MODIFICA RESOLUCIÓN Nº 663 EXENTA (V. Y U.), DE 2023, Y RESOLUCIÓN Nº 1.571 EXENTA (V. Y U.), DE 2023, QUE APRUEBA PROYECTOS DE CONSTRUCCIÓN EN NUEVOS TERRENOS DE LA REGIÓN QUE INDICA, CALIFICADOS AL 18 DE MAYO DE 2023, EN EL SENTIDO QUE INDICA, Y APRUEBA NÓMINA DE PROYECTOS CALIFICADOS AL 20 DE JULIO DE 2023
Santiago, 26 de octubre de 2023.- Hoy se resolvió lo que sigue:
Núm. 1.810 exenta.
Vistos:
a) El DS Nº 49 (V. y U.), de 2011, y sus modificaciones, que reglamenta el Programa Habitacional Fondo Solidario de Elección de Vivienda;
b) La resolución exenta Nº 1.767 (V. y U.), de fecha 20 de diciembre de 2022, que autoriza efectuar llamados a postulación y/o comprometer recursos durante el año 2023 en el otorgamiento de subsidios habitacionales y señala el monto de los recursos destinados, entre otros, a la atención a través del programa regulado por el DS Nº 49 (V. y U.) de 2011;
c) La resolución exenta Nº 663 (V. y U.), de fecha 22 de marzo de 2023, que llama a proceso de selección en condiciones especiales para el otorgamiento de subsidios del Programa Habitacional Fondo Solidario de Elección de Vivienda, regulado por el DS Nº 49 (V. y U.), de 2011 y sus modificaciones, en la alternativa de postulación colectiva para proyectos de Construcción en Nuevos Terrenos en las comunas de las regiones que indica;
d) La resolución exenta Nº 1.875 (V. y U.), de 2015, que fija procedimiento para la prestación de servicios de asistencia técnica, jurídica y social para el programa Fondo Solidario de Elección de Vivienda;
e) La resolución exenta Nº 1.571 (V. y U.), de fecha 15 de septiembre de 2023, que modifica resolución exenta Nº 663 (V. y U.), de 2023, que llama a proceso de selección en condiciones especiales para el otorgamiento de subsidios del Programa Habitacional Fondo Solidario de Elección de Vivienda, regulado por el DS Nº 49 (V. y U.), de 2011 y sus modificaciones, en la alternativa de postulación colectiva para proyectos de construcción en nuevos terrenos en las comunas de las regiones que indica, en el sentido que indica y aprueba nómina de proyectos calificados al 18 mayo de 2023;
f) El Ord. Nº 5.646 del Serviu de la Región de Valparaíso, de fecha 28 de septiembre de 2023, mediante el cual solicita se integre la resolución señalada en el visto precedente, el proyecto San Vicente I, código informático 170199, de la comuna de Villa Alemana, que pese a tener sus módulos aprobados, por motivos relacionados a dificultades con la carga del proyecto en el sistema informático, no fue considerado en dicha selección, y
Considerando:
a) Que, mediante la resolución señalada en el visto c) precedente, se llamó a concurso en condiciones especiales, a las regiones de Arica y Parinacota, Tarapacá, Antofagasta, Atacama, Coquimbo, Valparaíso, Libertador General Bernardo O'Higgins, Maule, Ñuble, Biobío, Araucanía, Los Ríos, Los Lagos, Aysén del General Carlos Ibáñez del Campo y Magallanes y la Antártica Chilena y Metropolitana, para el otorgamiento de subsidios del Programa Habitacional Fondo Solidario de Elección de Vivienda, regulado por el DS Nº 49 (V. y U.), de 2011, en la alternativa de Postulación Colectiva a proyectos de Construcción en Nuevos Terrenos, con fechas de cierre los días 6 de abril, 18 de mayo, 20 de julio, 28 de septiembre y 16 de noviembre, todos de 2023;
b) Que, conforme al procedimiento establecido en el DS Nº 49 (V. y U.), de 2011, corresponde aprobar la selección de las postulaciones presentadas hasta el cierre del día 20 de julio, en el llamado a que se convocó mediante la resolución indicada en el Visto c) precedente, siendo necesario ajustar los recursos del mismo;
c) Que, es necesario modificar la resolución exenta citada en el Visto c) y e) al igual que su Anexo Único, en orden de ajustar a lo que corresponde, pues una vez tramitado el acto administrativo que se cita en la letra e) de los vistos, se obtuvo información proveniente del sistema informático que complementa o modifica la información utilizada originalmente para confeccionarla, especialmente en las regiones de Atacama, Valparaíso, Maule, Los Lagos y Metropolitana, por lo que dicto la siguiente:
Resolución:
NOTA
El numeral IV del numero 3° de la Resolución 1543, Vivienda, publicada el 16.10.2024, modifica el Anexo Único de la presente norma, sin embargo, el referido anexo no fue publicado, es por esta razón que no se pudo elaborar su texto actualizado.
El numeral IV del numero 3° de la Resolución 1543, Vivienda, publicada el 16.10.2024, modifica el Anexo Único de la presente norma, sin embargo, el referido anexo no fue publicado, es por esta razón que no se pudo elaborar su texto actualizado.
1. Modifícase la resolución exenta Nº 663 (V. y U.), de 2023, en el siguiente sentido:
a) Reemplázase la tabla inserta en el resuelvo 2., por la siguiente:

2.Modifícase la resolución exenta Nº 1.571 (V. y U.), de 2023, en el siguiente sentido:
a) Elimínase en el resuelvo 2, la expresión "de Atacama," y reemplázase la tabla inserta en dicho resuelvo, por la siguiente:


b) Reemplázase la tabla inserta en el resuelvo 3, por el siguiente:
c) Reemplázase el cuadro del resuelvo 4., por el siguiente:
d) Reemplázase la tabla FINANCIAMIENTO APROBADO PARA PROYECTOS SELECCIONADOS - LLAMADO EFECTUADO MEDIANTE RESOLUCIÓN EXENTA Nº 663 (V. Y U.), DE 2023 - SELECCIÓN CIERRE DEL 18/05/2023, que se adjunta como anexo.
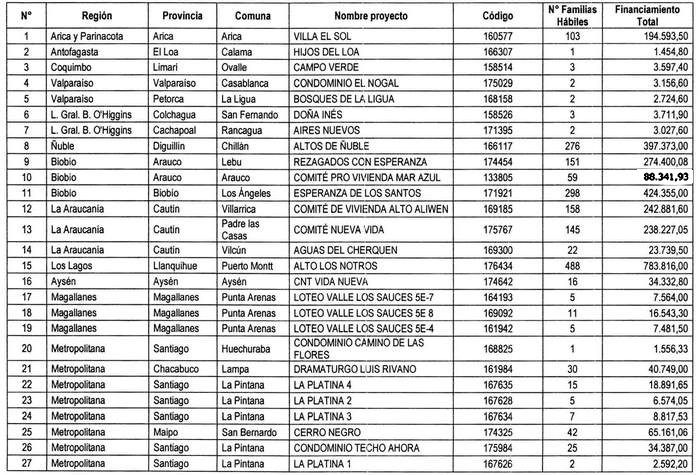
3. Apruébase la siguiente nómina de proyectos seleccionados, con su respectivo financiamiento total, para el otorgamiento de subsidios del Programa Habitacional Fondo Solidario de Elección de Vivienda en la alternativa de postulación colectiva, para los proyectos de Construcción en Nuevos Terrenos en las Regiones de Arica y Parinacota, de Antofagasta, de Coquimbo, de Valparaíso, de O'Higgins, del Biobío, de La Araucanía, de Los Lagos, de Aysén del General Carlos Ibáñez del Campo, Magallanes y Metropolitana, correspondiente al proceso de selección cuyo cierre de postulación se verificó el día 20 de julio de 2023, del llamado efectuado por resolución exenta Nº 663 (V. y U.), de 2023Resolución 1543 EXENTA,
VIVIENDA
N° 3, I
D.O. 16.10.2024:
VIVIENDA
N° 3, I
D.O. 16.10.2024:

El detalle de los recursos comprometidos por concepto de subsidio base y subsidios complementarios para cada uno de los proyectos seleccionados en el presente resuelvo y que por este acto se asignan, se informa en la nómina que se adjunta como anexo y forma parte integrante de la presente resolución.
Sólo para efectos de imputación dicho monto ha incluido, en los casos que corresponda, el monto aludido en el segundo inciso, de la letra c), del resuelvo 3.9 de la resolución exenta Nº 663 (V. y U.), de 2023. Mediante resolución, el o la director(a) del Serviu respectivo deberá sancionar el monto definitivo que corresponda asignar para el financiamiento de las obras correspondientes a mitigaciones directas producto de la aplicación de la ley Nº 20.958, que establece un Sistema de Aportes al Espacio Público, el que no podrá superar el monto por familia ahí señalado.
4. El monto del subsidio asignado de conformidad con el cuadro del resuelvo 3. de esta resolución comprende los siguientes valores por concepto de Servicios de Asistencia Técnica, de Labores de Fiscalización Técnica de Obras y pago de Aranceles al Conservador de Bienes RaícesResolución 1543 EXENTA,
VIVIENDA
N° 3, II
D.O. 16.10.2024:
VIVIENDA
N° 3, II
D.O. 16.10.2024:


Dichos montos fueron calculados conforme a la resolución exenta Nº 1.875 (V. y U.), de 2015, y sus modificaciones, mencionada en el visto e) de la presente resolución:
i. En el caso de los Servicios de Asistencia Técnica, de acuerdo al número de familias postulantes que se beneficiarán por esta resolución, considerando los recursos para Asistencia Técnica descritos en las tablas insertas en los números 1.1 y 1.2 del numeral 1 del artículo 3º de la citada resolución. Se adiciona además 1 UF por familia, considerando lo señalado en el segundo inciso, del número 1.1. del numeral 1 del citado artículo. Este monto también incorpora los incrementos señalados en las letras a), b), c) y d) del numeral 3 del mismo artículo, referidos a Densificación en Altura o Habilitación, Factibilización, Discapacidad, Territorios Especiales y Localidades Aisladas, conforme lo define la referida resolución;
ii. En el caso de la Fiscalización Técnica de Obras, de acuerdo a la totalidad de viviendas del proyecto y según mecanismo expresado en el artículo 4º número 17 de la resolución exenta Nº 1.875 ya citada y lo señalado en el segundo inciso del resuelvo 2. de la resolución exenta Nº 663 (V. y U), de 2023.
Mediante resolución del Director del Serviu respectivo, se determinarán los montos definitivos de Asistencia Técnica, cuando corresponda otorgar los incrementos que la resolución exenta Nº 1.875 (V. y U.), de 2015, establece en las letras e), g), h), i), j) y k) del número 3 de su artículo 3º, o cuando corresponda aplicar lo señalado en el inciso 2 del número 8 de su artículo 2º.
5. Los recursos comprometidos en el resuelvo 3. de la presente resolución, para los proyectos seleccionados en el cierre de postulación efectuado el día 20 de julio de 2023, del concurso a que se llamó mediante la resolución exenta Nº 663 (V. y U.), de 2023, se resumen en el siguiente cuadro para cada región del país, incluyendo la suma total de familias beneficiadas y las Unidades de Fomento comprometidas, considerando los montos de subsidio de los proyectos, incluidos sus respectivos servicios de asistencia técnica y fiscalización técnica de obrResolución 1543 EXENTA,
VIVIENDA
N° 3 , III, a y b
D.O. 16.10.2024as:
VIVIENDA
N° 3 , III, a y b
D.O. 16.10.2024as:

6. Establézcase que en la resolución exenta Nº 663 (V. y U.) de 2023 y la resolución exenta Nº 1.571 (V. y U.) de 2023 se mantendrá vigente en todo aquello que no ha sido modificado por la presente resolución.
Anótese, publíquese en el Diario Oficial y archívese.- Carlos Montes Cisternas, Ministro de Vivienda y Urbanismo.
Lo que transcribo para su conocimiento.- Gabriela Elgueta Poblete, Subsecretaria de Vivienda y Urbanismo.