RECTIFICA RESOLUCIÓN Nº 3.775 EXENTA, DE 2019, DE LA SUBSECRETARÍA DE EDUCACIÓN, QUE FIJA LOS COCIENTES DE CONFORMIDAD A LO SEÑALADO EN EL INCISO SEXTO DEL ARTÍCULO CUADRAGÉSIMO SEGUNDO BIS TRANSITORIO DE LA LEY Nº 21.040
Núm. 6.738 exenta.- Santiago, 27 de diciembre de 2023.
Visto:
Lo dispuesto en la ley Nº 18.956 que reestructura el Ministerio de Educación Pública; en la ley Nº 21.040, que crea el Sistema de Educación Pública; en la resolución exenta Nº 3.775, de 2019, de la Subsecretaría de Educación; y en la resolución Nº 7, de 2019, de la Contraloría General de la República, que fija normas sobre exención del trámite de toma de razón y,
Considerando:
1º Que, el artículo cuadragésimo segundo bis transitorio de la ley Nº 21.040 regula el financiamiento transitorio de las municipalidades y corporaciones municipales a los asistentes de la educación que se traspasen a los Servicios Locales de Educación Pública, disponiendo en su inciso primero que "[...] durante cinco años contados desde el traspaso del servicio educacional, serán de cargo de los nuevos Servicios Locales de Educación única y exclusivamente las remuneraciones, indemnizaciones, asignaciones y demás beneficios avaluables en dinero de un número máximo de horas de contrato de asistentes de la educación que se traspasen de conformidad a dichos artículos. La municipalidad o corporación municipal respectiva financiará durante dicho período las remuneraciones, asignaciones, indemnizaciones y demás beneficios avaluables en dinero correspondientes a aquellos asistentes de la educación que excedan dicho número de conformidad a lo establecido en el inciso final de este artículo. Luego de transcurrido este plazo, la totalidad de los asistentes de la educación traspasados será de cargo del Servicio Local de Educación respectivo";
2º Que, posteriormente, en sus incisos siguientes la norma regula la manera en que se deben fijar los haberes de los asistentes de la educación que serán de cargo de los Servicios Locales de Educación Pública, para lo cual se deberá calcular un cociente que resulte de la división entre la matrícula de la comuna que corresponda a diciembre de 2017 por el total de horas de contrato de los asistentes de la educación que se desempeñaban en los establecimientos dependientes de la municipalidad o corporación respectiva a la misma fecha;
3º Que, en su inciso sexto, el artículo cuadragésimo segundo bis transitorio establece que "[...] los cocientes señalados en el presente artículo, así como el número máximo de horas de contrato de asistentes de la educación a que se refieren los incisos primero y segundo del presente artículo serán fijados mediante resolución del Subsecretario de Educación, la cual deberá ser suscrita por el Ministerio de Hacienda";
4º Que, en cumplimiento de lo señalado en el considerando precedente, la Subsecretaría de Educación, a través de resolución exenta Nº 3.775, de 2019, fijó los cocientes, la matrícula al año 2017 y el total de horas de asistentes de la educación a la misma fecha para cada municipio, disponiendo además en su artículo 2º su notificación a través del portal www.comunidadescolar.cl;
5º Que, no obstante lo anterior, consultada a la Coordinación Nacional de Tecnología de la Subsecretaría de Educación acerca de la realización de dicho trámite, ésta señaló no tener registros de que se hubiera informado el contenido de la resolución a través del referido portal;
6º Que, por su parte, consultada a la Dirección de Educación Pública a través del Ord. Nº 07/291, de fecha 20 de febrero de 2023, acerca del cumplimiento del deber que, de acuerdo al inciso final del artículo en comento, tienen los Servicios Locales de Educación Pública de informar a la Subsecretaría de Desarrollo Regional y Administrativo, durante el mes de diciembre de cada año, la liquidación de los montos pagados por sobre el límite determinado por la aplicación del cociente arriba expuesto, dicha Dirección informó, a través del Ord. Nº 3.144, de fecha 6 de diciembre de 2023, que "[...] no se aprecian antecedentes que den cuenta de la aplicación por parte de los Servicios Locales del inciso final del artículo cuadragésimo segundo bis transitorio, esto es, el deber de informar de la liquidación de los montos que deberán ser descontados y enterados a su patrimonio, a fin de que se descuenten los recursos, a la municipalidad, de los montos a percibir por su participación en el Fondo Común Municipal";
7º Que, la División Jurídica de la Subsecretaría de Educación, a través de Ord. Nº 07/5007, de fecha 7 de diciembre de 2023, solicitó al Centro de Estudios del Ministerio de Educación validar los datos contenidos en la resolución exenta Nº 3.775, de 2019, de la Subsecretaría de Educación, relativos a la matrícula al año 2017, al total de horas de asistentes de la educación a esa misma fecha y al cociente resultante entre ambas variables para todos los sostenedores municipales. Asimismo, ante la eventualidad en que, una vez aplicado el procedimiento descrito en el artículo cuadragésimo segundo bis transitorio, los datos resultantes fueran distintos a los incluidos en la antedicha resolución exenta, se requirió una actualización de estos, además de un detalle de la metodología empleada para dichos efectos;
8º Que, dando cumplimiento a lo solicitado, el Centro de Estudios del Ministerio de Educación, a través de Ord. Nº 103, de fecha 11 de diciembre de 2023, remitió los resultados del cálculo efectuado, además de la correspondiente nota metodológica que detalla la manera a través de la cual se arribó al resultado;
9º Que, en dicha nota metodológica se da cuenta del trabajo desarrollado en conjunto entre el Centro de Estudios del Ministerio de Educación y el Departamento de Transparencia Financiera de la Superintendencia de Educación para disponer de los datos relativos a la matrícula correspondiente al año 2017 por cada sostenedor municipal; el total de horas de contrato de los asistentes de la educación que se desempeñaban en los establecimientos educacionales dependientes de la municipalidad o corporación respectiva a la misma fecha, descontando aquella proporción que correspondiera a horas financiadas con recursos provenientes de la Subvención Escolar Preferencial y de Proyectos de Integración Escolar, de acuerdo a lo dispuesto en el inciso cuarto del artículo cuadragésimo segundo bis transitorio de la ley Nº 21.040; y, finalmente, el cociente resultante luego de dividir las variables indicadas precedentemente;
10º Que, a mayor abundamiento, la nota metodológica elaborada por el Centro de Estudios señala que si bien el Centro de Estudios cuenta con bases de datos anuales respecto al personal Docente y Asistente de la Educación, las indicaciones que tienen dichas bases de datos no cuentan con el detalle sobre las horas de contrato para ninguna de las subvenciones que detalla el cuarto inciso, por lo que se solicitó a la Superintendencia de Educación que pudiese facilitar la información del proceso declarativo de la rendición anual de los sostenedores, con las horas de contrato financiadas con recursos provenientes de la Subvención Escolar Preferencial y de Proyectos de Integración Escolar, dado que el Centro de Estudios no cuenta con aquellos registros declarativos.
Adicionalmente, dicho documento señala que si bien el Centro de Estudios también cuenta con una base de datos de matrícula de cierre para cada año escolar, se optó por que fuese la Superintendencia de Educación la que propiciase el dato de matrícula al mes de diciembre de cada año que se quisiese trabajar, esto con motivo de que el corte de las bases de datos de Centro de Estudios es al 30 de noviembre del año en curso, mientras que la Superintendencia de Educación cuenta con registros que le son entregados en enero del año t+1, pero que corresponden a diciembre del año t;
11º Que, habida consideración de que los datos aportados por el Centro de Estudios del Ministerio de Educación son inconsistentes con aquellos contenidos en la resolución exenta Nº 3.775, de 2019, de la Subsecretaría de Educación, se hace necesario disponer su rectificación.
Resuelvo:
Artículo primero: Reemplázase el artículo 1º de la resolución exenta Nº 3.775, de 2019, de la Subsecretaría de Educación, por el siguiente:
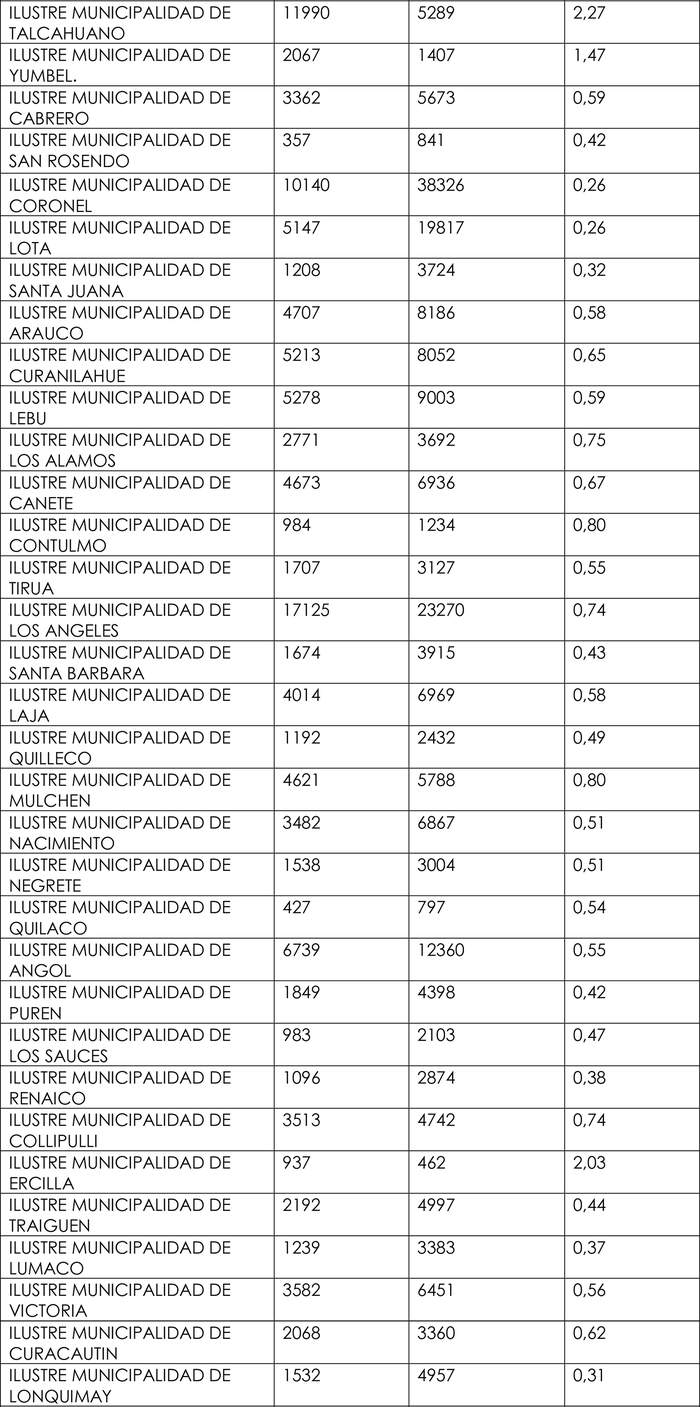
"Artículo primero: Fíjase la matrícula al año 2017 y el total de horas de asistentes de la educación al mismo año, descontando aquella proporción que corresponda a horas financiadas con recursos provenientes de la Subvención Escolar Preferencial y de Proyectos de Integración Escolar, así como también el cociente resultante entre ambas variables, de acuerdo a lo dispuesto en el artículo cuadragésimo segundo bis transitorio de la ley Nº 21.040, según el cuadro que sigue:











------------
(1) Cálculo considera datos de matrícula al año 2017 y horas de contrato de los asistentes de la educación al mismo año, correspondientes tanto al Departamento de Educación Municipal de Quinta Normal como a la Corporación Comunal de Desarrollo de Quinta Normal.
Artículo segundo: Notifícase la presente resolución exenta a través del portal www.comunidadescolar.cl y publícase en el Diario Oficial de acuerdo a lo dispuesto en el artículo 48 de la ley Nº 19.880.
Anótese, notifíquese y publíquese.- Alejandra Arratia Martínez, Subsecretaria de Educación.- Javiera Martínez Fariña, Ministra de Hacienda (S).