ESTABLECE BASES TÉCNICAS PARA EL CÁLCULO DEL ARANCEL REGULADO, DERECHOS BÁSICOS DE MATRÍCULA Y COBROS POR CONCEPTO DE TITULACIÓN O GRADUACIÓN, EN EL MARCO DEL FINANCIAMIENTO INSTITUCIONAL PARA LA GRATUIDAD, AÑO ACADÉMICO 2025
Núm. 1.481 exenta.- Santiago, 2 de febrero de 2024.
Considerando:
1°. Que, la Ley Nº 21.091, sobre Educación Superior, adelante e indistintamente, "Ley Nº 21.091" o "Ley de Educación Superior", regula en su Título V el Financiamiento Institucional para la Gratuidad, regulándose específicamente, en su Párrafo 2º, los Valores Regulados de Aranceles, Derechos Básicos de Matrícula y Cobros por concepto de Titulación o Graduación.
2°. Que, en cumplimiento de lo dispuesto en los artículos 88 y siguientes, en relación con el artículo trigésimo séptimo transitorio, todos de la Ley en comento, esta Subsecretaría de Educación Superior (en adelante e indistintamente, "la Subsecretaría") dictó la resolución exenta Nº 6.255, de 2022, que estableció las primeras Bases Técnicas para el cálculo del Arancel Regulado, Derechos Básicos de Matrícula y cobros por concepto de titulación o graduación, en el marco del Financiamiento Institucional para la Gratuidad (en adelante e indistintamente, la "resolución exenta Nº 6.255, de 2022").
3°. Que, conforme a la dictación de este último acto administrativo, se dictó la resolución exenta Nº 2.483, de 2023, de la Subsecretaría de Educación Superior, que determinó los Aranceles Regulados, los Derechos Básicos de Matrícula y Cobros por concepto de Titulación o Graduación para las Instituciones de Educación Superior que acceden al Financiamiento Institucional para la Gratuidad (en adelante e indistintamente, la "resolución exenta Nº 2.483, de 2023").
4°. Que, en cumplimiento a lo dispuesto en el artículo 94 de la Ley Nº 21.091, los Valores Regulados referidos en el considerando anterior fueron actualizados para su aplicación al año académico 2024 mediante la resolución exenta Nº 5.425, de 2023, de la Subsecretaría de Educación Superior, que actualizó los Valores Regulados de Aranceles, Derechos Básicos de Matrícula y Cobros por concepto de Titulación o Graduación determinados en la resolución exenta Nº 2.483, de 2023, y fijó la nómina de Instituciones de Educación Superior que accederán al Financiamiento Institucional para la Gratuidad en el año académico 2024 (en adelante e indistintamente, la "resolución exenta Nº 5.425, de 2023").
5°. Que la metodología establecida en la resolución exenta Nº 6.255, de 2022, definió un procedimiento para la conformación de "grupos de carreras" a través de dos etapas. En la primera, las carreras fueron clasificadas en "macrogrupos" a partir del tipo de carrera (profesional o técnico-profesional) y su estructura curricular, definida esta última a partir de las Áreas y Subáreas de la Clasificación Internacional Normalizada de Educación (CINE-F 2013) establecida por la Organización de las Naciones Unidas para la Educación, la Ciencia y la Cultura ("UNESCO"). En la segunda etapa, al interior de cada uno de los "macrogrupos" se conformaron grupos definitivos en función de los años de acreditación de la Institución que imparte la carrera; su acreditación en investigación (para carreras profesionales) o en algún área optativa (para carreras técnico-profesionales); el tamaño de la Institución definido en función de su número de sedes; la región en la cual se ubica la carrera y/o la sede central de la Casa de Estudios; y la jornada en la cual se imparte la carrera.
En ese orden de ideas, las primeras Bases Técnicas fijadas en la resolución exenta Nº 6.255, de 2022, establecieron en forma expresa cuáles fueron las carreras a regular para el año académico 2024 conforme a la metodología establecida en las referidas Bases. Estas corresponden a cuatro "macrogrupos" de carreras, a saber: carreras Profesionales de las subáreas CINE-F 2013 de "Bienestar" y "Periodismo e Información", y carreras Técnico-Profesionales de las subáreas de "Bienestar" y "Servicios de Higiene y Salud Ocupacional".
6°. Que la dictación de la resolución exenta Nº 6.255, de 2022 se enmarcó dentro de lo establecido en el artículo trigésimo séptimo transitorio de la Ley Nº 21.091, en cuanto a los procedimientos y pasos establecidos para la elaboración de las primeras Bases Técnicas. Aquello, toda vez que, previamente a la dictación de la referida resolución exenta, no existió un proceso regulatorio finalizado conforme a lo estipulado en la referida ley.
Por el contrario, el procedimiento a observar por parte de esta Subsecretaría a efectos de determinar nuevas Bases Técnicas para la incorporación de otros "macrogrupos" de carreras a la regulación a partir del año académico 2025 corresponde a lo dispuesto en los artículos 91 y 95 de las disposiciones permanentes de la Ley Nº 21.091. Este régimen permanente considera dos instancias de revisión por parte de la Comisión de Expertos para la Regulación de Aranceles (en adelante e indistintamente, "CERA", "la Comisión" o "Comisión Experta") ante las propuestas de Bases Técnicas presentadas por la Subsecretaría, y otorga un carácter vinculante a las observaciones planteadas en la segunda revisión efectuada por parte de la CERA, por lo cual las eventuales recomendaciones planteadas en dicha instancia por la Comisión deben, necesariamente, ser incorporadas en dichas Bases Técnicas.
7°. Que, de conformidad a lo dispuesto en los incisos primero y segundo del artículo 91 de la Ley Nº 21.091, la Subsecretaría efectuó dos procesos de consulta con el propósito de recabar antecedentes que sirviesen de insumos a la elaboración de las presentes Bases Técnicas.
El primero de ellos tuvo como propósito evaluar y perfeccionar las definiciones e ítems a considerar para el levantamiento de información de costos del año 2022 de las instituciones adscritas a la Gratuidad, en relación a las definiciones utilizados en la anterior recolección de datos, que se realizó en 2022 y solicitó antecedentes correspondientes al año 2021. Para ello, entre los meses de julio y agosto de 2023 se llevaron a cabo reuniones de trabajo desarrolladas de manera conjunta con los respectivos organismos coordinadores de las instituciones adscritas a la Gratuidad, a saber: el Consejo de Rectores y Rectoras de las Universidades Chilenas ("CRUCH"); la Corporación de Universidades Privadas ("CUP"), Consejo de Institutos y Centros de Formación Técnica Acreditados ("Vertebral Chile"), y la Red de Centros de Formación Técnica Estatales de Chile ("CFTECH"). De igual forma, el 4 de agosto de 2023 se convocó a una reunión, con el mismo tenor y objetivos, a las instituciones adscritas a la Gratuidad que no se encuentran adscritas a ningún organismo coordinador, a saber: la Universidad Mayor, el Centro de Formación Técnica Lota Arauco ("CFT Lota Arauco"), y el Centro de Formación Técnica de la Pontificia Universidad Católica de Valparaíso ("CFT PUCV").
El segundo proceso se llevó a cabo en el mes de noviembre de 2023, a través de reuniones de trabajo en las que la Subsecretaría presentó una propuesta preliminar de modificaciones a incorporar en estas nuevas Bases Técnicas, en comparación a las primeras Bases contenidas en la resolución exenta Nº 6.255, de 2022, con el propósito de someter estas definiciones a análisis y comentarios por parte de las instituciones. Al igual que en la primera consulta, las sesiones fueron organizadas en conjunto a las agrupaciones coordinadoras de instituciones antes señaladas, a saber: el CRUCH, la CUP, Vertebral Chile, y la Red CFTECH, además de una reunión sostenida el 29 de noviembre de 2023 con las Instituciones no afiliadas a ninguna de esas entidades, a saber, la Universidad Mayor; el CFT Lota Arauco y el CFT PUCV. A lo anterior se sumó una reunión convocada para estos efectos con la Confederación de Federaciones de Estudiantes de Chile ("CONFECH"), que se llevó a cabo el 23 de noviembre de 2023.
8°. Que, de conformidad con el procedimiento establecido en el inciso primero del artículo 91, la Subsecretaría presentó a la Comisión Experta, mediante el Oficio Ord. Nº 06/13002 del 14 de diciembre de 2023, una primera propuesta de Bases Técnicas. Asimismo, y tal cual dispone el inciso segundo del mismo artículo, la presentación en comento fue acompañada de los antecedentes relacionados con los procesos de consulta descritos en el considerando 7º.
9°. Que la CERA, dando cumplimiento a lo establecido en el inciso tercero del artículo 91, se pronunció en sesión de fecha 4 de enero de 2024, emitiendo un informe de observaciones mediante el Oficio Nº 01-2024. Dicho documento contiene las apreciaciones y propuestas efectuadas por la Comisión, acerca de la primera propuesta de Bases Técnicas referida en el considerando 8º.
En un primer nivel, el informe de la CERA planteó observaciones de carácter formal, orientadas a favorecer la comprensión lectora de la metodología y sus componentes. Entre ellas se consideran ajustes al título y glosario presentados en la propuesta; la mención al rol de la Comisión en la elaboración de las Bases Técnicas de acuerdo a los artículos 91 y 95, ambos de la Ley Nº 21.091; la incorporación de antecedentes referidos a los procedimientos de validación y construcción de las variables en las bases de datos de Matrícula y Oferta Académica administradas por el Servicio de Información sobre Educación Superior de esta Subsecretaría ("SIES"); el ajuste a los criterios mínimos de número de carreras requerido para la conformación de "macrogrupos" a efectos de permitir el uso de medidas de tendencia central; y la solicitud de una presentación escrita resumida respecto de los procesos de consulta llevados a cabo y las principales observaciones formuladas en ellos.
En un segundo nivel, el documento de la Comisión plantea observaciones de carácter sustantivo, que implican sugerencias y modificaciones a aspectos propios de la metodología de cálculo. Los comentarios de la CERA en esta materia fueron los siguientes:
a) Sobre el procedimiento de corrección de valores atípicos ("winsorización"): la Comisión propuso que este procedimiento sea aplicado por separado a nivel de cada "macrogrupo" de carreras, a fin de eliminar los valores atípicos en cada grupo individualmente, previamente al cálculo de los Valores Regulados.
b) Estimación de costos de infraestructura: la CERA planteó que el uso de la información de montos de arriendo autorreportados por las Instituciones no permite establecer un valor representativo de los costos de oportunidad asociados a la infraestructura utilizada por cada carrera, y propuso la utilización de información del mercado inmobiliario para lograr una aproximación al valor de los activos involucrados.
c) Nivel y años de acreditación: la Comisión señaló que el cambio de nivel de acreditación (de "avanzado" a "excelencia") debiese ser considerado de manera específica en el preíndice. Concretamente sugirió que, cuando se trate de instituciones con acreditación de excelencia, el número de años esté ponderado por un parámetro mayor que 1, mientras que en los restantes años este sea igual a uno.
d) Tamaño: respecto de la variable de tamaño construida a partir del número de sedes, la CERA valoró positivamente su pertinencia para el cálculo de los costos y la definición de Valores Regulados en el subsistema técnico-profesional. Sin embargo, para el subsistema universitario estimó apropiado que el tamaño sea expresado en función de la matrícula institucional de pregrado.
e) Complejización institucional: la Comisión estimó apropiado el nuevo indicador propuesto por la Subsecretaría basado en el número de doctorados acreditados por la Comisión Nacional de Acreditación ("CNA") por cada Institución, pero solicitó precisar la fecha de corte de la decisión de acreditación, y considerar los doctorados dictados en consorcio de manera proporcional al número de instituciones que los imparten.
f) Definición de grupos: la CERA solicitó simplificar la explicación del nuevo procedimiento adicional propuesto por la Subsecretaría para la subdivisión de macrogrupos que presenten mayores niveles de variabilidad, basado en los "z-scores" de cada una de las "áreas carrera genérica SIES" que conforman el "macrogrupo".
g) Proceso de linealización: la Comisión estimó necesario justificar de qué forma el proceso de linealización agrega más valor estadístico a la determinación del Arancel Regulado que otro mecanismo más sencillo como un método de ponderación simple. Asimismo, planteó que la determinación de los límites mínimo y máximo del proceso de linealización requieren de una redacción con mayor detalle que permita al regulado conocer los criterios contemplados para su estimación.
10º. Que, de acuerdo a lo dispuesto en el referido inciso tercero del artículo 91 de la Ley Nº 21.091, la Subsecretaría presentó a la Comisión Experta, mediante el Oficio Ord. Nº 06/960 del 18 de enero de 2024, una segunda propuesta de Bases Técnicas. Acompañándose, además, una minuta de desglose de sus observaciones, junto con el pronunciamiento detallado de esta Subsecretaría respecto de cada una de ellas, y la forma en que estas fueron trabajadas en la segunda propuesta de Bases Técnicas.
Las observaciones formales planteadas por la Comisión fueron incorporadas en su totalidad en la segunda propuesta de Bases Técnicas. En cuanto a las observaciones de carácter sustantivo, estas fueron abordadas en los siguientes términos:
a) Sobre el procedimiento de corrección de valores atípicos ("winsorización"): se incorporó la winsorización a nivel de cada "macrogrupo" como una opción adicional a las originalmente propuestas, que debe ser evaluada en el Informe de Cálculo junto con las demás alternativas de acuerdo al "índice de distancia respecto de la distribución normal" ("IDN") contemplado en las Bases.
b) Estimación de costos de infraestructura: se explicitó en la propuesta de Bases el mandato expreso a la Subsecretaría de proponer, para la regulación 2026, una metodología y/o procedimiento para estos efectos. Este estará basado en tres tipos de fuentes: i) datos del mercado inmobiliario; ii) estudios y/o análisis aportados por las propias Instituciones de Educación Superior; y iii) posibles aperturas adicionales a los Estados Financieros auditados de aquellas instituciones cuya contabilidad está ajustada a las Normas Internacionales de la Información Financiera (IFRS).
La definición deberá considerar consultas a las Instituciones; a la Contraloría General de la República (CGR); a la Superintendencia de Educación Superior (SES); y a la CERA. Dichas consultas se llevarán a cabo con anterioridad al próximo levantamiento de información de costos de carreras y programas.
c) Nivel y años de acreditación: se robusteció la argumentación en la segunda propuesta de Bases, resaltando tres consideraciones centrales. Primero, que la propia Ley Nº 21.091 asocia los niveles de acreditación a la esca la de años. Segundo, que el nuevo régimen de acreditación institucional comenzó recientemente en el mes de octubre del año 2023, y no existe actualmente en el sistema ningún resultado de un proceso de autoevaluación y acreditación conducidos completamente bajo este nuevo régimen. Tercero, y relacionado con lo anterior, que a la fecha no existe documentación pública de la CNA que defina parámetros específicos y observables para los niveles de acreditación, distintos a los de los años.
d) Tamaño: se argumentó que la definición de tamaño a partir del número de sedes está asociada a su relación con potenciales economías de escala, habida cuenta de que a partir del análisis de datos es la única relación estadísticamente significativa entre tamaño y costos que se ha identificado en estos levantamientos de información.
e) Complejización institucional: se precisó en la redacción la fecha de corte de los datos de acreditación -31 de diciembre del año anterior al cálculo-, y se explicitó el tratamiento de los doctorados impartidos en consorcio, en los términos propuestos por la CERA.
f) Definición de grupos: la segunda propuesta de Bases Técnicas no considera la entrada en la regulación a partir de 2025 de los "macrogrupos" de carreras más grandes y susceptibles de ser subdivididos en base a sus costos, por lo cual se eliminaron las referencias a la metodología planteada en la primera propuesta, con el propósito de robustecerla de cara a la futura regulación de nuevos "macrogrupos" a partir del año académico 2026.
g) Proceso de linealización: se incorporó una redacción con más detalle y justificación en la segunda propuesta de Bases Técnicas. El propósito central de este procedimiento es poder conformar grupos que representen conjuntos de carreras o programas que posean estructuras de costos similares entre sí, respetando y reflejando la mayor o menor heterogeneidad de los respectivos "macrogrupos" expresada en sus desviaciones estándar. Cabe señalar que aquello representa una ventaja en comparación con la "ponderación" porcentual simple de las variables comprendidas en el preíndice, aplicada en forma pareja a todos los "macrogrupos" independiente de sus distintos niveles de heterogeneidad.
11º. Que, conforme a lo establecido en el inciso cuarto del artículo 91 de la Ley Nº 21.091, la Comisión Experta se pronunció mediante Oficio Nº 03-2024, que remite informe respecto a la segunda propuesta de Bases Técnicas. La Comisión acompañó, además, un Anexo que contiene la segunda propuesta de Bases Técnicas con modificaciones incorporadas a partir de los pronunciamientos contenidos en su informe. Lo anterior, de conformidad al artículo 95 de la Ley Nº 21.091, cuyo literal a) establece como parte de las atribuciones de la CERA el "Aprobar o modificar fundadamente las Bases Técnicas para el cálculo de los valores de aranceles regulados, Derechos Básicos de Matrícula y cobros por concepto de titulación o graduación, presentadas por la Subsecretaría". (El subrayado es nuestro).
En lo referido a las observaciones formales planteadas en el informe referido en el considerando 9º, la Comisión se manifestó de acuerdo con su incorporación en la segunda propuesta de Bases Técnicas por parte de la Subsecretaría, y añadió ajustes formales adicionales en el documento Anexo, las que se incorporan en su totalidad al presente acto administrativo.
Respecto a las observaciones de carácter sustantivo, y la respuesta a estas planteada por la Subsecretaría conforme a lo descrito en el considerando 10º, el informe de la CERA se pronuncia en los siguientes términos:
a) Sobre el procedimiento de corrección de valores atípicos ("winsorización"): la Comisión concordó con lo incorporado en la segunda propuesta de la Subsecretaría.
b) Estimación de costos de infraestructura: la Comisión compartió que la utilización de un criterio unificado no es factible para el actual proceso, dada la heterogeneidad que exhiben las Instituciones de Educación Superior en cuanto a su metodología de valoración contable de la infraestructura. Subraya, no obstante, la necesidad de que el proceso futuro de regulación a implementar a partir del año académico 2026 incorpore nuevas fuentes de información, tanto de instituciones públicas como privadas, que permitan obtener estimaciones más robustas del costo en que incurren las instituciones por la utilización de la infraestructura respectiva.
c) Nivel y años de acreditación: la Comisión manifestó su acuerdo respecto de los fundamentos incorporados a este respecto por esta Subsecretaría.
d) Tamaño: la Comisión reiteró lo planteado en su primer informe, y consecuentemente modificó la segunda propuesta en los términos indicados en el Anexo. Argumentó que expresar la variable "tamaño" en función del número de sedes de las Instituciones de Educación Superior en gratuidad es adecuado para el subsistema técnico-profesional, mas no para el subsistema universitario. La razón estriba en la distinta naturaleza de las instituciones de estos subsistemas, la que conduce a que las decisiones de distribución de sus recursos docentes hayan sido impulsadas por concepciones misionales diferentes, cuestión refrendada -en opinión de la Comisión- por las definiciones básicas de cada una de las instituciones de estos subsistemas contenidas en el artículo 3 de la Ley Nº 21.091.
e) Complejización institucional: la Comisión compartió lo relacionado con la aplicación de la complejidad en las instituciones universitarias. Asimismo, hizo presente que, en el subsistema técnico-profesional, si bien ahora aún se requiere mayor nivel de desarrollo progresivo de los componentes de complejid ad asociados a la acreditación institucional y la adopción de nuevos criterios misionales, es indispensable su consideración oportuna en próximos procesos. Se incorporan al Anexo modificaciones fundadas al título de este apartado en las Bases Técnicas, y a la consideración de la complejidad en el subsistema técnico-profesional en procesos futuros.
f) Proceso de linealización: la Comisión concordó con lo establecido en la segunda propuesta de esta Subsecretaría.
12º Que, de conformidad a lo expuesto, corresponde que esta Subsecretaría, incorporando las observaciones efectuadas por la CERA, dicte el acto administrativo que fija las Bases Técnicas para el cálculo del Arancel Regulado, Derechos Básicos de Matrícula y Cobros por concepto de Titulación o Graduación para los grupos de carreras que serán incorporados a la regulación a partir del año académico 2025.
Visto:
Lo dispuesto en la Ley Nº 18.575 Orgánica Constitucional de Bases Generales de la Administración del Estado, cuyo texto refundido, coordinado y sistematizado fue fijado por el decreto con fuerza de ley Nº 1/19.653, de 2000, del Ministerio Secretaría General de la Presidencia; en la Ley Nº 18.956, que Reestructura el Ministerio de Educación Pública; en la Ley Nº 19.880, que establece Bases de los Procedimientos Administrativos que rigen los Actos de los Órganos de la Administración del Estado; en la Ley Nº 20.129, que establece un Sistema Nacional de Aseguramiento de la Calidad de la Educación Superior; en la Ley Nº 21.091, sobre Educación Superior; en la Ley Nº 21.485, de 2022, del Ministerio de Educación, que modifica el plazo de entrada en vigencia de los Aranceles Regulados, Derechos Básicos de Matrícula y cobros por concepto de Titulación o Graduación establecidos en el Título V de la Ley Nº 21.091; en el decreto con fuerza de ley Nº 3, de 2019, del Ministerio de Educación; en la resolución exenta Nº 6.053, de 2021, de la Subsecretaría de Educación Superior; en las resoluciones exentas Nºs 1.350, 1.376, 2.253, 5.660, y 6.255, todas de 2022, de la Subsecretaría de Educación Superior; en las resoluciones exentas Nºs 2.483 y 5.425, ambas de 2023, de la Subsecretaría de Educación Superior; en el oficio Ord. Nº 06/13.002, de 2023, de la Subsecretaría de Educación Superior; en el oficio Ord. Nº 06/960, de 2024, de la Subsecretaría de Educación Superior; en los oficios Nºs 01-2024 y 03-2024, ambos de 2024 de la Comisión de Expertos para la Regulación de Aranceles, y en la resolución Nº 7, de 2019, de la Contraloría General de la República.
Resuelvo:
Artículo primero .- Fíjanse las primeras Bases Técnicas para el cálculo del Arancel Regulado, Derechos Básicos de Matrícula y cobros por concepto de titulación o graduación para los grupos de carrera que indica, cuyo texto se inserta a continuación:
Bases Técnicas para la determinación de Valores Regulados de Aranceles, Derechos Básicos de Matrícula y Cobros por concepto de Titulación o Graduación, en Instituciones de Educación Superior adscritas al Financiamiento Institucional para la Gratuidad, año académico 2025
Índice de Contenidos
Introducción
1. Objeto, alcance y definiciones normativas de la presente regulación
2. Información requerida para la aplicación de la metodología de cálculo
2.1. Proceso de recolección de información de carreras y matrículas, y de determinación de la unidad de observación
2.2. Proceso de recolección de información de costos para la regulación
2.3. Tratamiento de costos directos e indirectos
2.4. Tratamiento de costos de infraestructura
2.5. Determinación del costo total por estudiante
2.6. Determinación del costo total por estudiante a través de los años
3. Procedimientos para el cálculo de Valores Regulados
3.1. Definiciones de las variables para la conformación de grupos de carreras
3.2. Primera etapa de agrupación: Determinación de macrogrupos
3.3. Segunda etapa de agrupación: Grupos de carreras y determinación de aranceles regulados
3.4. Derechos Básicos de Matrícula
3.5. Cobros por concepto de Titulación o Graduación
4. Fijación de Valores Regulados 2025: Macrogrupos de carreras y actualización de montos
4.1. Macrogrupos de carreras a regular para el año académico 2025
4.2. Actualización periódica de los Valores Regulados
Referencias
Índice de Tablas
Tabla 1 - Etapas del proceso de regulación (Ley Nº 21.091)
Tabla 2 - Ítems de costos directos e indirectos en levantamiento de información 2022
Tabla 3 - Ítems de infraestructura institucional en levantamiento de información 2022
Tabla 4 - Ítems de infraestructura de la carrera en levantamiento de información 2022
Tabla 5 - Etapas de proceso de estimación de costos e indirectos por estudiante
Tabla 6 - Variables de costos directos e indirectos por estudiante, según aplicaciones de procedimiento de corrección de outliers
Tabla 7 - Variables de costos de inversión en infraestructura por estudiante, según aplicaciones de procedimiento de corrección de outliers
Tabla 8 - Áreas y Subáreas CINE-F UNESCO 2013
Tabla 9 - Años de acreditación IES adscritas a Gratuidad en 2024
Tabla 10 - Acreditación en investigación/área optativa de IES adscritas a Gratuidad en 2024
Tabla 11 - Próxima presentación a acreditación de IES adscritas a Gratuidad en 2024
Tabla 12 - Operacionalización de variables para la segunda etapa de agrupación
Tabla 13 - Indicadores de matrícula de programas presenciales de pregrado 2023, para macrogrupos de carreras a regular en año académico 2024
Tabla 14 - Indicadores de matrícula de programas presenciales de pregrado 2023, para macrogrupos de carreras a regular en año académico 2025
Índice de Figuras
Figura 1 - Costos totales por estudiante según número de sedes (carreras impartidas por centros de formación técnica e institutos profesionales)
Figura 2 - Costos totales por estudiante según número de estudiantes matriculados en pregrado (carreras impartidas por universidades)
Figura 3 - Costos totales por estudiante según grupo de acreditación de doctorados (carreras profesionales)
Índice de Ecuaciones
Ecuación 1 - Ajuste a variable de control de ingresos por aranceles
Ecuación 2 - Razón entre costos reportados y variable de control
Ecuación 3 - Ajuste de ítems carrera (si Ratio i > 1)
Ecuación 4 - Ajuste de ítems sede (si Ratio i > 1)
Ecuación 5 - Ajuste de ítems institucionales (si Ratio i > 1)
Ecuación 6 - Ítems de costos de carrera por estudiante
Ecuación 7 - Ítems de costos de sede por estudiante
Ecuación 8 - Costos de gobierno central por estudiante
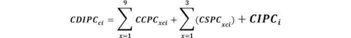
Ecuación 9 - Índice de distancia de la distribución normal (para CDIPC)
Ecuación 10 - Ratios de reporte de infraestructura PES-SIES por ítem
Ecuación 11 - Ajuste del reporte de infraestructura en función a metrajes SIES por ítem
Ecuación 12 - Valor de arriendo promedio por ítem
Ecuación 13 - Valor de infraestructura por estudiante
Ecuación 14 - Índice de distancia de la distribución normal (para CINFPC)
Ecuación 15 - Costos directos e indirectos por estudiante
Ecuación 16 - Costos de inversión en infraestructura por estudiante
Ecuación 17 - Costo total por estudiante
Ecuación 18 - Preíndice de agrupación (carreras profesionales)
Ecuación 19 - Preíndice de agrupación (carreras técnico-profesionales)
Ecuación 20 - Índice de agrupación
Ecuación 21 - Fórmula de cálculo del Arancel Regulado
Glos
ario
ario
Introducción
El Financiamiento Institucional para la Gratuidad fue incorporado por primera vez mediante una Glosa dentro de la Ley de Presupuestos del Sector Público para el año 2016. En esta primera instancia, la Glosa fue destinada a costear los estudios superiores del estudiantado perteneciente al 50% de la población de menores ingresos que contara con matrícula en Universidades Estatales o Universidades Privadas que manifestaran su voluntad de adscribir a este Financiamiento, previo cumplimiento de requisitos específicos. En los años 2017 y 2018, la Glosa presupuestaria fue ampliada, respectivamente, a Institutos Profesionales y Centros de Formación Técnica, y al financiamiento de estudios gratuitos para estudiantes pertenecientes al sexto decil de menores ingresos.
La Ley Nº 21.091 sobre Educación Superior, publicada en mayo de 2018, consagra en forma permanente el Financiamiento Institucional para la Gratuidad, estableciendo asimismo la regulación asociada a aspectos tales como los requisitos y condiciones que deben cumplir las instituciones -que deseen adscribir a este financiamiento- y los y las estudiantes -que busquen optar al beneficio-; el itinerario para su eventual ampliación a estudiantes de mayores niveles de ingresos en función de la recaudación fiscal estructural; la regulación de vacantes a las instituciones que se incorporen a esta política, y los criterios y procedimientos para la determinación del monto de este Financiamiento hacia las Instituciones de Educación Superior (en lo sucesivo, "instituciones" o "IES"), junto con la conformación de una Comisión de Expertos para la Regulación de Aranceles (en lo sucesivo "CERA" o "Comisión Experta"), independiente de la Subsecretaría de Educación Superior (en lo sucesivo, "SUBESUP" o la "Subsecretaría") como contraparte técnica del proceso regulatorio.
Uno de los aspectos centrales, en este contexto, es la determinación de Valores Regulados de Aranceles, Derechos Básicos de Matrícula y Cobros por concepto de Titulación o Graduación, en tanto constituyen la unidad base del Financiamiento Institucional para la Gratuidad (en lo sucesivo, "Política de Gratuidad"). Para ello, el artículo 90 de la Ley Nº 21.091 dispone que la Subsecretaría debe establecer Bases Técnicas para la realización de dichos cálculos. Asimismo, la Ley Nº 21.485 dispuso que los primeros Valores Regulados deberán entrar en vigencia a partir del año académico 2024, estableciendo además que, para tales efectos, la Subsecretaría deberá publicar las primeras Bases Técnicas dentro del segundo semestre de 2022.
Dando cumplimiento al referido mandato legal, la Subsecretaría fijó, mediante resolución exenta Nº 6.255 del 30 de diciembre de 2022, las primeras Bases Técnicas para el cálculo de Valores Regulados (en lo sucesivo, "las Primeras Bases Técnicas"). Asimismo, mediante resolución exenta Nº 2.483 del 28 de abril de 2023 la Subsecretaría publicó los primeros Valores Regulados que entrarán en vigencia a partir del año académico 2024, los que fueron actualizados de acuerdo al inflactor de la Ley de Presupuestos 2024 y a los cambios recientes en los niveles y años de acreditación de las instituciones adscritas a la Política de Gratuidad, mediante resolución exenta Nº 5.425 del 31 de octubre de 2023.
Las Primeras Bases Técnicas establecieron las primeras carreras a regular, determinando que para el caso de las carreras profesionales (Bachilleratos o equivalentes, Licenciaturas, Profesionales con Licenciatura) corresponderían a aquellas clasificadas en las Subáreas CINE-F de "Bienestar" y "Periodismo e Información", mientras que para las carreras técnico-profesionales (Técnicas de Nivel Superior y Profesionales sin Licenciatura) las primeras corresponden a las áreas de "Bienestar" y "Servicios de Higiene y Salud Ocupacional". Aquella decisión tuvo como propósito central el hacer del primer proceso regulatorio una experiencia inicial, que permitiese validar, calibrar, evaluar y mejorar el modelo de regulación ahí planteado, en miras a la entrada gradual de áreas del conocimiento al régimen de regulación de aranceles, Derechos Básicos de Matrícula y cobros por concepto de titulación o graduación dispuesto en el articulado permanente de la Ley Nº 21.091.
Recogiendo los aprendizajes del primer proceso, y habiendo dado cumplimiento a los procedimientos establecidos en el texto permanente de la Ley Nº 21.091, el presente documento fija las Bases Técnicas para el cálculo de Valores Regulados para la incorporación de nuevas carreras a la regulación para el año académico 2025. El texto aborda los aspectos que dispone el artículo 90 de la referida ley, a saber: "Estas bases contendrán el mecanismo de elaboración de grupos de carreras, las hipótesis, criterios de cálculo, metodologías y procedimientos conforme a los cuales se determinarán los Valores Regulados". La publicación de los resultados de la implementación de estas definiciones conceptuales y metodológicas, expresados en el conjunto de procedimientos de cálculo aplicados para la determinación de parámetros específicos sobre los cuales se definen los montos regulados para los años académicos correspondientes, constituye una materia a abordar en el Informe y Memoria de Cálculo. Este informe lo debe emitir la Subsecretaría con posterioridad a la publicación de las Bases Técnicas, dentro del plazo de siete meses, contados desde la resolución exenta que establece las Bases Técnicas, de acuerdo a lo estipulado en el artículo 92 de la ley.
El presente documento se organiza en cuatro capítulos. El primero establece el marco normativo para la determinación de estas Bases Técnicas, en particular en lo que respecta al objeto, alcance y definiciones legales fundamentales bajo las cuales se enmarca el presente proceso regulatorio, como también en cuanto a los procedimientos para la elaboración de las Bases Técnicas y el rol que la ley Nº 21.091 mandata a la Subsecretaría y la Comisión Experta en esta materia. El segundo capítulo fija criterios y procedimientos para la recolección, procesamiento y análisis de la información requerida para la aplicación de la metodología de cálculo. Dicha metodología es establecida en el tercer capítulo, en el que se explicita el procedimiento de conformación de grupos de carreras y determinación de aranceles regulados para cada uno de ellos, y los pasos para la regulación de valores de Derechos Básicos de Matrícula y Cobros por Concepto de Titulación o Graduación. Finalmente, el cuarto establece las áreas y tipos de carreras a regular para el año académico 2025, y define los criterios y procedimientos para su actualización periódica durante el plazo de vigencia de los valores establecidos.
1. Objeto, alcance y definiciones normativas de la presente regulación
El presente proceso de regulación está reglamentado en el Párrafo 2º del Título V de la Ley Nº 21.091 sobre Educación Superior: "De los Valores Regulados de aranceles, Derechos Básicos de Matrícula y cobros por concepto de titulación o graduación", que contiene los artículos 88-94 de la referida norma. Previamente, la ley en su artículo 85 establece que la Subsecretaría determinará un monto anual expresado en pesos para las IES que accedan al Financiamiento Institucional para la Gratuidad, considerando los valores de aranceles regulados y Derechos Básicos de Matrícula establecidos de conformidad al procedimiento estipulado en esta normativa, y el volumen de estudiantes de cada Institución, contemplando la información de a lo menos los tres últimos años (1) .
A su vez, el artículo 87 literal a) de esta ley establece, como parte de las obligaciones a las que deben dar cumplimiento las IES adscritas a la Gratuidad, el regirse por la regulación de aranceles, Derechos Básicos de Matrícula y cobros por concepto de titulación o graduación, establecidas en el Párrafo 2º (artículos 88 y siguientes) y en conformidad al Párrafo 5º del presente título (artículos 103 y siguientes). Asimismo, el Párrafo 5º explicita el deber de las IES de otorgar estudios gratuitos a los y las estudiantes que califiquen para ello durante el período de duración formal de sus carreras, entendiendo para tales efectos el eximirlos de todo cobro de aranceles o matrículas, facultándolas para cobrar los costos asociados al proceso de titulación o graduación, por un monto máximo equivalente al establecido a partir de este proceso de regulación.
En este contexto, el antes referido Párrafo 2º del Título V indica la forma en que deben establecerse los Valores Regulados de aranceles, Derechos Básicos de Matrícula y cobros por concepto de titulación o graduación. Respecto de los aranceles, el artículo 88 en su inciso segundo dispone que sus valores se determinarán "en razón a "grupos de carreras" definidos por la Subsecretaría, los que corresponderán a conjuntos de carreras o programas de estudios que tengan estructuras de costo similares entre sí". Establece, asimismo, que para construir dichos grupos "la Subsecretaría deberá considerar, al menos, los recursos que se requieran para impartirlas en razón de su estructura curricular, si se trata de carreras o programas de estudios profesionales o técnicos de nivel superior, los niveles, años y dimensiones de acreditación institucional con que cuentan las instituciones que las imparten, el tamaño de estas últimas y la región en que se imparten".
Es preciso señalar, además, que la ley no establece una definición explícita respecto a qué entenderá por "estructura de costos". Más aún, la única mención a este concepto en todo el texto de la ley se encuentra precisamente en el artículo 88 antes referido, que define los grupos de carreras como conjuntos de carreras o programas "que tengan estructuras de costos similares entre sí". El artículo, además, indica que para el establecimiento de estos grupos la Subsecretaría debe considerar, a lo menos, el catálogo de variables antes señalado. Es decir, al legislar se dispuso que la consideración de estas variables es el mecanismo a través del cual la Subsecretaría puede lograr la mejor aproximación posible a las estructuras de costo de las carreras y programas, y así agrupar en base a estructuras similares. En otras palabras, la premisa que está a la base de esta norma es que a un grupo de carreras que compartan características comunes definidas a partir del catálogo de variables establecidas en el artículo 88, poseerán estructuras de costos similares.
El artículo 89 en su inciso primero establece el objeto del Arancel Regulado, que determina el valor que este debe alcanzar: "El Arancel Regulado deberá dar cuenta del costo de los recursos materiales y humanos que sean necesarios y razonables, de acuerdo a lo previsto en las Bases Técnicas señaladas en el artículo 90, para impartir una carrera o programa de estudios de los grupos de carreras respectivos". Es decir, de acuerdo a la ley, los aranceles regulados no están destinados al financiamiento de todo el quehacer de una Institución de Educación Superior adscrita al régimen de gratuidad, sino específicamente al financiamiento de los costos -necesarios y razonables- asociados a la impartición de una carrera o programa de pregrado. Cabe hacer presente este imperativo, habida cuenta de que el presente proceso regulatorio, así como el quehacer de la Subsecretaría en general y en particular, se enmarca dentro de los términos propios de la denominada "regla de oro" del derecho público chileno: ninguna magistratura, ninguna persona ni grupo de personas pueden atribuirse, ni aun a pretexto de circunstancias extraordinarias, otra autoridad o derechos que los que expresamente se les hayan conferido en virtud de la Constitución o las leyes, expresado en el artículo 7 de la Constitución Política de la República.
El inciso segundo del referido artículo, por su parte, establece que el Arancel Regulado "deberá considerar tanto los costos anuales directos e indirectos como el costo anualizado de las inversiones en infraestructura, tales como laboratorios, servicios, edificios y uso de dependencias". Empero, la ley no prescribe definiciones específicas respecto a cómo entender y categorizar tales costos, siendo así potestad de la Subsecretaría su delimitación, aunque dicha atribución se enmarca dentro del mandato legal de dar cuenta en forma específica de costos asociados a la impartición de una carrera o programa de pregrado.
______________________
(1) Por su parte, el inciso segundo del referido artículo 85 expresa una regla especial para aquellas instituciones nuevas: para establecer el volumen de estudiantes en el caso de instituciones nuevas se considerarán, mientras no alcance el mínimo de años señalado en el inciso anterior, los años para los cuales la Institución disponga la información. Finalmente, dispone el inciso tercero que las IES sólo efectuarán la rendición del aporte institucional para la gratuidad a la Superintendencia, de conformidad a las normas de carácter general que ésta dicte.
Este aspecto ha sido también advertido en forma expresa por la Comisión Experta, que ha propuesto el carácter "necesario" de los costos a considerar en un doble sentido. Por un lado, como una preocupación expresa por incorporar todos los ítems o rubros de costos que se requieren para impartir carreras y programas de pregrado en el país. Por otro, como un imperativo de que el cálculo excluya aquellos rubros o ítems de costos que no resultan "necesarios" para este fin específico (CERA, 11 de enero de 2022, p. 6), aun cuando pudiesen resultar atributos deseables del quehacer de una Institución de Educación Superior y/o contribuyan al desarrollo de sus demás actividades misionales.
En cuanto a los valores de los Derechos Básicos de Matrícula, el artículo 88 establece que estos corresponden a un valor anual por estudiante, determinado según tipo de Institución (universidad, centro de formación técnica o instituto profesional), mientras que los valores de los cobros por concepto de titulación o graduación corresponden a un valor único por estudiante para uno o más grupos de carrera. A diferencia de lo que ocurre en el caso de aranceles, esta norma no establece directrices específicas sobre la cuantía ni el carácter de los costos que estos valores deben cubrir. Asimismo, en contraposición a los aranceles y Derechos Básicos de Matrícula, los cobros por concepto de titulación o graduación no forman parte de la transferencia anual que el MINEDUC debe realizar a las instituciones por concepto de Financiamiento Institucional para la Gratuidad, siendo este un aspecto en el cual las instituciones están facultadas para efectuar cobros, cuyo límite superior es el que fija la presente regulación.
Por otra parte, en términos procedimentales, las etapas, plazos y productos asociados al proceso de regulación de Aranceles, Derechos Básicos de Matrícula y Cobros por concepto de Titulación o Graduación en su régimen permanente están definidas por el Título V de la Ley Nº 21.091 en sus Párrafos 2º y 3º, este último referido a la Comisión Experta en cuanto a sus atribuciones, composición, inhabilidades, honorarios, procedimientos, causales de cesación y normativa aplicable a quienes la integran. La Tabla 1 resume los pasos a seguir para la determinación de Valores Regulados, que han sido observados para efectos de la elaboración de las presentes Bases Técnicas. A diferencia del procedimiento contemplado en el régimen transitorio de la referida ley, bajo el cual la Subsecretaría elaboró las primeras Bases plasmadas en la resolución exenta Nº 6.255 de 2022, el articulado permanente considera una doble retroalimentación de las Bases Técnicas entre la Subsecretaría y la Comisión Experta, que involucra una primera devolución de la CERA de carácter no vinculante, y una segunda en la cual las observaciones de la Comisión poseen carácter vinculante, y deben, por lo tanto, ser incorporadas en las Bases Técnicas.
Tabla 1 - Etapas del proceso de regulación (Ley Nº 21.
091)
091) 2. Información requerida para la aplicación de la metodología de cálculo
El presente capítulo describe el proceso de construcción de la información estadística requerida para la determinación de Valores Regulados de arancel, de Derechos Básicos de Matrícula y de cobros por concepto de titulación o graduación, expresados en pesos por estudiante. El presente proceso de recolección de información corresponde al año 2022, por lo que, cuando es el caso, se resaltan los ajustes que fueron incorporados en esta oportunidad en relación al levantamiento de costos del año 2021, descrito en la sección 2.2. de las Primeras Bases Técnicas.
En una primera sección, se define el concepto de "carrera o programa de estudios" para efectos de la presente regulación y se menciona cómo se procede para obtener los datos de la oferta académica de pregrado de las instituciones en gratuidad y de su respectiva matrícula, como también el procesamiento y validación de los antecedentes autorreportados por universidades, institutos profesionales y centros de formación técnica, que reúnen esta condición legal.
En seguida, en la segunda sección, se describe el método de recolección de información de costos de carreras y programas de estudios, a partir del cual se implementan los procesos de agrupación y cálculo conducentes a la determinación de Valores Regulados que se detallan en el Capítulo 3, para los grupos de carreras a regular.
Posteriormente, en las secciones siguientes se define el procedimiento para el tratamiento de la información de costos directos e indirectos y de infraestructura correspondientes al levantamiento 2022, para luego describir la construcción de la variable de costo total por estudiante a partir de estos datos. Por último, se describe el procedimiento a través del cual la información de los levantamientos de costos correspondientes a los años 2021 y 2022 -así como los sucesivos que se lleven a cabo en los próximos años- es consolidada en una única base de datos, y el tratamiento de esta información para efectos del cálculo de los costos totales por estudiante. Estos cálculos son fundamentales para determinar los Valores Regulados de aranceles, Derechos Básicos de Matrícula y cobros por concepto de titulación o graduación, procurando dar una mayor preponderancia a la información más reciente.
Se hace presente que las Bases Técnicas fijan definiciones, criterios y procedimientos, siendo materia del posterior Informe de Cálculo la presentación de resultados de la aplicación de estos, en conformidad a lo estipulado en los artículos 90 y 92 de la Ley Nº 21.091 respecto a las características de ambas etapas y productos asociados a este proceso de regulación.
2.1. Proceso de recolección de información de carreras y matrículas, y de determinación de la unidad de observación
2.1.1. Información sobre matrícula y oferta académica
La Ley Nº 20.129, en su artículo 1 literal b, establece la "identificación, recolección y difusión de los antecedentes necesarios para la gestión del Sistema, y la información pública" como parte de las funciones de los organismos que conforman el Sistema Nacional de Aseguramiento de la Calidad de la Educación Superior (SINACES). Asimismo, la referida ley radica este mandato en el Ministerio de Educación, el cual a través de la Subsecretaría de Educación Superior tiene la responsabilidad de "desarrollar y mantener un Sistema Nacional de Información de la Educación Superior, que contenga los antecedentes necesarios para la adecuada aplicación de las políticas públicas destinadas al sector de educación superior, para la gestión institucional y para la información pública de manera de lograr una amplia y completa transparencia académica, administrativa y contable de las Instituciones de Educación Superior" (artículo 49, Ley Nº 20.129). Desde el año 2007, esta función es desarrollada por el Servicio de Información de Educación Superior (SIES), que recopila, administra, procesa y comunica la información estadística oficial del sistema de educación superior en Chile.
Además de la información de costos recopilada específicamente para esta regulación, que se describe más adelante en la sección 2.2., la metodología planteada en las presentes Bases Técnicas involucra también el uso de datos referidos a otras características relevantes de las carreras y programas de las IES adscritas a la Gratuidad. Para estos efectos, se utilizan las bases de datos de Matrícula y Oferta Académica administradas por el SIES y publicadas periódicamente en los Sitios Web http://www.sies.cl y http://www.mifuturo.cl. La información contenida en dichas bases es producida a partir de la recolección periódica de datos autorreportados por parte de las Instituciones de Educación Superior, de acuerdo a instrucciones de llenado y reglas de validación generadas por SIES y que operan dentro del módulo específico de la Plataforma de Educación Superior (PES) que es utilizado para estos procesos de levantamiento de información. Las reglas de reporte y validación de datos que operan al interior de la Plataforma están debidamente consignadas en los instructivos que se comunican periódicamente a las IES para los procesos de recolección tanto de matrícula (SIES, 2023a, pp. 36-38) como de oferta académica (SIES, 2023b, pp. 62-77). Asimismo, una vez consolidada la base de datos se realizan una serie de validaciones adicionales a partir de un primer análisis de la información recabada.
En el caso de la base de datos de matrícula, las validaciones en plataforma consideran aspectos tales como: resguardar el llenado de la totalidad de los campos obligatorios requeridos; que estos sean completados con el tipo de información pertinente para cada caso (números o texto, rangos específicos, etc.); que solamente se cargue un único registro con la misma identificación; que solamente se informe estudiantes que cuenten con matrícula en carreras de pregrado; que las combinaciones informadas de Institución, sede, carrera, jornada, modalidad y versión existan en la base de datos de oferta académica correspondiente al mismo año entre otras.
Junto con lo anterior, se realizan validaciones adicionales a la plataforma, entre las que cabe señalar las siguientes: seguimiento especial a instituciones que no han informado matrícula total o de primer año y/o que están en cierre; revisión de casos de RUT repetidos entre programas similares; comparación de registros de matrícula total y de primer año con años anteriores a nivel de instituciones y tipos de programa para detectar posibles omisiones; validación de datos de RUT, sexo, edad y nacionalidad de estudiantes con el Servicio de Registro Civil e Identificación; evaluación de indicadores de retención para detectar eventuales errores asociados a la matrícula de primer año; entre otras. Del mismo modo, se realizan análisis comparativos de volúmenes de matrícula total y de primer año en relación al año anterior por Institución separando pregrado, postgrado y postítulo, con el propósito de identificar diferencias interanuales que reflejen alzas o bajas muy significativas (desde el 10%), que puedan representar potenciales indicios de problemas en el reporte de la información.
En cuanto a la oferta académica, entre agosto y septiembre de cada año se realiza un primer proceso de recolección de información sobre la oferta prevista para el año siguiente, particularmente enfocado en la oferta de pregrado de las IES adscritas al Sistema de Acceso regulado por el Párrafo 3º del Título I de la Ley Nº 21.091 ("Oferta Académica Inicial"). Esta información permite construir una base consolidada que se constituye en la precarga de un segundo levantamiento, desarrollado periódicamente entre octubre y diciembre, que abarca a las IES no adscritas al Sistema de Acceso, los programas de pregrado no informados anteriormente, y toda la oferta de postgrado y postítulo ("Oferta Académica Final"). Adicional a ello, se realiza un seguimiento especial a instituciones que no han informado oferta, que no tienen matrícula total o de primer año y/o que están en cierre.
En el caso de las carreras y programas que se encontraban vigentes y fueron reportadas en el proceso de Oferta Académica anterior, existen campos que se encuentran prellenados y no pueden ser modificados: modalidad, duración de estudios, duración de titulación, duración total y tipo de plan (regular, especial y regular de continuidad). Las instituciones que requieran modificar alguno de estos campos en una determinada carrera, deben solicitar una "rectificación" explicitando y justificando los datos que les interesa modificar a través de oficio dirigido a la Jefatura de la División de Información y Acceso (DIVIA) de la Subsecretaría de Educación Superior, acompañando un archivo Excel (formato .xlsx) con los datos de los programas que se desea rectificar, solicitud que es luego analizada como parte de los procesos de validación y consolidación de la base de datos. En el caso de creación de nuevas carreras o programas, estos son analizados para permitir su incorporación y codificación, lo cual requiere una revisión histórica de programas similares en la misma Institución, a fin de ratificar que se trata de un programa previamente inexistente y no codificado.
Ambos levantamientos (Oferta Académica "Inicial" y "Final") consideran instrucciones y validaciones en plataforma similares a las de matrícula en cuanto a la completitud de los registros y el tipo de información disponible en cada uno de ellos, como también validaciones y rectificaciones posteriores. En cuanto a las validaciones en plataforma, se resguardan aspectos tales como procurar que no sea eliminada ninguna carrera en la que existan personas matriculadas y/o con beneficios estudiantiles; que los datos reportados sean consistentes con el tipo de carrera o programa (por ej., si es un Plan Regular, los semestres reconocidos de aprendizajes previos deben ser 0); que los atributos de vacantes y ponderaciones reportados en carreras impartidas por universidades sean consistentes con los informados a DEMRE; que los valores de aranceles se encuentren dentro de rangos razonables y sin saltos interanuales que pudiesen sugerir errores de reporte; entre otros. Asimismo, además del análisis de las "rectificaciones" y de los programas nuevos antes señalados, se realiza una revisión inicial de los campos abiertos-cualitativos de la base de datos por parte de SIES, sometida luego a una segunda revisión más exhaustiva a cargo de la Unidad de Acceso de la DIVIA.
Las bases de datos de Matrícula y Oferta Académica utilizan un identificador (Código Único SIES) cuya estructura es "IxSxCxJxVx", donde "I" es la Institución responsable de la carrera o programa, "S" es la sede en la cual esta es dictada, "C" es la carrera o programa propiamente tal, "J" es la jornada en la cual esta es impartida, "V" es la versión de la carrera o programa a la cual corresponde un determinado registro en la base de datos, y "x" es el respectivo código numérico para cada uno de los ítems señalados. Asimismo, ambas bases consideran la clasificación de las carreras de acuerdo a las características de sus planes de estudios y requisitos de ingreso, distinguiendo entre planes "regulares", "especiales" y "regulares de continuidad", tal como se definen en el Glosario.
2.1.2. Definición de la unidad de observación
La Ley Nº 21.091 no establece una definición específica respecto a qué entender por "carrera" o "programa de estudios" como unidad de observación para efectos de la presente regulación. Tomando como referencia el Código Único SIES utilizado para individualizar carreras en las bases de datos de matrícula y oferta académica descritas en la sección precedente, para efectos de la presente regulación se entenderá una carrera "C", impartida por una Institución de Educación Superior "I", en una sede "S" y una jornada "J". Es decir, la definición operativa de "carrera o programa de estudios" en las presentes Bases Técnicas corresponde una unidad identificable a partir de cuatro de los cinco criterios que conforman el referido Código. La importancia de definir con claridad la definición operativa de "carrera o programa de estudios" a utilizar, radica en que es sobre esta unidad de observación que se realizan luego los procesos de recolección y análisis de información de costos, como se detalla en las siguientes secciones.
El componente del Código no considerado corresponde a la versión "V". Este campo da cuenta de diferencias particulares de una carrera con otra de la misma denominación, sede y jornada, distinguiendo, por ejemplo, variaciones en las mallas curriculares o cambios en la duración de un determinado programa o carrera. Otro atributo importante de las carreras es su modalidad, sin embargo, cabe recordar que la Gratuidad cubre únicamente programas impartidos en modalidad presencial. Se han eliminado estos campos para efectos de la definición operativa de "carrera o programa de estudios", debido a que podría inducir a dobles conteos, al considerar como programas distintos diferentes planes de estudios de una misma carrera, cuestión que sucede frecuentemente en el caso de programas formativos que se han sometido a procesos recientes de revisión y ajuste curricular, y poseen por lo tanto cohortes de estudiantes cursando distintos planes de estudios.
Por otra parte, la definición de la unidad de observación debe dar cuenta explícitamente del tratamiento de aquellas carreras impartidas por IES en procesos de administración de cierre conforme a lo dispuesto en la Ley Nº 20.800, que crea el administrador provisional y administrador de cierre de Instituciones de Educación Superior y establece regulaciones en materia de administración provisional de sostenedores educacionales, el cual ha suscrito un convenio con alguna Institución con acreditación vigente de al menos cuatro años de acuerdo a lo establecido en el mismo cuerpo legal. Para todos los efectos de la presente regulación, se entenderá por Institución "I" aquel plantel educativo que recibe a estudiantes en convenio, incorporándose al total de matriculados y matriculadas en la carrera en cuestión impartida por la IES receptora (2) . Es decir, para efectos del cálculo del Financiamiento Institucional para la Gratuidad otorgado a cada Institución, los montos asignados por cada estudiante de una carrera "X" de una Institución en cierre serán los equivalentes a los Valores Regulados para la carrera "X" en la Universidad en la cual actualmente está culminando sus estudios.
En síntesis, en lo sucesivo al hablar de "carrera" o "programa de estudios" en las presentes Bases Técnicas, se estará haciendo referencia a una unidad de observación consistente en un programa formativo de pregrado impartido por una Institución adscrita a la Política de Gratuidad en el año de dictación de las presentes Bases Técnicas, que cumpla con las siguientes características (3) :
. Es conducente a un título técnico de nivel superior, título profesional (con o sin licenciatura) o licenciatura no conducente a título profesional. Se incluyen también programas de formación inicial general, tales como bachilleratos u otros equivalentes de conformidad a las normas vigentes (Art. 105, Ley Nº 21.091).
. Es identificable a través del código único SIES, considerando las variables Institución (I), sede (S), carrera (C) y jornada (J).
. Es impartido en modalidad presencial (ver Glosario).
. Está actualmente vigente (ver Glosario), independientemente de que acepte nuevos estudiantes de primer año (vigencia=1), o bien solamente permanezca en vigencia a partir de personas matriculadas de cursos superiores (vigencia = 2).
2.2. Proceso de recolección de información de costos para la regulación
A continuación, se describe el proceso de levantamiento de información de costos de las carreras y programas de las IES adscritas a la Gratuidad. Sobre la base de estos datos, las secciones posteriores de este Capítulo 2 darán cuenta del tratamiento estadístico utilizado para asignar costos directos e indirectos por estudiante a partir de la información reportada por las Instituciones de Educación Superior.
2.2.1. Levantamiento de información de costos e infraestructura
La información financiera recolectada periódicamente hasta la fecha en el sistema de educación superior chileno consiste en los Estados Financieros auditados y la Ficha Estandarizada Codificada Única de Situación Financiera (FECU). Estos instrumentos son administrados por la Superintendencia de Educación Superior (SES), y dan cuenta de información agregada a nivel institucional, en conformidad con los propósitos de fiscalización y supervigilancia respecto al cumplimiento por parte de las IES de las disposiciones legales y reglamentarias que las rigen. Por tratarse de datos institucionales, sin embargo, los referidos instrumentos no presentan un nivel de desagregación que permita su utilización para efectos de determinar los valores objeto de esta regulación.
Con el propósito de disponer de información actualizada, específica y desagregada -o, al menos, susceptible de serlo- al nivel de la carrera o programa de pregrado, la Subsecretaría desarrollará procesos anuales de levantamiento de información de costos e infraestructura de las instituciones adscritas a la gratuidad (en adelante e indistintamente, "levantamiento de costos" o "reporte PES"). Este proceso procurará considerar la totalidad de las carreras y programas presenciales de las instituciones adscritas a la Gratuidad, para las cuales se solicitará información sobre sus costos en un año en específico. La recolección de información se realizará principalmente a través de la Plataforma de Educación Superior (PES) del Ministerio de Educación -http://pes.mineduc.cl- (4) .
______________________
(2) Estos casos corresponden a tres instituciones: U. Católica del Maule, U. de Santiago de Chile, y U. Tecnológica Metropolitana, que han suscrito convenios con las administraciones de cierre de la U. ARCIS, U. Iberoamericana de Ciencia y Tecnología, y U. del Pacífico, respectivamente.
(3) Todas ellas, observadas tomando como referencia la base de datos de Oferta Académica de SIES correspondiente al año para el cual la Subsecretaría ha recopilado información de costos para efectos de la presente regulación.
(4) Para este proceso de recolección, la Subsecretaría habilitó una sección especial de "Aranceles Regulados" en la referida plataforma, a la cual se otorgó acceso individualizado a las contrapartes técnicas, que son personas formalmente designadas por cada Institución. Esta sección consistió en cinco módulos de reporte, asociados a las distintas definiciones e ítems de costos que se describen en la sección 2.2.2., y que fueron formalmente conocidas por las instituciones a partir de un Manual de Acompañamiento para el Levantamiento de Costos.
Tomando en consideración la viabilidad operativa de recolectar un amplio volumen de información en un período acotado de tiempo, la opción asumida por la Subsecretaría en 2022 fue priorizar la disponibilidad de información actualizada del año más reciente de todas las carreras elegibles para la Gratuidad, antes que un mayor número de años para uno o más grupos de carreras acotados. Esta determinación, además, se hizo cargo de una observación planteada por la Comisión Experta, que reconoce que la estimación de costos actuales a partir de una serie de varios años entraña el riesgo de subestimar los costos reales de las instituciones, frente a lo cual sugería reducir el número de años o bien incluir algún factor que ponderase favorablemente los valores más recientes (CERA, 11 de enero de 2022).
Frente a estas dos alternativas se optó por la primera, decisión fundada en la relevancia de contar con información actualizada de la totalidad de la oferta formativa de pregrado elegible, con miras a sentar las bases para la implementación de un proceso regular de recolección de información de costos de carreras a partir del año 2021 (ver sección 4.2.) que tribute al proceso regulatorio. Asimismo, se propone disponer de información de todas las carreras y, con ello, de una mayor cantidad de observaciones para la construcción del modelo, que permita "aplanar" las desviaciones de costos de las carreras, ventaja comparativa relevada también por la CERA en el referido documento del 11 de enero de 2022.
Durante el año 2022, la Subsecretaría de Educación Superior realizó un primer levantamiento de costos e infraestructura de las carreras y programas al año 2021, de instituciones adscritas a la gratuidad (en adelante e indistintamente, "levantamiento de costos 2021" o "reporte PES 2021") bajo esta nueva metodología, que materializó las principales definiciones y que asentó un mecanismo de recolección que se espera utilizar en posteriores procesos de recolección. De esta forma, entre agosto y octubre de 2023, la Subsecretaría llevó a cabo un nuevo proceso de levantamiento de información de costos de carreras y programas de instituciones adscritas a la Gratuidad, esta vez referido a los costos del año 2022 (en adelante e indistintamente, "levantamiento de costos 2022" o "reporte PES 2022"). La recolección de datos se basó, fundamentalmente, en los ítems utilizados en el levantamiento 2021, aunque incorporó ajustes específicos para el reporte de información a partir de los aprendizajes del primer proceso regulatorio.
El detalle de las definiciones de los ítems del levantamiento de costos e infraestructura de cada año, así como los supuestos y consideraciones que deben observar quienes informen desde las Instituciones de Educación Superior, serán contenidos en el respectivo "Manual de acompañamiento para el levantamiento de costos e infraestructura" del año en que se esté realizando el levantamiento y que será compartido a las instituciones previo al periodo de reporte. Si bien la confección y distribución de este manual no se encuentra regulada por la Ley 21.091, constituye un complemento útil para facilitar la comunicación del proceso de levantamiento con las contrapartes de las IES y ahondar en aspectos operativos del levantamiento.
Estos procesos de levantamiento se espera que sean desarrollados de forma anual, de manera tal de contar con información actualizada y pertinente para los procesos regulatorios actuales y futuros. Sobre cada levantamiento, se aplicarán los procesos señalados en las actuales Bases Técnicas, y cada nueva cohorte de datos podrá ser añadida en una base histórica unificada que dé cuenta de tendencias de costos en el sistema. Dichos valores deberán ser actualizados utilizando la variación porcentual del Índice de Precios al Consumidor (IPC) más reciente disponible al momento del análisis, de acuerdo con lo publicado por el Instituto Nacional de Estadísticas (INE). Adicionalmente, esta agregación de cohortes reconocerá la importancia de los valores más recientes sobre los más antiguos, y para esto, se aplicará un promedio ponderado donde las observaciones más recientes posean un mayor peso relativo.
2.2.2. Definiciones e ítems utilizados en el levantamiento de costos 2022
El artículo 89 de ley Nº 21.091 dispone que el Arancel Regulado deberá considerar tanto los costos anuales directos e indirectos como el costo anualizado de las inversiones en infraestructura, tales como laboratorios, servicios, edificios y uso de dependencias. Para efectos de la presente regulación, se ha establecido un criterio de clasificación operativo, en función del propósito de que los aranceles regulados den cuenta de un valor anualizado por estudiante, lo cual requiere que todo costo considerado pueda ser atribuido a nivel de matrícula.
En consecuencia, los costos directos consisten en todos aquellos componentes del gasto requerido para impartir una carrera o programa que resultan directamente atribuibles al nivel de la carrera o programa en cuestión, y fueron recolectados en la Plataforma PES a partir del módulo de costos a nivel de carrera (CC). Por el contrario, se entiende por costos indirectos a todos aquellos gastos relevantes para impartir una carrera o programa que, ya sea por su naturaleza misma o por las características de la Institución, no pueden ser directamente atribuidos al nivel de la carrera, en tanto corresponden a una entidad mayor. En la Plataforma PES, estos últimos fueron reportados a partir de dos módulos: costos a nivel de sede (CS) y costos institucionales (CI).
Los ítems de costos directos e indirectos que han sido definidos para este proceso regulatorio utilizan como referencia el "Plan de Cuentas para las Instituciones de Educación Superior del Estado", Oficio Nº 292 de 2022, y la "Normativa contable para las Instituciones de Educación Superior no estatales", REX 510 de 2021, ambos de la Superintendencia de Educación Superior y la Contraloría General de la República (CGR). Al utilizar estas referencias se propone crear un lenguaje común entre los procesos contables en educación superior, que permita el diálogo entre los procesos de auditoría y control. Esto es especialmente relevante, considerando que los montos transferidos a las Instituciones de Educación Superior adscritas a la gratuidad deberán efectuar la rendición del aporte institucional a la Superintendencia de Educación Superior, de conformidad a las normas que esta dicte, según se consigna en el inciso final del artículo 85 de la Ley Nº 21.091.
La Tabla 2 a continuación resume los ítems de costos directos e indirectos considerados en el levantamiento de costos 2022, todos ellos reportados en miles de pesos (M$) de diciembre del año en reporte. Es preciso señalar que, para el proceso de recolección, en el caso de los ítems de remuneraciones del personal administrativo operacional (CC.2.), bienes de consumo operacionales (CC.4.), servicios informáticos (CC.5.), costos de personal y material para el proceso de matrícula (CC.10.), costos de personal y material para el proceso de titulación o graduación (CC.11.), costos de mantenciones y reparaciones (CS.2.) y servicios básicos operacionales (CS.3) se instruyó a las instituciones que, en caso de no disponer de información desagregada para el registro al nivel solicitado para cada ítem (carrera o sede), pudiesen repartir el monto total de la sede o Institución en proporción a la matrícula de las respectivas carreras.
Esta determinación responde, en lo fundamental, a un criterio de realidad operativa. Dada la autonomía financiera que nuestro marco legal otorga a las IES, actualmente existen formas muy heterogéneas de definición de los centros de costos en cada una de ellas. Si bien resulta deseable avanzar hacia un estándar unificado de contabilización al nivel más desagregado posible, aquello requiere necesariamente un mayor tiempo de consolidación de esta regulación en el sistema, que permita la instalación y fortalecimiento de las capacidades de observación y contabilización en las instituciones (ver punto 4.2.).
En relación con el levantamiento de costos 2021 reportado en las Primeras Bases Técnicas, los ítems de costos directos e indirectos utilizados para el reporte 2022 y detallados en la Tabla 2, presentan los siguientes ajustes:
. Se explicita la consideración dentro de las remuneraciones del personal académico operacional (CC.1.) de labores de tutoría de tesis o investigación requeridas para la graduación/titulación de pregrado, y la participación en comités de carrera o instancias equivalentes que tributen directamente al pregrado.
. Se incorpora un ítem adicional referido a la depreciación del mobiliario (CC.9.), aspecto considerado dentro del Plan de Cuentas CGR-SES. El propósito es fortalecer la captura de estos costos, que en el levantamiento 2021 -al no existir un ítem específico- fueron reportados como parte de los ítems de depreciación de equipamiento (CC.6., CC.7. y CC.8.), bienes de consumo operacionales (CC.4.) y mantenciones y reparaciones (CS.2.).
. A fin de mejorar la captura de la información, los ítems de costos asociados a los procesos tanto de admisión y matrícula como de titulación o graduación fueron solicitados a nivel de carrera (CC.10. y CC.11.), a diferencia del levantamiento 2021 en el cual estos fueron recopilados como parte de los costos institucionales (CI.2.) y (CI.3.).
Tabla 2 - Ítems de costos directos e indirectos en levantamiento de informa
ci
ón
2
02
2
ci
ón
2
02
2 En cuanto al costo anualizado de inversión en infraestructura, para efectos de la presente regulación, se entiende como un valor representativo de los costos de oportunidad asociados a la infraestructura utilizada por cada carrera, definición que responde a la necesidad de utilizar un criterio unificado para el conjunto del sistema de educación superior. Como lo analizó la Comisión Experta, el establecer una medida unificada que permita dar cuenta de "el costo de oportunidad real de los recursos invertidos por la Institución en infraestructura" (CERA, 11 de enero de 2022, p. 9) se orienta a controlar potenciales sesgos metodológicos en función de la situación de propiedad o tenencia que cada IES posea respecto a las respectivas instalaciones en las cuales se imparten sus carreras o programas.
En tal sentido, el proceso de recolección de información de infraestructura tuvo como propósito central la recopilación de datos que permitiesen dos cosas: obtener una medida del valor promedio de la inversión en infraestructura, e imputar dicha medida a cada carrera a partir de su intensidad de uso de las respectivas instalaciones. El objetivo es la construcción de una estimación razonable del valor de los metros cuadrados (m²) de la infraestructura utilizados para actividades asociadas a impartir cada una de las carreras y programas incorporadas a la regulación, procedimiento de cálculo que se detalla luego en la sección 2.4.
En consecuencia, la recolección de información de infraestructura se organizó en dos módulos de la Plataforma PES: infraestructura institucional e infraestructura de carrera, cuyas definiciones se detallan en las Tablas 3 y 4 al término de la presente sección.
El módulo de infraestructura institucional (II) tuvo como principal propósito recopilar antecedentes que permitieran la construcción de una estimación razonable del valor del metro cuadrado promedio de infraestructura necesaria para impartir docencia de pregrado, en función de distintas expresiones que esta posee (salas, auditorios, laboratorios, talleres, casinos y cafeterías, áreas verdes y de esparcimiento, y bibliotecas).
En base a este propósito, la unidad de observación en el referido módulo fueron los edificios e instalaciones utilizadas por cada Institución para actividades asociadas a impartir carreras y programas de pregrado, identificados a partir de sus respectivos números de Rol (II.1.). Para todas las IES y números de rol, el levantamiento solicitó reportar la situación de posesión y/o tenencia que la Institución posee respecto de aquel bien raíz (II.2.), como también los valores que den cuenta del costo de oportunidad de la infraestructura, lo que puede obtenerse a través de la tasación comercial y/o valores de arriendo, así como los metros cuadrados totales disponibles de: salas (II.3 e II.4), auditorios (II.5 e II.6), laboratorios (II.7 e II.8), talleres (II.9 e II.10), casinos y cafeterías (II.11 e II.12), áreas verdes y de esparcimiento (II.13 e II.14), y bibliotecas (II.15 e II.16).
Los valores de arriendo han sido solicitados en Unidades de Fomento (UF) del año en reporte. Durante el levantamiento de costos 2021 los valores de arriendo fueron reporte obligatorio en el caso de aquellas dependencias cuya situación de tenencia por parte de la IES es de arriendo o de leasing, sin perjuicio de lo cual era un campo abierto para el reporte en el caso de que las instituciones contaran con antecedentes que les permitiesen establecer un valor posible de arriendo respecto de aquellas instalaciones de las cuales son propietarias.
En cuanto al reporte de valores de tasación, el Manual de Acompañamiento del Levantamiento 2021 instruyó tres aspectos esenciales. En primer lugar, en aquellos casos en los que dentro de un mismo número de rol existan distintos edificios o instalaciones, el "valor de tasación" a reportar para cada uno de los ítems corresponde a la suma de las tasaciones de cada una de las dependencias referidas. Asimismo, en el caso en que dentro de un edificio que posee un valor de tasación "X" existan distintos tipos de instalaciones, el valor de tasación del edificio debe ser prorrateado en los respectivos metros cuadrados que existen de cada tipo de instalación. Por último, se solicitó también reportar el año de la última tasación comercial del bien raíz correspondiente, en el caso en que se esté reportando algún valor de tasación para la propiedad en cuestión, debiendo considerarse el año más reciente en el caso en que existan distintas tasaciones para diferentes edificios o instalaciones dentro de un mismo Nº de rol.
Sumado a lo anterior, el módulo solicitó a las IES explicitar el método de contabilización que utilizan para valorizar los activos de acuerdo con las Normas Internacionales de la Información Financiera (IFRS/NIIF), distinguiendo dos criterios. Por un lado, el costo histórico (historical cost), que corresponde al valor de los costos en los que efectivamente se incurrió al adquirir o al crear el activo en cuestión. Por otro, el valor razonable (fair value), consistente en el precio por el cual puede ser intercambiado el activo en una transacción entre una parte compradora y una parte vendedora en condiciones de independencia mutua (IFRS Foundation, 2018).
Para el levantamiento de costos e infraestructura 2022, se desistió de consultar las tasaciones comerciales de las propiedades. Como se desarrolla más adelante en la sección 2.4.2., existe una alta heterogeneidad de criterios contables entre las IES respecto de esta materia: de acuerdo con los datos del levantamiento 2021 se pudo detectar una alta variabilidad entre los años más recientes de tasación de las infraestructuras, que incluso eran distintas entre números de rol de una misma Institución. Adicionalmente, se pudo constatar que no todas las instituciones contabilizaban su infraestructura de acuerdo con su valor comercial, sino que continúan existiendo casos en donde se emplea la tasación del costo histórico. Atendiendo esta situación, y en vista a simplificar el reporte para las instituciones, el nuevo proceso de levantamiento 2022 solo consideró los valores de arriendo de las infraestructuras, independiente de la situación de tenencia de la propiedad en reporte. Por lo mismo, se excluyeron también del levantamiento los ítems asociados al año de tasación y al método de contabilización, considerados en el reporte 2021.
Por su parte, el módulo de Infraestructura de la Carrera (IC) tiene por objeto dar cuenta del uso efectivo de m² de infraestructura y terrenos por cada carrera o programa de pregrado. El propósito de este módulo es recopilar información respecto a la intensidad de uso efectivo de los distintos ítems de infraestructura por parte de cada carrera o programa. Para ello, se toma como unidad de observación las distintas propiedades o bienes raíces en los cuales se realizan las actividades académicas de la carrera, a través de sus números de rol (IC.1.), siendo posible así para cada carrera o programa reportar tantos números de rol como instalaciones distintas sean utilizadas para su impartición. Para cada propiedad o bien raíz, se solicitó reportar los m² utilizados por la carrera o programa en: salas de clases y oficinas (IC.2.), auditorios (IC.3.), laboratorios (IC.4.), talleres (IC.5.), casinos y cafeterías (IC.6.), áreas verdes y de esparcimiento (IC.7) y bibliotecas (IC. 8). Además de la incorporación explícita de los espacios de bibliotecas (IC.8), el levantamiento 2022 incorporó mayor precisión en la definición del ítem de salas de clases u oficinas (IC.2.), señalando expresamente los metros cuadrados correspondientes a baños y pasillos debían también ser reportados dentro de este campo.
El reporte de los ítems de infraestructura considera dos elementos centrales. En primer lugar, que lo contabilizado debe corresponder a infraestructura efectivamente utilizada para impartir la carrera o programa, razón por la cual la suma total de los m² reportados por las carreras y programas de una Institución tiene como límite superior los m² totales reportados para cada rol de propiedad en el módulo de Infraestructura Institucional (IC). En segundo lugar, y asociado a la instrucción anterior, que en el caso de aquellas carreras que comparten alguna determinada instalación, los m² de esta deben ser prorrateados por cada una de ellas, siendo así decisión de la Institución el distribuir los m² entre cada carrera en forma igualitaria, o bien hacerlo de manera diferenciada para dar cuenta de diferentes intensidades de uso de infraestructura.
Tabla 3 - Ítems de infraestructura institucional en levantamiento de inform
ac
ión 2022
ac
ión 2022 Tabla 4 - Ítems de infraestructura de la carrera en levantamiento de informa
ción 2022
ción 2022 2.3. Tratamiento de costos directos e indirectos
2.3.1. Construcción y depuración de base de datos unificada
Una vez reunidos los datos informados por las Instituciones de Educación Superior adscritas a la Gratuidad en un año en específico, los registros reportados en los módulos de costos de carrera, sede e Institución son complementados con la información proveniente de la información de oferta académica efectivamente utilizada para la asignación de beneficios estudiantiles proporcionada por el Departamento de Financiamiento Estudiantil (DFE) de la Subsecretaría de Educación Superior, para el año que abarca el levantamiento de costos e infraestructura. Esta información incluye el respectivo código SIES de la carrera o programa, sus valores de aranceles reales, referenciales y regulados, su tamaño de matrícula y ubicación desagregada en región, comuna y sede, entre otra información relevante a nivel de carrera, sede y/o Institución.
En una primera revisión de esta base unificada, se deben realizar los siguientes procedimientos:
. Determinar que las carreras y programas reportados en el levantamiento de costos hayan sido efectivamente parte del conjunto de carreras que recibieron Gratuidad en el año del reporte. En caso contrario, estas carreras son descartadas, con excepción de aquellas que sean impartidas por instituciones que se hayan incorporado recientemente a la Política de Gratuidad y hayan participado del levantamiento de costos e infraestructura.
. Verificar que las carreras reportadas por las instituciones correspondan a los tipos de planes (regulares o especiales) y modalidad (presencial) elegibles de ser beneficiarias de la Gratuidad. Luego, se excluyen de la base de datos aquellas carreras que no cumplan alguno de estos criterios.
. Excluir las carreras y programas de instituciones que al momento del análisis ya no se encuentran adscritas a la Política de Gratuidad o comunicaran a la Subsecretaría su decisión de dejar de percibir el Financiamiento Institucional para la Gratuidad, conforme a lo dispuesto en el inciso primero del artículo 86 de la Ley Nº 21.091.
. Excluir las carreras de instituciones adscritas a la Gratuidad, que no hayan reportado información en el levantamiento de costos.
. Identificar que no existan problemas de reporte y que la información haya sido provista de form a consistente con la unidad de medida en que ha sido solicitada, con especial énfasis en que el reporte haya sido efectuado en miles de pesos (M$) del año en reporte. En los casos en que se han detectado discordancias que pueden ser directamente explicadas debido a la unidad de medida (Ej. haber reportado en $ en vez de M$), estas son corregidas por la Subsecretaría.
De este modo, los procedimientos de depuración descritos permiten disponer de una base de datos unificada, compuesta exclusivamente por carreras y programas cuyos costos directos e indirectos han sido válidamente reportados en unidades monetarias comparables.
2.3.2. Auditoría de costos reportados en base a ingresos por aranceles
A partir de la base de datos antes descrita, el siguiente paso consiste en una revisión de la validez y confiabilidad de la información de costos reportada. Esta operación resulta indispensable en cualquier proceso de regulación económica, en tanto un problema central que estos enfrentan es la asimetría de información existente entre el regulador y los regulados, y el problema de "riesgo moral" (moral hazard) que aquello trae consigo (Bordogna, 2008; Viveros, 2015; Sedatole, Vrettos & Videner, 2012).
Esta dificultad se hace aún más patente en educación superior, dada su condición de "bien de confianza" o "bien de experiencia" en términos económicos (Berg, Kim & Seon, 2021; Tavara, 2014; Brunner & Ganga-Contreras, 2018). De este modo, la utilización de variables de control respecto de la información recolectada es fundamental en aras de la responsabilidad que posee el regulador respecto a otorgar garantía pública del cuidado y buen uso de los recursos públicos, controlando así el riesgo moral asociado a la estimación de aportes fiscales a partir de información reportada por los mismos regulados, dada la eventual expectativa de que un mayor valor reportado se traduzca por defecto en una mayor asignación de recursos.
Para este proceso regulatorio, la información anual provista por las instituciones de educación en el marco del levantamiento de costos e infraestructura será complementada con la información disponible en los Estados Financieros auditados que serán utilizados como referencia primaria para realizar un control de la validez y consistencia de la información reportada. Cabe, asimismo, señalar que los costos reportados en el levantamiento no debiesen reflejar la totalidad de los costos de la Institución, sino únicamente de la proporción de estudiantes de pregrado que contaban con matrícula en el año del reporte y solo para la proporción de carreras reportadas. De igual forma, cabe señalar que este control involucra solamente a los costos directos e indirectos, sin considerar a los asociados a infraestructura, cuyo procedimiento de revisión y ajuste se detalla en la sección 2.4.2.
Considerando lo anterior, y a partir de las alternativas disponibles sobre la base de la información financiera oficial recopilada por la Superintendencia de Educación Superior, se ha establecido como variable de control el monto total de ingresos por aranceles reportados en la Ficha Estandarizada Codificada Única de Situación Financiera (FECU) del mismo año para cada Institución. En el caso de detectar instituciones que no presentan información en la referida Ficha FECU, se utiliza el total de ingresos por aranceles reportados en sus Estados Financieros Auditados publicados por la SES (EEFF). La utilización del total de ingresos por aranceles responde a la situación actual en la cual estos constituyen la principal fuente de ingresos de todas las instituciones del sistema, no obstante, reconoce también la posible existencia de "subsidios cruzados" entre el pregrado y postgrado (Escudero, Salto & Zalazar, 2016; Gutiérrez, Mondragón & Santacruz, 2019), cuya omisión podría inducir a potenciales sesgos al considerar exclusivamente vis-a-vis los aranceles de pregrado como medida de los costos.
En la eventualidad de detectarse una Institución que no presente información financiera en ninguna de estas dos fuentes de acuerdo a los registros publicados en el Sitio Web de la SES, la variable de control a utilizar será una estimación de "ingresos por aranceles reales de pregrado", es decir, el resultado de la multiplicación entre los aranceles reales de la Institución y el total de estudiantes con matrícula en el año del reporte.
Una vez determinada la variable de control (FECU, EEFF o "ingresos por aranceles reales"), es posible realizar ajustes a los costos reportados por las instituciones. Previamente, sin embargo, es preciso realizar un tratamiento a esta variable de control para aquellas instituciones que no hayan reportado la totalidad de sus carreras. Para ello, la variable de control "IngAranceles" es multiplicada por la proporción entre el total de estudiantes con Gratuidad en las carreras informadas por cada Institución en el reporte PES, y el total de estudiantes con Gratuidad en el año en reporte de la Institución de acuerdo a la información consignada en la base de datos de beneficios estudiantiles descrita en la sección 2.3.1. Para aquellas instituciones no adscritas a la Gratuidad en el año del reporte, sino posterior, se les imputa la proporción promedio de estudiantes reportados/estudiantes totales de todas las demás instituciones de la base de datos.
De este modo, la variable de control es ajustada en aquellas instituciones que no reportaron todas sus carreras, y no sufre modificaciones para las IES que informaron el 100% de su oferta académica adscrita a la Gratuidad, como se observa en la Ecuación 1, donde "nPESci" es la matrícula de pregrado de cada carrera "c" impartida por una Institución "i" obtenida desde el reporte PES, y similarmente se define nDFEci a partir de la base de datos de beneficios estudiantiles.
Ecuación 1 - Ajuste a variable de cont
rol de ingresos por aranceles
rol de ingresos por aranceles Establecida así la variable de control, esta es luego contrastada con la suma total de los costos de carrera, sede e Institución reportados por la propia IES. Para estos últimos, se excluyen los ítems de costos de personal y material para el proceso de matrícula (CC.10) y costos de personal y material para el proceso de titulación o graduación (CC.11), que no forman parte de la estimación de Valores Regulados de Aranceles, y se tratarán por separado en la sección 3.4. de estas Bases, y se entienden, para todo efecto y en lo sucesivo, excluidos de los procesos de ajuste y tratamiento que se describen a lo largo de esta sección 2.3.
La Ecuación 2 muestra la razón entre los costos reportados y la variable de control, siendo "x" cada uno de los ítems reportados en los módulos de costos de carrera (CC), sede (CS) e Institución (CI), para una carrera "c " impartida en una sede "s" por una Institución "i" (5) . En aquellos casos en los cuales esta relación sea superior a 1, los valores totales de sus respectivos ítems de costos serán ajustados en una proporción equivalente a aquella que permita que la razón entre costos reportados e ingresos por aranceles se ajuste al valor 1 (ecuaciones 3, 4 y 5).
Ecuación 2 - Razón entre costos rep
ortados y variable de control
ortados y variable de control 2.3.3. Ajustes a los datos auditados y construcción de valores por estudiante
Una vez realizados los pasos anteriores, es necesario realizar correcciones adicionales a la base de datos. En primer lugar, los ítems de costos a nivel de sede (CS) se ajustan conforme a la proporción de matrícula de pre y postgrado de cada una de las respectivas sedes de la Institución. Este procedimiento no ha sido realizado para los costos de carrera (CC) e Institución (CI), toda vez que las instrucciones formuladas en el Manual de Acompañamiento solicitaban que estos ítems fuesen reportados excluyendo los componentes de postgrado.
En segundo lugar, se ha verificado que las carreras consideradas en la base de datos contasen con matrícula en el año del reporte. Considerando que el imperativo de este ejercicio es establecer valores por estudiante, aquellas carreras para las cuales no sea posible disponer de un denominador para tales efectos deben ser descartadas de la base de datos.
Una vez efectuados estos ajustes, cada uno de los ítems de costos debe ser dividido por la matrícula total del nivel que le corresponde, obteniendo así un valor per cápita por cada uno de ellos (CCPC, CSPC, CIPC1), con excepción de los ítems CC.10 y CC.11 como ya ha sido señalado. Siendo "n ci ", "n si " y "n i " el número de estudiantes matriculados en una carrera "c", sede "s" o Institución "i", respectivamente, y denotando como "x" el número de ítems contemplados en cada nivel, los costos por estudiante asumen la forma reflejada en las ecuaciones 6, 7 y 8.
________________________
(5) En lo sucesivo, esta notación será utilizada para todas las ecuaciones, a saber: "x" es un ítem de costos, "c" es una carrera, "s" una
sede e "i" una Institución.
sede e "i" una Institución. 2.3.4. Tratamiento de outliers y estimación de costos directos e indirectos por estudiante
Además de constituir un paso indispensable de control de validez y confiabilidad, el proceso de auditoría detallado en 2.3.2. posee una ventaja adicional en términos estadísticos: permite reducir tempranamente la cantidad de valores atípicos y con ello disminuir la dispersión en los datos. Sin perjuicio de aquello, una vez disponibles los ítems de costos auditados y ajustados, y llevados a valores per cápita, es preciso establecer criterios para el tratamiento de outliers. Para estos efectos, se emplea un mecanismo estandarizado, verificable y replicable de tratamiento de los valores atípicos ("outliers"), que entregue certeza a los regulados.
Dentro de las alternativas posibles, se ha optado por la utilización de una transformación estadística de Winsor (Nicklin & Plonsky, 2020; Yu & Zhao, 2015). Este procedimiento consiste en el reemplazo de los valores ubicados por fuera de un determinado límite inferior y superior por aquellos valores inmediatamente adyacentes que no constituyen outliers. En los casos en que se desea estimar medidas de tendencia central en variables cuya distribución no se conoce a priori, la winsorización de los valores atípicos resulta más recomendable que su exclusión (trimming), en tanto las medidas así calculadas presentan menores niveles de sesgos (Bieniek, 2016).
Para establecer el momento en el cual se aplicará esta transformación estadística, es preciso reconocer en primer lugar las etapas del proceso de estimación de costos directos e indirectos por estudiante. Como se resume en la Tabla 5 a continuación, dados un conjunto de ítems de costos por estudiante, es posible construir una sumatoria de los costos por estudiante a nivel de carrera (CCPCT) y de sede (CSPCT), los cuales, junto a los costos de gobierno central por estudiante (CIPC 1 ), determinan el valor de los costos directos e indirectos per cápita (CDIPC) que serán utilizados para la determinación de Valores Regulados de aranceles.
Tabla 5 - Etapas de proceso de estimación
de costos e indirectos por estudiante
de costos e indirectos por estudiante Siendo este el procedimiento general, es preciso determinar en qué etapa específica de dicho proceso se debe efectuar el proceso de winsorización de los valores extremos. Para ello, se analizan, en forma separada y no secuencial, cuatro momentos posibles:
a) Corrección de outliers por cada ítem: Winsorización de cada ítem por separado, antes de calcular los costos por estudiante a nivel de carrera y sede.
b) Corrección de outliers por nivel: Se calculan los costos por estudiante a nivel de carrera y sede a partir de los ítems de costos sin corregir. Luego, se winsorizan estas variables agregadas (CCPCT, CSPCT), además de los costos de gobierno central por estudiante, antes de efectuar la sumatoria para obtener el costo directo e indirecto por estudiante.
c) Corrección de outliers sobre el resultado final: Se efectúan las respectivas sumatorias a nivel de carrera y sede, y luego la estimación del costo directo e indirecto por estudiante, sin ninguna corrección prev ia. Sobre esta variable agregada final, se aplica el procedimiento de winsorización.
d) Corrección de outliers sobre cada macrogrupo: Una vez estimado el costo directo e indirecto por estudiante sin ninguna corrección previa, y efectuada la primera etapa de agrupación de acuerdo a la metodología descrita en la sección 3.2. de las presentes Bases Técnicas sobre los datos del último levantamiento de costos, se aplica el procedimiento de winsorización al interior de cada uno de los respectivos macrogrupos.
Cada una de estas cuatro alternativas, a su vez, es evaluada a partir de dos rangos posibles de límites: el 1% inferior y 99% superior de la distribución, y el 5% inferior y 95% superior. De este modo, el ejercicio permite construir ocho variables posibles que darán cuenta de la estimación de los costos directos e indirectos por estudiantes asociados a impartir una determinada carrera o programa "c" de una Institución "i", como se resume en la Tabla 6.
Tabla 6 - Variables de costos directos e indirectos por estudiante, según aplicaciones de pr
ocedimiento de corrección de outliers
ocedimiento de corrección de outliers Una vez obtenidas estas ocho variables, se calcula para cada una de ellas los respectivos coeficientes de asimetría "A" y curtosis "K", indicadores que permiten dar cuenta de las características de la forma de la distribución. Hecho esto, se determina la diferencia entre los valores de cada uno de estos coeficientes para cada variable, en comparación a los parámetros propios de una distribución normal (asimetría = 0, curtosis = 3). La sumatoria de ambas distancias, llevadas a valores absolutos, permiten construir un índice de distancia respecto de la distribución normal (IDN), cuya forma (considerando que el valor normal de la asimetría es 0) se expresa en la siguiente ecuación:
Ecuación 9 - Índice de distancia de
la distribución normal (para CDIPC)
la distribución normal (para CDIPC) De este modo, la variable a utilizar será la que presente un menor valor en este índice, es decir, aquella cuyos coeficientes de asimetría y curtosis presenten valores más próximos a los de una distribución normal. La variable de costos directos e indirectos por estudiante así escogida será la utilizada para construir el costo total por estudiante descrito en la sección 2.5.
Finalmente, para efectos del posterior cálculo del costo total por estudiante, en el caso de aquellas instituciones que no hayan reportado información de costos a nivel de sede, se les imputa el valor mínimo de la variable de costos totales de sede por estudiante, winsorizados de acuerdo con los límites escogidos a partir del ejercicio antes descrito.
2.4. Tratamiento de costos de infraestructura
A continuación, se describe el proceso de depuración y posterior construcción de variables informativas sobre los costos de infraestructura.
2.4.1. Construcción y depuración de bases de datos
En relación con los costos de infraestructura, el proceso inicia consolidando los datos entregados por las instituciones, luego de lo cual se debe dar curso a un primer proceso de revisión del reporte de cada Institución, cautelando los siguientes aspectos:
. Identificar eventuales problemas de reporte asociados al uso de una unidad de valor distinta a la solicitada (pesos en lugar de UF), posibles registros duplicados de infraestructuras, discordancias entre números de rol reportados en infraestructura institucional (II) y de la carrera (IC).
. En la base de Infraestructura Institucional (II), verificar que en todos los números de rol se haya reportado alguna información de valorización de arriendo, excluyendo los casos en los cuales no exista información de metraje o este sea menor o igual a 1.
. También en la base de infraestructura institucional (II), identificar y excluir aquellos números de rol en los cuales no se haya reportado m² totales para ninguno de los siete ítems considerados en la Plataforma PES.
. En la base de infraestructura de la carrera, identificar y excluir aquellas carreras que no presenten matrícula al año de reporte. Como consecuencia directa de aquello, en el caso de existir reporte por parte de instituciones que no hayan iniciado sus actividades académicas para dicho año, estas deben ser descartadas de la base de datos.
. En el caso de identificar inconsistencias que no pudiesen ser atribuidas a un error en la unidad de medida (ej. haber reportado en $ en vez de UF) se consultará a las instituciones involucradas para corroborar el problema en el registro de la información y solicitar rectificaciones. Entre otros, este tipo de inconsistencias pueden consistir en reportar valores ajenos a la unidad de medida de la variable (ej. reportar Nºs de rol como costos), o alto número de valores perdidos sin un patrón claro que pueda ser identificado por parte de la Subsecretaría. En el caso de no recibir respuesta y/o rectificación en el plazo de un mes de efectuada la solicitud por parte de la Subsecretaría, los registros serán eliminados de la base de datos.
2.4.2. Determinación de variable a utilizar para la valorización de la infraestructura
Con el fin de obtener información con la cual fuese posible establecer una estimación unificada del valor promedio del metro cuadrado de infraestructura, el levantamiento de datos de infraestructura institucional (II) consideró información de valores de arriendo para cada uno de los siete ítems consultados. Esto implica un cambio desde el levantamiento de costos e información para el año 2021, que consideró valores de tasación y valores de arriendo para todos los ítems abarcados.
En base al levantamiento de costos e infraestructura 2021, y posterior a las correcciones iniciales descritas en la sección 2.4.1., el reporte PES 2021 en infraestructura institucional constó de un total de 961 números de rol. Dentro de ellos, en 146 se registró únicamente información de arriendo, en 609 solamente valores de tasación, y en 206 se informaron tanto datos de arriendo como de tasación. De esta manera, a partir de la primera recolección de información se reportaron un total de 352 valores de arriendo y 814 de tasación comercial. No obstante aquello, aun cuando se observó una proporción mayor de reporte de valores de tasación que de arriendo, se constataron problemas en la calidad y comparabilidad de la información recolectada a este respecto, que dificultan el uso de la tasación como criterio homogéneo para la imputación del costo de la inversión en infraestructura para todas las IES adscritas a la Gratuidad.
En primer lugar, aún persiste en muchas IES un fuerte uso del método de contabilización basado en costos históricos en lugar de valores razonables. Tomando como referencia el total de bienes raíces propios (II.2 = 1) para los cuales se reportó tasación comercial en el reporte PES (598), un total de 255 (42,6%) fueron informados utilizando una valorización en base al costo histórico. Esta situación constituye una fuente de sesgos e imprecisiones si se utilizase la tasación comercial como criterio de imputación de valores al conjunto del sistema, toda vez que los valores de tasación están en realidad informando de cosas distintas, según sea uno u otro el criterio contable utilizado por las IES.
En segundo lugar, las IES cuentan con grados muy heterogéneos de actualización y comparabilidad temporal de sus tasaciones: en los datos observados en el levantamiento de costos 2021 se pudieron constatar tasaciones desde 1990 hasta 2022. Esto introduce una dificultad adicional a la comparabilidad de los datos de tasación, toda vez que requeriría establecer una tasa de reajustabilidad única para infraestructuras heterogéneas. Finalmente, la tasación implica utilizar una expectativa de vida útil proyectada, lo cual trae consigo que la estimación pueda variar excesivamente en función de esta definición.
De esta forma, se ha priorizado en dicho proceso de estimación y posteriores, priorizar el uso de los valores de arriendo como una alternativa que subsana los problemas señalados. Esto, al considerar que los valores de arriendo constituyen una medida que responde a un criterio único de contabilización, situada en un único año, y que no se ve afectada por la vida útil de la infraestructura. Por estas razones, se ha optado por utilizar el valor de arriendo como variable para estimar el costo de la infraestructura, en tanto, dada la disparidad de criterios contables y períodos de tasación existentes en las IES y reflejada en este levantamiento de información, constituye una mejor aproximación al costo de oportunidad de la inversión en infraestructura, independientemente de la situación efectiva de tenencia por parte de la Institución.
Establecido el arriendo como criterio de valorización, se analizaron distintas alternativas de estimación de un valor promedio global del m²/UF entre los valores de arriendo reportados para cada ítem de infraestructura. Para esto se estimaron tres alternativas de valores: el promedio simple de todos los valores informados de arriendo; el promedio ponderado de los valores de arriendo ajustados por tamaño (m² por IES); y el promedio simple de los valores informados de arriendo sólo para aquellos números de rol con situación de tenencia "Arrendado" (II.2. = 2). La determinación del valor de arriendo a utilizar será materia del respectivo Informe de Cálculo, sobre la base de procurar una medida que evite una excesiva influencia de las IES de mayor tamaño sobr e el valor promedio de arriendo, y que sea un indicador construido sobre un volumen de información razonable para su generalización hacia el conjunto de los números de rol reportados.
Finalmente, esta etapa del proceso considera la remoción de valores extremos que constituyen outliers, estableciendo como criterio el descarte, única y exclusivamente, del valor máximo y mínimo de cada ítem. Una vez efectuado este ajuste, los promedios de arriendo así obtenidos son los que se utilizarán para la estimación de valores de inversión en infraestructura por estudiante, a través del procedimiento descrito en la sección 2.4.4.
Ahora bien, sin perjuicio de todo lo antes señalado, y tal como lo ha observado la Comisión Experta (CERA, 2024, p. 12), la utilización de los montos de arriendo reportados por las instituciones como aproximación al costo de oportunidad de la infraestructura constituye una solución aún provisoria y perfectible, por dos grandes motivos. En primer lugar, debido a la diversidad de situaciones de tenencia de la infraestructura en las IES, en el contexto de la cual los arriendos o leasing pueden no necesariamente ser la modalidad mayoritaria. Segundo, y tal como fue descrito en la sección 2.3.2., debido al riesgo moral inherente al trabajar con información autorreportada por parte de los propios regulados (Bordogna, 2008; Viveros, 2015; Sedatole, Vrettos & Videner, 2012).
En tal sentido, cabe hacer presente que la Subsecretaría de Educación Superior propondrá, para la futura entrada de nuevas carreras a la regulación a partir del año académico 2026, una metodología y/o procedimiento para establecer un "valor de mercado" de arriendo por metro cuadrado de las diferentes macrozonas del país. Siguiendo las recomendaciones de la CERA (2020), la definición de esta medida de valor deberá considerar fuentes de datos provenientes del mercado inmobiliario, como también estudios y/o bases de datos que las IES puedan aportar respecto a precios de arriendo representativos de los sectores donde están emplazadas sus instalaciones, a lo cual cabe agregar la información financiera de las IES en base a eventuales aperturas adicionales a lo reportado en sus Estados Financieros auditados, particularmente en el caso de aquellas instituciones cuya contabilidad esté organizada bajo las Normas IFRS. El trabajo para la definición de esta metodología y/o procedimiento considerará consultas a la CERA, las Instituciones de Educación Superior, la Contraloría General de la República y la Superintendencia de Educación Superior, y se llevará a cabo con anterioridad al levantamiento de información de costos del año 2023 de las carreras y programas de las IES adscritas a la Gratuidad.
2.4.3. Auditoría de metros cuadrados reportados
Al igual que en el tratamiento de los costos de carrera, sede e Institución, y por las mismas razones descritas en la sección 2.3.3., los metros cuadrados reportados para cada uno de los respectivos números de rol en el módulo de infraestructura de la carrera (IC) deben ser analizados a través de un proceso de verificación. Para ello, se utiliza como base para el control la información sobre Infraestructura y Recursos Educacionales realizado anualmente por parte del Servicio de Información de Educación Superior (SIES, 2023c) y la comparación entre lo reportado por las mismas instituciones en el ítem de infraestructura institucional y en el ítem de infraestructura de carrera.
En primer lugar, el uso de esta información se justifica conforme al mandato establecido en el Artículo 49 de la Ley Nº 20.129, descrito en la sección 2.1.1. de las presentes Bases Técnicas, a partir del cual los datos recopilados, procesados y comunicados por el SIES constituyen, para todos los efectos legales, la información estadística oficial del sistema de educación superior chileno, y cuyos antecedentes son los que deben informar la aplicación de políticas públicas destinadas al sector de educación superior conforme al mandato establecido por Ley. Adicionalmente, existe un nivel de homologación entre los ítems considerado por el SIES y los utilizados para el presente ejercicio de regulación de aranceles, por lo que es razonable esperar similitudes entre ambos procesos. No obstante, también se debe tener en cuenta que la recolección de datos de infraestructura de carrera solicitó a las instituciones reportar, para cada número de rol, el total de m² que son utilizados para actividades asociadas específicamente a impartir cada una de las respectivas carreras de pregrado, el cual debe ser igual o menor al metraje total de la infraestructura.
Para los casos particulares de instituciones que comparten infraestructura y se gestionan de manera articulada, es necesario incorporar una corrección previa a los datos del SIES. Para ello, se utiliza la suma de los m² reportados a SIES para cada ítem por la totalidad de las instituciones que comparten infraestructura, para posteriormente construir por cada uno de ellos "totales SIES ajustados", consistente en la multiplicación de los m² del conjunto de IES por la proporción de participación de cada Institución en la matrícula total del grupo. Este total ajustado es el que será utilizado para construir los metrajes SIES para cada uno de los ítems en estas instituciones en particular. Esta corrección resulta importante toda vez que, en estos casos, los criterios históricos de reporte de información por parte de las IES pueden responder a un criterio de propiedad de las instalaciones, el cual no necesariamente coincide con la intensidad efectiva de uso de estas por parte de cada Institución.
Una vez efectuada esta corrección, se construyen variables de ratio entre el total de m² reportados en el módulo de infraestructura de la carrera (IC) para cada ítem de costos "x", en todas las propiedades o bien raíces "r" pertenecientes o utilizadas por una Institución "i", en comparación con los m² consignados para el ítem equivalente (6) en la base de datos de SIES del año del reporte, las que asumen la siguiente forma:
Ecuación 10 - Ratios de re
porte de infraestructura PES-SIES por ítem
porte de infraestructura PES-SIES por ítem La construcción de estas ratios de reporte no tiene como propósito su utilización como parámetro de ajuste para instituciones específicas, sino como un criterio de evaluación de la calidad de los datos recolectados en el reporte PES para el conjunto de las IES, en comparación con la información reflejada en el SIES. Para este proceso se ha establecido que, en el caso en que el valor promedio de estas ratios sea superior a 2 en todos los ítems, se utilizarán los m² reportados a SIES, ajustando al alza o a la baja -según corresponda- la información reportada para cada Institución según cómo se acopla a la información estadística oficial del sistema de educación superior chileno.
En el caso de utilizar los datos del SIES, el total de m² correspondientes a cada Institución, serán distribuidos entre cada uno de sus programas formativos en proporción al metraje total declarado en el módulo de infraestructura de la carrera (IC), a fin de mantener el reflejo de la intensidad del uso de infraestructura que ha imputado cada IES para sus programas, así como los valores de arriendo y tasación reportados.
De este modo, para cada ítem de infraestructura "x", el ajuste se expresaría de la siguiente forma para cada carrera "c" impartida por una Institución "i".
Ecuación 11 - Ajuste del reporte de infraestru
ctura en función a metrajes SIES por ítem
ctura en función a metrajes SIES por ítem Considerando que el reporte de infraestructura del SIES abarca la totalidad del metraje existente en una Institución, es necesario también evaluar la pertinencia de cada ítem en función de su razonabilidad para impartir docencia de pregrado. Concretamente, si algún ítem alcanza un promedio por estudiante superior a la suma de todos los ítems restantes, este será retirado de la estimación.
Por su parte, en el caso de la auditoría de los datos reportados en base a los ítems de infraestructura institucional y de infraestructura de carrera, lo que se realiza es una comparación entre ambos. Para esto, se suman los metros totales reportados a nivel de Institución para cada ítem en la infraestructura institucional y en la infraestructura de carrera. Luego, se divide la sumatoria del reporte a nivel de carrera por el metraje total reportado en la infraestructura institucional para cada ítem. Esta ratio solo puede tomar valores iguales o menores que 1, en caso contrario, se considerará que existe un sobre reporte en la infraestructura de carrera. En los casos en que haya sobre reporte, se asimilará la sumatoria de los metrajes de carreras de los ítems con sobre reporte al total de metros a nivel institucional, conservando la distribución asignada por cada IES en sus carreras.
2.4.4. Construcción de valores de inversión en infraestructura por estudiante
Una vez determinado el criterio de definición del metraje a partir del proceso descrito en la sección 2.4.3., y establecido el arriendo como variable para la valorización de la infraestructura, el siguiente paso consiste en establecer valores promedio del m² de manera separada para cada uno de los ítems "x" reportados en infraestructura institucional (II). De este modo, las variables así construidas tendrán la siguiente forma, siendo "r" cada número de rol reportado, y denotando por "VA" el valor de arriendo reportado por cada ítem y por "MI" el total de metros cuadrados de infraestructura institucional de cada uno de ellos.
Ecuación
12 - Valor de arriendo promedio por ítem
12 - Valor de arriendo promedio por ítem______________________
(6) A excepción del ítem 1C2 del reporte PES, que comprende salas de clases, oficinas, baños y pasillos (la categoría SIES solo incluye salas de clases), las demás son perfectamente coherentes y comparables con categorías solicitadas en la recolección de Infraestructura y Recursos Educacionales (auditorios, laboratorios, talleres, casinos y cafeterías, áreas verdes y de esparcimiento).
Construidos los valores promedio, estos deben ser luego multiplicados por la cantidad de metros cuadrados utilizados por cada carrera (MC) según las intensidades de uso establecidas a partir de la recolección de datos declaradas en el reporte de datos de infraestructura de la carrera (IC), y divididas por el número total "n" de estudiantes con matrícula en la carrera. De este modo, se obtiene el valor promedio por estudiante de la inversión en los respectivos ítems "x" de infraestructura para cada una de las carreras, que asume la siguiente forma.
Ecuación 13
- Valor de infraestructura por estudiante
- Valor de infraestructura por estudiante Por último, sobre este valor de infraestructura per cápita es preciso efectuar dos correcciones finales. En primer lugar, debe ser ajustado por la proporción de matrícula de pregrado y postgrado a nivel de sede, debido a que la infraestructura total de la Institución es funcional para el total de la matrícula, por tanto, resulta razonable ajustar la infraestructura que será considerada para la estimación de aranceles regulados en proporción al estudiantado de pregrado. Se considera que realizar este ajuste a nivel de sede resulta apropiado para dar cuenta sobre el real uso de infraestructura por parte de estudiantes de pregrado en una infraestructura que es compartida. Luego, una vez efectuado dicho ajuste, el valor reportado en UF debe ser convertido a pesos, tomando como referencia el valor de la UF al 31 de diciembre del año para el cual se ha recolectado la información de costos. Estas variables expresadas en pesos serán finalmente sometidas al proceso de corrección de valores atípicos.
2.4.5. Tratamiento de outliers y estimación del valor del costo de inversión en infraestructura por estudiante
El procedimiento descrito en la sección anterior permite construir valores per cápita de inversión por cada ítem de infraestructura (VIPC1, VIPC2, VIPC3, VIPC4, VIPC5, VIPC6 y VIPC7), cuya sumatoria constituye el valor del costo de inversión en infraestructura por estudiante (CINFPC). Empero, las variables involucradas en este procedimiento deben ser sometidas previamente a un proceso de corrección de valores extremos.
Para ello, tal como se ha establecido para los costos directos e indirectos (2.3.4.), se utiliza también la transformación estadística Winsor. En forma separada y no secuencial, se analizan tres momentos posibles en los cuales aplicar el procedimiento de corrección de outliers: (a) sobre cada ítem por separado antes de efectuar la sumatoria, (b) sobre la sumatoria ya efectuada a partir de las variables no winsorizadas, (c) sobre la sumatoria a partir de las variables no winsorizadas, para cada macrogrupo definido de acuerdo a la metodología descrita en la sección 3.2. de las presentes Bases Técnicas. En cada uno de estos momentos, a su vez, se evalúan dos rangos posibles de límites: el 1% inferior y 99% superior de la distribución, y el 5% inferior y 95% superior. De este modo, el ejercicio permite construir seis variables posibles, resumidas en la Tabla 7.
Tabla 7 - Variables de costos de inversión en infraestructura por estudiante, según aplicaciones de
procedimiento de corrección de outliers
procedimiento de corrección de outliers Cada una de estas variables, luego, es evaluada a partir de sus respectivos estadísticos de distribución, siguiendo el mismo procedimiento utilizado para los costos directos e indirectos (sección 2.3.4). Es decir, calcular sus respectivos coeficientes de asimetría y curtosis, y sumar luego en un índice de distancia (IDN) los valores absolutos de sus diferencias respecto de los parámetros de una distribución normal, escogiendo la variable cuyo valor en este índice sea el más cercano a 0. La variable así escogida constituye la estimación del costo de inversión en infraestructura por estudiante, que será utilizada para construir el costo total por estudiante descrito en la sección 2.5.
Ecuación 14 - Índice de distanci
a de la distribución normal (para CINFPC)
a de la distribución normal (para CINFPC) 2.5. Determinación del costo total por estudiante
A partir de los procedimientos de depuración, control y análisis descritos en las secciones 2.3. y 2.4. precedentes, se obtienen dos variables de costos para cada carrera "c" impartida por una Institución "i". Por un lado, la suma de los costos directos e indirectos (CDIPCci, ecuación 15), establecidas a partir de los ítems de carrera, sede e Institución. Por otro, la estimación de los costos anualizados de inversión en infraestructura (CINFPCci, ecuación 16).
Ecuación 15 - Co
stos directos e indirectos por estudiante
stos directos e indirectos por estudiante Ecuación 16 - Costos de inv
ersión en infraestructura por estudiante
ersión en infraestructura por estudiante La sumatoria de ambas variables constituye el costo total por estudiante (CTPCci) de una determinada carrera "c" impartida por una Institución "i", sobre el cual serán aplicados los procedimientos de agrupación de carreras conducentes a la determinación de Valores Regulados de aranceles que se describen luego en el Capítulo 3. De este modo, el costo total por estudiante estará dado por la fórmula reflejada en la ecuación 17.
Ecuación 17 - Costo total por estudiante En el caso de que se detecten carreras sin valores de costos directos e indirectos por estudiante o costos de inversión en infraestructura por estudiante, se procederá de la manera descrita a continuación. De solo contarse con información del valor de infraestructura, la carrera será descartada de la base de datos. En el caso de que una carrera solo cuente con costos directos e indirectos por estudiante, los costos de inversión en infraestructura por estudiante serán imputados en base al promedio de este componente en la misma Institución. En el caso que no se posea ningún valor de costos de inversión en infraestructura en ninguna carrera de la Institución, se le imputará el valor promedio de este componente del conjunto de instituciones del mismo tipo en el reporte, es decir, el promedio de centros de formación técnica, institutos profesionales o universidades, según corresponda.
2.6. Determinación del costo total por estudiante a través de los años
Cada levantamiento de costos e infraestructura será sometido a los procedimientos señalados en los apartados anteriores, antes de ser sumados a una base longitudinal de costos e infraestructura y previo a la conformación de grupos de carrera. La principal variable para la estimación de aranceles regulados será la variable de costo total por estudiante (CTPCci), los costos de Derechos Básicos de Matrícula y los costos de Titulación o Graduación de cada cohorte. La única excepción a esto, serán los datos del levantamiento de costos e infraestructura 2021 que serán sometidos a los procedimientos descritos en las Primeras Bases Técnicas, hasta la sección 2.5 (p. 1-24) en el caso del costo total por estudiante (CTPCci). De igual forma, se considerará la estimación de Valores Regulados de Derechos Básicos de Matrícula calculados de acuerdo con la sección 3.4 (p. 41) y la estimación de los Valores Regulados de titulación o graduación de acuerdo con la sección 3.5 (p. 41).
Por tanto, la principal variable para la estimación de aranceles regulados será la variable de costo total por estudiante (CTPCci) de cada cohorte. En el caso de las carreras que cuenten con información para múltiples años, se estimará un promedio ponderado de las variables de interés, que asigne un mayor ponderador a los datos más recientes. Esto atiende directamente una de las recomendaciones formuladas por la Comisión Experta, en donde menciona la sugerencia de "(...) reducir el número de años [del levantamiento] o bien incluir algún factor que ponderase con mayor significancia los valores más recientes." (CERA, 19 de abril de 2023, p.12). La ponderación de los distintos años disponibles en la data deberá ser desarrollada y debidamente fundamentada en el respectivo Informe de Cálculo.
Para efectos de la construcción del promedio ponderado antes señalado, los valores correspondientes a levantamientos de costos anteriores al más reciente deberán ser previamente actualizados, de acuerdo con el IPC acumulado entre el mes de diciembre del año de los costos reportados, y el mes de diciembre del año del levantamiento de costos más reciente disponible en la base de datos longitudinal.
3. Procedimientos para el cálculo de Valores Regulados
El presente Capítulo establece la metodología para la determinación de los Valores Regulados, una vez implementada la totalidad de los procedimientos de recolección, procesamiento, validación y análisis de la información de carreras y matrículas, junto con la de costos de estas detallados en el Capítulo 2. Se establecen los fundamentos, definiciones y procedimientos para la conformación de grupos de carreras y determinación de aranceles regulados a partir de ellos, y se consigna finalmente la metodología para el cálculo de Valores Regulados de Derechos Básicos de Matrícula y Cobros por concepto de Titulación o Graduación.
3.1. Definiciones de las variables para la conformación de grupos de carreras
El artículo 88 de la Ley Nº 21.091 establece que los aranceles regulados deben ser determinados en razón de "grupos de carreras". Dispone, asimismo, que es potestad de la Subsecretaría de Educación Superior la definición de tales agrupaciones, no obstante, en dicho proceso esta debe considerar, al menos, las variables planteadas en el artículo: estructura curricular, tipo de programa, niveles, años y dimensiones de acreditación institucional, tamaño de la Institución, y la región en que se imparte la carrera o programa. Empero, la Ley no establece definiciones taxativas para cada una de estas variables. Por ello, es la Subsecretaría quien debe establecer, a partir de las Bases Técnicas, cuál será la operacionalización de las variables a utilizar para la conformación de grupos de carreras.
3.1.1. Estructura curricular
Para establecer una clasificación a partir de la estructura curricular, se utilizan las Áreas y Subáreas contenidas en la definición de campos de educación y formación asociados a la Clasificación Internacional Normalizada de Educación (CINE-F), categorización establecida en el año 2013 (UNESCO-UIS, 2015) por la Organización de las Naciones Unidas para la Educación, la Ciencia y la Cultura (UNESCO). La CINE-F constituye una clasificación de campos de estudios actualizada y de amplio uso y reconocimiento, y ha sido históricamente utilizada por el SIES, tanto en su versión original de 1997 como en su actualización del año 2013, como criterio base para la categorización de carreras y programas formativos.
Como se detallará en la sección 3.2., el criterio inicial será la Subárea, utilizándose el Área como mecanismo de reagrupación para aquellos casos en los que se produzcan grupos con un número insuficiente de carreras (25 o menos) y/o instituciones (menos de 4). La Tabla 8 da cuenta de las áreas y subáreas referidas, las que serán utilizadas para cada carrera según su clasificación en la base de datos de Oferta Académica de SIES correspondiente al año anterior a la publicación de los Valores Regulados.
Tabl
a
8 - Áreas y Subáreas CINE-F UNESCO 2013
a
8 - Áreas y Subáreas CINE-F UNESCO 2013 3.1.2. Tipo de programa
El tipo de programa formativo, por su parte, será establecido a partir de la división del conjunto de los datos en dos categorías, basados en el tipo de título o grado que entrega la carrera o programa, según conste en la base de datos de Oferta Académica de SIES correspondiente al año anterior a la publicación de los Valores Regulados.
Un grupo, denominado "profesional" estará conformado por carreras conducentes a certificaciones que solamente pueden ser otorgadas por Universidades, es decir, Bachilleratos o programas equivalentes, Licenciaturas no conducentes a título profesional, y carreras Profesionales con Licenciatura. El otro, denominado "técnico-profesional", lo constituyen las carreras Técnicas de Nivel Superior y Profesionales sin Licenciatura, que pueden ser ofertadas por Institutos Profesionales (IP) y Centros de Formación Técnica (CFT), sin perjuicio de que igualmente pueden ser otorgadas por Universidades.
3.1.3. Niveles, años y dimensiones de acreditación institucional
En cuanto a las variables asociadas a la acreditación institucional (niveles, años y dimensiones), es necesario recordar que la Ley Nº 21.091 en su Título IV incorporó modificaciones al Sistema Nacional de Aseguramiento de la Calidad de la Educación Superior (SINACES) -regulado por la Ley Nº 20.129-, dentro de las cuales se encuentra la creación de los niveles de acreditación, descritos en el inciso primero del artículo 20 de la Ley Nº 20.129 -básica, avanzada y de excelencia-. Sin embargo, los niveles no solamente no reemplazaron a la escala de años de acreditación, sino que están relacionados vis-a-vis a ella, de acuerdo con lo explícitamente consignado en el inciso segundo del referido artículo 20, que asocia los 3 años al nivel básico, 4-5 años al avanzado y 6-7 a la acreditación de excelencia. La importancia de los años es, de hecho, reforzada en el inciso segundo antes mencionado, por cuanto distingue la acreditación entre 6 y 7 años estableciendo como prerrequisito para esta última la certificación de la dimensión de "investigación, creación y/o innovación", única de carácter optativo en el régimen instaurado en el Título IV de la Ley Nº 21.091, mediante el cual se modificó la Ley Nº 20.129.
Por otra parte, si bien la Ley de Educación Superior fue publicada en 2018, los nuevos Criterios y Estándares de la CNA entraron en vigor en octubre de 2023. En consecuencia, a la fecha de dictación de las Bases Técnicas, no ha existido ningún resultado de acreditación asociado a algún proceso que haya sido conducido completamente bajo el nuevo régimen, el que comprende la evaluación integral de todas las sedes, funciones y niveles formativos, además del análisis respecto de una muestra intencionada de carreras. Cabe asimismo consignar que, al momento de dictación de las presentes bases, no ha existido tampoco algún documento público por parte de CNA que establezca parámetros específicos y observables para la determinación de niveles, que resulten cualitativa y verificablemente distintos de su asociación a los años de acreditación. En consecuencia, resulta esperable que los procesos de regulación futuros puedan desarrollar mayores distinciones entre niveles y años de acreditación, una vez exista una base suficiente de procesos de autoevaluación y acreditación desarrollados completamente bajo los nuevos criterios, estándares y procedimientos de la CNA. Sin embargo, considerando la situación actual en que la implementación del régimen de acreditación institucional se encuentra aún en una etapa inicial, es que no resulta pertinente la incorporación de los niveles y años como variables de agrupación por separado, por cuanto no existen antecedentes documentales ni empíricos que justifiquen de manera plausible que se trate de variables que aporten información sustancialmente distinta.
Considerando las características y propósitos de la segunda etapa de agrupación (sección 3.3.), se utilizarán los años de acreditación como criterio para tales efectos, en tanto -por los motivos antes señalados- reporta los mismos antecedentes que la variable nivel, con un mayor nivel de diferenciación. De este modo, la variable asociada a la acreditación institucional se compone de cuatro categorías, que van desde las IES con 7 años de acreditación hasta aquellas certificadas por 4 años. Como fecha de observación de este indicador, se adoptará la situación de acreditación institucional al 31 de diciembre del año anterior a la publicación de los Valores Regulados para un determinado conjunto de carreras.
En el caso de aquellas carreras impartidas por instituciones que actualmente no estén acreditadas, o cuenten con certificación por un número inferior a cuatro años, estas serán consideradas dentro de un mismo grupo con las dictadas por las IES con 4 años de certificación. Esta determinación responde tanto a la letra como al espíritu de las modificaciones que la Ley Nº 21.091 incorporó al Sistema de Aseguramiento de la Calidad. En efecto, la Ley ha dispuesto que la acreditación básica (3 años) puede ser otorgada por una única oportunidad (Art. 20 inciso 3, Ley Nº 20.129), en el entendido de que el marco normativo busca propender a que todas las instituciones del sistema alcancen un nivel basal de calidad equivalente, al menos, al número mínimo de años asociado al nivel avanzado de acreditación (4 años), por lo cual resulta esperable que su funcionamiento y costos deba propender a ajustarse hacia dicho nivel.
Sobre las dimensiones o áreas de acreditación, es necesario recordar que entre las modificaciones que la Ley de Educación Superior introdujo al SINACES está la definición de la acreditación institucional como un proceso obligatorio e integral, en tanto "considerará la evaluación de la totalidad de las sedes, funciones y niveles de programas formativos de la Institución" (tal como se expresa en el artículo 15, inciso segundo, nuevo, de la Ley Nº 20.129 modificada). Asimismo, el artículo 18 igualmente modificado de la Ley recién mencionada establece cinco dimensiones de acreditación -Docencia y Resultados del Proceso de Formación; Gestión Estratégica y Recursos Institucionales; Aseguramiento Interno de la Calidad; Vinculación con el Medio; e Investigación, creación e innovación-, todas ellas de carácter obligatorio, a excepción de la dimensión de "Investigación, creación e innovación", que igualmente es condición para optar al máximo de 7 años de acreditación. Lo anterior representa un cambio sustantivo en relación con el régimen antes existente, y cuya vigencia expiró a partir del 1 de octubre de 2023, que establece dos áreas obligatorias (Gestión Institucional y Docencia de Pregrado) y tres voluntarias (Docencia de Postgrado, Investigación, Vinculación con el Medio).
Con todo, a este respecto es preciso distinguir entre las instituciones no universitarias y las universidades. En el caso de las primeras, bajo el régimen que se encontraba vigente hasta octubre de 2023 solamente pueden podían postular a la acreditación optativa en el área de vinculación con el medio, como lo reconocen expresamente las Guías para la Autoevaluación Interna dispuestas por la CNA para Institutos Profesionales y Centros de Formación Técnica (CNA-Chile, 2016a y 2016b, p. 12 en ambos documentos).
Distinto, en cambio, es el caso de las universidades, en cuyos procesos de acreditación institucional desarrollados bajo el régimen vigente desde 2006 siempre han dispuesto de la posibilidad de certificar sus funciones de investigación ante la CNA. Cabe asimismo señalar que, si bien los nuevos criterios y estándares de acreditación entraron en vigor desde octubre de 2023, a partir de la publicación de la Ley Nº 21.091, el 29 de mayo de 2018 constituye un hecho conocido por el conjunto del sistema de educación superior el tránsito hacia un régimen en el cual la certificación de las funciones de docencia de postgrado y vinculación con el medio desarrolladas por parte de las universidades será de carácter obligatorio. Prueba elocuente de lo anterior es el hecho de que, al 31 de diciembre de 2022, la totalidad de las Universidades del sistema de educación superior (adscritas o no a la Gratuidad) que cuentan con 6 o 7 años de acreditación, están certificadas en el área de Investigación.
En consecuencia, la consideración de las "dimensiones" de acreditación en las presentes bases se abordará de manera diferenciada según el nivel de carrera. Para las carreras profesionales, se distinguirá aquellas impartidas por instituciones acreditadas en investigación respecto de aquellas que no lo estén, en tanto esta constituirá la única función misional cuya certificación será de carácter voluntario en ambos regímenes, reconociendo así por tanto el impacto en los costos asociado a la certificación de áreas de carácter voluntario. En el caso de las carreras técnico-profesionales, el criterio a utilizar será la acreditación institucional en al menos un área optativa, formulación que permite incorporar tanto a los centros de formación técnica e institutos profesionales certificados en vinculación con el medio bajo el régimen hoy vigente, como a aquellos que acrediten el área optativa de "Investigación, creación e innovación" en los términos establecidos en los nuevos Criterios y Estándares de la CNA para la Acreditación Institucional del Subsistema Técnico Profesional (CNA-Chile, 2021b). En ambos casos, dado un conjunto de carreras a regular, esta variable será observada al 31 de diciembre del año anterior a la publicación de sus respectivos Valores Regulados.
Cabe destacar que, para las carreras Técnicas de Nivel Superior y Profesionales sin Licenciatura impartidas por Universidades, se ha optado por utilizar el criterio dispuesto en función de la realidad de las IES del subsistema técnico-profesional, es decir, reconocer la acreditación en al menos un área optativa. Esto, por cuanto del total de programas formativos reportados en el levantamiento de información de costos 2022 que otorgan títulos técnico-profesionales, solamente un 10,4% son dictados por instituciones universitarias. Esta determinación, por tanto, busca asegurar la coherencia respecto de las definiciones y procedimientos de agrupación que se describen en las secciones 3.2. y 3.3., en las cuales la unidad de observación fundamental es la carrera y la agrupación se efectúa en base a las características constitutivas de esta.
3.1.4. Tamaño de la Institución
Existen diversas formas de entender y definir el tamaño de una Institución de Educación Superior. Si bien la adopción más convencional del concepto ha sido asimilarlo al número de estudiantes con matrícula, aquella es solo una definición posible. En la literatura internacional se pueden encontrar otras formas de entender el tamaño de una IES, tales como el número de áreas del conocimiento que aborda, la cantidad de programas formativos que ofrece, sus niveles de productividad en materias de investigación, o bien al alcance territorial de sus diferentes campus y sedes, entre otras posibles (Gralka, 2018; Johnes & Johnes, 2016; Ferro & D'Elia, 2020).
Tomando en consideración que el propósito de la presente regulación es establecer valores de aranceles en base a costos, la definición del tamaño del subsistema técnico profesional está vinculada directamente a la identificación de potenciales economías de escala en las IES. En consecuencia, las presentes Bases Técnicas establecen el número de sedes como criterio de delimitación del tamaño de una Institución de dicho subsistema (ver definición de "sede" en Glosario). La hipótesis asociada a esta determinación es que una mayor diversificación de la presencia territorial de la Institución de esta naturaleza es potencialmente conducente a economías de escala, en tanto conlleva la posibilidad de, por ejemplo, impartir la misma carrera o programa en un número diverso de sedes y jornadas, con los consiguientes menores costos asociados al desarrollo de planes de estudios y modelos instruccionales en comparación a carreras o programas de naturaleza curricular distinta. En consecuencia, se ha optado por reflejar esta variable a partir de una definición en la que vincula este aspecto con economías de escala en dichas entidades de educación superior, para lo cual establece que la mejor representación del "tamaño de una Institución es su número de sedes". Esta definición cobra mayor validez para el caso de las instituciones del subsistema técnico-profesional, porque en sus respectivas definiciones, contenidas en el artículo 3 de la Ley Nº 21.091, la pertinencia territorial es uno de sus atributos, y porque lo propio de estas entidades es y ha sido distribuir su oferta formativa en sedes/comunas para obtener mayor proximidad física con sus estudiantes potenciales.
Distinta, en cambio, es la situación de las entidades del subsistema universitario cuya infraestructura propende, en su mayoría, a una concentración espacial en un único campus o a una distribución multicampus que suele depender más de las oportunidades de expansión urbana en un territorio predeterminado, por lo que para este subsistema la forma más convencional de representar esta variable es asimilándola al número de estudiantes con matrícula en pregrado.
En cada uno de los preíndices, queda entonces expresado el tamaño en relación con una variable más acorde tanto con las características que predominan o han predominado en el desarrollo y expansión efectiva de las respectivas instituciones como con las exigencias propias de su sentido misional conforme a las definiciones basales legalmente establecidas. Además, se ha estimado más pertinente que al establecer estas dos variables de tamaño se haga conforme a un limitado número de tramos o de rangos que den cuenta, a partir de los datos, de la distribución que alcanzan estas variables.
Ahora bien, para la contabilización de la variable número de sedes aplicable al subsistema técnico profesional, se utiliza la información disponible en la base de datos de Oferta Académica del SIES correspondiente al año anterior a la publicación de los Valores Regulados. Con todo, es preciso establecer un criterio adicional. Si bien la definición de SIES ha asimilado preferentemente la unidad territorial "sede" a la comuna, la recolección histórica de esta información ha utilizado un criterio de autoasignación por parte de las instituciones respectivas, en el cual se han mezclado definiciones territoriales de comuna o ciudad. Aun cuando las categorías de códigos de sede y comuna en las bases de datos de Oferta Académica anual elaboradas por el SIES han propendido a ser cada vez más convergentes, aún persisten diferencias entre ambas en algunas instituciones. Por ello, en aquellos casos en que existan dichas discrepancias entre ambos criterios en la referida base de datos correspondiente al año cuyos costos se consideran para el cálculo de los Valores Regulados, se optará por el criterio de la comuna, con el fin de utilizar un criterio de contabilización lo más homogéneo posible para el conjunto de las instituciones de este subsistema, independiente de los criterios históricos de autoasignación utilizados.
Establecido el criterio antes señalado, en el sector técnico-profesional se consideran como "grandes" a las instituciones que posean una cantidad de sedes mayor al promedio de las instituciones de este subsistema (CFT e IP), mientras que aquellas cuyo número sea inferior son definidas como IES de tamaño "normal". En el subsistema universitario, por su parte, se definen como "grandes" a las instituciones que cuenten con un número de estudiantes matriculados en pregrado mayor al percentil 90 del total de las universidades adscritas a la Gratuidad, y por el contrario aquellas cuyo volumen de matrícula sea inferior se definen como tamaño "normal". Las Figuras 1 y 2 a continuación dan cuenta de la relación entre los costos totales por estudiante y la variable de tamaño determinada en cada caso.
Figura 1 - Costos totales por estudiante según número de sedes (carreras impartidas por centros
de formación técnica e institutos profesionales)
de formación técnica e institutos profesionales) Figura 2 - Costos totales por estudiante según número de estudiantes matriculados en
pregrado (carreras impartidas por universidades)
pregrado (carreras impartidas por universidades) 3.1.5. Región extrema
Como cuestión previa, es preciso recordar que la localización territorial ha sido considerada como parte de la definición misma de la "carrera o programa de estudios" en tanto unidad de observación (sección 2.1.). En tal sentido, la naturaleza de la información de costos utilizada, dada esta delimitación y sus consecuencias en la metodología de recolección y procesamiento descritas en el Capítulo 2., es sensible al territorio en el cual es impartida cada carrera, reconociendo así que, por ejemplo, un mismo programa formativo desarrollado en dos lugares distintos del país puede tener costos diferentes.
La incorporación de la sede en la definición misma de la unidad de observación es fundamental para atender a la diversidad de realidades asociadas a la territorialidad de la oferta formativa. La localización geográfica de las carreras y programas con alta probabilidad impactará en sus costos dada su relación con las inequidades socioespaciales del país, en aspectos tales como la composición socioeconómica de su estudiantado, el marco normativo para el emplazamiento de su infraestructura, las posibilidades de acceso a bienes y servicios públicos y privados, y las posibilidades de aprovechar y explotar economías de aglomeración, por mencionar algunos (PNUD, 2015; Livert & Gaínza, 2017; Rivera & Alonso, 2018; Leihy & Salazar, 2022).
Sin perjuicio de lo anterior, es preciso dar cuenta en el proceso de agrupación de carreras de las características particulares asociadas a las zonas extremas del país, en tanto constituyen territorios aislados en relación a la zona central donde se concentra la actividad productiva del país, que enfrentan mayores costos de productividad y transporte respecto a las otras regiones, y que poseen una baja densidad poblacional y/o alta dispersión en la distribución territorial de sus habitantes, características que necesariamente impactan en la impartición de educación superior en dichas zonas (Centro de Estudios MINEDUC, 2019).
En consecuencia, las presentes Bases Técnicas establecen como un criterio para la conformación de grupos la localización en una "región extrema", definida de acuerdo a los términos establecidos en la Ley Nº 20.655, que establece incentivos especiales para las zonas extremas del país, a saber: las regiones de Arica y Parinacota, Tarapacá, Aysén del Presidente Carlos Ibáñez del Campo y Magallanes y Antártica Chilena, además de las provincias de Chiloé y de Palena. La hipótesis asociada a esta determinación, en consecuencia con el párrafo anterior, es que impartir docencia de pregrado en zonas extremas trae consigo mayores costos asociados, como también los trae el desarrollar las principales funciones de gobierno institucional desde estas localidades.
En base a ello, el emplazamiento en una región extrema es considerado como variable de agrupación, tanto a nivel de carrera como de Institución. Para esta última, se toma como referencia la ubicación de su sede central, es decir, la dirección en la cual se sitúan las dependencias de los organismos de gobierno central de la Institución (Rectoría, Vicerrectorías y unidades asociadas a estas), y que se encuentra registrada en la base de datos de Instituciones del SIES.
De este modo, la agrupación en este ámbito consiste en tres categorías. Una primera estará conformada por carreras impartidas en una región extrema, por parte de una Institución cuya sede central esté también radicada en una de estas zonas. La segunda, está conformada por carreras en las cuales sólo se cumpla una de las dos condiciones señaladas, es decir: carreras de regiones extremas de instituciones no radicadas en zonas extremas, o carreras impartidas en regiones no extremas por parte de IES cuya sede central se sitúa en estas zonas. Finalmente, la tercera categoría la conforman aquellas carreras que no reúnen ninguna de las dos condiciones señaladas.
3.1.6. Jornada
Si bien, como ha sido señalado, el artículo 88 de la Ley Nº 21.091 establece un catálogo de variables que deben ser consideradas para la conformación de grupos de carreras que den cuenta de estructuras de costos similares, no excluye la posibilidad de incorporar otras que contribuyan a este propósito. En tal sentido, se incorpora como una variable de agrupación la jornada, estableciendo dos categorías distintas en función de si la carrera es impartida en horario diurno o vespertino, conforme a la información disponible en la base de datos de Oferta Académica del SIES correspondiente al año anterior a la publicación de los Valores Regulados. En el caso de identificarse carreras catalogadas en la referida base de datos en una categoría distinta a diurno o vespertino, y habiendo verificado que se trate de programas presenciales, se les imputa jornada vespertina.
Una misma carrera impartida en horario diurno y vespertino poseerá, con gran probabilidad, perfiles de estudiantes muy distintos, y por sus propias características presentan diferentes requerimientos en cuanto a apoyos o servicios. Asimismo, en muchos casos dichas carreras poseen diferentes planes de estudios: las carreras en formato vespertino son por lo general más cortas en tanto reconocen y/o convalidan aprendizajes previos, prescindiendo de parte de la formación básica propia de carreras en jornada diurna orientadas de manera preponderante hacia estudiantes recién egresados y egresadas de la educación secundaria (SIES, 2015; Gaete & Morales, 2011; Araya-Castillo, Maldonado, Lizana & Escobar-Farfán, 2015).
3.1.7. Complejidad institucional: acreditación de doctorados (carreras profesionales)
A partir de la entrada en vigencia de los nuevos criterios y estándares de acreditación institucional de la CNA, desde octubre del año 2023, como se ha mencionado antes, se ha dado inicio formal al régimen permanente contemplado en la Ley Nº 21.091 en esta materia. A diferencia del régimen anterior, el cual solo consideraba la obligatoriedad de las áreas de Gestión Institucional y Docencia de Pregrado, los nuevos criterios y estándares -conforme a lo establecido en la Ley- apuntan hacia una mayor complejidad institucional, tanto en el subsistema universitario como técnico-profesional.
Las Tablas 9, 10 y 11 a continuación resumen la situación actual de acreditación de las 68 instituciones que estarán adscritas a la Gratuidad a partir de 2024. Entre las universidades, la totalidad se encuentra acreditada con un promedio de años de 5,6, y el 68% cuenta con acreditación en investigación. Entre las instituciones TP, el promedio de años de acreditación es de 5,0, toda vez que los 15 CFT estatales creados por ley están adscritos a gratuidad, pero disponen de un plazo establecido en el mismo cuerpo legal para iniciar sus procesos de acreditación. En la Tabla 10 se observa que sólo 5 IES de este subsistema poseen acreditación en algún área optativa.
Tabla 9 - Años de acreditación IES adscritas a Gratuidad en 2024 Tabla 10 - Acreditación
en investigación/área optativa de IES adscritas a Gratuidad en 2024
en investigación/área optativa de IES adscritas a Gratuidad en 2024 Tabla 11 - Próx
ima presentación a acreditación de IES adscritas a Gratuidad en 2024
ima presentación a acreditación de IES adscritas a Gratuidad en 2024 De los datos anteriormente observados es posible concluir para el subsistema universitario que, ni los años de acreditación, ni la certificación en el área de investigación, constituyen por sí solas variables que permitan diferenciar distintos niveles de complejidad de los ambientes formativos en los cuales se incorporan las y los estudiantes de pregrado, más aun considerando que la totalidad de las instituciones adscritas a la Gratuidad tendrá que presentarse a una nueva acreditación durante el período de vigencia de la regulación arancelaria. No ocurre lo mismo con el subsistema técnico profesional, ya que aún no es posible establecer niveles de complejidad consistentes, debido a la existencia de una menor cantidad de instituciones acreditadas y a que la dimensión de acreditación voluntaria "investigación, creación y/o innovación", la cual está recién en proceso de implementación, adquiere especial relevancia con el fin de generar impacto a largo plazo en la comunidad y territorios.
En base a todo lo anterior, se ha considerado relevante incorporar, aunque por ahora únicamente dentro del "preíndice" aplicable a las carreras profesionales, una variable adicional que permita dar cuenta de distintos niveles de complejidad de los ambientes formativos. Con este propósito, se incorpora una variable adicional asociada a la oferta acreditada de programas de doctorado, aspecto propio del quehacer institucional que es reconocido en la literatura como un vector de complejidad institucional (Cancino & Schmal, 2014; Muñoz & Blanco, 2013), y es también valorado en esos términos en los nuevos Criterios y Estándares para la acreditación institucional en el Subsistema Universitario, que consideran la acreditación de doctorados como indicador relevante para alcanzar el máximo nivel en el criterio de "Resultados de la Investigación, Creación y/o Innovación" (CNA, 2021c).
Al igual que en la variable asociada a las dimensiones optativas de acreditación descrita en la sección 3.1.3., se ha determinado circunscribir la aplicación de esta variable a las carreras profesionales y no a todas las carreras impartidas por universidades, por cuanto sólo el 10,4% de las carreras técnico-profesionales informadas en el reporte PES 2022 son dictadas por instituciones universitarias. Esta decisión, además, responde a la naturaleza misma de las carreras profesionales, en tanto su principal distinción respecto a los programas técnico-profesionales es que son programas formativos conducentes a grados académicos, los que a su vez son habilitantes para cursar eventuales estudios de postgrado futuros.
El "Coeficiente de Acreditación de Doctorados" (CAD) de una Institución "i" correspondería a la razón entre el número de doctorados acreditados que imparte esta Institución al 31 de diciembre del año anterior a la publicación de los Valores Regulados, en relación con el número total de programas doctorales en el sistema universitario a la misma fecha. En aquellos casos en los que un programa doctoral es impartido en consorcio por más de una universidad, será contabilizado de manera proporcional al número de IES responsables del programa. Por ejemplo, si dos universidades "A" y "B" imparten un programa en consorcio, y la universidad "A" además cuenta con dos doctorados impartidos íntegros con su propia capacidad mientras la universidad "B" posee uno, para la construcción del indicador la Institución "A" contará con 2,5 doctorados y, la u
niversidad "B", con 1,5. Todo lo anterior se expresa en la siguiente fórmula.
niversidad "B", con 1,5. Todo lo anterior se expresa en la siguiente fórmula. Una vez obtenido este indicador para cada una de las instituciones, se determinan tres categorías para las carreras profesionales según la posición de su Institución en el indicador: carreras profesionales impartidas por universidades sobre el percentil 90 del CAD en el subsistema universitario, por instituciones entre los percentiles 50 e inferior al percentil 90, y por debajo del percentil 50.
La Figura 3 a continuación refleja los costos totales por estudiante según los tres conjuntos de carreras previamente señalados, considerando los datos de los dos levantamientos de información de costos realizados y descritos en el Capítulo 2 de las presentes Bases Técnicas. Es posible observar que, en efecto, existen tendencias de costos diferenciadas de acuerdo con esta variable, lo cual confirma la pertinencia de su incorporación a la presente regulación.
Figura 3 - Costos totales por estu
diante según grupo de acreditación de doctorados
diante según grupo de acreditación de doctorados (carreras profesionales)
3.2. Primera etapa de agrupación: Determinación de macrogrupos
Como ha sido señalado, el artículo 88 de la Ley establece que la agrupación de carreras deberá considerar al menos un catálogo de variables allí expresado, cuya definición operativa para efectos de las presentes Bases Técnicas ha sido establecida en la sección precedente. Con todo, el proceso de conformación de grupos de carreras debe procurar el no producir una excesiva atomización, generando agrupaciones con números demasiado pequeños de carreras y/o instituciones, por cuanto aquello constituye un problema metodológico en dos niveles. Por un lado, lo es en un plano técnico-estadístico: una atomización excesiva torna inviable la aplicación de procedimientos estadísticos para calcular costos representativos (CERA, 10 de junio de 2022).
Por otra parte, una excesiva atomización pone en entredicho el cumplimiento de la letra y espíritu de la Ley Nº 21.091. En efecto, la estimación de Valores Regulados a partir de grupos pequeños, en la mayoría de los casos conformados por sólo una Institución, constituye en la práctica una fijación de precios individuales, lo cual contraviene el principio operativo consagrado en el artículo 88: establecer aranceles regulados "en razón de grupos de carreras". Asimismo, la conformación de estos grupos a partir del referido catálogo de variables debe ser funcional al cumplimiento del propósito que define estos grupos: constituirse en "conjuntos de carreras o programas de estudios que tengan estructuras de costos similares entre sí".
Todo esto demuestra la importancia de desarrollar una metodología apropiada, que considere la totalidad de las variables establecidas en el artículo 88, sin que aquello implique apartarse del principio orientador de la definición de aranceles en base a grupos de carreras para moverse hacia una tarificación individual ajena al texto y espíritu de la norma. Estadísticamente, aquello supone disponer de grupos con volúmenes de información apropiados, lo suficientemente grandes como para permitir la utilización de medidas de tendencia central como parte del mecanismo de establecimiento de aranceles regulados, pero también lo suficientemente pequeños para que efectivamente distingan con claridad estructuras de costos asociadas a diferentes tipos de carreras.
Con este propósito, las presentes Bases Técnicas establecen una estrategia de agrupación en dos etapas, que en conjunto conducen a la determinación de Valores Regulados a partir de grupos de carreras conformados sobre la base de las variables antes señaladas. La primera etapa tiene por objeto establecer macrogrupos, que constituirán las unidades base para efectos de la determinación de la entrada progresiva de áreas del conocimiento a la regulación de aranceles. Para ello, el paso inicial consiste en la división del conjunto de los datos en dos grupos basados en el tipo de título o grado que entrega la carrera o programa. Un grupo consiste en todas las carreras Técnicas de Nivel Superior y Profesionales sin Licenciatura, mientras que el otro lo conforman los programas de Bachillerato, las Licenciaturas no conducentes a título profesional, y las carreras Profesionales con Licenciatura.
Luego de esta primera división, sobre cada uno de ambos segmentos se constituyen nuevos macrogrupos a partir de la estructura curricular de las carreras y programas. Para tales efectos, el criterio utilizado serán las Áreas y Subáreas establecidas en la definición de campos de educación y formación asociados a la Clasificación Internacional Normalizada de Educación (CINE-F), categorización establecida en el año 2013 (UNESCO-UIS, 2015). En primera instancia, se utiliza la Subárea como variable de agrupación, con el propósito de conformar conjuntos de carreras o programas lo más parecidas posibles entre sí en términos curriculares.
La combinación entre tipo de programa y estructura curricular permite establecer los "macrogrupos" de esta primera etapa, los cuales deberán contar con un número de carreras mayor a 25, impartidas por un número no inferior a 4 instituciones. La consideración del número de IES, y no sólo de carreras, resulta fundamental para garantizar el cumplimiento del propósito de la ley de establecer Valores Regulados en base a grupos de carreras, por cuanto un macrogrupo conformado por sólo una o dos instituciones, aun cuando tuviese un número satisfactorio de carreras, entraña consigo el riesgo de incurrir en la fijación de precios individuales, así como también de otorgar un excesivo poder de mercado a las IES involucradas para afectar dichos valores.
En los casos en que uno o más macrogrupos conformados a partir del tipo de programa y la Subárea CINE-F presentan un número de observaciones y/o de IES inferior a los umbrales señalados, estos son luego reagrupados al nivel del Área CINE-F, con el propósito de obtener conjuntos similares en términos curriculares, pero con un volumen de información suficiente para permitir el uso de medidas de tendencia central y dispersión.
3.3. Segunda etapa de agrupación: Grupos de carreras y determinación de aranceles regulados
La conformación de estas agrupaciones iniciales a partir del tipo de carrera o programa y su respectiva Área o Subárea CINE-F, genera distintas distribuciones del costo total por estudiante en cada macrogrupo formado. El siguiente paso en la regulación de aranceles es determinar la media y desviación estándar en cada macrogrupo. A partir de estos parámetros, la segunda etapa de agrupación consiste en determinar, en base a los macrogrupos establecidos en la etapa anterior, los grupos finales de carreras, utilizando para ello las restantes variables de agrupación no consideradas en la primera etapa, es decir: niveles/años de acreditación, dimensiones de acreditación, tamaño, región extrema, jornada y acreditación de doctorados para las carreras profesionales.
En el mismo procedimiento de conformación de los grupos finales de carreras, se establecen los Valores Regulados de arancel correspondientes a cada uno de ellos, a través del procedimiento que se describe a continuación. En primer lugar, a cada una de las variables descritas en la sección 3.1., se les asignan valores en la base de datos en función de sus respectivas categorías, los cuales se presentan en la Tabla 12 a continuación:
Ta
bla 12 - Operacionalización de variables para la segunda etapa de agrupación
bla 12 - Operacionalización de variables para la segunda etapa de agrupación A partir de la suma de los valores que puede adoptar cada una de las variables se construye un preíndice (PIA) para cada carrera "c" impartida por una Institución "i", cuya forma se observa en las Ecuaciones 18 y 19 siguientes. En ellas, se denota por "ACi" el valor asociado a los años de acreditación de la Institución que imparte la carrera, "Ii" su acreditación o no en el área de investigación en el caso de las carreras profesionales, "OPi" la acreditación en un área optativa para carreras técnico-profesionales, "Ti" el valor asociado al tamaño de la Institución que imparte la carrera, "Rci" el indicador establecido a partir de la localización de la carrera y/o de la Institución que la imparte y "Jc" la jornada de la carrera. Adicionalmente, para el cálculo del preíndice se incluye una variable para el subsistema profesional que da cuenta de la complejidad institucional, por lo que se considera la acreditación de doctorados
"ADi".
"ADi". Ecuación 18 - Preíndice de agrupación (carreras profesionales)

Ecuación 19 - Preíndice de agrupación (carreras técnico-profesionales)
Este preíndice podrá adoptar valores pertenecientes a un rango entre 1 y 8,5 en cada macrogrupo correspondiente a las carreras profesionales. Así, por ejemplo, el valor 1 corresponderá a una carrera impartida por una universidad con 4 años de acreditación o menos, no acreditada en investigación, con un volumen de matrícula menor o igual al percentil 90 del subsistema universitario adscrito a Gratuidad, impartida en jornada vespertina, en una región no extrema (ni tampoco la sede central de su Institución se sitúa en dichos territorios), y con una acreditación de doctorados menor al P50. Por el contrario, el valor máximo de 8,5 corresponderá a una carrera perteneciente a una universidad con 7 años de acreditación, certificada en investigación, con una matrícula de pregrado mayor al percentil 90 del subsistema universitario en Gratuidad, impartida en jornada diurna y situada en una región extrema, por parte de una Institución cuya sede central está también ubicada en alguna de estas zonas, además de contar con una acreditación de doctorados mayor al P90.
En las carreras técnico-profesionales, por su parte, el preíndice adoptará valores entre 1 y 7,5. De este modo, el valor 1 corresponde a una carrera impartida en jornada vespertina, en una región no extrema, por parte de una IES cuya sede central tampoco está radicada en una región extrema, y que cuenta con 4 años de acreditación o menos, no está certificada en ningún área optativa, y posee un número de sedes mayor al promedio de los CFT e IP adscritos a la Gratuidad, o bien, en el caso de una carrera técnico-profesional impartida por una universidad, esta posee un volumen de estudiantes matriculados inferior al percentil 90. Por el contrario, el valor de 7,5 corresponde a carreras impartidas en jornada diurna, en una región extrema, por parte de una Institución cuya sede central está también ubicada en una de estas regiones, y que cuenta con 7 años de acreditación, certificación en algún área optativa, y un número de sedes menor o igual al promedio de los CFT e IP -o bien, una matrícula de pregrado superior al percentil 90, en el caso de carreras impartidas por universidades-.
A este preíndice, luego, se le aplica una transformación lineal, a partir de la cual se obtiene un índice de agrupación (IA), cuyos valores consistirán en un número de cortes discretos equivalente a los valores posibles que puede adoptar el preíndice. La transformación lineal utilizada puede ser distinta para cada macrogrupo definido según el procedimiento descrito en la sección 3.2., operación que deberá ser detallada en el Informe de Cálculo respectivo. Para todos los efectos, la linealización debe, al menos, cubrir el 50% de las carreras de cada macrogrupo. De esta forma, es posible abarcar diferentes recorridos en la linealización, que den cuenta de las distintas distribuciones de costos observadas en cada macrogrupo, con el propósito de que los Valores Regulados se organicen en torno a valores convergentes con las medidas de tendencia central y dispersión particulares de cada uno de los conjuntos de carreras construidos tras la primera etapa de agrupación.
De este modo, el índice de agrupación para cada carrera "c" impartida por una Institución "i" perteneciente a un macrogrupo "G" estará dado por la Ecuación 20, don
de "L" es la transformación lineal:
de "L" es la transformación lineal: Ecuación 20 - Índice de agrupación
La utilización de una transformación lineal al nivel de macrogrupos conlleva un conjunto de ventajas para la estimación de Valores Regulados de aranceles. En lo principal, el objetivo de realizar esta linealización es conformar de manera representativa conjuntos de carreras o programas que posean estructuras de costos y características similares entre sí, respetando y reflejando la mayor o menor heterogeneidad de los respectivos macrogrupos expresada en la curva de distribución de costos. Estrategias alternativas, como una "ponderación porcentual simple" de las variables comprendidas en el preíndice, no lograría abordar la heterogeneidad de los macrogrupos, asumiendo una uniformidad y homogeneidad en la estructura de costos de los macrogrupos, que no necesariamente se condicen con las distribuciones observadas. Además, las distribuciones de costos no necesariamente son simétricas respecto a la media, razón por la cual es necesario contar con una herramienta metodológica que sea sensible a las distintas distribuciones.
Adicionalmente, la transformación lineal permite establecer puntos equidistantes en la distribución, con un recorrido de distancia constante que refleja la curva de distribución de costos de un determinado macrogrupo. De esta forma, es posible estimar Valores Regulados incluso para combinaciones del preíndice que no se encuentran en la muestra del levantamiento de costos. Esto permite que la regulación abarque todas las combinaciones posibles del preíndice en base a la información de costos de cada macrogrupo, incluyendo sus valores mínimos y máximos, así como aquellos valores intermedios que no se realizan en la muestra para ninguna Institución y/o grupo de carreras.
La transformación lineal también considera la fijación de límites para la linealización. Se adopta esta decisión principalmente para que los Valores Regulados de arancel no alcancen los valores mínimos o máximos en cada macrogrupo. Asumiendo que la curva de distribución de costos es indicativa de una tendencia de costos en el sistema para un grupo de carreras determinado, las medidas de tendencia central serían los valores más informativos respecto al comportamiento del macrogrupo. Por el contrario, los valores mínimos y máximos pueden corresponder a una única observación en cada conjunto, por tanto, un valor regulado que pueda adoptar estos valores puede redundar en un proceso de fijación individual de aranceles, lo cual va en contravención de los fines de este ejercicio regulatorio. Igualmente, fijar límites a la linealización desincentiva potenciales comportamientos estratégicos de los informantes, quienes pueden deliberadamente reportar para ubicarse en el límite inferior o superior de una determinada distribución. Por último, fijar límites inferiores y superiores en la linealización permite que el nuevo régimen regulatorio resguarde cierta gradualidad entre el régimen transitorio y el nuevo régimen permanente al no abarcar valores extremos que puedan encontrarse en segmentos de la curva de distribución de costos.
A través de este proceso de linealización es posible construir grupos de carreras "g", que constituyen diferentes puntos discretos a lo largo de la distribución de costos del respectivo macrogrupo "G". La distancia de estos puntos es proporcional a la dispersión de los costos totales por estudiante en cada uno de ellos. La Ecuación 21 muestra cómo se obtiene el Arancel Regulado (AR) de una carrera "c" perteneciente al grupo "g", en función del índice de agrupación, dado un valor promedio (X G ) y una desviación estándar (σ G ) del costo total por estudiante del respectivo macrogrupo "G" al cual perten
ece la carrera;
ece la carrera; Ecuación 21 - Fórmula de cálculo del Arancel Regulado
Debido a que el índice de agrupación "IA" es un valor que puede ser positivo o negativo, pueden existir carreras cuyo Arancel Regulado esté sobre la media del grupo y otras bajo la media del grupo. La distancia, en términos de costos por estudiante, que se mueva una carrera en función de los valores que asuma este índice, a su vez, dependerá directamente de la desviación estándar de los costos del macrogrupo al que pertenece. El resultado final de este proceso es la determinación de grupos de carreras y Valores Regulados de arancel para cada uno de ellos, a partir de todas las combinaciones posibles. Esto permite, a su vez, asignar un Arancel Regulado para aquellas carreras que no fueron cubiertas por el proceso de levantamiento de costos e infraestructura de un año dado, ya sea porque alguna Institución realizó un reporte parcial de sus carreras, el ser una carrera nueva que no se impartía a la fecha del levantamiento o el que se abarquen, o de nuevas IES que adscriban a la Política de Gratuidad durante los próximos años. Asimismo, a través de esta metodología es posible estimar el impacto de eventuales cambios en los niveles, años y dimensiones de acreditación institucional para efectos de la actualización periódica de los Valores Regulados correspondiente al mes de octubre de cada año (ver sección 4.2.).
De este modo, a través de la segunda etapa de agrupación se reconoce la diversidad de las IES a partir de sus características relevantes, y se establecen, en el mismo procedimiento, los grupos de carreras definitivos y sus respectivos Valores Regulados de arancel. Aquello, en definitiva, da pleno cumplimiento pleno a la letra y el espíritu del artículo 88 de la ley que establece que los aranceles regulados deberán ser determinados "en razón de grupos de carreras", principio contrapuesto a la fijación individual de precios para cada carrera impartida por una Institución de Educación Superior específica.
3.4. Derechos Básicos de Matrícula
Los Derechos Básicos de Matrícula (DBM) consisten en un valor anual por estudiante, que debe ser determinado según tipo de Institución (universidad, instituto profesional o centro de formación técnica), de acuerdo con lo que mandata el inciso tercero del artículo 88 de la Ley de Educación Superior. En consecuencia, dado que se trata de un valor único por clasificación institucional sin desagregaciones adicionales a nivel de carrera, se mantendrán los montos determinados a partir del primer proceso de regulación, actualizados periódicamente en octubre de cada año conforme al inflactor utilizado para la Ley de Presupuestos del año siguiente (ver sección 4.2.).
Es decir, tomando como referencia los valores actualizados a aplicar para el año académico 2024 según consta en el Artículo Tercero de la resolución exenta Nº 5.425 que actualizó los montos (SUBESUP, 31 de octubre de 2023), los valores de Derechos Básicos de Matrícula corresponderán a $49.144 en universidades y $52.404 en institutos profesionales y centros de formación técnica. Los referidos guarismos serán actualizados anualmente en el mes de octubre, como lo dispone el artículo 94 de la Ley Nº 21.091, y como ha sido antes mencionado y se profundiza más adelante en la sección 4.2. de las presentes Bases Técnicas.
3.5. Cobros por concepto de Titulación o Graduación
Los Cobros por concepto de Titulación o Graduación son definidos por la Ley Nº 21.091 como un valor único por estudiante, para uno o más grupos de carrera. Para determinarlos, se utiliza como base la información reportada en el levantamiento de costos 2022 (CC.11.), que solicitó una estimación de las remuneraciones del personal y materiales involucrados en el proceso de titulación, con especificaciones similares a las antes planteadas para la admisión y matrícula.
Para estimar el valor de titulación o graduación, primero se estiman los valores per cápita en base a las personas tituladas de pregrado de cada carrera, en los casos que se encuentre disponible, utilizando la base de titulados del SIES del año en análisis. Del resultado de esta estimación, los valores "0" serán asumidos como valores faltantes para no subestimar posteriores estimaciones. Luego, para mitigar el efecto de potenciales outliers en los valores de titulación per cápita, se aplica una winsorización del percentil 5 y del percentil 95 sobre el total de la muestra. A continuación, se calcula el promedio de titulación y la desviación estándar per cápita para cada macrogrupo de carreras construidos a partir de la primera etapa de agrupación (descrita en 3.2). De la suma de estas dos estimaciones para cada macrogrupo, se obtendrá un primer costo de titulación regulado. Finalmente, si un grupo de carreras culmina con un primer valor regulado de titulación inferior a la sumatoria del promedio y la desviación estándar global, el valor se trunca por este último. De esta forma, se evita que ciertos grupos de carreras puedan resultar con Valores Regulados de titulación bajos, dada la sobrerrepresentación de instituciones con valores por debajo del promedio que pudiese eventualmente existir en algunos macrogrupos de carreras.
4. Fijación de Valores Regulados 2025: Macrogrupos de carreras y actualización de montos
4.1. Macrogrupos de carreras a regular para el año académico 2025
Las Primeras Bases Técnicas establecieron un primer conjunto de macrogrupos de carreras a regular a partir del año académico 2024, con el propósito expreso de que la primera regulación permitiese validar, calibrar, evaluar y perfeccionar el modelo en miras a la entrada de nuevas áreas del conocimiento al régimen permanente de regulación. Aquello se tradujo en dos criterios operativos: carreras con baja participación en la matrícula total del sistema de educación superior, y de menor intensidad en uso de infraestructura y equipamiento. Con base a lo anterior, fueron seleccionados cuatro macrogrupos determinados a partir del procedimiento dispuesto en la sección 3.2. de las Primeras Bases Técnicas, y que representan en total un 4,5% de la matrícula total del sistema de educación superior en 2023, y un 4,1% de la matrícula de las 68 IES que estarán adscritas a la Gratuidad para el año académico 2024.
Tabla 13 - Indicadores de matrícula de programas presenciales d
e pregrado 2023, para macrogrupos de carreras a regular en año académico 2024
e pregrado 2023, para macrogrupos de carreras a regular en año académico 2024 De acuerdo a los supuestos, criterios y procedimientos técnico-metodológicos descritos en las secciones precedentes, conforme a las presentes Bases Técnicas serán regulados los macrogrupos de carreras detallados a continuación en la Tabla 14, y que representan en total un 35,3% de la matrícula total 2023 de carreras/programas regulares o especiales impartidos en modalidad presencial en todo el sistema de educación superior, y un 36,2% de la matrícula de este tipo de carreras y programas en las IES adscritas a la Gratuidad. Se trata de un conjunto de áreas del conocimiento que representan una diversidad disciplinaria tanto en carreras profesionales como técnico-profesionales, y una proporción equilibrada de matrícula potencial incorporada a la regulación entre ambos subsistemas.
Para las carreras profesionales, las Sub-áreas CINE-F 2013 a regular a partir del año 2025 serán las de Ciencias Físicas, Ciencias Sociales y del Comportamiento, Educación, Educación Comercial y Administración, Industria y Producción, y Matemáticas y Estadísticas, además del Área CINE-F de "Servicios", bajo la cual han sido reagrupadas las subáreas de Servicios de Higiene y Salud Ocupacional, Servicios de Transportes y Servicios Personales. Por su parte, para las carreras técnico-profesionales, se regularán desde 2025 las Sub-áreas CINE-F 2013 de Agricultura, Arquitectura y Construcción, Ciencias Físicas, Educación, Industria y Producción, Servicios Personales, y Tecnología de la Información y la Comunicación (TIC).
Tabla 14 - Indicadores de matrícula de programas presenciales d
e pregrado 2023, para macrogrupos de carreras a regular en año académico 2025
e pregrado 2023, para macrogrupos de carreras a regular en año académico 2025 4.2. Actualización periódica de los Valores Regulados
Los montos regulados de Aranceles, Derechos Básicos de Matrícula y Cobros por concepto de Titulación o Graduación de estas carreras que sean establecidos de acuerdo con la metodología prevista en las presentes Bases Técnicas para un año académico determinado, serán determinados con valores actualizados al mes de diciembre del año correspondiente al último levantamiento de costos considerado para su cálculo. Así, para las carreras a regular a partir del año académico 2025, los valores serán estimados a partir de datos expresados en pesos de diciembre de 2022.
Para efectos de la publicación de la resolución exenta que fija los Valores Regulados, estos deben ser debidamente reajustados. En consecuencia, para aquellas carreras que serán incorporadas a la regulación en 2025 (ver punto 4.1.), la resolución exenta deberá ser publicada en abril de 2024, para lo cual los datos anteriormente calculados deben ser multiplicados tanto por la inflación efectivamente materializada entre diciembre de 2022 y diciembre de 2023, como por la proyección de inflación 2024 considerada en el Informe de Finanzas Públicas (IFP) de la Dirección de Presupuestos del Ministerio de Hacienda (DIPRES) del Tercer Trimestre, que es año a año el valor utilizado como inflactor para la Ley de Presupuestos y que para el caso de 2024 corresponde a 3,5% (DIPRES, 2023, p.12).
Una vez publicada la resolución exenta, los valores ahí establecidos tendrán una vigencia de cinco años, es decir, regirán hasta el año 2029 para aquellas carreras que se incorporen a la regulación en 2025. Conforme a lo dispuesto en el artículo 94 de la Ley Nº 21.091, durante el período de vigencia de la resolución exenta correspondiente, los valores en ella establecidos deberán ser actualizados en octubre de cada año, conforme al reajuste que señale la Ley de Presupuestos para el año en el cual serán aplicados los valores, y a los eventuales cambios que las instituciones experimenten en sus niveles, años y dimensiones de acreditación.
Referencias
Araya-Castillo, L., Maldonado, P., Lizana, A. & Escobar-Farfán, M. (2016). Grupos estratégicos en sectores de educación vespertina de Economía y Negocios en Chile. Revista de Ciencias Sociales, 22(4), 509-520.
Berg, N., Kim, J. Y., & Seon, I. (2021). A performance‐based payment: Signaling the quality of a credence good. Managerial and Decision Economics, 42(5), 1117-1131. http://doi.org/10.1002/mde.3295
Bieniek, M. (2016). Comparison of the bias of trimmed and Winsorized means. Communications in Statistics - Theory and Methods, 45(22), 6641-6650. http://doi.org/10.1080/03610926.2014.963620
Bordogna, L. (2008). Moral Hazard, Transaction Costs and the Reform of Public Service Employment Relations. European Journal of Industrial Relations, 14(4), 381-400. http://doi.org/10.1177/0959680108097492
Brunner, J.J. & Ganga-Contreras, F. (2018). Reforma a la educación superior: un análisis crítico del enfoque chileno. Utopía y Praxis Latinoamericana, 23(83), 138-145.
Cancino, V., & Schmal, R. (2014). Sistema de Acreditación Universitaria en Chile: ¿Cuánto hemos avanzado?. Estudios pedagógicos (Valdivia), 40(1), 41-60. https://dx.doi.org/10.4067/S0718-07052014000100003
Centro de Estudios MINEDUC (2019). Situación actual y proyecciones futuras de las universidades estatales ubicadas en zonas extremas. Documento de trabajo Nº 18, Santiago, Chile.
CERA (Comisión de Expertos para la Regulación de Aranceles) (2024, 5 de enero). Informe con observaciones sobre el documento titulado "Bases Técnicas para la determinación de Valores Regulados de Aranceles, Derechos Básicos de Matrícula y cobros por concepto de Titulación o Graduación, en Instituciones de Educación Superior adscritas al Financiamiento Institucional para la Gratuidad".
-(2023, 19 de abril), Informe con observaciones sobre informe de cálculo, de conformidad a las Bases Técnicas vigentes, de los valores de los aranceles regulados, de los derechos de matrícula y de los cobros por concepto de titulación o graduación.
-(2022, 10 de junio), Informe con observaciones sobre Informe de Cálculo de conformidad a las Bases Técnicas vigentes, de los valores de los aranceles regulados, de los derechos de matrícula y de los cobros por concepto de titulación o graduación.
-(2022, 11 de enero). Lecciones de la experiencia de un primer proceso de determinación de aranceles regulados de pregrado.
(2020, 17 de abril). Minuta sobre la metodología a aplicar en el costo de infraestructura para la determinación de aranceles.
CNA-Chile (Comisión Nacional de Acreditación) (2021a). Criterios y Estándares de Calidad para la Acreditación de Carreras y Programas de Pedagogía.
-(2021b). Criterios y Estándares de Calidad para la Acreditación Institucional del Subsistema Técnico Profesional.
-(2021c). Criterios y Estándares de Calidad para la Acreditación Institucional del Subsistema Universitario.
-(2016a). Guía para la autoevaluación interna. Centros de Formación Técnica.
-(2016b). Guía para la autoevaluación interna. Institutos Profesionales.
-(2015). Criterios de Evaluación para la Acreditación de Carreras Profesionales, Carreras Profesionales con Licenciatura y Programas de Licenciatura.
DIPRES (Dirección de Presupuestos del Ministerio de Hacienda) (2023). Informe de Finanzas Públicas. Tercer Trimestre 2023.
Escudero, M., Salto, D., & Zalazar, R. (2016). "El financiamiento de los posgrados en Argentina, Brasil y Paraguay en perspectiva internacional y comparada". En N.Z. Lamfri (Ed.), Los posgrados en Argentina, Brasil y Paraguay. Aproximaciones comparadas en contextos de evaluación de la calidad de la educación (pp. 195-214). Encuentro Grupo Editor.
Ferro, G., & D'Elia, V. (2020). Higher Education Efficiency Frontier Analysis: A Review of Variables to Consider. Journal on Efficiency and Responsibility in Education and Science, 13(3), 140-153. https://doi.org/10.7160/eriesj.2020.130304
Gaete, M. & Morales, R. (2011). Articulación del sistema de Educación Superior en Chile: posibilidades, tensiones y desafíos. Calidad en la Educación, (35), 51-89. https://doi.org/10.31619/caledu.n35.96
Gralka, S. (2018). Stochastic Frontier Analysis in Higher Education: A systematic review. CEPIE Working Paper Nº 05/18.
Gutiérrez, J., Mondragón, V. & Santacruz, L. (2019). Expectativas, necesidades y tendencias de la formación en educación superior en Colombia en pregrado y posgrado: entre la deserción-perfil y vocación profesional. Revista Universidad y Empresa, 21(37), 313-345. https://doi.org/10.12804/revistas.urosario.edu.co/empresa/a.6619
IFRS Foundation (2018). Conceptual Framework for Financial Reporting. International Accounting Standards Board (IASB).
Johnes, G. & Johnes, J. (2016). Costs, efficiency, and economies of scale and scope in the English higher education sector. Oxford Review of Economic Policy, 32(4), 596-614.
Leihy, P. & Salazar, J.M. (2022). Huasos y huachos: una taxonomía de las universidades tradicionales en las regiones de Chile. Estudios Pedagógicos, 48(1), 367-388. http://dx.doi.org/10.4067/S0718-07052022000100367
Livert, F. & Gainza, X. (2017). Distributive politics and spatial equity: the allocation of public investment in Chile. Regional Studies, 52(3), 403-415.
Muñoz, M., & Blanco, C. (2013). Una taxonomía de las universidades chilenas. Calidad en la educación, (38), 181-213. https://dx.doi.org/10.4067/S0718-45652013000100005
Nicklin, C., & Plonsky, L. (2020). Outliers in L2 research in applied linguistics: A synthesis and data re-analysis. Annual Review of Applied Linguistics, (40), 26-55. https://doi.org/10.1017/S0267190520000057
PNUD (2018). Desigualdad regional en Chile: Ingresos, salud y educación en perspectiva territorial. Santiago de Chile, Programa de las Naciones Unidas para el Desarrollo.
Rivera, F. & Alonso, C. (2018). "Educación y territorio. Las universidades regionales en Chile". En Rivera, P., Muñoz, J., Morales, R. & Butendieck, S. (Eds.), Políticas Públicas para la Equidad Social, Volumen I (pp. 65-81). Universidad de Santiago de Chile - Universitat de Barcelona.
Sedatole, K., Vrettos, D. & Widener, S. (2012). The Use of Management Control Mechanisms to Mitigate Moral Hazard in the Decision to Outsource. Journal of Accounting Research, 50(2), 553-592. https://doi.org/10.1111/j.1475-679X.2012.00440.x
SIES (Servicio de Información de Educación Superior) (2023a). Manual de proceso Matrícula Unificada 2023. Descripción del procedimiento que deben seguir las Instituciones de Educación Superior para cargar su información de matrícula en Plataforma de Educación Superior PES 2023. Subsecretaría de Educación Superior, Ministerio de Educación, Gobierno de Chile.
-(2023b). Instructivo Oferta Académica Proceso 2024 para Instituciones de Educación Superior. Proceso de captura unificada de información oficial para Servicio de Información de Educación Superior (SIES), Departamento de Financiamiento Estudiantil (DFE) y Acceso a Educación Superior. Subsecretaría de Educación Superior, Ministerio de Educación, Gobierno de Chile.
-(2023c). Infraestructura y recursos educacionales en educación superior. Datos 2022. Subsecretaría de Educación Superior, Ministerio de Educación, Gobierno de Chile.
-(2022) Infraestructura y recursos educacionales en educación superior. Datos 2021. Subsecretaría de Educación Superior, Ministerio de Educación, Gobierno de Chile.
-(2015). Educación Superior Vespertina en Chile. Evolución de Oferta y Matrícula 2007-2014. Subsecretaría de Educación Superior, Ministerio de Educación, Gobierno de Chile.
SUBESUP (Subsecretaría de Educación Superior) (2023, 31 de octubre). resolución exenta Nº 5.425. Actualiza los valores de los aranceles regulados, los Derechos Básicos de Matrícula y cobros por concepto de titulación o graduación determinados en la resolución exenta Nº 2.483, de 2023, de la Subsecretaría de Educación Superior y fija nómina de Instituciones de Educación Superior que accederán al Financiamiento Institucional para la Gratuidad en el año académico 2024.
-(2023, 11 de agosto). Manual de Acompañamiento para el Levantamiento de Costos. Proceso de regulación de Aranceles, Derechos Básicos de Matrícula y Costos de Titulación o Graduación.
-(2023, 23 de enero). Informe de Cálculo. Valores Regulados 2024 de Aranceles, Derechos Básicos de Matrícula y cobros por concepto de Titulación o Graduación, en Instituciones de Educación Superior adscritas al Financiamiento Institucional para la Gratuidad.
-(2022, 30 de diciembre). resolución exenta Nº 6.255. Establece Primeras Bases Técnicas para el Cálculo del Arancel Regulado, Derechos Básicos de Matrícula y Cobros por Concepto de Titulación o Graduación.
Tavara, J.I. (2014). Financiamiento público de la educación universitaria en el Perú: el caso del Programa Beca 18. Pontificia Universidad Católica del Perú-CENTRUM Católica.
UNESCO-UIS (2015). International Standard Classification of Education: Fields of education and training 2013 (ISCED-F 2013) Detailed field descriptions. Institute for Statistics, United Nations Educational, Scientific and Cultural Organization (UNESCO). https://doi.org/10.15220/978-92-9189-179-5-en
Viveros, A. (2015). El riesgo moral y la regulación de la calidad de los servicios públicos. Derecho y Sociedad, (45), 45-52.
Yu, M. & Zhao, R. (2015), Sustainability and firm valuation: an international investigation. International Journal of Accounting & Information Management, 23(3), 289-307. https://doi.org/10.1108/IJAIM-07-2014-0050
Artículo segundo .- Publíquese el presente acto administrativo en el Diario Oficial.
Anótese, publíquese y archívese.- Víctor Orellana Calderón, Subsecretario de Educación Superior.