Artículo primero: Modifícase el artículo único del decreto exento N° 32, de 2023, del Ministerio de Educación, en el sentido de reemplazarlo por el siguiente:
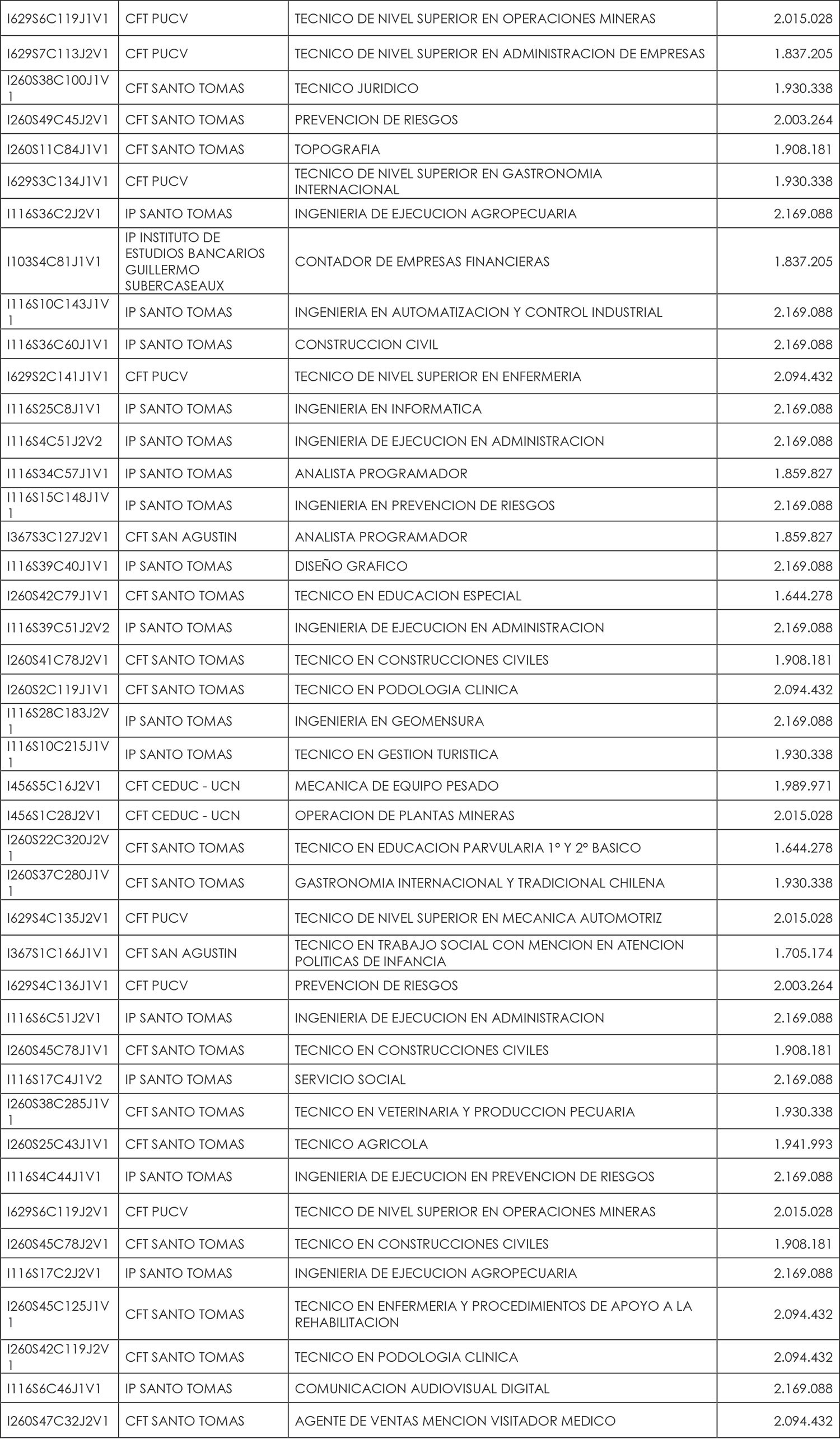
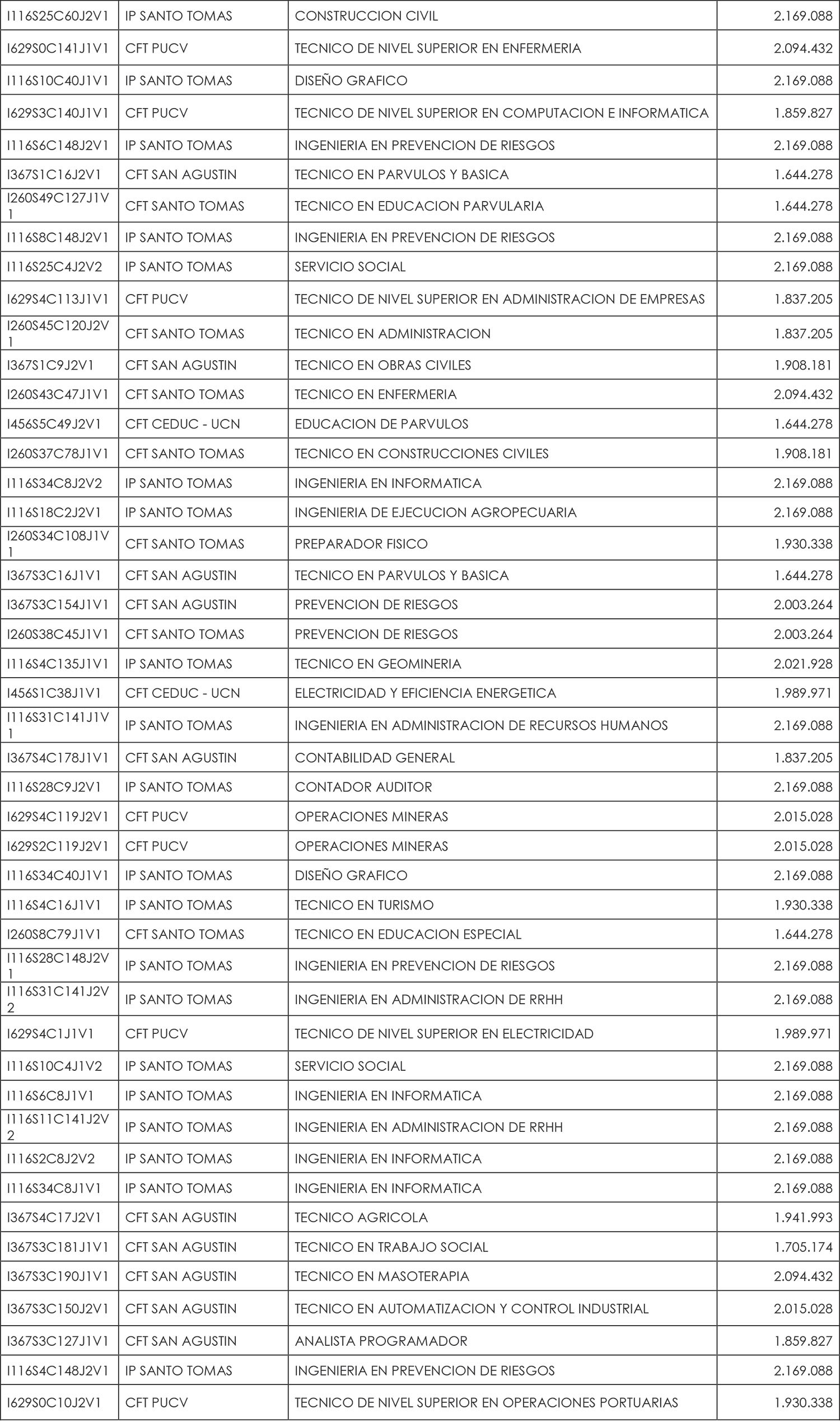
"Fíjase el arancel regulado para los programas impartidos por las Instituciones de Educación Superior adscritas a gratuidad, de conformidad al contenido de la siguiente tabla:


















































































































































































































































