1. Modifícase la resolución exenta N° 663 (V. y U.) de 2023, en el siguiente sentido:
a) Reemplázase en su Resuelvo 1., la fecha "21 de septiembre" por "28 de septiembre".
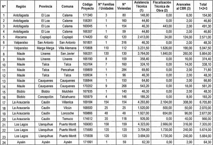
b) Reemplázase la tabla inserta en su Resuelvo 2., por la siguiente:

c) Modifícase el numeral 3.17 de su Resuelvo 3., en el sentido de incorporar en su párrafo tercero, la siguiente frase final, pasando el actual punto final (.) a ser una coma (,):
"en cuyo caso el proyecto podrá ser calificado en forma definitiva, siempre y cuando se hayan cumplido los demás requisitos a los que se refiere el artículo 15, del DS N° 49 (V. y U.), de 2011."
2. Apruébase la siguiente nómina de proyectos seleccionados, con su respectivo financiamiento total, para el otorgamiento de subsidios del Programa Habitacional Fondo Solidario de Elección de Vivienda en la alternativa de postulación colectiva, para los proyectos de Construcción en Nuevos Terrenos en las Regiones de Antofagasta, de Atacama, de Valparaíso, del Maule, del Biobío, de La Araucanía, de Los Lagos, de Aysén del General Carlos Ibáñez del Campo y Metropolitana, correspondiente al proceso de selección cuyo cierre de postulación se verificó el día 18 de mayo de 2023, del llamado efectuado por resolución exenta N° 663 (V. y U.), de 2023:


El detalle de los recursos comprometidos por concepto de subsidio base y subsidios complementarios para cada uno de los proyectos seleccionados en el presente resuelvo y que por este acto se asignan, se informa en la nómina que se adjunta como anexo y forma parte integrante de la presente resolución.
Sólo para efectos de imputación dicho monto ha incluido, en los casos que corresponda, el monto aludido en el segundo inciso, de la letra c), del resuelvo 3.9 de la resolución exenta N°663 (V. y U.), de 2023. Mediante resolución, el o la Directora del Serviu respectivo deberá sancionar el monto definitivo que corresponda asignar para el financiamiento de las obras correspondientes a mitigaciones directas producto de la aplicación de la ley N° 20.958, que Establece un Sistema de Aportes al Espacio Público, el que no podrá superar el monto por familia ahí señalado.
3. El monto del subsidio asignado de conformidad con el cuadro del resuelvo 2. de esta resolución comprende los siguientes valores por concepto de Servicios de Asistencia Técnica, de Labores de Fiscalización Técnica de Obras y pago de Aranceles al Conservador de Bienes Raíces:


Dichos montos fueron calculados conforme a la resolución exenta N° 1.875 (V. y U.), de 2015, y sus modificaciones, mencionada en el Visto e) de la presente resolución:
i. En el caso de los Servicios de Asistencia Técnica, de acuerdo al número de familias postulantes que se beneficiarán por esta Resolución, considerando los recursos para Asistencia Técnica descritos en las tablas insertas en los números: 1.1 y 1.2 del numeral 1 del artículo 3° de la citada resolución. Se adiciona además 1 UF por familia, considerando lo señalado en el segundo inciso, del número 1.1 del numeral 1 del citado artículo. Este monto también incorpora los incrementos señalados en las letras a), b), c) y d) del numeral 3 del mismo artículo, referidos a Densificación en Altura o Habilitación, Factibilización, Discapacidad, Territorios Especiales y Localidades Aisladas, conforme lo define la referida resolución;
ii. En el caso de la Fiscalización Técnica de Obras, de acuerdo a la totalidad de viviendas del proyecto y según mecanismo expresado en el artículo 4° numero 17 de la resolución exenta N° 1.875 ya citada y lo señalado en el resuelvo 3. de la resolución exenta N° 412 (V. y U), de 2022.
Mediante resolución del Director del Serviu respectivo, se determinarán los montos definitivos de Asistencia Técnica, cuando corresponda otorgar los incrementos que la resolución exenta N° 1.875 (V. y U.), de 2015, establece en las letras e), g), h), i), j) y k) del número 3 de su artículo 3°, o cuando corresponda aplicar lo señalado en el inciso 2 del número 8 de su artículo 2°.
4. Los recursos comprometidos en el Resuelvo 2. de la presente resolución, para los proyectos seleccionados en el cierre de postulación efectuado el día 18 de mayo de 2023, del concurso a que se llamó mediante la resolución exenta N° 663 (V. y U.), de 2023, se resumen en el siguiente cuadro para cada región del país, incluyendo la suma total de familias beneficiadas y las Unidades de Fomento comprometidas, considerando los montos de subsidio de los proyectos, incluidos sus respectivos servicios de asistencia técnica y fiscalización técnica de obras:

5. Establécese que la resolución exenta N° 663 (V. y U.), de fecha 22 de marzo de 2023 se mantendrá vigente en todo aquello que no ha sido modificado por la presente resolución.