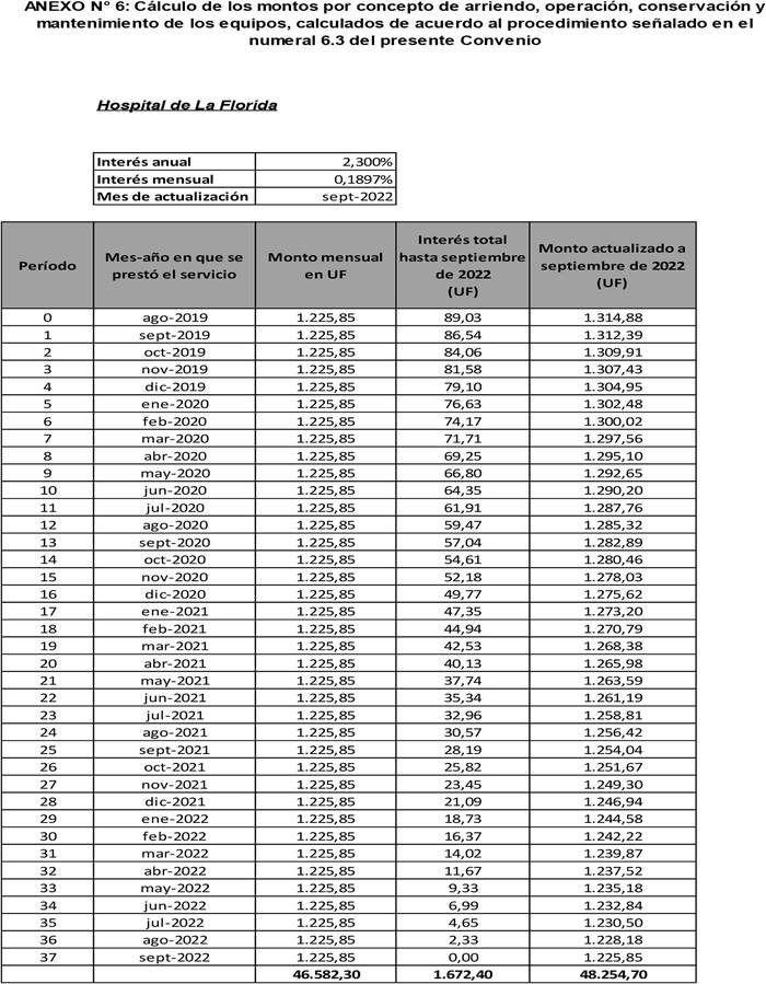
6.3 Las partes acuerdan que para compensar a la Sociedad Concesionaria por los montos mensuales definitivos que resultaron de lo dispuesto en el numeral 2.8 del presente Convenio, correspondientes al período comprendido entre los meses de agosto de 2019 y septiembre de 2022, ambos meses inclusive, el Ministerio de Salud pagará a la Sociedad Concesionaria el monto total, definitivo y actualizado de UF 48.254,70 (Cuarenta y ocho mil doscientas cincuenta y cuatro coma setenta Unidades de Fomento), neto de IVA, cuyo detalle se adjunta como Anexo Nº 6 al presente Convenio.
Para efectos del pago señalado, la Sociedad Concesionaria deberá entregar al Inspector Fiscal la factura correspondiente en el plazo máximo de 10 días contados desde la fecha de publicación en el Diario Oficial del Decreto Supremo que apruebe el presente Convenio.
El pago señalado en el presente numeral 6.3 será realizado por el Ministerio de Salud a la Sociedad Concesionaria, a más tardar, a los 45 días siguientes a la fecha de emisión de la factura indicada en el párrafo precedente, en su equivalente en pesos al último valor conocido de la Unidad de Fomento al momento de emitir dicha factura.
6.4 Las partes acuerdan que los intereses que devenguen diariamente los montos que se fijan en los numerales 6.2 y 6.3 anteriores, entre el día 1 de octubre de 2022 y la fecha de publicación en el Diario Oficial del Decreto Supremo que apruebe el presente Convenio, considerando para ello una tasa de interés real diaria compuesta equivalente, en base a 365 días, a la tasa de interés corriente para operaciones reajustables en moneda nacional a menos de un año, que informe la Comisión para el Mercado Financiero, o la institución que la reemplace, vigente al 30 de septiembre de 2022, serán pagados por el Ministerio de Salud a la Sociedad Concesionaria, a más tardar, a los 180 días siguientes a la fecha de publicación en el Diario Oficial del Decreto Supremo que apruebe el presente Convenio, en su equivalente en pesos al último valor conocido de la Unidad de Fomento al momento de emitir la factura correspondiente.
Para efectos del pago señalado, la Sociedad Concesionaria deberá entregar al Inspector Fiscal la factura correspondiente en el plazo máximo de 150 días contados desde la fecha de publicación en el Diario Oficial del Decreto Supremo que apruebe el presente Convenio.
Para mayor claridad, se adjunta como Anexo Nº 7 al presente Convenio, un ejemplo de la forma de cálculo del monto a pagar por el Ministerio de Salud, de acuerdo a lo dispuesto en el presente numeral.
6.5 Las partes acuerdan que para compensar a la Sociedad Concesionaria por los montos mensuales definitivos que resulten de lo dispuesto en los numerales 2.7 y 2.8 del presente Convenio, correspondientes al período comprendido entre los meses de octubre de 2022 y el último mes del semestre en que se publique en el Diario Oficial el Decreto Supremo que apruebe el presente Convenio, ambos meses inclusive, el Ministerio de Salud pagará a la Sociedad Concesionaria el monto total y definitivo, neto de IVA, que certifique el Inspector Fiscal.
Para ello, a más tardar el día 10 del primer mes del semestre siguiente a la fecha de publicación en el Diario Oficial del Decreto Supremo que apruebe el presente Convenio, el Inspector Fiscal certificará el monto definitivo, neto de IVA, calculado de conformidad con el procedimiento señalado en los numerales 2.7 y 2.8 del presente Convenio, que efectivamente deberá pagar el Ministerio de Salud a la Sociedad Concesionaria por dichos conceptos, debidamente actualizado al último día del semestre en que se publique en el Diario Oficial el Decreto Supremo que apruebe el presente Convenio, considerando para ello una tasa de interés real mensual compuesta, equivalente a la tasa de interés corriente para operaciones reajustables en moneda nacional de menos de un año, que informe la Comisión para el Mercado Financiero, o la institución que la reemplace, vigente al 30 de septiembre de 2022. Una vez certificado el monto definitivo, la Sociedad Concesionaria deberá entregar al Inspector Fiscal la factura correspondiente, a más tardar, en el plazo de 10 días.
El pago señalado en el presente numeral 6.4 será realizado por el Ministerio de Salud a la Sociedad Concesionaria, a más tardar, lo último que ocurra entre: i) los 45 días siguientes a la fecha de emisión de la factura indicada en el párrafo precedente y ii) los 180 días siguientes a la fecha de publicación en el Diario Oficial del Decreto Supremo que apruebe el presente Convenio; en su equivalente en pesos al último valor conocido de la Unidad de Fomento al momento de emitir dicha factura.
Para mayor claridad, se adjunta como Anexo Nº 8 al presente Convenio un ejemplo de la forma de cálculo del monto a pagar por el Ministerio de Salud, de acuerdo a lo dispuesto en el presente numeral.
6.6 Las partes acuerdan que para compensar a la Sociedad Concesionaria por los montos mensuales definitivos que resulten de lo dispuesto en los numerales 2.7 y 2.8 del presente Convenio, correspondientes a cada semestre calendario, a partir del semestre siguiente a la fecha de publicación en el Diario Oficial del Decreto Supremo que apruebe el presente Convenio, el Ministerio de Salud pagará a la Sociedad Concesionaria el monto total y definitivo, neto de IVA, que certifique el Inspector Fiscal.
Para ello, a más tardar el día 10 de los meses de julio o enero de cada año, según corresponda, el Inspector Fiscal certificará el monto definitivo, neto de IVA, calculado de conformidad con el procedimiento señalado en los numerales 2.7 y 2.8 del presente Convenio, que efectivamente deberá pagar el Ministerio de Salud a la Sociedad Concesionaria por dichos conceptos, correspondiente al semestre calendario anterior. Una vez certificado el monto definitivo correspondiente a cada semestre calendario, la Sociedad Concesionaria deberá entregar al Inspector Fiscal la factura correspondiente, a más tardar, en el plazo de 10 días.
Los pagos señalados en el presente numeral 6.6 serán realizados por el Ministerio de Salud a la Sociedad Concesionaria, a más tardar, a los 45 días siguientes a la fecha de emisión de la respectiva factura, en su equivalente en pesos al último valor conocido de la Unidad de Fomento al momento de emitir dicha factura.
6.7 En el evento de atraso por parte del Ministerio de Salud en alguno de los pagos señalados en los numerales 6.2, 6.3, 6.4, 6.5 y 6.6 del presente Convenio, el monto adeudado devengará diariamente, a partir del plazo establecido en el numeral correspondiente y hasta el día de pago efectivo, un interés real diario equivalente, en base a 365 días, a la tasa de interés corriente para operaciones reajustables en moneda nacional a menos de un año, conforme a las tasas que informe la Comisión para el Mercado Financiero, o la institución que la reemplace, para el periodo de la mora.
6.8 El Impuesto al Valor Agregado (IVA) que soportare la Sociedad Concesionaria con motivo del arriendo, operación, conservación y mantenimiento de los equipos, será pagado por el Ministerio de Salud en las mismas oportunidades que los pagos indicados en los numerales 6.2, 6.3, 6.4, 6.5 y 6.6 del presente Convenio y por tanto deberá ser facturado por la Sociedad Concesionaria en los mismos plazos indicados en los citados numerales. Para ello, la Sociedad Concesionaria deberá presentar al Inspector Fiscal una relación con fotocopia simple, con firma y timbre del representante legal, de los documentos que respaldarán la emisión de la factura respectiva, con la indicación de los montos que forman parte de la base imponible del impuesto a pagar por el Ministerio de Salud.
SÉPTIMO: En virtud de las compensaciones acordadas en el presente Convenio, y bajo la condición que ellas se paguen íntegramente, la Sociedad Concesionaria otorga al MOP y a Minsal el más amplio, completo y total finiquito y renuncia a efectuar cualquier reclamación que pudiera haberle correspondido, exclusivamente respecto de las materias dispuestas en la Resolución DGC (Exenta) Nº 0061, de fecha 18 de octubre de 2021, en el Decreto Supremo MOP N° 225, de fecha 11 de noviembre de 2021, y así como también respecto de las materias que trata el presente Convenio.
OCTAVO: Para los efectos del presente Convenio, se entiende que son días hábiles los días lunes a viernes, a excepción de los días festivos. Con todo, los plazos establecidos en el presente Convenio, que vencieren en día inhábil, se prorrogarán hasta el día hábil siguiente.
NOVENO: De toda comunicación o hecho relativo al presente Convenio Ad – Referéndum, así como del Contrato de Concesión, se dejará constancia en el Libro de Explotación de la Obra.
DÉCIMO: El presente Convenio Ad – Referéndum tendrá plena validez desde la publicación en el Diario Oficial del Decreto Supremo que lo apruebe, de conformidad con lo dispuesto en los artículos 19º del DS MOP Nº 900 de 1996 y 69º del DS MOP Nº 956, de 1997.
UNDÉCIMO: El presente Convenio se firma en cuatro ejemplares, quedando dos de ellos en poder de la Sociedad Concesionaria y dos en el Ministerio de Obras Públicas.
DUODÉCIMO: La personería de doña Hidalia Vargas Martínez y de don Francisco Palma Moreno, para actuar en nombre y representación de Sociedad Concesionaria San José – Tecnocontrol S.A., consta de sesión extraordinaria de directorio, de fecha 9 de julio de 2021, y reducida a escritura pública con fecha 13 de julio de 2021, otorgada en la Notaría de Humberto Quezada Moreno, bajo el Repertorio Nº 5.138-2021.
Firman: María de los Ángeles Vargas Manríquez, Directora General de Concesiones Obras Públicas (S), Ministerio de Obras Públicas, Hidalia Vargas Martínez y Francisco Palma Moreno, "Sociedad Concesionaria San José – Tecnocontrol S.A.".



Anexo N° 4: Modelo de Resolución MINSAL de Valores Devengados
Valores devengados a "Sociedad Concesionaria XXXX S.A.", en el mes de XX de 202X, según lo establecido en el Convenio Ad - Referéndum Nº 2 de la obra pública fiscal denominada "Programa de Concesiones de Infraestructura Hospitalaria".
Resolución N°____________
SANTIAGO,
VISTOS:
- El DFL MOP Nº 850, de 1997, que fijó el texto refundido, coordinado y sistematizado de la Ley Nº 15.840, de 1964, Orgánica del Ministerio de Obras Públicas y del DFL Nº 206, de 1960, Ley de Caminos.
- El D.S. MOP Nº 900, de 1996, que fijó el texto refundido, coordinado y sistematizado del DFL MOP Nº 164, de 1991, Ley de Concesiones de Obras Públicas.
- El D.S. MOP Nº 956, de 1997, Reglamento de la Ley de Concesiones.
- El Decreto Supremo MOP Nº XXX, de fecha XX de XXX de XXX, que adjudicó el contrato de concesión para la ejecución, reparación, conservación y explotación de la obra pública fiscal denominada "Programa de Concesiones de Infraestructura Hospitalaria".
- El Convenio Ad – Referéndum N° 2, de fecha XX de XX de XXX, que modificó el contrato de concesión de la obra pública fiscal denominada "Programa de Concesiones de Infraestructura Hospitalaria".
- El Decreto Supremo MOP Nº XX, de fecha XX de XX de XXX, que aprobó el referido Convenio Ad – Referéndum N° 2 del contrato de concesión.
- El certificado del Inspector Fiscal de la obra, de fecha XX de XX de 20XX, que consta a fojas N° XX del Libro de Obras N° XX del contrato de concesión.
- El Oficio Ord. Nº XXX, de fecha XX de XXX de 201X, del Inspector Fiscal.
- La Resolución Nº 7 de 2019 de la Contraloría General de la República que fijó Normas sobre Exención del Trámite de Toma de Razón.
Considerando:
- Que las nuevas inversiones, gastos y costos adicionales a realizar por la Sociedad Concesionaria, derivados de las modificaciones a las características de las obras y servicios del contrato de concesión dispuestas mediante Decreto Supremo MOP N° XX, de fecha XX de XX de 202X, los cuales se detallan en la cláusula XXX, y el Impuesto al Valor Agregado (IVA) que corresponda según lo dispuesto en la cláusula XXX, en relación a la cláusula XXX del referido Convenio Ad – Referéndum N° 2, serán pagados por el Ministerio de Salud por los montos y en los plazos señalados en el numeral N° X.X del mismo.
- Que el avance físico de las obras y desembolsos que debe realizar la Sociedad Concesionaria, incluido el IVA que corresponda, es cuantificado y valorado por el Inspector Fiscal, según el procedimiento descrito en la cláusula XXX del Convenio Ad – Referéndum N° 2.
- Que de acuerdo al certificado emitido por el Inspector Fiscal de la obra, con fecha XX de XX de 201X, que consta a fojas N° XX del Libro de Obra N° XX, a lo informado por el mismo Inspector Fiscal mediante Oficio Ord. N° XX, de fecha XX de XX de 202X, el avance de las inversiones de la cláusula segunda, y el IVA que corresponda en relación a la cláusula XXX del Convenio Ad – Referéndum N° 2, correspondiente al mes de XX de 202X, es cuantificado y valorado en el monto único y total de U.F. XXXX,XX.
Resuelvo:
Nº _______________/ (Exenta)
1. ESTABLÉCESE que el valor devengado en beneficio de "Sociedad Concesionaria XXXXXX S.A." en el mes de XXX de 20XX corresponde a la suma de U.F. YYYYYY,YY Unidades de Fomento), que se desagrega según el siguiente detalle:
A pagar según número dos siguiente:

2. DISPÓNESE que la suma indicada en el número 1 precedente, U.F. YYYYYY,YY (YYYY Unidades de Fomento), deberá ser pagada de modo irrevocable e incondicional por el Ministerio de Salud (MINSAL) el último día hábil de XXXX de 20XX, en pesos chilenos de acuerdo al valor de la unidad de fomento del día de pago efectivo.
El atraso en el pago de los montos adeudados devengará, entre el día dispuesto para el pago y el día de su pago efectivo, un interés real diario equivalente, en base a 360 días, a la tasa de interés corriente para operaciones reajustables en moneda nacional a menos de un año, vigente a la fecha del pago efectivo.
3. ESTABLÉCESE que una vez tramitada la presente resolución, un ejemplar de la misma deberá ser suscrito ante un Notario Público por el representante legal de la Sociedad Concesionaria y por el Inspector Fiscal, el que quedará en poder de Sociedad Concesionaria XXXXXX S.A.
4. DISPÓNESE que el MINSAL sólo pagará la suma indicada en el número 2 de la presente Resolución, U.F. YYYYYY,YY, a quien presente esta resolución, debidamente suscrita, de acuerdo a lo señalado en el número 3 anterior, sea éste la Sociedad Concesionaria o un tercero. En este último caso, el tercero deberá cumplir además con las siguientes condiciones:
a) Haber cumplido con todos los requisitos y formalidades que, de conformidad con la legislación general aplicable, sean necesarios para efectuar el cobro y para que se verifique el pago.
b) Acreditar ante el MINSAL, con 20 días de antelación al día de vencimiento del plazo fijado para el pago, el cumplimiento de lo señalado en la letra a) anterior.
En el evento que el legítimo tenedor de la presente resolución sea un tercero, la Sociedad Concesionaria estará obligada a entregar a dicho tercero la factura correspondiente, a más tardar, 21 días antes de la fecha de pago consignada en el número 2 de la presente Resolución.
ANÓTESE Y COMUNÍQUESE



2. Dentro del plazo de 10 días hábiles contados desde la publicación en el Diario Oficial del presente Decreto Supremo, tres transcripciones de éste serán suscritas ante notario por "Sociedad Concesionaria San José – Tecnocontrol S.A.", en señal de aceptación de su contenido, debiendo protocolizarse ante el mismo notario uno de los ejemplares. Dentro de los cinco días hábiles siguientes, dos de las transcripciones debidamente suscritas deberán ser entregadas para su archivo, una a la Dirección General de Concesiones de Obras Públicas y otra a la Fiscalía del Ministerio de Obras Públicas, ambas con una copia autorizada de la protocolización efectuada. Para acreditar la personería de quien suscriba las transcripciones en representación de la Sociedad Concesionaria, deberá adjuntar copia autorizada de la escritura pública en que conste dicho poder, con una vigencia no superior a tres meses.
Anótese, tómese razón y publíquese.- GABRIEL BORIC FONT, Presidente de la República.- Jessica López Saffie, Ministra de Obras Públicas.
Lo que transcribo a Ud. para su conocimiento.- Saluda Atte. a Ud., José Andrés Herrera Chavarría, Subsecretario de Obras Públicas.
CONTRALORÍA GENERAL DE LA REPÚBLICA
División de Infraestructura y Regulación
Cursa con alcance el decreto 55, de 2023, del Ministerio de Obras Públicas
N° E364364/2023.- Santiago, 5 de julio de 2023.
La Contraloría General ha dado curso al instrumento del rubro, que aprueba convenio ad referéndum N° 2 del contrato de concesión de la obra pública fiscal denominada "Programa de Concesiones de Infraestructura Hospitalaria".
Sin perjuicio de lo anterior, cumple con señalar, en lo estrictamente formal, que la referencia al numeral 6.4 contenida en el tercer párrafo del punto 6.5 del convenio, debe entenderse realizada a este último numeral.
Con el alcance que antecede, se ha dado curso al instrumento del epígrafe.
Saluda atentamente a Ud., Jorge Andrés Bermúdez Soto, Contralor General de la República.
A la señora
Ministra de Obras Públicas
Presente.