APRUEBA INFORME TÉCNICO PRELIMINAR DE PROPUESTA DE FÓRMULAS TARIFARIAS PARA CONCESIONARIAS DE SERVICIO PÚBLICO DE DISTRIBUCIÓN, CUADRIENIO NOVIEMBRE 2020-NOVIEMBRE 2024
Núm. 574 exenta.- Santiago, 21 de noviembre de 2023.
Vistos:
a) Lo establecido en el artículo 9° letra h) del DL N° 2.224 de 1978, que crea el Ministerio de Energía y la Comisión Nacional de Energía, en adelante e indistintamente "Comisión" o "CNE", modificado por la Ley N° 20.402, que crea el Ministerio de Energía;
b) Lo establecido en el DFL N° 4 de 2006, del Ministerio de Economía, Fomento y Reconstrucción, que fija el texto refundido, coordinado y sistematizado del DFL N° 1 de 1982, del Ministerio de Minería, Ley General de Servicios Eléctricos, y sus modificaciones posteriores, en particular, las modificaciones introducidas por la Ley N° 21.194, que rebaja la rentabilidad de las empresas de distribución y perfecciona el proceso tarifario de distribución eléctrica, en adelante "Ley General de Servicios Eléctricos" o "Ley";
c) Lo dispuesto en la resolución exenta N° 465 de la Comisión, de 5 de octubre de 2023, que "Aprueba Informe Técnico Definitivo del cálculo de las componentes del Valor Agregado de Distribución, cuadrienio noviembre 2020-noviembre 2024";
d) El decreto supremo N° 12A del Ministerio de Energía, de 21 de noviembre de 2022, que nombra a don Marco Antonio Mancilla Ayancán en el cargo de Secretario Ejecutivo de la Comisión Nacional de Energía; y,
e) Lo señalado en la resolución N° 7, de 2019, de la Contraloría General de la República.
Considerando:
1) Que, el artículo 185 de la Ley General de Servicios Eléctricos, establece en su inciso primero que, con los valores agregados de distribución resultantes del proceso regulado en el artículo 183 bis de la misma ley, y los precios de nudo que correspondan, la Comisión estructurará un conjunto de tarifas básicas preliminares, de acuerdo con el criterio expresado en el artículo 181 de la Ley;
2) Que, el inciso segundo del artículo 185 de la Ley establece que, para efectos de lo señalado en el considerando anterior, la Comisión deberá emitir un informe preliminar y, dentro del plazo de diez días, todos los actores de la sociedad civil y empresas inscritas en el registro a que se refiere el artículo 183 bis podrán presentar sus observaciones a la Comisión;
3) Que, el artículo cuarto transitorio de la Ley N° 21.194 estableció que, para el proceso de determinación de tarifas de distribución correspondiente al cuadrienio noviembre 2020-noviembre 2024, y por única vez, no serán aplicables las disposiciones establecidas en el artículo 183 bis de la Ley General de Servicios Eléctricos sobre la constitución del registro de participantes. Para dicho proceso se entenderán como integrantes del registro de participación ciudadana que establece el citado artículo 183 bis de la Ley, las asociaciones de consumidores a que se refiere la ley N° 19.496, que establece normas sobre protección de los derechos de los consumidores, y las empresas concesionarias de distribución eléctrica;
4) Que, por su parte, el artículo 181 de la Ley referido en el considerando precedente dispone que la estructura de los precios a nivel de distribución considerará los precios de nudo establecidos en el punto de conexión con las instalaciones de distribución, los cargos señalados en los artículos 115, 116 y 212-13 de la Ley, y el valor agregado por concepto de costos de distribución, adicionándolos a través de fórmulas que representen una combinación de dichos valores, de tal modo que el precio resultante de suministro corresponda al costo de la utilización por parte del usuario de los recursos a nivel producción, transporte y distribución empleados;
5) Que, los valores agregados de distribución fueron determinados en el Informe Técnico Definitivo del cálculo de las componentes del Valor Agregado de Distribución, cuadrienio noviembre 2020-noviembre 2024, aprobado mediante resolución exenta N° 465, de la Comisión, de 5 de octubre del año en curso; y,
6) Que, en cumplimiento de lo dispuesto en los artículos de la Ley General de Servicios Eléctricos señalados en los considerandos precedentes, esta Comisión viene en emitir el informe técnico preliminar que se aprueba mediante la presente resolución exenta.
Resuelvo:
Artículo primero: Apruébase el siguiente "Informe Técnico Preliminar de propuesta de fórmulas tarifarias para concesionarias de servicio público de distribución, cuadrienio noviembre 2020-noviembre 2024", que pasa a formar parte integrante de la presente resolución para todos los efectos legales, junto con sus anexos y antecedentes de respaldo:
INFORME TÉCNICO PRELIMINAR PROPUESTA DE FÓRMULAS TARIFARIAS PARA CONCESIONARIAS DE SERVICIO PÚBLICO DE DISTRIBUCIÓN
Cuadrienio Noviembre 2020 – Noviembre 2024
Noviembre de 2023
INFORME TÉCNICO
PROPUESTA DE FÓRMULAS TARIFARIAS PARA CONCESIONARIAS DE SERVICIO PÚBLICO DE DISTRIBUCIÓN CUADRIENIO NOVIEMBRE 2020 – NOVIEMBRE 2024
Introducción
El presente documento corresponde al Informe Técnico que la Comisión Nacional de Energía, en adelante e indistintamente "CNE" o "Comisión", debe emitir conforme el artículo 183 bis del Decreto con Fuerza de Ley N° 4/20.018 del Ministerio de Economía, Fomento y Reconstrucción, de 2006, que fija el texto refundido, coordinado y sistematizado del Decreto con Fuerza de Ley N° 1 del Ministerio de Minería, de 1982, que establece la Ley General de Servicios Eléctricos, en adelante "Ley" o "LGSE", y que recoge los aspectos y consideraciones técnicas que sustentan la propuesta de fórmulas tarifarias aplicables a concesionarios de servicio público de distribución correspondiente al cuadrienio noviembre de 2020 - noviembre de 2024.
Este informe se divide en los siguientes siete capítulos:
I. Aspectos generales del proceso.
II. Valor Agregado de Distribución.
III. Estructuración de fórmulas de tarifas preliminares.
IV. Cumplimiento de la condición señalada en el inciso primero del artículo 185° de la LGSE.
V. Saldos de estabilización Ley N° 21.194.
VI. Verificación de la rentabilidad de la industria.
VII. Otros parámetros a considerar en el decreto tarifario.
Además, el informe contiene los siguientes anexos:
Anexo N° 1: Factores de asignación de costos sectorizados (factor de asignación de valores agregados de distribución sectorizados "FSTCD").
Anexo N° 2: Condiciones de aplicación de las fórmulas tarifarias.
I. Aspectos Generales del Proceso
Conforme se establece en el artículo 181° de la Ley, los precios a nivel de distribución deben considerar, entre otros componentes, el valor agregado por concepto de costos de distribución. Por su parte, el artículo 182° de la Ley establece que dicho valor agregado por concepto de costos de distribución se basará en empresas modelo y considerará:
. Costos fijos por concepto de gastos de administración, facturación y atención del usuario, independientes de su consumo;
. Pérdidas medias de distribución en potencia y energía; y,
. Costos estándares de inversión, mantención y operación asociados a la distribución, por unidad de potencia suministrada. Los costos anuales de inversión se calcularán considerando el Valor Nuevo de Reemplazo, en adelante "VNR", de las instalaciones adaptadas a la demanda, su vida útil y una tasa de actualización de acuerdo con lo establecido en el artículo 182 bis de la Ley.
De acuerdo con las bases técnicas para el cálculo de las componentes del Valor Agregado de Distribución (VAD)(1), en adelante, "Bases", la empresa modelo se entenderá como aquella empresa diseñada óptima y eficientemente para prestar exclusivamente el servicio público de distribución dentro o fuera de la zona de concesión de la empresa de referencia correspondiente, y que satisface cada una de las siguientes condiciones:
. Que la empresa cumple con la normativa vigente al momento de inicio del estudio;
. Que sus instalaciones se encuentran económicamente adaptadas a la demanda durante el horizonte de planificación, considerando solo las holguras basadas en indivisibilidades del tipo técnicas y económicas señaladas en las Bases;
. Que es eficiente en su política de inversiones y gestión; y,
. Que opera en Chile.
De acuerdo con lo establecido en el artículo 183° de la Ley, las componentes de costo anteriormente indicadas se calculan para un determinado número de áreas típicas de distribución, las que son fijadas por la Comisión. Es así como, mediante la Resolución Exenta CNE N° 40, de 3 de febrero de 2020, que fija Áreas Típicas para el cálculo de las componentes del Valor Agregado de Distribución cuadrienio noviembre 2020 – noviembre 2024, y deja sin efecto Resolución Exenta CNE N° 805, de 23 de diciembre de 2019, esta Comisión procedió a definir las áreas típicas de distribución ("ATD").
Para efectos de facilitar la labor de construcción de una empresa modelo se toma como antecedente la existencia de una empresa real. Las empresas distribuidoras que se consideran como antecedente para el diseño de las empresas modelo en cada ATD, en adelante "Empresas de Referencia", son las siguientes:

____________
(1) Bases técnicas definitivas para el cálculo de las componentes del Valor Agregado de Distribución, cuatrienio 2020-2024, aprobadas mediante Resolución Exenta CNE N° 195 de la Comisión, de 11 de junio de 2020, página 6.
Para cada ATD, dichos componentes de costo se calculan en base a un estudio de costos encargado a una empresa consultora por la Comisión. Dicho estudio se debe basar en un supuesto de eficiencia en la política de inversiones y en la gestión de una empresa distribuidora operando en el país, conforme a lo establecido en la Ley.
El supuesto de eficiencia de la empresa modelo tendrá en consideración las restricciones que enfrenta la empresa distribuidora real de referencia, considerando, de acuerdo con lo establecido en el artículo 183° de la Ley y en las Bases (página 7), las siguientes restricciones:
. Las leyes, reglamentos y normas técnicas, incluidos todos los pliegos técnicos, entre otros, vigentes al momento de inicio del estudio;
. Los mismos clientes y consumos de la empresa de referencia, sean éstos regulados, otras distribuidoras, libres propios o de terceros que hacen uso de las instalaciones de distribución de la empresa de referencia a través de la imposición de servidumbres de paso en dichas instalaciones;
. La distribución de los clientes en cuanto a localización y demanda;
. La normativa que la empresa deba cumplir para prestar el servicio público de distribución, en particular, el cumplimiento de los niveles de seguridad y calidad que la normativa técnica exija;
. Las condiciones geográficas, climáticas y demográficas de la zona;
. El trazado de calles y caminos para el desarrollo de las redes, y los obstáculos físicos para el mismo;
. La velocidad de penetración de nuevas tecnologías para la materialización de la red de distribución;
. La consideración de cambios normativos en estándares de calidad del servicio que puedan incidir en inversiones relevantes; y,
. La consideración de existencia de vegetación, su interacción con las redes y las actividades para su control.
En conformidad con lo señalado en el artículo 183° bis de la Ley, y con el objeto de determinar las componentes de costo de la empresa modelo a que se refieren los artículos 182° y siguientes de la Ley, se definieron las bases técnicas referidas anteriormente, las cuales fueron aprobadas mediante Resolución Exenta CNE N° 195, de fecha 11 de junio de 2020, que aprueba Bases Técnicas Definitivas para el "Cálculo de las Componentes del Valor Agregado de Distribución, Cuatrienio noviembre 2020-2024" y del "Estudio de Costos de los Servicios Asociados al Suministro de Electricidad de Distribución".
El estudio fue adjudicado mediante Resolución Exenta CNE N° 310, de 17 de agosto de 2020, al consultor INECON, Ingenieros y Economistas Consultores S.A., en adelante, "Consultor", y fue ejecutado y supervisado por un comité, integrado por cuatro representantes de las empresas concesionarias, dos representantes del Ministerio de Energía y dos representantes de la Comisión, uno de los cuales presidió el referido comité, conforme a lo establecido en la Resolución Exenta CNE N° 178, de 29 de mayo de 2020, que establece procedimiento para la constitución y funcionamiento del comité del estudio de costos establecido en el inciso 13 del artículo 183° bis de la Ley General de Servicios Eléctricos, en adelante, "Comité".
Por otra parte, conforme a lo establecido en el artículo sexto transitorio de la Ley N° 21.194, luego de que el Comité otorgó la conformidad al estudio del Consultor(2), el 7 de junio de 2022 la Comisión lo comunicó en su página web institucional y en un medio de amplio acceso, a saber, en el Diario El Mercurio de 7 de junio de 2022, teniendo los participantes (3) el plazo de quince días, contado desde dicha publicación, para efectuar observaciones al estudio (4). Dado lo establecido en numeral 4 del artículo sexto transitorio de la Ley N° 21.194, no fue necesaria la emisión del informe técnico preliminar al que se refiere el inciso décimo octavo del artículo 183 bis de la Ley.
___________________
(2) El 2 de junio de 2022 se dio la conformidad al estudio para el "Cálculo de las Componentes del Valor Agregado de Distribución, Cuatrienio noviembre 2020-2024" desarrollado por Inecon.
(3) Conforme al artículo cuarto transitorio de la Ley N° 21.194, para el proceso de determinación de tarifas de distribución correspondiente al cuadrienio 2020-2024, se entenderán como integrantes del registro de participación ciudadana que establece el artículo 183 bis de la Ley las asociaciones de consumidores a que se refiere la ley N° 19.496, que establece normas sobre protección de los derechos de los consumidores, y las empresas concesionarias de distribución eléctrica.
(4) Observaciones recibidas hasta el 30 de junio de 2022.
A continuación, una vez vencido el plazo para efectuar y analizar las observaciones al estudio, la Comisión comunicó, mediante Resolución Exenta CNE N° 908, de 23 de diciembre de 2022, el "Informe Técnico para el Cálculo de las Componentes del Valor Agregado de Distribución, cuatrienio noviembre 2020-2024", conforme a lo dispuesto en el inciso vigésimo del artículo 183 bis de la Ley.
Una vez emitido el informe señalado precedentemente, las empresas concesionarias y participantes solicitaron al H. Panel de Expertos que dirimiese algunas de las observaciones presentadas que no hubiesen sido acogidas por la Comisión o que hubiesen sido acogidas parcialmente, mediante la presentación de las discrepancias N° 1 a la N° 25, todas de 2023.
Posteriormente, el H. Panel de Expertos realizó una audiencia pública, y el 26 de abril de 2023, emitió los dictámenes asociados a las señaladas discrepancias. Conforme a lo establecido en la Ley, el H. Panel dirimió optando por el resultado del Informe Técnico de la Comisión o por la alternativa planteada por un participante o por una empresa concesionaria para el conjunto de sus discrepancias presentadas en cada una de las categorías definidas en las Bases.
Una vez emitidos los dictámenes del H. Panel de Expertos, y conforme lo establece la Ley en su artículo 183, la Comisión, mediante Resolución Exenta CNE N° 465, de 6 de octubre de 2023, aprobó el "Informe Técnico Definitivo para el Cálculo de las Componentes del Valor Agregado de Distribución, cuatrienio 2020-2024", en adelante e indistintamente, "IT VAD", incorporando e implementando lo resuelto por el H. Panel.
Por otra parte, conforme lo establecido en el artículo 185 de la Ley, la Comisión debe estructurar un conjunto de tarifas básicas preliminares, de acuerdo con el criterio expresado en el artículo 181°. Para ello, corresponde a la Comisión elaborar el presente informe técnico preliminar, respecto del cual, dentro un plazo de diez días, todos los actores de la sociedad civil y empresas inscritas en el registro a que se refiere el artículo 183 bis podrán presentar sus observaciones, las cuales deberán ser resueltas por la Comisión en conjunto con la emisión de un informe técnico definitivo.
II. Valor Agregado de Distribución
1. Definición de Áreas Típicas de Distribución
Los estudios del VAD y en definitiva, los niveles tarifarios determinados en las fijaciones tarifarias, deben establecerse por ATD, definidas como "áreas en que los costos de prestar el servicio de distribución y la densidad de clientes por kilómetro de red son similares entre sí, pudiendo incluir en ellas una o más empresas concesionarias de distribución eléctrica".
Las empresas analizadas son las que se señalan a continuación, correspondientes a aquellas con la calidad de concesionarias de servicio público de distribución al 31 de diciembre de 2019:

Mediante la Resolución Exenta CNE N° 40, de 3 de febrero de 2020, que fija Áreas Típicas para el cálculo de las componentes del Valor Agregado de Distribución cuadrienio noviembre 2020 – noviembre 2024, y deja sin efecto Resolución Exenta CNE N° 805, de 23 de diciembre de 2019, esta Comisión procedió a definir un total de doce (12) áreas típicas de distribución. Los resultados de la clasificación de ATD por empresa es el siguiente:

2. Resultados del Valor Agregado de Distribución
Según el procedimiento establecido en el artículo 183° bis de la Ley, las componentes de los valores agregados de distribución resultantes para el período 2020 – 2024, dispuestas en el Informe Técnico Definitivo para el Cálculo de las Componentes del Valor Agregado de Distribución, cuadrienio 2020 - 2024, son las siguientes:


_________________
(5) Sistemas de Medición, Monitoreo y Control definidos en la Norma Técnica de Calidad y Servicio para Sistemas de Distribución y en el Anexo Técnico de Sistemas de Medición, Monitoreo y Control.
III. Estructuración de Fórmulas de Tarifas Preliminares
La estructuración de fórmulas tarifarias preliminares considera la definición de las estructuras propiamente tales, así como la asignación de los diferentes parámetros que determinan el nivel final de la tarifa. Para la presente fijación se mantuvieron las estructuras tarifarias definidas en el Decreto Nº 11T(6), y luego se incorporaron modificaciones a los cargos y parámetros tarifarios.
La determinación de los parámetros consideró un ajuste en las horas de uso, factores de coincidencia, factores de asignación de costos sectorizados (FSTCD), y la incorporación de factores de ajuste que permitan dar cumplimiento de lo establecido en el artículo 185° de la Ley. Asimismo, se actualizó el conjunto de parámetros de modulación y recargo para reflejar las diferencias de costos relativos por concepto de suministro subterráneo en sectores con esa modalidad de abastecimiento.
De esta forma, las fórmulas tarifarias a usuarios finales sometidos a regulación de precios para efectos de verificar la rentabilidad de la industria, conforme a lo dispuesto en el artículo 185° de la Ley, son las establecidas en el presente Informe Técnico. Las condiciones de aplicación de las mismas se muestran en el numeral 3 del título VII del presente documento.
1. Tarifas aplicables a usuarios residenciales
Para efectos de la aplicación del mecanismo establecido en los incisos segundo y tercero del artículo 191º de la Ley, se entenderá por usuario residencial aquel respecto del cual se cumpla alguna de las siguientes condiciones:
. Que cuente con potencia conectada inferior o igual a 10 kW o con un limitador de potencia para cumplir esta condición.
. Que su suministro esté destinado para el abastecimiento eléctrico de su domicilio o residencia y cuyo documento de cobro emitido por la respectiva empresa distribuidora se encuentre a nombre de una persona natural o sucesión hereditaria.
1.1. Tarifa BT1a
Opción de tarifa simple, en baja tensión, para clientes con medidor simple de energía que cuenten con potencia conectada inferior o igual a 10 kW o con un limitador de potencia para cumplir esta condición. Esta tarifa es aplicable a los clientes abastecidos por empresas cuya demanda máxima anual de consumos en esta opción (BT1a) se produce en meses en que se han definido horas de punta.

1.2. Tarifa BT1b
Opción de tarifa simple, en baja tensión, para clientes con medidor simple de energía que cuenten con potencia conectada inferior o igual a 10 kW o con un limitador de potencia para cumplir esta condición. Esta tarifa es aplicable a los clientes abastecidos por empresas cuya demanda máxima anual de consumos en esta opción (BT1b) se produce en meses en que no se hayan definido horas de punta, y cuyo Factor de Clasificación, calculado según se indica más adelante, sea superior a 2,5.
_________________
(6) Decreto 11T del Ministerio de Energía, de 4 de noviembre de 2016, publicado en el Diario Oficial el 24 de agosto de 2017, que "Fija fórmulas tarifarias aplicables a los suministros sujetos a precios regulados que se señalan, efectuados por las empresas concesionarias de distribución que se indican".

1.3.Tarifa TRBT
Opción de tarifa en baja tensión, para clientes con unidad de medida que es parte del Sistema de Medición, Monitoreo y Control (SMMC)(7).

1.4. Tarifa TRBT2
Opción de tarifa en baja tensión, para clientes con medidor con resolución cada 15 minutos o inferior, y memoria masa para el registro de energía, de la demanda máxima de potencia en horas de punta y de la demanda máxima de potencia suministrada, con potencia conectada inferior o igual a 10 kW o con un limitador de potencia para cumplir esta condición.

1.5. Tarifa TRBT3
Opción de tarifa en baja tensión, para clientes con potencia conectada mayor a 10 kW, con medidor con resolución cada 15 minutos o inferior, y memoria masa para el registro de energía, de la demanda máxima de potencia en horas de punta y de la demanda máxima de potencia suministrada, cuyo suministro esté destinado para el abastecimiento eléctrico de su domicilio o residencia y cuyo documento de cobro emitido por la respectiva empresa distribuidora se encuentre a nombre de una persona natural o sucesión hereditaria.

______________
(7) Sistemas de Medición, Monitoreo y Control definidos en la Norma Técnica de Calidad y Servicio para Sistemas de Distribución y en el Anexo Técnico de Sistemas de Medición, Monitoreo y Control.
1.6. Tarifa TRAT
Opción de tarifa en alta tensión, para clientes con unidad de medida que es parte del Sistema de Medición, Monitoreo y Control (SMMC).

1.7. Tarifa TRAT1
Opción de tarifa en alta tensión, para clientes residenciales con al menos medición de energía, que cuentan con potencia conectada inferior o igual a 10 kW o con un limitador de potencia para cumplir con dicha condición.

1.8. Tarifa TRAT2
Opción de tarifa en alta tensión, para clientes con medidor con resolución cada 15 minutos o inferior, y memoria masa para el registro de energía, de la demanda máxima de potencia en horas de punta y de la demanda máxima de potencia suministrada, con potencia conectada inferior o igual a 10 kW o con un limitador de potencia para cumplir esta condición.

1.9. Tarifa TRAT3
Opción de tarifa en alta tensión, para clientes con medidor con resolución cada 15 minutos o inferior, y memoria masa para el registro de energía, de la demanda máxima de potencia en horas de punta y de la demanda máxima de potencia suministrada, cuyo suministro esté destinado para el abastecimiento eléctrico de su domicilio o residencia y cuyo documento de cobro emitido por la respectiva empresa distribuidora se encuentre a nombre de una persona natural o sucesión hereditaria.

2. Tarifa BT2
Opción de tarifa en baja tensión para clientes con medidor simple de energía y potencia contratada.

3. Tarifa BT3
Opción de tarifa en baja tensión con demanda máxima leída, para clientes con medidor simple de energía y demanda máxima leída.

4. Tarifas BT4
4.1 Tarifa BT4.1
Opción de tarifa horaria en baja tensión. Para clientes con medidor simple de energía, demanda máxima contratada y demanda máxima contratada en horas de punta del sistema eléctrico.

4.2 Tarifa BT4.2
Opción de tarifa horaria en baja tensión para clientes con medidor simple de energía, demanda máxima contratada y demanda máxima leída en horas de punta del sistema eléctrico.

4.3 Tarifa BT4.3
Opción de tarifa horaria en baja tensión para clientes con medidor simple de energía, demanda máxima suministrada y demanda máxima leída en horas de punta del sistema eléctrico.

5. Tarifa BT5
Opción tarifaria en baja tensión para suministros no residenciales con medidor con resolución cada 15 minutos o inferior y memoria masa para el registro de energía, de la demanda máxima de potencia en horas de punta y de la demanda máxima de potencia suministrada.

6. Tarifa BT6
Opción tarifaria en baja tensión para suministros no residenciales con unidad de medida que es parte del Sistema de Medición, Monitoreo y Control (SMMC).

7. Tarifa AT2
Opción de tarifa en alta tensión para clientes con medidor simple de energía y potencia contratada.

8. Tarifa AT3
Opción de tarifa en alta tensión para clientes con medidor simple de energía y demanda máxima leída.

9. Tarifas AT4
9.1 Tarifa AT4.1
Opción de tarifa horaria en alta tensión para clientes con medidor simple de energía, demanda máxima contratada y demanda máxima contratada en horas de punta del sistema eléctrico.

9.2 Tarifa AT4.2
Opción de tarifa horaria en alta tensión para clientes con medidor simple de energía, demanda máxima contratada y demanda máxima leída en horas de punta del sistema eléctrico.

9.3 Tarifa AT4.3
Opción de tarifa horaria en alta tensión para clientes con medidor simple de energía, demanda máxima suministrada y demanda máxima leída en horas de punta del sistema eléctrico.

10. Tarifa AT5
Opción tarifaria en alta tensión para suministros no residenciales con medidor con resolución cada 15 minutos o inferior y memoria masa para el registro de energía, de la demanda máxima de potencia en horas de punta y demanda máxima de potencia suministrada.

11. Tarifa AT6
Opción tarifaria en alta tensión para suministros no residenciales con unidad de medida que es parte del Sistema de Medición, Monitoreo y Control (SMMC).

12. Tarifas flexibles reguladas
Sin perjuicio de las opciones tarifarias anteriores, cada empresa podrá ofrecer opciones tarifarias adicionales, en adelante "tarifas flexibles reguladas (TFR)", bajo las condiciones de los párrafos siguientes. Las características y condiciones de aplicación de las TFR deberán estar permanentemente publicadas tanto en las oficinas comerciales como en el sitio de dominio electrónico de la respectiva empresa, sin que esas características o condiciones puedan significar discriminación alguna, sin perjuicio de la diferenciación por perfiles de consumos asociados a comportamientos horarios que pudiesen realizarse, debiendo dichas TFR estar disponibles para cualquier cliente que, cumpliendo las exigencias técnicas que para cada caso se establezcan, las solicite y acepte someterse a las limitaciones y condiciones de aplicación de las mismas.
Cada 12 meses de vigencia de la TFR, la empresa deberá verificar e informar a cada cliente que se encuentre acogido a una TFR, a través de la boleta o factura siguiente o bien, mediante comunicación independiente que deberá entregar junto a dicha boleta o factura, la comparación entre la facturación de los últimos 12 meses con la TFR y la que el cliente hubiese recibido con la opción tarifaria de referencia, para el mismo consumo. Si se verificare que la facturación con TFR es superior a la obtenida aplicando la opción tarifaria de referencia del mismo periodo, a partir del mes siguiente, la empresa deberá facturar los consumos del cliente con la opción tarifaria de referencia, a menos que expresamente este último le señale lo contrario.
Por "opción tarifaria de referencia" se entenderá la tarifa que tenía el cliente al momento de optar por una TFR, cuando se trate de un cliente preexistente, o bien, a la opción tarifaria de las indicadas anteriormente que signifique la menor facturación posible durante el año inmediatamente anterior, cuando se trate de un cliente que fue inicialmente incorporado como tal con una opción TFR. Para la determinación de la menor facturación posible deberá considerarse la tecnología de medición de la TFR contratada y utilizarse los registros de consumo medidos bajo la opción TFR.
En cualquier momento, el cliente podrá elegir una nueva tarifa, ya sea TFR o de aquellas descritas anteriormente. Con excepción de los pagos remanentes por concepto de potencia que el cliente hubiese pactado con la empresa, el término de un acuerdo o convenio de TFR no deberá significar ningún tipo de costo o aporte de responsabilidad del cliente, ni podrá imponerse a este último una formalidad o condición para dicho término que sea más gravoso que las formalidades o condiciones que se le exigieron al momento de la elección de la TFR a la que está dando término.
La concesionaria podrá dejar de ofrecer una tarifa TFR, en cuyo caso deberá dar aviso a los clientes acogidos a esa tarifa al menos doce meses antes, entregando al cliente las facilidades para optar a otra tarifa TFR o a la tarifa regulada que el cliente libremente escoja. En caso de que el cliente no manifieste su opción u opte por mantener la tarifa TFR que la concesionaria deje de ofrecer, la concesionaria deberá facturar sus consumos con dicha opción tarifaria flexible que ha dejado de ser ofrecida.
Sin perjuicio de lo anterior, en el caso de aquellos clientes que opten por una tarifa TFR a contar de la fecha de publicación del decreto tarifario que fija las fórmulas tarifarias para el cuadrienio noviembre 2020–noviembre 2024, si la concesionaria deja de ofrecer dicha tarifa TFR, transcurridos los doce meses de aviso, los clientes acogidos a dicha opción tarifaria podrán optar a otra tarifa TFR o a la tarifa regulada que libremente escojan. En caso de que un cliente no manifieste su opción, se le aplicará la opción tarifaria de referencia asociada a la tarifa TFR que se deja de ofrecer.
Sin perjuicio de que alguna TFR deje de ofrecerse, sus características y condiciones de aplicación deberán permanecer publicadas tanto en oficinas comerciales como en el sitio de dominio electrónico de la empresa mientras existan clientes facturados con dicha tarifa, señalando expresamente la fecha a partir de la cual dicha opción no se encuentre disponible.
13. Opción de reconocimiento horario de costos asociados al suministro eléctrico
Sin perjuicio de las opciones tarifarias señaladas precedentemente, los suministros que cuenten con medidor con resolución cada 15 minutos o inferior y memoria masa para el registro de energía, de la demanda máxima de potencia en horas de punta y demanda máxima de potencia suministrada, podrán optar al pago por su aporte conjunto de potencia a la demanda máxima en horas de punta de la empresa distribuidora bajo las siguientes condiciones:
1. La medición de los clientes deberá ser realizada con medidor sincronizado con los sistemas de registro y medida de la empresa distribuidora.
2. La empresa distribuidora deberá:
a. Tener instalado y operativo, en la cabecera del alimentador, el equipamiento de medida señalado en la normativa técnica correspondiente;
b. Poner a disposición del conjunto de clientes señalados los registros de potencia del alimentador en intervalos de, al menos, 15 minutos.
La implementación de este mecanismo en ningún caso constituirá una nueva opción tarifaria.
13.1 Determinación del aporte a la demanda máxima en horas de punta de la empresa distribuidora
El aporte a la demanda máxima en horas de punta de la empresa distribuidora corresponderá al promedio del aporte de la demanda del cliente para cada una de las horas que hayan determinado la demanda máxima en horas de punta de la empresa distribuidora, conforme se establezca en el decreto de precios de nudo de corto plazo que se encuentre vigente al momento de la facturación.
Para cada una de dichas horas, el aporte de la demanda del cliente corresponderá a la medición de su demanda en el mismo pulso que determina la respectiva demanda de compra de la distribuidora, de conformidad a lo que instruya la Superintendencia de Electricidad y Combustibles (en adelante "Superintendencia"), previo informe de la Comisión sobre la materia.
Para el caso de los clientes que al hacer uso de la presente opción de reconocimiento horario no cuenten con registros de medición horaria de los últimos doce meses, los registros faltantes hasta completarlos se deberán considerar como iguales al promedio de los registros en horas de punta existentes.
13.2 Valor del aporte a la demanda máxima en horas de punta de la empresa distribuidora
El aporte del cliente a los pagos por concepto de compra de potencia de la empresa distribuidora destinada al suministro de clientes regulados estará dado por la multiplicación del aporte señalado en el numeral precedente, en kW, el precio de nudo de potencia a nivel de distribución (Pp), en $/kW/mes, y los respectivos factores de expansión de pérdidas. Para los clientes suministrados en baja tensión, dicho factor de pérdidas corresponderá a la multiplicación de los factores PPAT y PPBT. Para los clientes suministrados en alta tensión, dicho factor será PPAT.
Consistentemente, para los clientes que hayan optado a este mecanismo, el resultado de la multiplicación del párrafo precedente corresponderá al cargo por compras de potencia [$/kW/mes], descrito en el Anexo N° 2 del presente informe técnico. Con todo, una vez determinado el aporte del cliente a los pagos por concepto de compra de potencia de la empresa distribuidora destinada al suministro de clientes regulados, esta deberá abonar o cargar, según corresponda, las diferencias respecto a lo que el cliente hubiere pagado mensualmente por compras de potencia de acuerdo con su opción tarifaria.
Los clientes que opten por la opción de reconocimiento horario deberán permanecer por un período mínimo de doce meses en este régimen.
Las diferencias que resulten de la aplicación de la opción señalada en el presente numeral serán resueltas por la Superintendencia.
14. Parámetros de las fórmulas tarifarias
14.1 Precios de nudo de energía y potencia
Los precios Pe ($/kWh) y Pp ($/kW/mes) corresponden directamente a los precios de nudo de energía y potencia a nivel de distribución, respectivamente, aplicables a cada concesionario y sector de nudo, conforme a lo establecido en los decretos de precios de nudo promedio vigentes.
Por su parte, el precio PNPP ($/kW/mes) corresponde al precio de nudo de la potencia de punta promedio de la concesionaria, en [$/kW/mes] establecido en los decretos referidos en el párrafo anterior, el cual aplica solamente a la tarifa BT1b.
14.2 Cargo por servicio público
Corresponde al cargo por servicio público al que se refiere el artículo 212°-13 de la Ley. Se expresa en $/kWh.
14.3 Cargo por uso del sistema de transmisión
Cargo por uso del Sistema de Transmisión al que se refieren los artículos 99° bis, 115° y 116° de la Ley. Asimismo, este cargo comprenderá los cargos que se determinen según las reglas establecidas en las disposiciones transitorias de la Ley N° 20.936. Se expresa en $/kWh.
14.4 Factores de expansión de pérdidas
Conforme a los parámetros presentados en el capítulo I, los factores de expansión de pérdidas se establecen de la siguiente forma:

De esta forma, los factores de expansión de pérdida son los siguientes:


14.5 Cargos fijos
Los cargos fijos aplicables a clientes se determinan de la siguiente forma:
a) Medidor de energía

b) Medidor de energía y medidor de demanda

c) Medidor de energía y medidor con resolución cada 15 minutos o inferior

d) Unidad de medida del SMMC



Finalmente, los CFEo, CFDo, CFEo y CFUo corresponden a aquellos del año base de la presente fijación (2019) y se presentan a continuación:

14.6 Costos de distribución
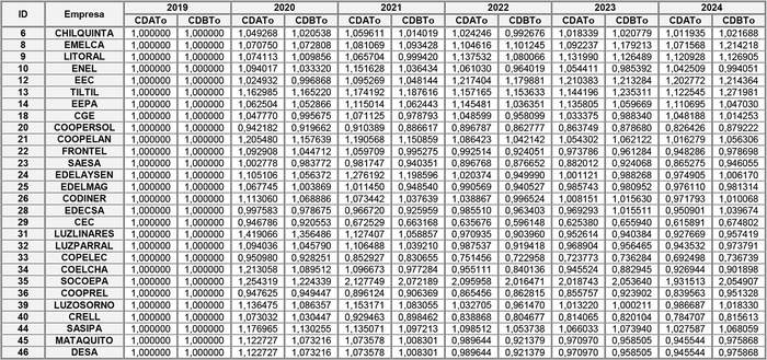
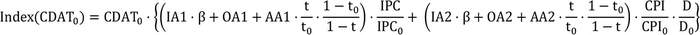
Los costos de distribución en alta y baja tensión, CDAT y CDBT, respectivamente, corresponden a las variables que otorgan el nivel tarifario de distribución propiamente tal, quedando determinados en función de los valores agregados de distribución para cada ATD. Estos costos se determinan en función de las siguientes expresiones:

__________________
(8) Ley 20.928 que establece mecanismos de equidad tarifaria.
(9) El inciso primero del artículo 185° de la Ley General de Servicios Eléctricos, establece que "[l]a estructuración de las tarifas deberá efectuarse de modo tal que reflejen los costos que dan origen al valor agregado de distribución resultante del proceso de tarificación. El cumplimiento de la condición señalada deberá explicitarse junto con la propuesta de fórmulas tarifarias a que se refiere el artículo 183 bis".
Los costos de distribución CDAT y CDBT se establecen mediante la utilización de las respectivas fórmulas de indexación señaladas en el numeral 1 del capítulo VII, las que se aplican directamente sobre los valores base CDAT y CDBT, respectivamente.
Finalmente, los parámetros CDATo y CDBTo se obtienen a partir de los resultados expuestos en el numeral 2 del capítulo II del presente informe técnico, para el año base de la presente fijación (2019), de acuerdo a las siguientes expresiones:

De esta forma, los parámetros resultantes se muestran a continuación:

14.7 Factores de asignación de costos sectorizados
Como se indicó en los puntos 14.5 y 14.6 de este capítulo, los niveles tarifarios dados por las ATD a las cuales fueron asignadas las empresas concesionarias han sido sectorizados, con la finalidad de dar cumplimiento a lo establecido en el artículo 185º de la Ley, y así reconocer la diversidad de costos unitarios al interior de la zona de concesión.
Manteniendo el nivel tarifario general dado por el ATD correspondiente al presente proceso de fijación tarifaria, los costos de distribución se sectorizaron a nivel comunal, valores que se muestran en el Anexo Nº1. Los factores de asignación de costos sectorizados FSTCD corresponden a coeficientes adimensionales que multiplican a los costos de distribución.
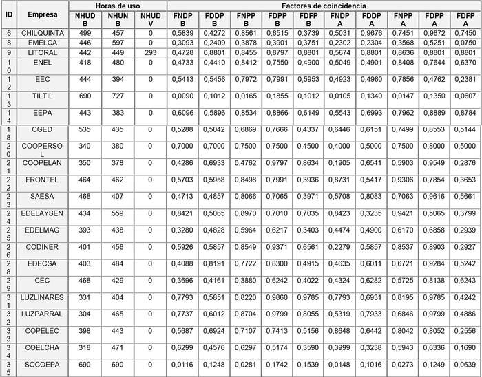
14.8 Horas de uso y factores de coincidencia
Los parámetros horas de uso y factores de coincidencia que forman parte de las fórmulas presentadas en el punto 1 de este capítulo, son los siguientes:


Por cada empresa concesionaria, los valores de horas de uso y factores de coincidencia para el año base de la presente fijación y para cada uno de los años del horizonte de tarificación, se calculan para dar cumplimiento a lo que se señala en los párrafos siguientes.
Los factores de coincidencia y horas de uso coincidentes asociados a la punta del sistema de distribución:
. Para las empresas de referencia de cada una de las ATD, estos se calculan de modo que, al aplicar la estructura tarifaria propuesta en el presente informe técnico a los suministros realizados por la empresa a través de sus instalaciones de distribución en el año base de la presente fijación, se reflejen los costos que dan origen al valor agregado de distribución resultante del proceso de tarificación, de conformidad con lo establecido en el inciso primero del artículo 185° de la Ley General de Servicios Eléctricos.
. Para el resto de las empresas concesionarias, las horas de uso y los factores de coincidencia fueron obtenidos de modo de reflejar, para el año base, la demanda máxima medida al ingreso del sistema de distribución, descontada por un porcentaje calculado sobre la base de la diferencia entre las pérdidas eficientes y las pérdidas reales de energía en el sistema de distribución.
Por otra parte, los factores de coincidencia y horas de uso coincidentes con la punta del sistema se calculan de manera de que permitan reflejar, para el año base, la demanda de facturación en horas de punta, calculada mensualmente como el promedio de las 52 demandas máximas leídas en horas de punta, en los últimos 12 meses, incluido el mes que se factura. Lo anterior se determina en base a los antecedentes entregados por las empresas distribuidoras en respuesta al Oficio Ordinario N° 457 de 2021, de la Comisión Nacional de Energía, respecto de la demanda registrada en el punto de ingreso al sistema de distribución.


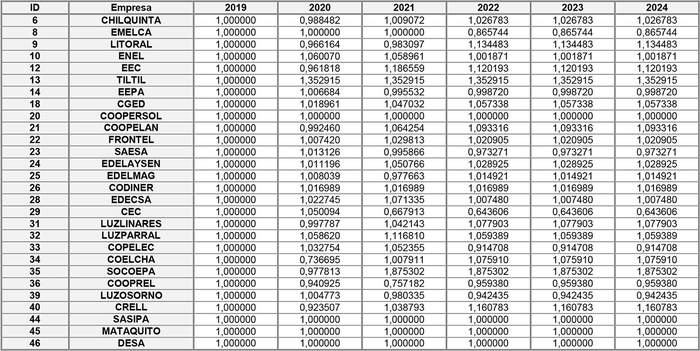
14.9 Factor de ajuste de los costos de distribución y de los cargos fijos
Con el objetivo de dar cuenta de la evolución del nivel tarifario a través de los años del horizonte de tarificación y de dar cumplimiento a lo establecido en el inciso primero del artículo 185° de la Ley General de Servicios Eléctricos, se definen factores de ajuste a los costos de distribución y cargos fijos base, definidos en los numerales 14.5 y 14.6.
Para las empresas de referencia de cada ATD, la definición de dichos factores se efectúa de modo que las tarifas resultantes reflejen los costos que dan origen al valor agregado de distribución resultante del proceso de tarificación. El cumplimiento de esta condición se explicita en el capítulo IV del presente informe técnico, y se verifica para el año base y para los años 2020, 2021 y 2022. Lo anterior, en consistencia con la información disponible de suministros efectuados por las concesionarias a través de sus instalaciones de distribución, obtenidas a partir de:
. Antecedentes presentados por las empresas distribuidoras a la Superintendencia para los años 2019 y 2020, a través del proceso de Ingresos de Explotación.
. Antecedentes informados a la Comisión en respuesta al Oficio Ordinario N° 274 de 2023 de la misma Comisión Nacional de Energía, para los años 2021 y 2022.
. Para los años 2023 y 2024, el nivel tarifario se ajusta de modo de representar la evolución de los costos de distribución medios y cargos fijos unitarios resultantes del Informe Técnico Definitivo para el cálculo del Valor Agregado de Distribución, cuadrienio 2020-2024(10).
Para las empresas concesionarias que no son de referencia en el presente proceso de fijación tarifaria, el factor de ajuste de los costos de distribución se define de modo tal que, en conjunto con la aplicación de los factores de coincidencia y horas de uso definidas en el numeral 14.8, permitan reflejar la demanda máxima medida al ingreso del sistema de distribución, obtenida según se señala en el numeral 14.8, para el año base y para los años 2020, 2021 y 2022. Lo anterior en consistencia con los antecedentes de demanda al ingreso del sistema de distribución que fueron informados por las concesionarias en respuesta al Oficio Ordinario N° 457 de 2021 y al Oficio Ordinario N° 274 de 2023, ambos de la Comisión Nacional de Energía.
En virtud de lo anteriormente señalado, se deberán incorporar al nivel tarifario los siguientes factores de ajuste anuales, que multiplican a los costos de distribución y a los cargos fijos, según corresponda.
Factor de ajuste de los costos de distribución (FACD)

______________
(10) Informe aprobado mediante Resolución Exenta N° 465, de 5 de octubre de 2023, de la Comisión Nacional de Energía.
. 14.10 Factor de ajuste de las compras de potencia
De acuerdo con lo señalado en 14.8, los factores de coincidencia y horas de uso coincidentes con la punta del sistema se calculan de manera que permitan reflejar, para el año base, la demanda de facturación en horas de punta, calculada mensualmente como el promedio de las 52 demandas máximas leídas en horas de punta, en los últimos 12 meses, incluido el mes que se factura. Lo anterior, en base a los antecedentes entregados por las empresas distribuidoras en respuesta al Oficio Ordinario N° 457 de 2021, de la Comisión Nacional de Energía, respecto de la demanda registrada en el punto de ingreso al sistema de distribución.
Para los años 2020, 2021 y 2022, para efectos de reflejar en las fórmulas tarifarias del presente informe técnico la demanda de facturación en horas de punta que realiza la empresa distribuidora, se incorpora el Factor de Ajuste de las Compras de Potencia (FACP).
Dicho factor se obtuvo empleando los antecedentes entregados por las empresas concesionarias en respuesta al Oficio Ordinario N° 457 de 2021 y Oficio Ordinario N° 274 de 2023, ambos de la Comisión Nacional de Energía, respecto de la demanda registrada en el punto de ingreso al sistema de distribución. Sobre la base de dicha información, y utilizando los antecedentes de los suministros efectuados por las empresas desde sus instalaciones de distribución a clientes regulados, clientes libres y a otras distribuidoras, aportados a través del proceso de Ingresos de Explotación llevado a cabo por la Superintendencia y en respuesta al Oficio Ordinario N° 274 de 2023 de la Comisión Nacional de Energía, se definieron los siguientes factores de ajuste a incorporar en las fórmulas tarifarias, multiplicando a los factores de coincidencia y horas de uso coincidentes con la punta del sistema definidos en 14.8.
Factor de ajuste de las compras de potencia (FACP)

14.11 Factores de modulación de costos subterráneos
En orden a reconocer el mayor costo que significa el abastecimiento efectuado mediante instalaciones o redes subterráneas, se mantuvo lo señalado en el Decreto Nº 11T, en cuanto a distinguir un tipo de tarifa aplicable a clientes suministrados con este tipo de instalaciones. De esta forma, se conservaron las condiciones de tipificación o caracterización de clientes con suministro a través de instalaciones subterráneas establecidas en dicho decreto, distinguiendo el tipo de alimentación aérea o subterránea que reciben en alta y/o baja tensión. La aplicación se definió para dos situaciones: clientes con suministro subterráneo a la fecha de publicación del decreto tarifario correspondiente al periodo 2020-2024, abastecidos desde instaladas subterráneas existentes, y clientes abastecidos por nuevas instalaciones subterráneas, habilitadas con posterioridad al referido decreto, producto de nuevos desarrollos inmobiliarios y/o de la imposición de regulaciones municipales.
En el caso de las instalaciones subterráneas existentes, los factores se determinaron solo para aquellas empresas que cuentan actualmente con suministros subterráneos.
En base a lo expuesto, los factores de modulación de costos subterráneos determinados que deberán multiplicar a los factores de asignación de costos sectorizados (FSTCD), que conforman las correspondientes tarifas, son los siguientes:
a) Factores para suministros actuales

Particularmente, para aquellas empresas concesionarias que a la fecha de entrada en vigencia del decreto tarifario del periodo 2020-2024 contaban con suministros subterráneos y no se encuentran individualizadas en la tabla anterior, se deberán aplicar los factores de determinados para el Caso 1 de la letra b) siguiente.
b) Factores para clientes asociados a suministros futuros
Caso 1: Para aquellas empresas concesionarias que a la fecha de publicación del decreto tarifario del periodo 2020-2024 no contaban con suministros subterráneos, se deberán considerar los siguientes factores dependiendo del área típica en la cual fue clasificada la empresa.

Caso 2: Para aquellas empresas concesionarias que a la fecha de publicación del decreto tarifario del periodo 2020-2024 contaban con suministros subterráneos, se deberán considerar los factores indicados en la letra a) de este punto.

IV. Cumplimiento de la Condición Señalada en el Inciso Primero del Artículo 185° de la LGSE
De acuerdo con lo que se establece en el inciso primero del artículo 185° de la Ley, la estructuración de las tarifas deberá efectuarse de modo que reflejen los costos que dan origen al valor agregado de distribución resultante del proceso de tarificación.
Para determinar dichos costos, para la empresa modelo asociada a cada ATD se obtienen las componentes de costo definidas en el artículo 182 de la Ley General de Servicios Eléctricos de la presente fijación, a saber:
. Costos fijos por concepto de gastos de administración, facturación y atención del usuario, independientes del consumo;
. Costos estándares de inversión, mantención y operación asociados a la distribución, por unidad de potencia suministrada.
Dichas componentes se encuentran dimensionadas en la Resolución Exenta N° 465 de 2023 de la Comisión Nacional de Energía, que aprueba el Informe Técnico Definitivo para el Cálculo del Valor Agregado de Distribución para el cuadrienio noviembre 2020 – noviembre 2024. En específico, en el capítulo 3. "RESULTADOS POR CATEGORÍA DE COSTOS", y corresponden a:
. Categoría A. Costos de inversión y ajuste por efectos del impuesto a la renta;
. Categoría B. Costos de operación y mantenimiento; y,
. Categoría C. Costos fijos independientes del consumo.
Por otro lado, y a partir de la información de los suministros efectuados por las empresas desde sus instalaciones de distribución a clientes regulados, otras distribuidoras, libres propios o de terceros, aportados a través del proceso de Ingresos de Explotación que lleva a cabo la Superintendencia, y como respuesta al Oficio Ordinario N° 274 de 2023 de la Comisión Nacional de Energía, se han calculado los ingresos que percibirían las concesionarias por concepto de costos de distribución y cargos fijos para los años 2019, 2020, 2021 y 2022, si a aquellos suministros se les aplicaran las tarifas dispuestas en el presente informe técnico. Dichos ingresos se presentan en la tabla siguiente como "Ingresos CD", que corresponden a aquellos asociados a los costos de distribución "CDAT" y "CDBT", y como "Ingresos CF", que corresponden a los ingresos por concepto de aplicación de los cargos fijos "CFES", "CFDS", "CFHS" y "CFUS".
Como resultado de lo anterior es posible verificar que, para cada uno de los años antes señalados, los ingresos resultantes de aplicar las estructuras y fórmulas tarifarias establecidas en el presente informe técnico equivalen a los costos que dan origen al Valor Agregado de Distribución, determinados en la Resolución Exenta N° 465 de 2023 de la Comisión Nacional de Energía. La tabla siguiente detalla el cumplimiento de la condición señalada:

V. Saldos de Estabilización Ley N° 21.194
De conformidad con lo establecido en el artículo decimotercero transitorio de la ley N° 21.194, los niveles de precios asociados al valor agregado por concepto de costos de distribución que estén siendo aplicados o las tarifas inferiores a las tarifas máximas que se estén facturando, ambas a la fecha de publicación de dicha ley, permanecerán constantes en pesos hasta el término de su vigencia. Cabe señalar que, al momento de publicación de la ley N° 21.194, las tarifas vigentes correspondían a aquellas establecidas para el cuatrienio noviembre 2016–noviembre 2020, definidas en el decreto 11T de 2016.
Luego, el mismo artículo señala que los saldos que resulten de la aplicación de lo anterior deberán ser actualizados únicamente por el IPC e incorporados a las tarifas resultantes de los siguientes procesos de tarificación de los suministros a clientes regulados realizados por las empresas concesionarias de servicio público de distribución. Lo anterior, sujeto a que la cuenta promedio nacional a cliente residencial, calculada sobre la base de un consumo tipo, no experimente un alza. Con todo, la totalidad de los saldos generados deberán incorporarse, como máximo, dentro de los dos períodos tarifarios asociados a los suministros a clientes regulados realizados por las empresas concesionarias de servicio público de distribución cuatrienales siguientes. En particular, los procesos tarifarios cuatrienales a los que se refiere la ley N° 21.194 corresponden al cuatrienio noviembre 2020–noviembre 2024 (materia del presente informe técnico), y al cuatrienio noviembre 2024–noviembre 2028.
De conformidad con lo establecido en el artículo decimotercero transitorio de la ley N° 21.194, la Comisión, a través de Resolución Exenta N° 406 de 29 de octubre de 2020, estableció las disposiciones necesarias para la aplicación de lo señalado en el párrafo precedente.
Así, dando cumplimiento al procedimiento establecido en la señalada resolución, el Coordinador Eléctrico Nacional calculó los saldos resultantes de lo señalado en el artículo decimotercero transitorio de la ley N° 21.194. Los montos por empresa distribuidora se muestran en la tabla siguiente(11), y se presentan en pesos chilenos a noviembre de 2020.

____________________
(11) Los saldos asociados a las empresas Emelari, Eqlisa, Elecda, Emelat y Conafe se incorporaron junto con aquellos correspondientes a la empresa CGE.
Conforme lo establecido en el artículo decimotercero transitorio de la ley N° 21.194 y en el artículo 14 de la Resolución Exenta N° 406 de 2020, previo a incorporar dichos saldos a las tarifas resultantes del proceso de tarificación, corresponde a la Comisión verificar que la cuenta promedio nacional a cliente residencial, calculada sobre la base de un consumo tipo, no experimente un alza respecto de las tarifas vigentes al momento de realizar el cálculo. Dicha cuenta tipo se basa en: i) la estructura tarifaria vigente al momento de elaboración del presente informe técnico, y ii) la estructura tarifaria asociada al proceso tarifario del cuatrienio noviembre 2020–noviembre 2024, es decir, aquella propuesta en el presente informe técnico.
La cuenta tipo anteriormente señalada se calculó sobre la base de las tarifas aplicables a clientes residenciales vigentes (definidas en el Decreto 11T de 2016) y aquellas definidas en el numeral 1 del capítulo III del presente informe técnico, con las siguientes consideraciones:
- Se utilizó un consumo tipo de 180 kWh.
- Se empleó la información de los suministros efectuados por las empresas concesionarias a clientes regulados residenciales, a través de sus instalaciones de distribución, informada como respuesta al Oficio Ordinario N° 239 de 2021 de la Comisión Nacional de Energía.
- A dichos suministros, desagregados a nivel de comuna y opción tarifaria, se les aplicaron las fórmulas tarifarias que correspondan, sobre la base del consumo tipo ya señalado.
- Así, con los parámetros establecidos en el Decreto 11T de 2016 del Ministerio de Energía vigentes al momento de la elaboración del presente informe técnico, se calcularon los cargos por energía y potencia, por servicio público, por uso del sistema transmisión, cargos fijos y cargos de distribución que corresponde pagar a los clientes residenciales al momento de elaboración del presente informe técnico(12). Con las componentes anteriormente calculadas, se obtiene la cuenta tipo promedio por comuna y opción tarifaria para las tarifas vigentes.
- En base a la misma información de consumos, utilizando los parámetros establecidos en el numeral 14 del capítulo III, se calcularon los cargos por energía y potencia, por servicio público, por uso del sistema transmisión, cargos fijos y cargos de distribución que correspondería pagar si las tarifas propuestas se aplicaran a la fecha de elaboración del presente Informe Técnico(13). Con las componentes anteriormente calculadas se obtiene la cuenta tipo promedio por comuna y opción tarifaria para las tarifas propuestas.
- Las cuentas tipo promedio anteriormente obtenidas se ponderan según la energía correspondiente a cada comuna y opción tarifaria en relación con la energía total, de modo de obtener el promedio ponderado a nivel nacional.
Los resultados de la aplicación de lo señalado en los puntos anteriores arroja que la cuenta tipo promedio a nivel nacional que se obtendría aplicando las tarifas propuestas en el presente informe técnico, a su fecha de publicación, experimentan un alza del 6,8% respecto de las tarifas vigentes.
En consecuencia, no corresponde la incorporación de los saldos resultantes de la aplicación del artículo decimotercero transitorio de la ley N° 21.194, los cuales deberán ser incorporados en las tarifas de proceso tarifario cuatrienal noviembre 2024–noviembre 2028.
VI. Verificación de Rentabilidad de la Industria
Conforme se establece en el artículo 185º de la Ley, con las tarifas básicas preliminares determinadas en el presente informe técnico se procedió a verificar la rentabilidad de la industria después de impuestos. Así, en cumplimiento con el procedimiento establecido en la Ley, se emplearon las siguientes fuentes de información:
a) Valor Nuevo de Reemplazo para las instalaciones de distribución existentes al 31 de diciembre de 2018, fijado por la Superintendencia y dirimido ante el Panel de Expertos, conforme a la siguiente desagregación:
- Alta tensión;
- Subestaciones de distribución;
- Baja tensión;
_________________
(12) Las tarifas por concepto de Valor Agregado de Distribución, de conformidad con lo establecido en la ley N° 21.194, se encuentran constantes en pesos chilenos a contar de la fecha de publicación de dicha ley y hasta el término de su vigencia.
(13) Para efectos de dicho cálculo, los cargos por concepto de Valor Agregado de Distribución se han indexado a noviembre de 2023, según las fórmulas establecidas en el capítulo VII.
- Empalmes y Medidores;
- Bienes muebles e inmuebles;
- Bienes intangibles; y
- Capital de explotación.
b) Costos de explotación correspondientes al año 2019, fijados por la Superintendencia, y dirimidos ante el Panel de Expertos, conforme a la siguiente desagregación:
- Compras de energía;
- Compras por demanda en punta;
- Compras por demanda fuera de punta;
- Recargos por mal factor de potencia;
- Costos asociados a la compra de energía y potencia;
- Distribución AT;
- Distribución BT;
- Atención clientes;
- Gastos en empalmes incluido en chequeo;
- Desconexión y reconexión de servicios; y
- Gastos en equipos de medida incluido en chequeo.
Conforme a lo anterior, los valores considerados en el chequeo de rentabilidad se componen de la siguiente forma:
a) Valor Nuevo de Reemplazo (VNR 2018), en pesos al 31 de diciembre de 2019:

b) Costos de explotación (CExp2019), en pesos al 31 de diciembre de 2019


c) Ingresos de explotación (IExp2019), en pesos al 31 de diciembre de 2019
Con las estructuras y parámetros tarifarios definidos en el presente informe técnico se establecen los ingresos de explotación que las empresas concesionarias hubieran percibido durante el ejercicio del año anterior al de la fijación (2019). Estos ingresos se obtienen como resultado de aplicar las fórmulas tarifarias establecidas en el presente informe técnico a la totalidad de los suministros efectuados por las empresas desde sus instalaciones de distribución a clientes regulados, clientes libres y a otras distribuidoras(14).
De esta forma los ingresos de explotación considerados en el chequeo de rentabilidad son los siguientes:
. Ingresos por ventas reguladas en alta tensión de distribución.
. Ingresos por ventas reguladas en baja tensión de distribución.
. Ingresos por ventas a otras distribuidoras en nivel de distribución.
. Ingresos por ventas a clientes libres en nivel de distribución valorizados a tarifa regulada.
. Ingresos por ventas a clientes por peajes de distribución.
. Ingresos por servicios del artículo 193° de la Ley.
Conforme lo señalado, los ingresos resultantes, en $ del 31 de diciembre de 2019 son los siguientes:

_________________
(14) Los ingresos se determinan con independencia del aporte de terceros a que se refiere el artículo 186º de la Ley.

No se realizó el cálculo de los ingresos de las empresas Emelca, Coopersol, Sasipa, Mataquito y DESA, puesto que no se contó con los antecedentes de ventas físicas realizadas a través de sus instalaciones de distribución, para el año 2019.
d) Impuesto a la renta
Para efectos de calcular la rentabilidad de la industria después de impuestos de conformidad con lo establecido en el artículo 185° de la Ley General de Servicios Eléctricos, se utiliza una tasa de impuesto a la renta del 27% y se considera que el capital se deprecia conforme a la vida útil tributaria (SII) promedio del VNR de todas las instalaciones.
e) Verificación de rentabilidad de la industria
Considerando lo señalado en el punto precedente, se efectúa la verificación de rentabilidad del conjunto agregado de instalaciones de distribución de las empresas concesionarias a que se refiere el artículo 185º de la Ley, considerando los siguientes valores agregados de la industria expresados en pesos del 31 de diciembre de 2019:

De este modo, considerando que las empresas presentan durante 30 años los ingresos y costos señalados en forma constante, y considerando un valor residual nulo para las instalaciones, se obtiene la siguiente tasa de rentabilidad económica agregada de la industria, después de impuestos:

Por lo tanto, como la tasa no difiere en más de dos puntos al alza y tres puntos a la baja del 6% establecido para el presente proceso tarifario, los valores agregados que dan origen a los ingresos deben ser aceptados(15).
Adicionalmente, se procedió a calcular a través de la misma metodología, la rentabilidad de la industria para los años 2020, 2021 y 2022. Para ello, se utilizaron las fuentes de información antes indicadas para cada año de evaluación, con excepción del VNR, el cual corresponde a aquel resultante de aplicar las Adiciones y Retiros fijadas por la Superintendencia anualmente, e informadas a la Comisión a través de Oficio Ordinario N° 199.837 del 15 de noviembre de 2023. Asimismo, para los costos de explotación del año 2022 se consideraron aquellos presentados por las empresas concesionarias, puesto que a la fecha de emisión del presente informe técnico estos no han sido fijados por la Superintendencia.
_____________________
(15) Respecto a la verificación de rentabilidad efectuada, cabe señalar que no han sido considerados en ella ni los ingresos por aplicación de recargos por mal factor de potencia, ni los costos derivados de pagos por consumo reactivo de las distribuidoras al segmento aguas arriba, habida cuenta de de que la forma de determinar los pagos por este concepto, efectuados tanto por los clientes a las distribuidoras como por las distribuidoras al segmento generación, se establecerán periódicamente a través de los decretos de precios de nudo, dando origen a un margen de operación que a partir de esta fijación no se regula a través de esta verificación de rentabilidad.
De este modo, se obtuvo que la rentabilidad de la industria es aquella que se muestra a continuación, cumpliéndose lo establecido en el artículo 187° de la Ley General de Servicios Eléctricos, es decir, que esta no difiera en más de cinco puntos de la tasa de actualización del proceso tarifario.
- Año 2020: 6,48%
- Año 2021: 5,22%
- Año 2022: 3,61%(16)
VII. Otros Parámetros a Considerar en el Decreto Tarifario
Efectuada la verificación de rentabilidad, corresponde determinar el resto de los parámetros tarifarios a incluir en el decreto correspondiente:
. Fórmulas de indexación, coeficientes e indicadores.
. Factor de corrección por aportes de terceros.
1. Coeficientes y fórmulas de indexación
Según se establece en el artículo 187º de la Ley, los valores agregados deben expresarse en términos tales que permitan su indexación con los índices de precio de los principales insumos de la distribución. Estos se obtienen a partir de lo establecido en la Resolución Exenta N° 465 de 2023, que aprueba el Informe Técnico Definitivo para el Cálculo de las Componentes del Valor Agregado de Distribución, cuadrienio 2020 – 2024.
a) Indexadores definidos
. IPC: Índice de Precios al Consumidor, índice general, publicado por el Instituto Nacional de Estadísticas de Chile, correspondiente al segundo mes anterior a aquel mes en que las tarifas resultantes serán aplicadas.
. CPI: Consumer Price Index (All Urban Consumers), publicado por el Bureau of Labor Statistics del Gobierno de los Estados Unidos de América (Código BLS: CUUR0000SA0), correspondiente al segundo mes anterior a aquel mes en que las tarifas resultantes serán aplicadas.
. D: tipo de cambio observado para el dólar de los Estados Unidos de Norteamérica, publicado por el Banco Central de Chile, "Dólar Observado", correspondiente al valor promedio del segundo mes anterior a aquel en que las tarifas serán aplicadas.
Concordantemente con lo anterior, se han determinado los valores base que se muestran en la tabla siguiente:

b) Fórmulas de indexación
En las siguientes fórmulas de indexación los parámetros denominados IA, OA, AA, IB, OB y AB corresponden a las proporciones de costos asociadas a cada indicador de inversión y operación en alta y baja tensión, respectivamente. En base a lo anterior, se definen las siguientes fórmulas de indexación asociadas a los costos de distribución:
Costos de distribución en AT (CDAT)

_______________________
(16) La rentabilidad de la industria para el año 2022 fue calculada con los Costos de Explotación presentados por las empresas a la Superintendencia durante el proceso de Fijación 2022. Es importante destacar que este valor es preliminar y está sujeto a la fijación por parte de la Superintendencia.
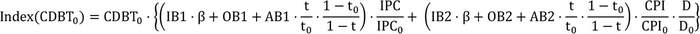
Costos de distribución en BT (CDBT)

En estas fórmulas, los costos de distribución quedan expresados a través del tiempo en función de indexadores corrientes, indexadores base y costos de distribución base (CDATo y CDBTo), expresados en pesos al 31 de diciembre de 2019.
Por si parte, se plantean las fórmulas de indexación asociadas a los cargos fijos, las que quedan definidas de la siguiente manera:
Cargo fijo medidor de energía

Cargo fijo medidor de energía y medidor de demanda

Cargo fijo medidor de energía y medidor con resolución cada 15 minutos o inferior

Cargo fijo Unidad de Medida que es parte del SMMC


c) Indexadores y proporciones de costo en Costo de Distribución AT (CDAT)

d) Indexadores y proporciones de costo en Costo de Distribución BT (CDBT)

e) Indexadores y proporción del costo asociada a cargos fijos
Los cargos fijos se indexarán en un 100% por IPC.
2. Factor de corrección por aportes de terceros (ß)
De conformidad con lo establecido en el artículo 186° de la Ley, los valores agregados serán corregidos para cada empresa distribuidora de modo de descontarles la proporción del VNR de instalaciones aportadas por terceros que tengan en relación con el VNR de todas sus instalaciones de distribución. Al valor resultante se le adicionará la anualidad necesaria para renovar dichos aportes.
Para incorporar aquello, se emplea un factor aplicable a la componente de inversión de las fórmulas de indexación de los costos de distribución (ß), el cual se calcula sobre la base de la proporción de aportes de terceros informada por la Superintendencia a través de Oficio Ordinario Electrónico N° 85.416, de 7 de septiembre de 2021, asociada a las instalaciones al 31 de diciembre de 2019. Dicho factor se muestra en la tabla siguiente.

ANEXO Nº1
FACTORES DE ASIGNACIÓN DE COSTOS SECTORIZADOS (FACTOR DE ASIGNACIÓN DE VALORES AGREGADOS DE DISTRIBUCIÓN SECTORIZADOS "FSTCD")








El valor de los factores individualizados en la tabla anterior para nuevas combinaciones empresa-comuna equivaldrá a 1,0000.
ANEXO Nº2
CONDICIONES DE APLICACIÓN
DE LAS FÓRMULAS TARIFARIAS
1. OPCIONES TARIFARIAS
1.10. Tarifas residenciales:
Considera los siguientes casos:
. BT1a: Opción de tarifa simple en baja tensión para clientes residenciales con medidor simple de energía. Solo podrán optar a esta tarifa los clientes residenciales alimentados en baja tensión cuya potencia conectada sea inferior o igual a 10 kW o aquellos clientes que instalen un limitador de potencia para cumplir esta condición. Esta tarifa es aplicable a los clientes abastecidos por empresas cuya demanda máxima anual de consumo en esta opción se produce en meses en que se han definido horas de punta.
. BT1b: Opción de tarifa simple en baja tensión para clientes residenciales con medidor simple de energía. Solo podrán optar a esta tarifa los clientes residenciales alimentados en baja tensión cuya potencia conectada sea inferior o igual a 10 kW o aquellos clientes que instalen un limitador de potencia para cumplir esta condición. Esta tarifa es aplicable a los clientes abastecidos por empresas cuya demanda máxima anual de consumos en esta opción se produce en meses en que no se han definido horas de punta, y cuyo Factor de Clasificación, calculado según se indica más adelante, sea superior a 2,5.
. TRBT: Opción de tarifa en baja tensión para clientes residenciales con unidad de medida que es parte del Sistema de Medición, Monitoreo y Control (SMMC). Solo podrán optar a esta tarifa los clientes residenciales alimentados en baja tensión.
Se entenderá por demanda máxima leída del mes el más alto valor de las demandas integradas en períodos sucesivos de 15 minutos.
La demanda máxima de cada hora corresponderá al máximo valor de los registros que se encuentren dentro de esta.
. TRBT2: Opción de tarifa en baja tensión para clientes residenciales con medidor con resolución cada 15 minutos o inferior y memoria masa para el registro de energía, de la demanda máxima de potencia en horas de punta y demanda máxima de potencia suministrada. Solo podrán optar a esta tarifa los clientes residenciales alimentados en baja tensión cuya potencia conectada sea inferior o igual a 10 kW o aquellos clientes que instalen un limitador de potencia para cumplir esta condición.
Se entenderá por demanda máxima leída del mes el más alto valor de las demandas integradas en períodos sucesivos de 15 minutos.
La demanda máxima de cada hora corresponderá al máximo valor de los registros que se encuentren dentro de esta.
. TRBT3: Opción de tarifa en baja tensión para clientes residenciales con medidor con resolución cada 15 minutos o inferior y memoria masa para el registro de energía, de la demanda máxima de potencia en horas de punta y demanda máxima de potencia suministrada. Solo podrán optar a esta tarifa los clientes residenciales alimentados en baja tensión cuya potencia conectada sea mayor a 10 kW.
Se entenderá por demanda máxima leída del mes el más alto valor de las demandas integradas en períodos sucesivos de 15 minutos.
La demanda máxima de cada hora corresponderá al máximo valor de los registros que se encuentren dentro de esta.
. TRAT: Opción de tarifa en alta tensión para clientes residenciales con unidad de medida del Sistema de Medición, Monitoreo y Control. Solo podrán optar a esta tarifa los clientes residenciales alimentados en alta tensión.
Se entenderá por demanda máxima leída del mes el más alto valor de las demandas integradas en períodos sucesivos de 15 minutos.
La demanda máxima de cada hora corresponderá al máximo valor de los registros que se encuentren dentro de esta.
. TRAT1: Opción de tarifa en alta tensión para clientes residenciales con al menos medición de energía que cuentan con potencia conectada inferior o igual a 10 kW o con un limitador de potencia para cumplir con dicha condición.
. TRAT2: Opción de tarifa en alta tensión para clientes residenciales con medidor con resolución cada 15 minutos o inferior y memoria masa para el registro de energía, de la demanda máxima de potencia en horas de punta y demanda máxima de potencia suministrada. Solo podrán optar a esta tarifa los clientes residenciales alimentados en alta tensión cuya potencia conectada sea inferior o igual a 10 kW o aquellos clientes que instalen un limitador de potencia para cumplir esta condición.
Se entenderá por demanda máxima leída del mes el más alto valor de las demandas integradas en períodos sucesivos de 15 minutos.
La demanda máxima de cada hora corresponderá al máximo valor de los registros que se encuentren dentro de esta.
. TRAT3: Opción de tarifa en alta tensión para clientes residenciales con medidor con resolución cada 15 minutos o inferior y memoria masa para el registro de energía, de la demanda máxima de potencia en horas de punta y demanda máxima de potencia suministrada. Solo podrán optar a esta tarifa los clientes residenciales alimentados en baja tensión cuya potencia conectada sea mayor a 10 kW.
Se entenderá por demanda máxima leída del mes el más alto valor de las demandas integradas en períodos sucesivos de 15 minutos.
La demanda máxima de cada hora corresponderá al máximo valor de los registros que se encuentren dentro de esta.
Sólo podrán optar a las tarifas TRBT3 y TRAT3 los usuarios cuyo suministro esté destinado para el abastecimiento eléctrico de su domicilio o residencia y cuyo documento de cobro emitido por la respectiva empresa distribuidora se encuentre a nombre de una persona natural o sucesión hereditaria.
1.11. Tarifa BT2:
Opción de tarifa en baja tensión con potencia contratada para clientes con medidor simple de energía y potencia contratada.
Los clientes que decidan optar por la presente tarifa podrán contratar libremente una potencia máxima con la respectiva distribuidora, la que regirá por un plazo de doce meses. Durante dicho período, los consumidores no podrán disminuir ni aumentar su potencia contratada sin el acuerdo de la distribuidora. Al término de la vigencia de doce meses de la potencia contratada, los clientes podrán contratar una nueva potencia.
Los consumidores podrán utilizar la potencia contratada sin restricción en cualquier momento durante el período de vigencia de dicha potencia contratada.
La potencia contratada que solicite el cliente deberá ceñirse a las capacidades de limitadores disponibles en el mercado.
1.12. Tarifa BT3:
Opción de tarifa en baja tensión con demanda máxima leída para clientes con medidor simple de energía y demanda máxima leída.
Se entenderá por demanda máxima leída del mes el más alto valor de las demandas integradas en períodos sucesivos de 15 minutos.
La demanda máxima de cada hora corresponderá al máximo valor de los registros que se encuentren dentro de esta.
1.13. Tarifa BT4:
Opción de tarifa horaria en baja tensión para clientes con medidor simple de energía y demanda máxima contratada o leída, y demanda máxima contratada o leída en horas de punta del sistema eléctrico.
En esta opción existirán las siguientes tres modalidades de medición:
. BT4.1: Medición de la energía mensual total consumida y contratación de la demanda máxima de potencia en horas de punta y de la demanda máxima de potencia.
. BT4.2: Medición de la energía mensual total consumida y de la demanda máxima de potencia en horas de punta y contratación de la demanda máxima de potencia.
. BT4.3: Medición de la energía mensual total consumida, de la demanda máxima de potencia en horas de punta y de la demanda máxima de potencia suministrada.
La demanda máxima de potencia que contrate el cliente deberá ceñirse a las capacidades de limitadores disponibles en el mercado.
1.14. Tarifa BT5:
Opción tarifaria en baja tensión para suministros no residenciales con medidor con resolución cada 15 minutos o inferior y memoria masa para el registro de energía, de la demanda máxima de potencia en horas de punta y demanda máxima de potencia suministrada.
Se entenderá por demanda máxima leída del mes el más alto valor de las demandas integradas en períodos sucesivos de 15 minutos.
La demanda máxima de cada hora corresponderá al máximo valor de los registros que se encuentren dentro de esta.
1.15. Tarifa BT6:
Opción tarifaria en baja tensión para suministros no residenciales con unidad de medida que es parte del Sistema de Medición, Monitoreo y Control (SMMC).
Se entenderá por demanda máxima leída del mes, el más alto valor de las demandas integradas en períodos sucesivos de 15 minutos.
La demanda máxima de cada hora corresponderá al máximo valor de los registros que se encuentren dentro de ésta.
1.16. Tarifa AT2:
Opción de tarifa en alta tensión con potencia contratada, para clientes con medidor simple de energía y potencia contratada.
Los clientes que decidan optar por la presente tarifa podrán contratar libremente una potencia máxima con la respectiva distribuidora, la que regirá por un plazo de 12 meses. Durante dicho período los consumidores no podrán disminuir ni aumentar su potencia contratada sin el acuerdo de la distribuidora. Al término de la vigencia anual de la potencia contratada los clientes podrán contratar una nueva potencia.
Los consumidores podrán utilizar la potencia contratada sin restricción en cualquier momento durante el período de la vigencia de dicha potencia contratada.
La potencia contratada que solicite el cliente deberá ceñirse a las capacidades de limitadores disponibles en el mercado.
1.17. Tarifa AT3:
Opción de tarifa en alta tensión con demanda máxima leída, para clientes con medidor simple de energía y demanda máxima leída.
Se entenderá por demanda máxima del mes, el más alto valor de las demandas integradas en períodos sucesivos de 15 minutos.
La demanda máxima de cada hora corresponderá al máximo valor de los registros que se encuentren dentro de ésta.
1.18. Tarifa AT4:
Opción de tarifa horaria en alta tensión, para clientes con medidor simple de energía y demanda máxima contratada o leída, y demanda máxima contratada o leída en horas de punta del sistema eléctrico. En esta opción existirán las siguientes tres modalidades de medición:
. AT4.1: Medición de la energía mensual total consumida, y contratación de la demanda máxima de potencia en horas de punta y de la demanda máxima de potencia.
. AT4.2: Medición de la energía mensual total consumida y de la demanda máxima de potencia en horas de punta, y contratación de la demanda máxima de potencia.
. AT4.3: Medición de la energía mensual total consumida, de la demanda máxima de potencia en horas de punta y de la demanda máxima de potencia suministrada.
La demanda máxima de potencia que contrate el cliente, deberá ceñirse a las capacidades de limitadores disponibles en el mercado.
1.19. Tarifa AT5:
Opción tarifaria en alta tensión para suministros no residenciales con medidor con resolución cada 15 minutos o inferior y memoria masa para el registro de energía, de la demanda máxima de potencia en horas de punta, demanda máxima de potencia suministrada.
Se entenderá por demanda máxima leída del mes, el más alto valor de las demandas integradas en períodos sucesivos de 15 minutos.
La demanda máxima de cada hora corresponderá al máximo valor de los registros que se encuentren dentro de ésta.
1.20. Tarifa AT6:
Opción tarifaria en alta tensión para suministros no residenciales con unidad de medida que es parte del Sistema de Medición, Monitoreo y Control (SMMC).
Se entenderá por demanda máxima leída del mes el más alto valor de las demandas integradas en períodos sucesivos de 15 minutos.
La demanda máxima de cada hora corresponderá al máximo valor de los registros que se encuentren dentro de esta.
2. Cargos Tarifarios
2.1. Tarifa BT1a y TRAT1
Las tarifas BT1a y TRAT1 comprenderán los siguientes cargos que se sumarán en la boleta, cuando corresponda:
a) Cargo fijo mensual
b) Cargo por uso del Sistema de Transmisión
c) Cargo por Servicio Público
d) Cargo por energía
e) Cargo por compras de potencia
f) Cargo por potencia base en su componente de distribución
El cargo fijo mensual es independiente del consumo y se aplica incluso si este es nulo.
Las componentes del cargo por uso del Sistema de Transmisión y del cargo por Servicio Público se determinarán en proporción a los consumos de energía, conforme se establezca en la normativa correspondiente. Tanto el cargo por uso del Sistema de Transmisión como el Cargo por Servicio Público se determinarán multiplicando el consumo de energía mensual, en kWh, por el valor de la componente correspondiente.
El cargo por uso del Sistema de Transmisión comprenderá los cargos únicos por uso de las instalaciones de transmisión nacional; zonal; para polos de desarrollo de generación eléctrica; de las instalaciones de transmisión dedicada utilizada por parte de usuarios sometidos a regulación de precios; y las instalaciones de interconexión internacional de servicio público, referidos en los artículos 99 bis, 115 y 116 de la Ley, respectivamente. Asimismo, este cargo comprenderá los cargos que se determinen según las reglas establecidas en las disposiciones transitorias de la Ley N° 20.936.
Los cargos por energía, por compras de potencia y por potencia base en su componente de distribución se obtendrán multiplicando el consumo de energía mensual, en kWh, por su precio unitario. El consumo de energía mensual será igual a la totalidad de la energía consumida en el mes.
2.2. Tarifa BT1b
La tarifa BT1b comprenderá los siguientes cargos que se sumarán en la factura o boleta, cuando corresponda:
a) Cargo fijo mensual
b) Cargo por uso del Sistema de Transmisión
c) Cargo por Servicio Público
d) Cargo por energía
e) Cargo por potencia base en su componente de transmisión
f) Cargo por potencia base en su componente de distribución
El cargo fijo mensual es independiente del consumo, y se aplicará incluso si este es nulo.
Las componentes del cargo por uso del Sistema de Transmisión y del cargo por Servicio Público se determinarán en proporción a los consumos de energía, conforme se establezca en la normativa correspondiente. Tanto el cargo por uso del Sistema de Transmisión como el cargo por Servicio Público se determinarán multiplicando el consumo de energía mensual, en kWh, por el valor de la componente correspondiente.
El cargo por uso del Sistema de Transmisión comprenderá los cargos únicos por uso de las instalaciones de transmisión nacional; zonal; para polos de desarrollo de generación eléctrica; de las instalaciones de transmisión dedicada utilizada por parte de usuarios sometidos a regulación de precios; y las instalaciones de interconexión internacional de servicio público, referidos en los artículos 99 bis, 115 y 116 de la Ley, respectivamente. Asimismo, este cargo comprenderá los cargos que se determinen según las reglas establecidas en las disposiciones transitorias de la Ley N° 20.936.
El cargo por energía se aplicará en todos los meses del año y se obtendrá multiplicando los kWh de consumo por su precio unitario.
Los cargos por potencia base en su componente de transmisión y distribución se aplicarán en todos los meses del año, incluso si el consumo del mes respectivo es nulo, y se obtendrán multiplicando el mayor de los consumos de energía de los meses de enero y febrero inmediatamente anteriores por su precio unitario.
2.3. Tarifas TRBT, TRBT2, TRBT3, TRAT, TRAT2 y TRAT3:
Las tarifas TRBT, TRBT2, TRBT3, TRAT, TRAT2 y TRAT3 comprenderán los siguientes cargos que se sumarán en la boleta, cuando corresponda:
a) Cargo fijo mensual
b) Cargo por uso del Sistema de Transmisión
c) Cargo por Servicio Público
d) Cargo por energía
e) Cargo por compras de potencia
f) Cargo por demanda máxima suministrada
El cargo fijo mensual es independiente del consumo y se aplica incluso si este es nulo.
Las componentes del cargo por uso del Sistema de Transmisión y del cargo por Servicio Público se determinarán en proporción a los consumos de energía, conforme se establezca en la normativa correspondiente. Tanto el cargo por uso del Sistema de Transmisión como el cargo por Servicio Público se determinarán multiplicando el consumo de energía mensual, en kWh, por el valor de la componente correspondiente.
El cargo por uso del Sistema de Transmisión comprenderá los cargos únicos por uso de las instalaciones de transmisión nacional; zonal; para polos de desarrollo de generación eléctrica; de las instalaciones de transmisión dedicada utilizada por parte de usuarios sometidos a regulación de precios; y las instalaciones de interconexión internacional de servicio público, referidos en los artículos 99 bis, 115 y 116 de la Ley, respectivamente. Asimismo, este cargo comprenderá los cargos que se determinen según las reglas establecidas en las disposiciones transitorias de la Ley N° 20.936.
El cargo por energía se obtendrá multiplicando el consumo de energía mensual, en kWh, por su precio unitario.
El cargo por compras de potencia se obtendrá multiplicando la potencia de facturación por compra, en kW, por su precio unitario.
La potencia de facturación por compra corresponderá al promedio de las 52 demandas máximas leídas en horas de punta registradas en los últimos 12 meses, incluyendo el mes que se factura.
Los cargos por demanda máxima suministrada se obtendrán multiplicando la demanda suministrada, en kW, por su precio unitario.
La demanda suministrada corresponderá al promedio de las 2 demandas máximas registradas en los últimos 12 meses, incluyendo el mes que se factura.
La demanda máxima de cada hora corresponderá al máximo valor de los registros que se encuentren dentro de ésta.
2.4. Tarifa BT2:
La tarifa BT2 comprenderá los siguientes cargos que se sumarán en la factura o boleta:
a) Cargo fijo mensual
b) Cargo por uso del Sistema de Transmisión
c) Cargo por Servicio Público
d) Cargo por energía
e) Cargo por potencia contratada
El cargo fijo mensual es independiente del consumo y se aplica incluso si este es nulo.
Las componentes del cargo por uso del Sistema de Transmisión y del cargo por Servicio Público se determinarán en proporción a los consumos de energía, conforme se establezca en la normativa correspondiente. Tanto el cargo por uso del Sistema de Transmisión como el cargo por Servicio Público se determinarán multiplicando el consumo de energía mensual, en kWh, por el valor de la componente correspondiente.
El cargo por uso del Sistema de Transmisión comprenderá los cargos únicos por uso de las instalaciones de transmisión nacional; zonal; para polos de desarrollo de generación eléctrica; de las instalaciones de transmisión dedicada utilizada por parte de usuarios sometidos a regulación de precios; y las instalaciones de interconexión internacional de servicio público, referidos en los artículos 99 bis, 115 y 116 de la Ley, respectivamente. Asimismo, este cargo comprenderá los cargos que se determinen según las reglas establecidas en las disposiciones transitorias de la Ley N° 20.936.
El cargo por energía se obtendrá multiplicando el consumo de energía mensual, en kWh, por su precio unitario.
El cargo por potencia contratada se obtendrá multiplicando la potencia contratada, en kW, por su precio unitario.
2.5.Tarifa BT3:
La tarifa BT3 comprenderá los siguientes cargos que se sumarán en la factura o boleta:
a) Cargo fijo mensual
b) Cargo por uso del Sistema de Transmisión
c) Cargo por Servicio Público
d) Cargo por energía
e) Cargo por demanda máxima leída
El cargo fijo mensual es independiente del consumo y se aplica incluso si este es nulo.
Las componentes del cargo por uso del Sistema de Transmisión y del cargo por Servicio Público se determinarán en proporción a los consumos de energía, conforme se establezca en la normativa correspondiente. Tanto el cargo por uso del Sistema de Transmisión como el cargo por Servicio Público se determinarán multiplicando el consumo de energía mensual, en kWh, por el valor de la componente correspondiente.
El cargo por uso del Sistema de Transmisión comprenderá los cargos únicos por uso de las instalaciones de transmisión nacional, zonal, para polos de desarrollo de generación eléctrica; de las instalaciones de transmisión dedicada utilizada por parte de usuarios sometidos a regulación de precios; y las instalaciones de interconexión internacional de servicio público, referidos en los artículos 99 bis, 115 y 116 de la Ley, respectivamente. Asimismo, este cargo comprenderá los cargos que se determinen según las reglas establecidas en las disposiciones transitorias de la Ley N° 20.936.
El cargo por energía se obtendrá multiplicando el consumo de energía mensual, en kWh, por su precio unitario.
La facturación mensual del cargo por demanda máxima leída del mes corresponderá al mayor de los siguientes valores:
. Cargo por demanda máxima leída, determinada de acuerdo con el procedimiento siguiente:
Se considera como demanda máxima leída de facturación del mes la más alta que resulte de comparar la demanda máxima leída del mes con el promedio de las dos más altas demandas registradas en aquellos meses que contengan horas de punta, dentro de los últimos 12 meses, incluido el mes que se factura. El cargo por demanda máxima leída resulta de multiplicar la demanda máxima leída de facturación por el precio unitario correspondiente.
. 40% del mayor de los cargos por demanda máxima leída registrado en los últimos 12 meses.
2.6. Tarifa BT4.1
La tarifa BT4.1 comprenderá los siguientes cargos que se sumarán en la factura o boleta:
a) Cargo fijo mensual
b) Cargo por uso del Sistema de Transmisión
c) Cargo por Servicio Público
d) Cargo por energía
e) Cargo por demanda máxima contratada en horas de punta
f) Cargo por demanda máxima contratada
2.7. Tarifa BT4.2
La tarifa BT4.2 comprenderá los siguientes cargos que se sumarán en la factura o boleta:
a) Cargo fijo mensual
b) Cargo por uso del Sistema de Transmisión
c) Cargo por Servicio Público
d) Cargo por energía
e) Cargo por demanda máxima leída en horas de punta
f) Cargo por demanda máxima contratada
2.8. Tarifa BT4.3
La tarifa BT4.3 comprenderá los siguientes cargos que se sumarán en la factura o boleta:
a) Cargo fijo mensual
b) Cargo por uso del Sistema de Transmisión
c) Cargo por Servicio Público
d) Cargo por energía
e) Cargo por demanda máxima leída en horas de punta
f) Cargo por demanda máxima suministrada
El cargo fijo mensual de las tarifas BT4.1, BT4.2 y BT4.3 es independiente del consumo y se aplica incluso si este es nulo.
Las componentes del cargo por uso del Sistema de Transmisión y del cargo por Servicio Público se determinarán en proporción a los consumos de energía, conforme se establezca en la normativa correspondiente. Tanto el cargo por uso del Sistema de Transmisión como el cargo por Servicio Público se determinarán multiplicando el consumo de energía mensual, en kWh, por el valor de la componente correspondiente.
El cargo por uso del Sistema de Transmisión comprenderá los cargos únicos por uso de las instalaciones de transmisión nacional; zonal; para polos de desarrollo de generación eléctrica; de las instalaciones de transmisión dedicada utilizada por parte de usuarios sometidos a regulación de precios; y las instalaciones de interconexión internacional de servicio público, referidos en los artículos 99 bis, 115 y 116 de la Ley, respectivamente. Asimismo, este cargo comprenderá los cargos que se determinen según las reglas establecidas en las disposiciones transitorias de la Ley N° 20.936.
El cargo por energía de las tarifas BT4.1, BT4.2 y BT4.3 se obtendrá multiplicando el consumo de energía mensual, en kWh, por su precio unitario.
Los cargos de la tarifa BT4.1 por demanda máxima contratada en horas de punta y por demanda máxima contratada, así como el cargo de la tarifa BT4.2 por demanda máxima contratada, se facturarán incluso si el consumo de energía es nulo. Dichos cargos se obtendrán multiplicando la potencia de facturación correspondiente, en kW, por el precio unitario.
Los cargos mensuales por demanda máxima leída de potencia en horas de punta de las tarifas BT4.2 y BT4.3 se facturarán de la siguiente manera:
. Durante los meses que contengan horas de punta, se aplicará el precio unitario correspondiente a la demanda máxima en horas de punta efectivamente leída en cada mes.
. Durante los meses que no contengan horas de punta, se aplicará el precio unitario correspondiente al promedio de las dos mayores demandas máximas en horas de punta registradas durante los meses del período de punta inmediatamente anteriores.
El cargo mensual por demanda máxima de potencia suministrada de la tarifa BT4.3 se facturará aplicando el precio unitario correspondiente al promedio de las dos más altas demandas máximas registradas en los últimos 12 meses, incluido el mes que se facture.
2.9. Tarifas BT5 y BT6
Las tarifas BT5 y BT6 comprenderán los siguientes cargos que se sumarán en la factura o boleta:
a) Cargo fijo mensual
b) Cargo por uso del Sistema de Transmisión
c) Cargo por Servicio Público
d) Cargo por energía
e) Cargo por compras de potencia
f) Cargo por demanda máxima leída en horas de punta, en su componente de distribución
g) Cargo por demanda máxima suministrada, en su componente de distribución
El cargo fijo mensual es independiente del consumo y se aplica incluso si este es nulo.
Las componentes del cargo por uso del Sistema de Transmisión y del cargo por Servicio Público se determinarán en proporción a los consumos de energía, conforme se establezca en la normativa correspondiente. Tanto el cargo por uso del Sistema de Transmisión como el cargo por Servicio Público se determinarán multiplicando el consumo de energía mensual, en kWh, por el valor de la componente correspondiente.
El cargo por uso del Sistema de Transmisión comprenderá los cargos únicos por uso de las instalaciones de transmisión nacional; zonal; para polos de desarrollo de generación eléctrica; de las instalaciones de transmisión dedicada utilizada por parte de usuarios sometidos a regulación de precios; y las instalaciones de interconexión internacional de servicio público, referidos en los artículos 99 bis, 115 y 116 de la Ley, respectivamente. Asimismo, este cargo comprenderá los cargos que se determinen según las reglas establecidas en las disposiciones transitorias de la Ley N° 20.936.
El cargo por energía se obtendrá multiplicando el consumo de energía mensual, en kWh, por su precio unitario.
El cargo por compras de potencia se obtendrá multiplicando la potencia de facturación por compra, en kW, por su precio unitario.
La potencia de facturación por compra corresponderá al promedio de las 52 demandas máximas leídas en horas de punta registradas en los últimos 12 meses, incluyendo el mes que se factura.
Los cargos por demanda máxima suministrada se obtendrán multiplicando la demanda suministrada en kW, por su precio unitario.
La demanda suministrada corresponderá al promedio de las 2 demandas máximas registradas en los últimos 12 meses, incluyendo el mes que se factura.
La demanda máxima de cada hora corresponderá al máximo valor de los registros que se encuentren dentro de esta.
2.10. Tarifas de Alta Tensión
Las tarifas de alta tensión AT2, AT3, AT4.1, AT4.2, AT4.3, AT5 y AT6 comprenderán los mismos cargos y se facturarán de la misma forma que las tarifas BT2, BT3, BT4.1, BT4.2, BT4.3, BT5 y BT6, respectivamente, difiriendo solo en los precios unitarios correspondientes.
2.11. Recargos tarifarios
2.6.1 Recargo por consumo reactivo
Las empresas aplicarán mensualmente un cargo determinado en función de la relación de consumo activo y reactivo en el punto de suministro de los clientes, conforme el monto y condiciones de aplicación que se establecen en el decreto de precios de nudo de corto plazo vigente al momento de su aplicación.
2.6.2 Recargo por lectura en baja tensión de consumos de clientes de alta tensión
Los consumos correspondientes a clientes de alta tensión podrán ser medidos tanto en alta como en baja tensión. En este último caso, se considerará un recargo por pérdidas de transformación equivalente a un 3,5%, tanto en los cargos de energía como de potencia.
2.12. Descuentos
Aquellos clientes cuyos suministros se efectúen en voltajes de 44 o 66 kV tendrán una rebaja de las tarifas aplicables en alta tensión igual a 7%. Aquellos cuyo voltaje de suministro sea 110 kV tendrán una rebaja de las tarifas aplicables en alta tensión de 9%.
3. Condiciones de Aplicación de las Tarifas
3.1. Condiciones generales de aplicación de las tarifas
Cuando la facturación está formada por fracciones de dos meses calendario, se debe estimar el consumo de energía del mes calendario en proporción a los días de cada mes. Asimismo, para la determinación de la demanda máxima leída a facturar, se considerará como correspondiente a un mes calendario la demanda imputada en la factura que tenga un mayor número de días pertenecientes a dicho mes.
Los montos de potencia contratada en las diferentes opciones tarifarias remanentes y las opciones tarifarias contratadas por los clientes regirán por doce meses, y se entenderán renovadas por un período similar, salvo aviso del cliente con al menos treinta días corridos de anticipación al vencimiento de dicho período. No obstante, el cliente podrá disminuir los montos de potencia contratada bien cambiar de opción tarifaria, comprometiendo con la empresa el pago del remanente que tuviere por concepto de potencia contratada respecto de la nueva potencia contratada. Se procederá de igual forma respecto de las demandas máximas leídas de las diferentes opciones tarifarias.
La concesionaria de servicio público de distribución deberá informar a sus clientes, con no menos de tres meses de anticipación, el término de vigencia de la tarifa elegida por ellos. Para tal efecto, deberá incluir en las boletas o facturas correspondientes a los tres últimos meses del período en que rija la tarifa, un aviso indicando la fecha de término de dicho plazo de tres meses, la opción tarifaria que dejará de estar vigente, y la fecha límite para que el cliente comunique a la empresa las modificaciones que desee efectuar a su contrato de suministro.
En caso de que la opción tarifaria vigente incluya alguna forma de potencia contratada, la información señalada incluirá, además, el monto de las potencias contratadas.
3.2. Definición de horas de punta
La definición de horas de punta de cada empresa o sector de distribución dependerá del sistema eléctrico del cual sean abastecidos, quedando estas establecidas en el decreto de precios de nudo de corto plazo que se fije semestralmente.
3.3. Condiciones de clasificación de clientes residenciales para las tarifas BT1a y BT1b
Las empresas cuya demanda máxima anual de consumos en las opciones tarifarias BT1a y BT1b se produce en meses en que no se hayan definido horas de punta, deberán efectuar en el mes de marzo de cada año la clasificación de los clientes que reúnen los requisitos para optar a las opciones tarifarias BT1a y BT1b.
Esta clasificación se efectuará determinando, para cada cliente, un Factor de Clasificación que relaciona los consumos de energía promedio de los meses de enero y febrero del año en curso al momento de hacerse la clasificación, con los consumos promedio de los diez meses inmediatamente anteriores. Este factor se calculará mediante la siguiente expresión:

Donde:
Año Actual : Año en que se realiza la clasificación de los clientes;
Año Anterior : Año inmediatamente anterior al que se realiza la clasificación.
Si el Factor de Clasificación resulta igual o inferior a 2,5, el cliente residencial estará afecto a la opción tarifaria BT1a. En caso contrario, el cliente estará sujeto a la opción tarifaria BT1b.
Para efectos de la clasificación se utilizarán los meses en que efectivamente existan registros de consumo, siendo el consumo cero efectivamente leído un registro válido en dicha clasificación.
La clasificación será anual y permanecerá vigente por periodos de doce meses, no pudiendo el cliente modificar la opción tarifaria en la cual fue clasificado.
Todo nuevo cliente que reúna los requisitos para optar a las tarifas señaladas podrá elegir libremente la opción tarifaria (BT1a o BT1b) hasta que se efectúe su clasificación en el mes de marzo inmediatamente siguiente. En caso de que a esa fecha no se cuente con, al menos, doce meses de historia desde que ingresó como cliente, este mantendrá su clasificación hasta que se cuente con doce meses de historia como cliente, oportunidad en que será clasificado utilizando para el cálculo del Factor de Clasificación los meses disponibles, con independencia del año de facturación.
3.4. Precios a aplicar para la potencia contratada y la demanda máxima leída
Las tarifas BT2 y AT2 de potencia contratada y las tarifas BT3 y AT3 de demanda máxima leída, serán aplicadas, en lo que se refiere al cargo por potencia, según el grado de utilización de la potencia en horas de punta, de acuerdo con los siguientes criterios:
a) Cuando la potencia contratada o la demanda máxima leída está siendo usada manifiestamente durante las horas de punta del sistema eléctrico, independientemente de si dicha potencia es o no utilizada en el resto de las horas del año, el consumo será calificado como "presente en punta", y se le aplicará el precio unitario correspondiente.
Se entenderá que la potencia contratada o que la demanda máxima leída está siendo usada manifiestamente durante las horas de punta, cuando el cociente entre la demanda media del cliente en horas de punta y su potencia contratada, en el caso de las opciones BT2 y AT2, o su demanda máxima leída, en el caso de las opciones BT3 y AT3, es mayor o igual a 0,5.
Por demanda media en horas de punta se entenderá el consumo de energía durante dichas horas dividido por el número de horas de punta.
b) Cuando la potencia contratada o la demanda máxima leída está siendo usada parcialmente durante las horas de punta del sistema eléctrico, independientemente de si dicha potencia es o no utilizada en el resto de las horas del año, el consumo será calificado como "parcialmente presente en punta", y se le aplicará el precio unitario correspondiente.
Se entenderá que la potencia está siendo usada parcialmente durante las horas de punta, cuando el cociente entre la demanda media del cliente en dichas horas y su potencia contratada, en el caso de las opciones BT2 y AT2, o su demanda máxima leída, en el caso de las opciones BT3 y AT3, es inferior a 0,5.
No obstante lo anterior, si en períodos de 60 minutos consecutivos en las horas de punta el cociente entre la potencia media utilizada por el cliente y su potencia contratada, en el caso de las opciones BT2 y AT2, o su demanda máxima leída, en el caso de las opciones BT3 y AT3, supera 0,85 y este hecho se produce frecuentemente, el consumo será clasificado como "presente en punta". Se entenderá como frecuente la ocurrencia del suceso durante, por lo menos, cinco días hábiles del mes.
La empresa calificará el consumo del cliente como "presente en punta" o "parcialmente presente en punta".
Cuando la empresa califique al consumo del cliente como "presente en punta" deberá informarle por escrito las razones que tuvo para ello. No obstante, y aun cuando exista acuerdo escrito, el cliente siempre podrá reclamar ante la Superintendencia, aportando antecedentes y medidas de consumo en horas de punta efectuadas directamente y en conjunto con la empresa, o por un organismo autorizado por la Superintendencia contratado por el cliente, durante, al menos, treinta días seguidos del período de punta. La Superintendencia oyendo a las partes, resolverá fundadamente sobre la materia. En caso de que la resolución sea favorable al cliente, el costo de las mediciones será de cargo de la empresa quien, en este mismo caso, no podrá recalificar el consumo del cliente, salvo autorización expresa de la Superintendencia, una vez aportados los antecedentes que respalden dicha recalificación.
3.5. Determinación de la potencia contratada
En las opciones tarifarias que incluyen cargo por potencia contratada, la magnitud de esta será establecida por el cliente. En este caso, la empresa distribuidora podrá exigir la instalación de un limitador de potencia que cumpla con las normas técnicas vigentes, el que será de cargo del cliente.
Alternativamente, y con la excepción de la contratación de la demanda máxima de potencia en horas de punta de las tarifas BT4.1 y AT4.1, la potencia contratada se podrá establecer mediante la medición de la demanda máxima con instrumentos apropiados, certificados por la Superintendencia, cuando la empresa lo estime conveniente, caso en el cual el costo de la medición será de cargo de la empresa.
Cuando la potencia contratada no sea establecida por el cliente y no se mida la demanda máxima, la potencia contratada se determinará como sigue:
A la potencia conectada en el alumbrado se sumará la demanda del resto de la carga conectada, estimada de acuerdo con la siguiente tabla:

Cada aparato de calefacción se considerará como motor para los efectos de aplicar esta tabla. Los valores de la demanda máxima que resulten de aplicar esta tabla deberán modificarse, si es necesario, en forma que la demanda máxima estimada no sea en ningún caso menor que la potencia del motor o artefacto más grande, o que el 90% de la potencia sumada de los dos motores o artefactos más grandes, o que el 80% de la potencia sumada de los tres motores o artefactos más grandes.
Se entenderá como carga conectada en motores y artefactos la potencia nominal de placa.
En las opciones tarifarias horarias BT4.1 y AT4.1, la empresa podrá exigir que el cliente instale un reloj que asegure que el monto de potencia contratada en horas de punta no sea sobrepasado en dichas horas.
En caso de que la potencia contratada no sea establecida por el cliente, no será de cargo de este el limitador de potencia, en la eventualidad que la empresa lo exija.
3.6. Condición de aplicación de las tarifas subterráneas
3.6.1. Condición de aplicación para clientes con suministro subterráneo a la fecha de entrada en vigencia del decreto correspondiente al periodo 2020-2024
Se aplicará a los clientes suministrados por empresas, que a la fecha de entrada en vigencia del decreto se encontraban abastecidos total o parcialmente por tendidos subterráneos, dependiendo de las siguientes condiciones:
a) Condición de clasificación para clientes de alta tensión de distribución
El cliente en alta tensión de distribución será clasificado como alimentado por redes de alta tensión subterráneas si, a la fecha de entrada en vigencia del decreto, cumple cualquiera de las siguientes condiciones:
1) El alimentador de alta tensión de distribución que lo abastece se encuentra canalizado en forma subterránea en el punto de conexión con el empalme del cliente, en virtud de una disposición municipal.
2) El alimentador de alta tensión de distribución que lo abastece se encuentra canalizado subterráneamente, en virtud de una disposición municipal, en más de un 50% de su longitud en la comuna. Para la contabilización de este porcentaje se considerará, adicionalmente a los tramos que debieron canalizarse subterráneamente en virtud de la referida disposición municipal, aquellos tramos que, a la fecha de entrada en vigencia del decreto, se encontraban canalizados en forma subterránea dentro de los límites comunales.
3) El alimentador de alta tensión de distribución que lo abastece se encuentra canalizado subterráneamente en más de un 50% de su longitud total.
Si ninguna de estas tres condiciones se cumple, el cliente será clasificado como alimentado por redes de alta tensión aéreas.
b) Condición de clasificación para clientes de baja tensión
Condición AT:
El cliente en baja tensión será clasificado como alimentado por redes de alta tensión subterráneas si, a la fecha de entrada en vigencia del decreto se cumple cualquiera de las siguientes condiciones:
1) El transformador de distribución asociado al cliente se encuentra abastecido desde un alimentador de alta tensión de distribución que, en virtud de una disposición municipal, se encuentra canalizado subterráneamente en el punto de conexión con el referido transformador de distribución.
2) El transformador de distribución asociado al cliente está siendo abastecido desde un alimentador de alta tensión de distribución que se encuentra canalizado subterráneamente, en virtud de una disposición municipal, en más de un 50% de su longitud en la comuna. Para la contabilización de este porcentaje se considerará, adicionalmente a los tramos que debieron canalizarse subterráneamente en virtud de la referida disposición municipal, aquellos tramos que, a la fecha de entrada en vigencia del decreto, se encontraban canalizados en forma subterránea dentro de los límites comunales.
3) El transformador de distribución asociado al cliente está siendo abastecido desde un alimentador de alta tensión de distribución que se encuentra canalizado subterráneamente en más de un 50% de su longitud total.
Si ninguna de estas tres condiciones se cumple, el cliente será clasificado como alimentado por redes de alta tensión aéreas.
Condición BT:
El cliente en baja tensión será clasificado como alimentado por redes de baja tensión subterráneas si, a la fecha de entrada en vigencia del decreto tarifario del periodo 2020-2024, se cumple alguna de las siguientes condiciones:
1) El transformador de distribución asociado al cliente es subterráneo;
2) La red de distribución de baja tensión que abastece al cliente es subterránea en el punto de conexión con el empalme del cliente, estando además esta red completamente canalizada en forma subterránea en el frontis de la propiedad del cliente, en virtud de una disposición municipal.
Si ninguna de estas dos condiciones se cumple, el cliente será clasificado como alimentado por redes de baja tensión aéreas.
Se entenderá, para los efectos señalados, que el transformador de distribución asociado al cliente es el que se encuentra más próximo a su punto de suministro, considerando la distancia medida a través de la red de baja tensión.
Se considerarán tres casos de aplicación de la tarifa subterránea según la clasificación del cliente BT:
Caso 1: Red de Baja Tensión Aérea y Red de Alta Tensión Subterránea.
Caso 2: Red de Baja Tensión Subterránea y Red de Alta Tensión Aérea.
Caso 3: Red de Baja Tensión Subterránea y Red de Alta Tensión Subterránea.
A los nuevos clientes que, con posterioridad a la fecha de entrada en vigencia del decreto tarifario del periodo 2020-2024, se conecten a las redes que alimentan a los clientes que cumplen las condiciones a) y b) señaladas, y que a su vez cumplan las condiciones de suministro descritas en este punto, se les aplicará la tarifa que corresponda de acuerdo a las mismas condiciones anteriores.
3.6.2 Condición de aplicación para clientes con suministro subterráneo provisto por nuevas instalaciones
Se aplicará a los clientes con suministro subterráneo conforme a las condiciones físicas de suministro establecidas en el punto 3.6.1 precedente, que adquirieran la condición de tales en virtud del desarrollo de redes subterráneas habilitadas con posterioridad a la fecha de entrada en vigencia del decreto tarifario del periodo 2020-2024, por efecto de disposiciones municipales o de nuevos desarrollos inmobiliarios, independientemente del ATD en que los clientes se ubiquen.
La tarifa para estos clientes se estructurará de la misma forma que para el resto de los clientes, conforme a las condiciones de clasificación definidas en el punto 3.6.1.
Con treinta días de anticipación a la aplicación de las tarifas asociadas a las nuevas instalaciones, los concesionarios deberán enviar a la Superintendencia el listado de las obras ejecutadas, una copia de la disposición municipal que les dio origen cuando corresponda, y la nómina de los clientes a los que se les aplicará la tarifa.
La Superintendencia, mediante resolución, establecerá el formato al que deberán ceñirse los concesionarios para registrar los antecedentes que da cuenta el presente numeral.
Artículo segundo: Publíquese el Informe Técnico Preliminar que se aprueba conforme al artículo precedente en el sitio web de la Comisión Nacional de Energía www.cne.cl, en el Diario Oficial y un diario de circulación nacional.
Artículo tercero: Publíquese la presente resolución exenta en el Diario Oficial y en un diario de circulación nacional.
Artículo cuarto: El plazo de diez días establecido en el inciso segundo del artículo 185 de la Ley General de Servicios Eléctricos, para efectos de que los actores de la sociedad civil, las empresas concesionarias de distribución eléctrica y las asociaciones de consumidores a que se refiere la Ley N° 19.496 puedan presentar sus observaciones al Informe Técnico Preliminar aprobado en el artículo primero, comenzará a contabilizarse a partir de la publicación de la presente resolución exenta en el Diario Oficial.
Anótese.- Marco Antonio Mancilla Ayancán, Secretario Ejecutivo, Comisión Nacional de Energía.