MODIFICA RESOLUCIÓN Nº 833 EXENTA (V. Y U.), DE FECHA 21 DE ABRIL DE 2023, QUE LLAMA A PROCESO DE SELECCIÓN EN CONDICIONES ESPECIALES PARA EL OTORGAMIENTO DE SUBSIDIOS HABITACIONALES DEL TÍTULO II, EN LA MODALIDAD DE CONSTRUCCIÓN DE VIVIENDA NUEVA, CON PROYECTO DESARROLLADO, DEL PROGRAMA DE HABITABILIDAD RURAL, REGULADO POR EL D.S. Nº 10 (V. Y U.), DE 2015, A LAS REGIONES QUE INDICA, EN LA ALTERNATIVA DE POSTULACIÓN INDIVIDUAL O COLECTIVA Y APRUEBA NÓMINA DE POSTULANTES SELECCIONADOS
Santiago, 22 de septiembre de 2023.- Hoy se resolvió lo que sigue:
Núm. 1.584 exenta.
Visto:
a) El DS Nº 10 (V. y U.), de 2015 y sus modificaciones, que reglamenta el Programa de Habitabilidad Rural, en especial sus artículos 36 y 38.
b) La resolución exenta Nº 1.767 (V. y U.), de 2022, que autoriza efectuar llamados a postulación y/o comprometer recursos durante el año 2023, en el otorgamiento de subsidios habitacionales y señala el monto de los recursos destinados, entre otros, a la atención a través del programa regulado por el DS Nº 10 (V. y U.), de 2015.
c) La Circular Nº 01, de 2023, de la Subsecretaría de Vivienda y Urbanismo, que establece el Programa Habitacional 2023, e indica el presupuesto disponible para asignar subsidios, entre otros, del Programa de Habitabilidad Rural.
d) La resolución exenta Nº 833 (V. y U.), de fecha 21 de abril de 2023, modificada por la resolución exenta Nº 1.205 (V. y U.), de fecha 12 de julio de 2023, que llama a proceso de selección en condiciones especiales para el otorgamiento de subsidios habitacionales del Título II, en la Modalidad de Construcción de Vivienda Nueva, con proyecto desarrollado, del Programa Habitabilidad Rural, regulado por el DS Nº 10 (V. y U.), de 2015, y su modificación, a las regiones que indica, en la alternativa de postulación individual o colectiva, y
Considerando:
a) Que, mediante la resolución exenta Nº 833 y sus modificaciones, citada en el visto d) de la presente resolución, se llamó a proceso de postulación en condiciones especiales con proyecto desarrollado, en las modalidades individual y colectiva, para las tipologías Conjunto Habitacional y Construcción en Sitio del Residente del Programa de Habitabilidad Rural, que cuenten con proyecto Aprobado o Aprobado Condicional.
b) Que, el citado Llamado estableció un proceso de selección mensual, según el orden en que resulten aprobados los proyectos, sin que sea necesario aplicar los factores y cálculo de puntajes establecidos en el artículo 43 del DS Nº 10 (V. y U.), de 2015, y su modificación.
c) Que, en base a lo descrito, y habiendo concluido el primer cierre mensual con proyectos aprobados o aprobados condicional hasta el 30 de junio de 2023, se procede a la selección de proyectos de las tipologías indicadas.
d) Que, dicha selección implica un monto menor de recursos a lo considerado para la Región de Aysén en el cuadro dispuesto en el Resuelvo Nº 10 de la resolución exenta Nº 833 antes citada, lo que incide, en el monto total de los recursos involucrados para la selección del proceso descrito en la letra a) precedente.
e) El correo electrónico de fecha 19 y 30 de agosto de 2023, del Jefe de la División de Política Habitacional y Jefa de la División Jurídica, respectivamente, que da cuenta de su conformidad con el tenor del presente acto administrativo, dicto la siguiente:
Resolución:
1. Modifícase la resolución exenta Nº 833 (V. y U.), de fecha 21 de abril de 2023, en el sentido de reemplazar el resuelvo 10 por el siguiente:
"10. Los recursos involucrados en la selección ascenderán a un total de 3.225.281,90 U.F. y su distribución nacional será la siguiente:


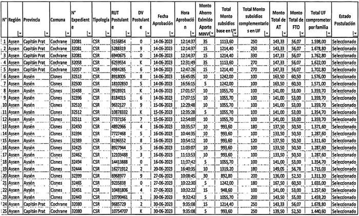
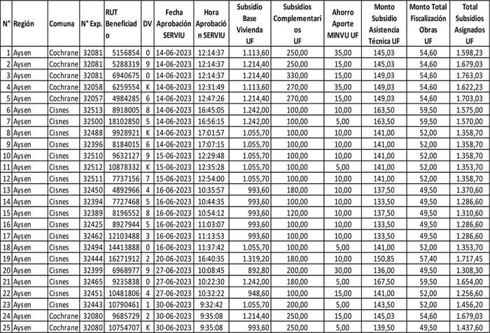
2. Apruébase la siguiente nómina de familias seleccionadas para el otorgamiento de subsidios habitacionales del Programa de Habitabilidad Rural, con su respectivo financiamiento total, incluyendo los servicios de asistencia técnica y fiscalización técnica de obras, correspondientes a 25 proyectos de la Tipología Construcción en Sitio del Residente, todos de la Región de Aysén y del General Carlos Ibáñez del Campo, según el siguiente detalle:
El detalle de los recursos comprometidos por concepto de subsidio base y subsidios complementarios para cada uno de los proyectos seleccionados en el presente resuelvo y que por este acto se asignan, se informa en la nómina que se adjunta como anexo de la presente resolución.
3. Comprométanse los recursos disponibles para la selección del Llamado en condiciones especiales, aprobado por la resolución exenta Nº 833 citada en el Visto d) de la presente resolución, los que se destinarán al financiamiento de subsidios habitacionales, cuyos proyectos han sido aprobados por el Serviu en concordancia con la normativa vigente, y cuya distribución se detalla en la siguiente Tabla:
4.Resolución 759 EXENTA,
VIVIENDA
N° 2, 2.3
D.O. 07.06.2024 Impútese el monto total de 36.702,90 Unidades de Fomento señaladas en el cuadro inserto en el Resuelvo 3. de la presente resolución, a los recursos disponibles para la Región de Aysén en el Programa de Habitabilidad Rural, correspondiente al año 2023. Facúltase a la Seremi Región de Aysén, a rectificar errores de digitación de la presente resolución, pudiendo corregir nombres y números de cédula de identidad de los beneficiarios, número de expediente, y rectificar los montos de subsidios asignados, originados en errores no imputables a las Entidades de Gestión Rural. Si la rectificación del subsidio supone un aumento del monto establecido en la presente resolución, sólo podrá asignarse hasta el valor máximo de subsidio dispuesto para cada tipología, clase de proyecto, y/o subsidio complementario correspondiente, en el Llamado regulado mediante la resolución exenta N°833, citada en el Visto d) de la presente resolución. En tales casos, y previo a la emisión de la resolución de Asignación de recursos, la Seremi deberá contar la validación de la imputación presupuestaria que proceda, otorgada por la División de Política Habitacional.
VIVIENDA
N° 2, 2.3
D.O. 07.06.2024 Impútese el monto total de 36.702,90 Unidades de Fomento señaladas en el cuadro inserto en el Resuelvo 3. de la presente resolución, a los recursos disponibles para la Región de Aysén en el Programa de Habitabilidad Rural, correspondiente al año 2023. Facúltase a la Seremi Región de Aysén, a rectificar errores de digitación de la presente resolución, pudiendo corregir nombres y números de cédula de identidad de los beneficiarios, número de expediente, y rectificar los montos de subsidios asignados, originados en errores no imputables a las Entidades de Gestión Rural. Si la rectificación del subsidio supone un aumento del monto establecido en la presente resolución, sólo podrá asignarse hasta el valor máximo de subsidio dispuesto para cada tipología, clase de proyecto, y/o subsidio complementario correspondiente, en el Llamado regulado mediante la resolución exenta N°833, citada en el Visto d) de la presente resolución. En tales casos, y previo a la emisión de la resolución de Asignación de recursos, la Seremi deberá contar la validación de la imputación presupuestaria que proceda, otorgada por la División de Política Habitacional.
Anótese, publíquese en el Diario Oficial y archívese.- Carlos Montes Cisternas, Ministro de Vivienda y Urbanismo.
Lo que transcribo para su conocimiento.- Vicente Burgos Salas, Subsecretario de Vivienda y Urbanismo (S).
NÓMINA DE FAMILIAS SELECCIONADAS PROGRAMA HABITABILIDAD RURAL LLAMADO EN CONDICIONES ESPECIALES DEL TÍTULO II VIVIENDA NUEVA REGULADO POR LA R.E. Nº 833 DE 2023


