MODIFICA RESOLUCIÓN N° 833 EXENTA (V. Y U.), DE FECHA 21 DE ABRIL DE 2023, QUE LLAMA A PROCESO DE SELECCIÓN EN CONDICIONES ESPECIALES PARA EL OTORGAMIENTO DE SUBSIDIOS HABITACIONALES DEL TÍTULO II, EN LA MODALIDAD DE CONSTRUCCIÓN DE VIVIENDA NUEVA, CON PROYECTO DESARROLLADO, DEL PROGRAMA DE HABITABILIDAD RURAL, REGULADO POR EL DS N° 10 (V. y U.), DE 2015, A LAS REGIONES QUE INDICA, EN LA ALTERNATIVA DE POSTULACIÓN INDIVIDUAL O COLECTIVA, Y APRUEBA NÓMINA DE POSTULANTES SELECCIONADOS AL MES DE NOVIEMBRE DE 2023
Santiago, 2 de febrero de 2024.- Hoy se resolvió lo que sigue:
Núm. 196 exenta.
Vistos:
a) El D.S. N° 10 (V. y U.), de 2015 y sus modificaciones, que reglamenta el Programa de Habitabilidad Rural, en especial sus artículos 36 y 38;
b) La resolución exenta N° 1.767 (V. y U.), de 2022, que autoriza efectuar llamados a postulación y/o comprometer recursos durante el año 2023, en el otorgamiento de subsidios habitacionales y señala el monto de los recursos destinados, entre otros, a la atención a través del programa regulado por el D.S. N° 10 (V. y U.), de 2015;
c) La Circular N° 01 de 2023, de la Subsecretaría de Vivienda y Urbanismo, que comunica metas regionales del Programa Habitacional 2023;
d) La resolución exenta N° 833 (V. y U.) de fecha 21 de abril de 2023, y sus modificaciones, que Llama a proceso de selección en condiciones especiales para el otorgamiento de subsidios habitacionales del Título II en la Modalidad de Vivienda Nueva, con proyecto desarrollado, de la Tipología Construcción en Sitio del Residente, del Programa de Habitabilidad Rural, regulado por el D.S. N°10 (V. y U.) de 2015, a las regiones que indica, en la alternativa de Postulación Individual o Colectiva; y
Considerando:
a) Que, mediante la resolución exenta citada en el visto d), se llamó a postulación y proceso de selección en condiciones especiales para el otorgamiento de subsidios del Programa de Habitabilidad Rural, del Título II, Proyectos de Postulación Directa, en la alternativa de postulación individual o colectiva, para el otorgamiento de subsidios de la Modalidad de Proyectos de Construcción de Viviendas Nuevas, en las Tipologías Construcción de Conjunto Habitacional y Construcción en Sitio del Residente, ambas con proyecto desarrollado, destinado a familias que cumplan con las condiciones de dicho llamado, cuyos expedientes se encuentren en estado aprobado o aprobado condicional hasta la fecha de cierre del llamado.
b) Que, el citado llamado estableció un proceso de selección mensual, según el orden en que resulten aprobados los proyectos, sin que sea necesario aplicar los factores y cálculo de puntajes establecidos en los artículos 42 y 43 del D.S. N° 10 (V. y U.), de 2015.
c) Que, en base a lo descrito, y habiendo concluido el cierre mensual con proyectos aprobados o aprobados condicional hasta el 30 de noviembre del 2023, se procede a la selección de ellos, dicto la siguiente
Resolución:
1. Modifícase la resolución exenta N°833 (V. y U.), de fecha 21 de abril de 2023, en el sentido de reemplazar el resuelvo 10 por el siguiente:
"10. Los recursos involucrados en la selección ascenderán a un total de 2.215.810,83 U.F. y su distribución nacional será la siguiente:

2.Resolución 759 EXENTA,
VIVIENDA
N° 4, 4.2
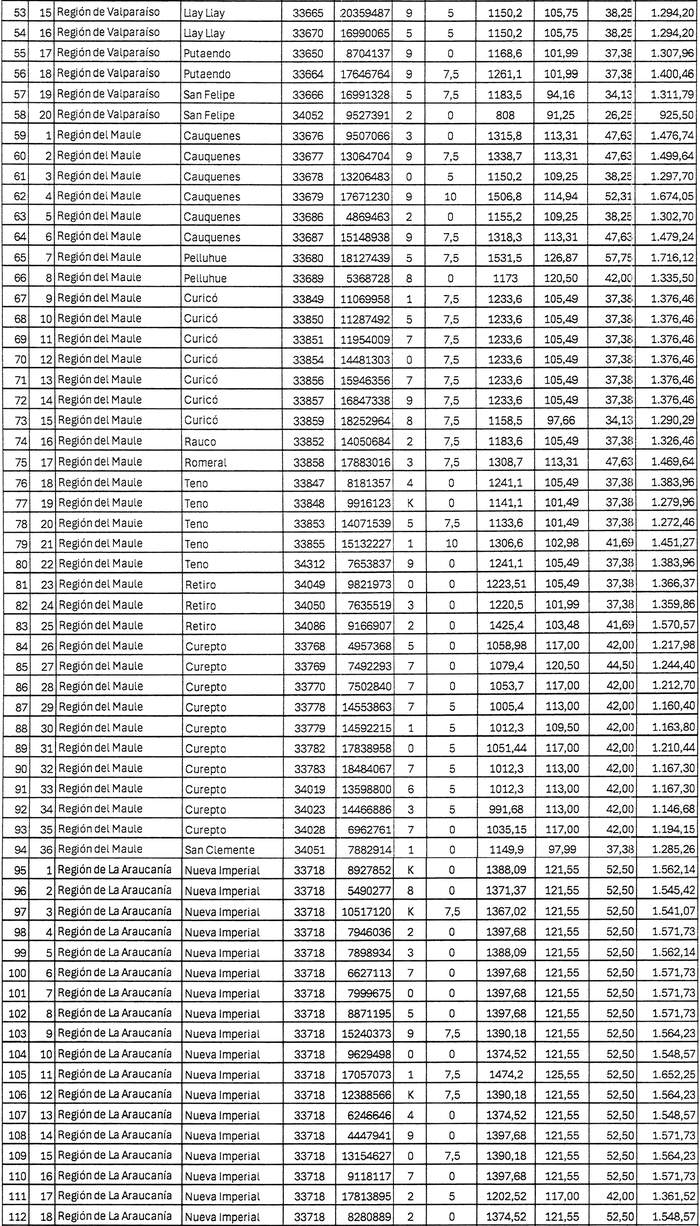
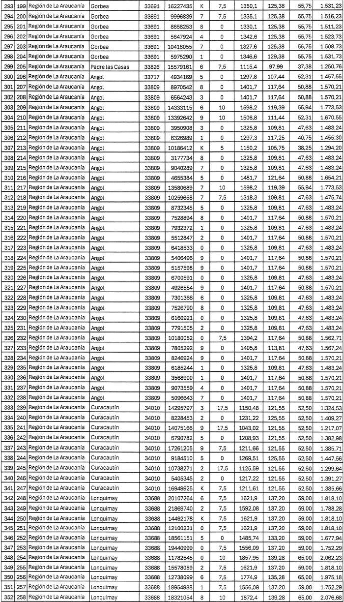
D.O. 07.06.2024 Apruébase la nómina correspondiente a un total de 593 familias que han sido seleccionadas, para el otorgamiento de subsidios habitacionales correspondientes a la Tipología Construcción en Sitio del Residente, del Llamado a Postulación en Condiciones Especiales de 2023, citado en la letra d) del Programa de Habitabilidad Rural en su título II, regulado por el DS N°10 (V. y U.), de 2015; la que se adjunta a la presente resolución y se entenderá como parte integrante de ésta. Además, fíjase el número de postulantes seleccionados por región, según el siguiente detalle:
VIVIENDA
N° 4, 4.2
D.O. 07.06.2024 Apruébase la nómina correspondiente a un total de 593 familias que han sido seleccionadas, para el otorgamiento de subsidios habitacionales correspondientes a la Tipología Construcción en Sitio del Residente, del Llamado a Postulación en Condiciones Especiales de 2023, citado en la letra d) del Programa de Habitabilidad Rural en su título II, regulado por el DS N°10 (V. y U.), de 2015; la que se adjunta a la presente resolución y se entenderá como parte integrante de ésta. Además, fíjase el número de postulantes seleccionados por región, según el siguiente detalle:






3. Comprométanse los recursos disponibles para la selección del llamado en condiciones especiales aprobado por la resolución exenta citada en el visto d), los que se destinarán al financiamiento de subsidios habitacionales, cuyos proyectos han sido aprobados por el Serviu en concordancia con la normativa vigente, y cuya distribución por región se detalla en la siguiente tabla:
Considérese que los recursos que señala el Resuelvo 1, que hayan sido comprometidos, quedarán disponibles para la selección correspondiente a proyectos aprobados para el mes de diciembre de 2023.
4.Resolución 759 EXENTA,
VIVIENDA
N° 4, 4.4
D.O. 07.06.2024 Impútese el monto total de 884.698,67 Unidades de Fomento señaladas en el cuadro inserto en el Resuelvo 3 de la presente resolución, a los recursos disponibles para las regiones que se indican, en el Programa de Habitabilidad Rural correspondiente al año 2023. Facúltase a la Seremi que corresponda a rectificar errores de digitación de la presente resolución, pudiendo corregir nombres y números de cédula de identidad de los beneficiarios, número de expediente, y rectificar los montos de subsidios asignados, originados en errores no imputables a las Entidades de Gestión Rural. Si la rectificación del subsidio supone un aumento del monto establecido en la presente resolución, sólo podrá asignarse hasta el valor máximo de subsidio dispuesto para cada tipología, clase de proyecto, y/o subsidio complementario correspondiente, en el Llamado regulado mediante la resolución exenta N°833, citada en el Visto d) de la presente resolución. En tales casos, y previo a la emisión de la resolución de Asignación de recursos, la Seremi deberá contar la validación de la imputación presupuestaria que proceda, otorgada por la División de Política Habitacional.
VIVIENDA
N° 4, 4.4
D.O. 07.06.2024 Impútese el monto total de 884.698,67 Unidades de Fomento señaladas en el cuadro inserto en el Resuelvo 3 de la presente resolución, a los recursos disponibles para las regiones que se indican, en el Programa de Habitabilidad Rural correspondiente al año 2023. Facúltase a la Seremi que corresponda a rectificar errores de digitación de la presente resolución, pudiendo corregir nombres y números de cédula de identidad de los beneficiarios, número de expediente, y rectificar los montos de subsidios asignados, originados en errores no imputables a las Entidades de Gestión Rural. Si la rectificación del subsidio supone un aumento del monto establecido en la presente resolución, sólo podrá asignarse hasta el valor máximo de subsidio dispuesto para cada tipología, clase de proyecto, y/o subsidio complementario correspondiente, en el Llamado regulado mediante la resolución exenta N°833, citada en el Visto d) de la presente resolución. En tales casos, y previo a la emisión de la resolución de Asignación de recursos, la Seremi deberá contar la validación de la imputación presupuestaria que proceda, otorgada por la División de Política Habitacional.
5. Déjase establecido que la resolución exenta N°833 (V. y U.), de fecha 21 de abril de 2023, se mantendrá vigente en todo aquello que no ha sido modificado por el presente acto administrativo.
Anótese, publíquese en el Diario Oficial y archívese.- Carlos Montes Cisternas, Ministro de Vivienda y Urbanismo.
Lo que transcribo para su conocimiento.- Vicente Burgos Salas, Subsecretario de Vivienda y Urbanismo (S).
NÓMINA DE 549 FAMILIAS BENEFICIADAS - Resolución Exenta N°833 del 2023 - Llamado Título II en la Modalidad Vivienda Nueva - Tipología Construcción en Sitio del Residente D.S. N°10 (V. y U.) DE 2015.











