MODIFICA RESOLUCIÓN N° 663 EXENTA (V. Y U.), DE 2023 Y RESOLUCIÓN N° 1.571 EXENTA (V. Y U.), DE 2023, QUE APRUEBA PROYECTOS DE CONSTRUCCIÓN EN NUEVOS TERRENOS DE LA REGIÓN QUE INDICA, CALIFICADO AL 18 DE MAYO DE 2023, EN EL SENTIDO QUE INDICA Y APRUEBA NÓMINA DE PROYECTOS CALIFICADOS AL 28 DE SEPTIEMBRE DE 2023
Santiago, 15 de noviembre de 2023.- Hoy se resolvió lo que sigue:
Núm. 1.908 exenta.
Visto:
a) El DS N° 49 (V. y U.), de 2011 y sus modificaciones, que reglamenta el Programa Habitacional Fondo Solidario de Elección de Vivienda;
b) La resolución exenta N° 1.767 (V. y U.), de fecha 20 de diciembre de 2022, que autoriza efectuar llamados a postulación y/o comprometer recursos durante el año 2023 en el otorgamiento de subsidios habitacionales y señala el monto de los recursos destinados, entre otros, a la atención a través del programa regulado por el DS N° 49 (V. y U.) de 2011;
c) La resolución exenta N° 663 (V. y U.), de fecha 22 de marzo de 2023, que llama a proceso de selección en condiciones especiales para el otorgamiento de subsidios del Programa Habitacional Fondo Solidario de Elección de Vivienda, regulado por el DS N° 49 (V. y U.), de 2011 y sus modificaciones, en la alternativa de postulación colectiva para proyectos de Construcción en Nuevos Terrenos en las comunas de las regiones que indica;
d) La resolución exenta N° 1.875 (V. y U.), de 2015, que fija procedimiento para la prestación de servicios de asistencia técnica, jurídica y social para el Programa Fondo Solidario de Elección de Vivienda;
e) La resolución exenta N° 1.571 (V. y U.), de fecha 15 de septiembre de 2023, y sus modificaciones, que modifica resolución exenta N° 663 (V. y U.), de 2023, que llama a proceso de selección en condiciones especiales para el otorgamiento de subsidios del Programa Habitacional Fondo Solidario de Elección de Vivienda, regulado por el DS N° 49 (V. y U.), de 2011 y sus modificaciones, en la alternativa de postulación colectiva para proyectos de construcción en nuevos terrenos en las comunas de las regiones que indica, en el sentido que indica y aprueba nómina de proyectos calificados al 18 mayo de 2023;
f) El Ord. N° 1.875 del Serviu de la Región de Ñuble, de fecha 13 de octubre de 2023, mediante el cual remite el "Acta Aprobación Condicional Proyecto El Canelo", de fecha 5 de octubre de 2023, código informático 161636, y
Considerando:
a) Que, mediante la resolución señalada en el visto c) precedente, se llamó a concurso en condiciones especiales, a las regiones de Arica y Parinacota, Tarapacá, Antofagasta, Atacama, Coquimbo, Valparaíso, Libertador General Bernardo O'Higgins, Maule, Ñuble, Biobío, Araucanía, Los Ríos, Los Lagos, Aysén del General Carlos Ibáñez del Campo, Magallanes y la Antártica Chilena, y Metropolitana, para el otorgamiento de subsidios del Programa Habitacional Fondo Solidario de Elección de Vivienda, regulado por el DS N° 49 (V. y U.), de 2011, en la alternativa de Postulación Colectiva a proyectos de Construcción en Nuevos Terrenos, con fechas de cierre los días 6 de abril, 18 de mayo, 20 de julio, 28 de septiembre y 16 de noviembre, todos de 2023;
b) Que, conforme al procedimiento establecido en el DS N° 49 (V. y U.), de 2011, corresponde aprobar la selección de las postulaciones presentadas hasta el cierre del día 28 de septiembre, en el llamado a que se convocó mediante la resolución indicada en el visto c) precedente, siendo necesario ajustar los recursos del mismo;
c) Que, de acuerdo a lo solicitado por el Secretario Regional Ministerial de Vivienda y Urbanismo de la Región de Los Ríos, mediante oficio ordinario N° 1.075 de 2023, se requiere incrementar el monto del subsidio base para la comuna de Valdivia, debido a una serie de particularidades y externalidades que dificultan, encarecen e impactan en los costos de construcción de los proyectos, tales como la mala calidad de los suelos, poca oferta de proveedores de materiales de construcción, insuficiente cantidad de mano de obra disponible en la región, y su condición de lejanía respecto de los accesos principales a las rutas de distribución del país, argumentos que han sido autorizados por esta autoridad. En ese sentido, es de interés de este Ministerio, contribuir al desarrollo de proyectos habitacionales a través del Programa Fondo Solidario de Elección de Vivienda, actualizando costos en diversos territorios.
d) Que, es necesario modificar la resolución exenta citada en el visto e) al igual que su anexo único, en atención a que una vez tramitado el referido acto administrativo, el Serviu de la Región de Antofagasta, a través de un correo electrónico de fecha 19 de octubre de 2023, emitido por un profesional del Departamento de la Provincia de El Loa, señala que por error se solicitó postular al cierre del 28 de mayo de 2023 a una persona al proyecto "Jardines del Norte" código Umbral 160045; en circunstancias que su postulación debía ser efectuada al proyecto denominado "Vista Norte 2" código Umbral 171340;
e) Que las regiones que participan del presente cierre, confirmaron mediante correo electrónico los montos de financiamiento de cada uno de los proyectos que se presentaron, según se describe en la siguiente tabla:

f) Que, para el presente proceso de selección, los distintos Servicios participantes dieron cumplimiento a lo señalado en el inciso tercero del resuelvo 1. de la resolución citada en el visto c), a excepción del Serviu de la Región de Ñuble, quien de acuerdo con su oficio citado en el visto f), presentó motivos ajenos a la responsabilidad de las familias y de las entidades patrocinantes de los proyectos de dicha región;
g) Que para contribuir al cumplimiento de las metas del Plan de Emergencia Habitacional y robustecer el banco de postulaciones, es necesario ampliar el plazo para el ingreso de postulaciones, dicto la siguiente,
Resolución:
1. Modifícase la resolución exenta N° 663 (V. y U.), de 2023, en el siguiente sentido:
a) Intercálase en el párrafo final del primer inciso de su resuelvo 1., entre las expresiones "16 de noviembre" y "todos de 2023", la expresión ", 21 de diciembre".
b) Reemplázase en el segundo inciso de su resuelvo 1., la frase "con excepción del primer y último cierre" por: "con excepción de los cierres del 6 de abril, 16 de noviembre y 21 de diciembre".
c) Reemplázase la tabla inserta en el Resuelvo 2., por la siguiente:

d) Modíficase la tabla inserta en su numeral 5.1., en el sentido de agregar la siguiente última fila:

2. Modifícase la resolución exenta N° 1.571 (V. y U.), de 2023, en el siguiente sentido:
a) Elimínase de la tabla inserta en el Resuelvo 2, la fila 3, pasando las filas 4, 5, 6, 7, 8, 9, 10, 11, 12, 13, 14, 15, 16, 17, 18, 19, 20, 21, 22, 23, 24, 25, 26, 27, 28, 29 y 30 a ser las filas 3, 4, 5, 6, 7, 8, 9, 10, 11, 12, 13, 14, 15, 16, 17, 18, 19, 20, 21, 22, 23, 24, 25, 26, 27, 28 y 29.
b) Elimínase de la tabla inserta en el Resuelvo 3, la fila 3, pasando las filas 4, 5, 6, 7, 8, 9, 10, 11, 12, 13, 14, 15, 16, 17, 18, 19, 20, 21, 22, 23, 24, 25, 26, 27, 29 y 30 a ser las filas 3, 4, 5, 6, 7, 8, 9, 10, 11, 12, 13, 14, 15, 16, 17, 18, 19, 20, 21, 22, 23, 24, 25, 26, 27, 28 y 29.
c) Reemplázase en el cuadro inserto en el resuelvo 4, por el siguiente:

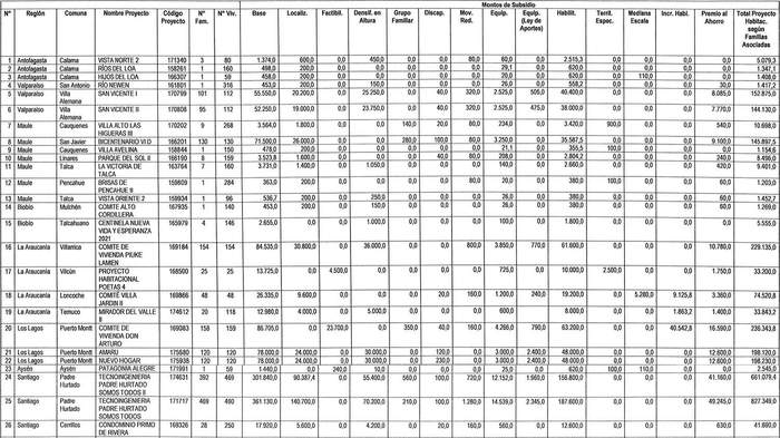
d) Reemplázase la tabla de Financiamiento Aprobado para Proyectos Seleccionados - Llamado Efectuado Mediante resolución exenta N° 663 (V. y U.), de 2023 - Selección Cierre del 18/05/2023, por la tabla que se adjunta como anexo de la presente resolución.
3. Apruébase la siguiente nómina de proyectos seleccionados, con su respectivo financiamiento total, para el otorgamiento de subsidios del Programa Habitacional Fondo Solidario de Elección de Vivienda en la alternativa de postulación colectiva, para los proyectos de Construcción en Nuevos Terrenos en las Regiones de Arica y Parinacota, de Antofagasta, de Coquimbo, de Valparaíso, de O'Higgins, de Maule, de Ñuble, del Biobío, de La Araucanía, Los Ríos, de Los Lagos, de Aysén del General Carlos Ibáñez del Campo, Magallanes y Metropolitana, correspondiente al proceso de selección cuyo cierre de postulación se verificó el día 28 de septiembre de 2023, del llamado efectuado por resolución exenta N° 663 (V. y U.), de 2023:

El detalle de los recursos comprometidos por concepto de subsidio base y subsidios complementarios para cada uno de los proyectos seleccionados en el presente resuelvo y que por este acto se asignan, se informa en la nómina que se adjunta como anexo y forma parte integrante de la presente resolución.
Sólo para efectos de imputación dicho monto ha incluido, en los casos que corresponda, el monto aludido en el segundo inciso, de la letra c), del resuelvo 3.9 de la resolución exenta N° 663 (V. y U.), de 2023. Mediante resolución, el o la Directora del Serviu respectivo deberá sancionar el monto definitivo que corresponda asignar para el financiamiento de las obras correspondientes a mitigaciones directas producto de la aplicación de la ley N° 20.958, que establece un Sistema de Aportes al Espacio Público, el que no podrá superar el monto por familia ahí señalado.
4. El monto del subsidio asignado de conformidad con el cuadro del resuelvo 3. de esta resolución comprende los siguientes valores por concepto de Servicios de Asistencia Técnica, de Labores de Fiscalización Técnica de Obras y pago de Aranceles al Conservador de Bienes Raíces:

Dichos montos fueron calculados conforme a la resolución exenta N° 1.875 (V. y U.), de 2015, y sus modificaciones, mencionada en el Visto e) de la presente resolución:
i. En el caso de los Servicios de Asistencia Técnica, de acuerdo con el número de familias postulantes que se beneficiarán por esta resolución, considerando los recursos para Asistencia Técnica descritos en las tablas insertas en los números 1.1 y 1.2 del numeral 1 del artículo 3° de la citada resolución. Se adiciona además 1 UF por familia, considerando lo señalado en el segundo inciso, del número 1.1. del numeral 1 del citado artículo. Este monto también incorpora los incrementos señalados en las letras a), b), c) y d) del numeral 3 del mismo artículo, referidos a Densificación en Altura o Habilitación, Factibilización, Discapacidad, Territorios Especiales y Localidades Aisladas, conforme lo define la referida resolución;
ii. En el caso de la Fiscalización Técnica de Obras, de acuerdo con la totalidad de viviendas del proyecto y según mecanismo expresado en el artículo 4° número 17 de la resolución exenta N° 1.875 ya citada y lo señalado en el segundo inciso del resuelvo 2. de la resolución exenta N° 663 (V. y U), de 2023.
Mediante resolución del Director/a del Serviu respectivo, se determinarán los montos definitivos de Asistencia Técnica, cuando corresponda otorgar los incrementos que la resolución exenta N° 1.875 (V. y U.), de 2015, establece en las letras e), g), h), i), j) y k) del número 3 de su artículo 3°, o cuando corresponda aplicar lo señalado en el inciso 2 del número 8 de su artículo 2°.
5. Los recursos comprometidos en el Resuelvo 3. de la presente resolución, para los proyectos seleccionados en el cierre de postulación efectuado el día 28 de septiembre de 2023, del concurso a que se llamó mediante la resolución exenta N° 663 (V. y U.), de 2023, se resumen en el siguiente cuadro para cada región del país, incluyendo la suma total de familias beneficiadas y las Unidades de Fomento comprometidas, considerando los montos de subsidio de los proyectos, incluidos sus respectivos servicios de asistencia técnica y fiscalización técnica de obras:

6. Establécese que la resolución exenta N° 663 (V. y U.) de 2023, se mantendrá vigente en todo aquello que no ha sido modificado por la presente resolución.
NOTA
La letra a) del numeral 2° de la Resolución 2144 Exenta, Vivienda, publicada el 28.12.2023, modifica la tabla inserta el numeral 3 de la presente normas en el sentido de reemplazar la fila N° 35 y la fila Total, de la manera que la citada norma indica.
La letra a) del numeral 2° de la Resolución 2144 Exenta, Vivienda, publicada el 28.12.2023, modifica la tabla inserta el numeral 3 de la presente normas en el sentido de reemplazar la fila N° 35 y la fila Total, de la manera que la citada norma indica.
NOTA 1
La letra b) del numeral 2° de la Resolución 2144 Exenta, Vivienda, publicada el 28.12.2023, modifica la presente norma en el sentido de reemplazar en el cuadro inserto en el numeral 5 de la presente norma, en la fila correspondiente a la Región Metropolitana, en la columna "Selección 28/09/23", en la sub columna "UF", la cifra "2.447.543,8" por "2.439.543,8"; y, en la fila "Total Llamado", en la columna "Selección 28/09/23", en la sub columna "UF", la cifra "7.966.738,4" por "7.958.738,4".
La letra b) del numeral 2° de la Resolución 2144 Exenta, Vivienda, publicada el 28.12.2023, modifica la presente norma en el sentido de reemplazar en el cuadro inserto en el numeral 5 de la presente norma, en la fila correspondiente a la Región Metropolitana, en la columna "Selección 28/09/23", en la sub columna "UF", la cifra "2.447.543,8" por "2.439.543,8"; y, en la fila "Total Llamado", en la columna "Selección 28/09/23", en la sub columna "UF", la cifra "7.966.738,4" por "7.958.738,4".
Anótese, publíquese en el Diario Oficial y archívese.- Carlos Montes Cisternas, Ministro de Vivienda y Urbanismo.
Lo que transcribo para su conocimiento.- Gabriela Elgueta Poblete, Subsecretaria de Vivienda y Urbanismo.
ANEXO ÚNICO
FINANCIAMIENTO APROBADO PARA PROYECTOS SELECCIONADOS - LLAMADO EFECTUADO MEDIANTE RESOLUCIÓN EXENTA N° 663 (V. Y U.), DE 2023 - SELECCIÓN CIERRE DEL 18/05/2023


ANEXO ÚNICO
FINANCIAMIENTO APROBADO PARA PROYECTOS SELECCIONADOS - LLAMADO EFECTUADO MEDIANTE RESOLUCIÓN EXENTA N° 663 (V. Y U.), DE 2023 - SELECCIÓN CIERRE DEL 28/09/2023

NOTA
La letras c) y d) del numeral 2° de la Resolución 2144 Exenta, Vivienda, publicada el 28.12.2023, modifican respectivamente, las tablas insertas en el anexo único de la presente norma, en la tabla primera de Selección Cierre del 28/09/2023 en su fila "N° 35", correspondiente a la Región Metropolitana, proyecto Maestranza Ukamau 2, código 176523, los montos, que la citada norma indica y, asimismo, en la segunda tabla reemplaza en la tabla Selección Cierre del 28/09/2023" en su fila "Total", los montos, que la citada norma indica.
La letras c) y d) del numeral 2° de la Resolución 2144 Exenta, Vivienda, publicada el 28.12.2023, modifican respectivamente, las tablas insertas en el anexo único de la presente norma, en la tabla primera de Selección Cierre del 28/09/2023 en su fila "N° 35", correspondiente a la Región Metropolitana, proyecto Maestranza Ukamau 2, código 176523, los montos, que la citada norma indica y, asimismo, en la segunda tabla reemplaza en la tabla Selección Cierre del 28/09/2023" en su fila "Total", los montos, que la citada norma indica.