MODIFICA CONCESIÓN DE SERVICIO INTERMEDIO DE TELECOMUNICACIONES A CONECT S.A.
Santiago, 17 de mayo de 2023.- Con esta fecha se ha decretado lo que sigue:
Núm. 363 exento.
Vistos:
a) El decreto ley Nº 1.762, de 1977, que creó la Subsecretaría de Telecomunicaciones, en adelante la Subsecretaría.
b) La Ley Nº 18.168, Ley General de Telecomunicaciones, en adelante la ley.
c) La resolución exenta N° 7, de 2019, de la Contraloría General de la República, que fija normas sobre exención del trámite de toma de razón.
d) El decreto supremo Nº 103, de 2008, del Ministerio de Transportes y Telecomunicaciones.
e) El decreto supremo Nº 193, de 2002, del Ministerio de Transportes y Telecomunicaciones, que otorgó la concesión y sus modificaciones posteriores.
Considerando:
a) Lo solicitado por la interesada mediante ingreso Subtel N° 146.110, de 04.10.2018, complementado por ingreso Subtel N° 136.796, de 22.06.2020.
b) Que no se presentaron oposiciones a la publicación en extracto de la solicitud de modificación de concesión.
Decreto:
Modifícase la concesión de Servicio Intermedio de Telecomunicaciones, cuyo titular es la empresa Conect S.A., RUT Nº 96.965.220-K, con domicilio en General Mackenna Nº 1369, comuna de Santiago, Región Metropolitana de Santiago, en adelante la concesionaria, en el sentido que se indica en los numerandos siguientes:
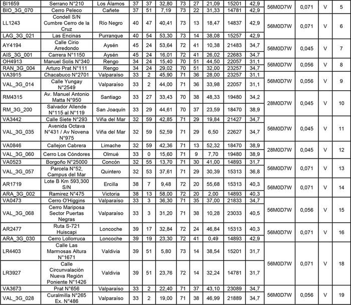
1. Autorízase a la concesionaria a instalar, operar y explotar dieciocho (18) radioenlaces punto a punto, para las re giones: de Valparaíso, Metropolitana de Santiago, del Libertador General Bernardo O'Higgins, de Ñuble, del Biobío, de La Araucanía, de Los Ríos, de Los Lagos y de Aysén del General Carlos Ibáñez del Campo, cuyas características se indican a continuación:


Los radioenlaces se conectarán a la red existente, a través de medios propios o de terceros debidamente autorizados.
2. Los plazos, son los que se indican a continuación:

3. Apruébase el proyecto técnico base de la solicitud presentada por la concesionaria, en lo relacionado con los sistemas y equipos de telecomunicaciones autorizados en el presente decreto, conforme a las disposiciones técnico-legales que rigen el servicio de telecomunicaciones concedido. La documentación respectiva quedará archivada en la Subsecretaría de Telecomunicaciones.
4. Es obligación de la concesionaria el conocimiento y cumplimiento de las disposiciones legales, reglamentarias y técnicas que regulan las telecomunicaciones, en lo que le sean aplicables.
Anótese, comuníquese, notifíquese a la interesada y publíquese en el Diario Oficial.- Por Orden del Presidente de la República, Jorge Daza Lobos, Ministro de Transportes y Telecomunicaciones Subrogante.
Lo que transcribo para su conocimiento.- Saluda atentamente a Ud., Claudio Araya San Martín, Subsecretario de Telecomunicaciones.