1. Modifícase la resolución exenta N° 389 (V. y U.), de 2023, y sus modificaciones, en el sentido de reemplazar la tabla inserta en su Resuelvo 2. por la siguiente:

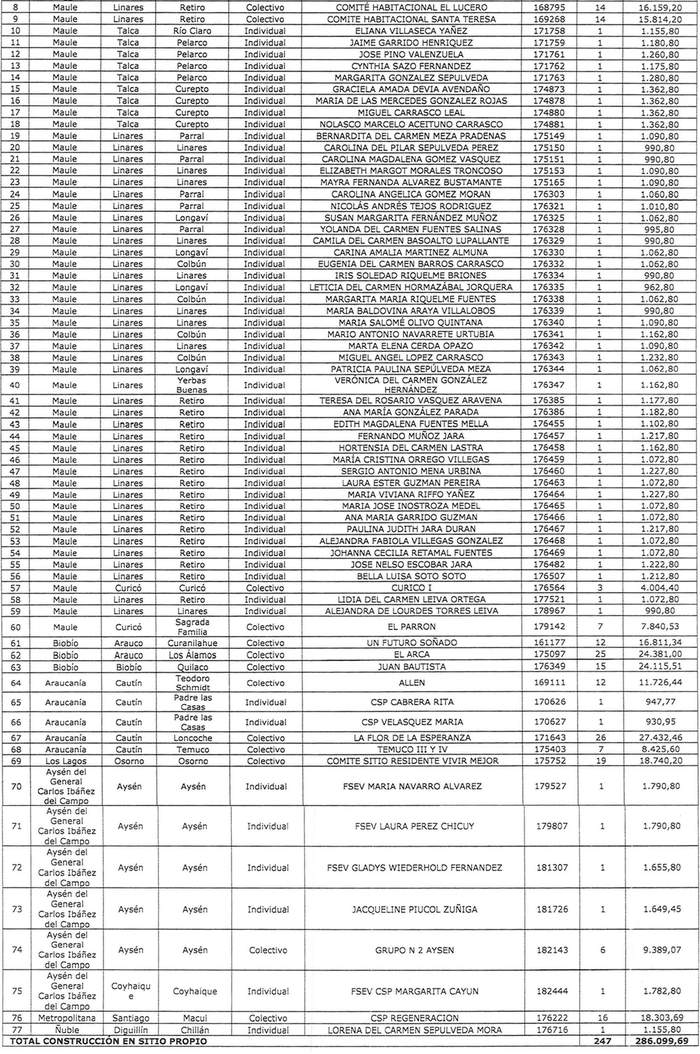
2. Apruébase la siguiente nómina de proyectos seleccionados para el otorgamiento de subsidios del Programa Habitacional Fondo Solidario de Elección de Vivienda, con su respectivo financiamiento total, incluyendo los servicios de asistencia técnica y fiscalización técnica de obras, correspondientes a 77 proyectos en la modalidad de Construcción en Sitio Propio, 14 de ellos postulados de manera colectiva en la regiones de Valparaíso, Maule, Biobío, Araucanía, Los Lagos, Aysén del General Carlos Ibáñez del Campo y Metropolitana; y 63 proyectos postulados de manera individual en las regiones de Coquimbo, Libertador General Bernardo O'Higgins, Araucanía, Aysén del General Carlos Ibáñez del Campo, y Ñuble; 6 proyectos en la tipología Pequeño Condominio, de manera colectiva, en las regiones de Biobío y Metropolitana; y 1 proyecto en la tipología Densificación Predial, en la Región de Aysén del General Carlos Ibáñez del Campo. Todos estos proyectos son parte del proceso de selección continua del llamado efectuado por resolución exenta N° 389 (V. y U.), de 2023, y sus modificaciones:
CONSTRUCCIÓN EN SITIO PROPIO


PEQUEÑO CONDOMINIO

DENSIFICACIÓN PREDIAL

El detalle de los recursos comprometidos por concepto de subsidio base y subsidios complementarios para cada uno de los proyectos seleccionados en el presente resuelvo y que por este acto se asignan, se informa en la nómina que se adjunta como anexo y forma parte integrante de la presente resolución.
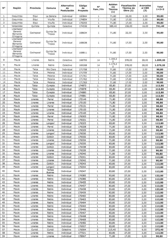
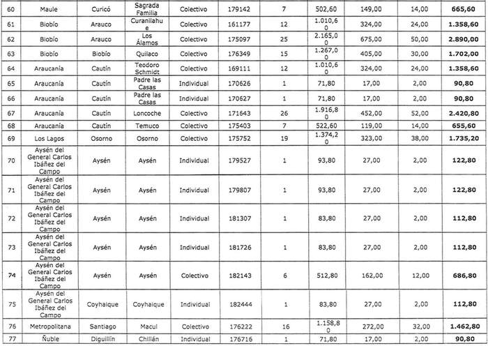
3. El monto del subsidio asignado de conformidad con el cuadro del Resuelvo 2 de esta resolución comprende los siguientes montos por concepto de Servicios de Asistencia Técnica, de Labores de Fiscalización Técnica de Obra y pago de Aranceles al Conservador de Bienes Raíces:
CONSTRUCCIÓN EN SITIO PROPIO


PEQUEÑO CONDOMINIO

DENSIFICACIÓN PREDIAL

Dichos montos fueron calculados conforme a la resolución exenta N° 1.875 (V. y U.), de 2015, y sus modificaciones, mencionada en el Visto d), de la presente resolución:
a) En el caso de los Servicios de Asistencia Técnica, los montos a pagar se determinan de acuerdo al número de familias que se benefician por esta resolución, conforme a lo establecido en el artículo 3., número 2. de la resolución exenta N° 1.875 (V. y U.), de 2015, y sus modificaciones. En dicho monto, en los casos que correspondía, se incluyó el incremento relativo al área de "Elaboración de proyectos técnicos y contratación de obras", que se señala en el resuelvo 7. de la resolución exenta N° 389 (V. y U.), de 2023, y sus modificaciones. Junto a ello, el monto total incluye los incrementos por concepto de Habilitación, Territorios Especiales y Localidades Aisladas, Discapacidad y Movilidad Reducida que determina la resolución exenta N° 1.875 (V. y U.), de 2015, y sus modificaciones. En el caso de aquellos proyectos que se acogieron a lo establecido en los numerales 8.1. o 8.2. de la resolución exenta N° 389 (V. y U.), de 2023, si bien les fue otorgado el monto de asistencia técnica correspondiente, de acuerdo a lo señalado precedentemente, para el pago de los servicios, el Serviu deberá haber otorgado la calificación definitiva del o los proyectos.
Mediante resolución del Director del Serviu respectivo, se determinarán los montos definitivos de Asistencia Técnica, cuando corresponda otorgar los incrementos que la resolución exenta N° 1.875 (V. y U.), de 2015, y sus modificaciones, que establece en las letras g.1), g.2), j) y k) del número 3 de su artículo 3°.
b) Los montos a pagar por la Fiscalización Técnica de Obras se determinan de acuerdo a a totalidad de viviendas del proyecto, según el mecanismo expresado en la resolución exenta N° 1.875 (V. y U.), de 2015, y sus modificaciones, citada en el Visto d).
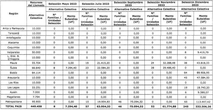
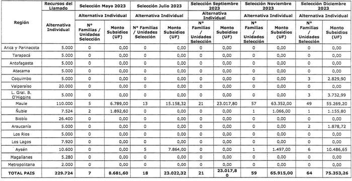
4. Los proyectos seleccionados en el llamado dispuesto en la resolución exenta N° 389, correspondientes a los señalados en el Resuelvo 2, cuyo cierre de postulación se efectuó el día 21 de diciembre de 2023, se resumen en el siguiente cuadro para cada región del país, incluyendo la suma total de familias beneficiadas y Unidades de Fomento comprometidas, considerando los montos de subsidio de los proyectos, incluidos sus respectivos servicios de asistencia técnica y fiscalización técnica de obras, según alternativa de postulación:
ALTERNATIVA COLECTIVA

ALTERNATIVA INDIVIDUAL
