DETERMINA MUNICIPALIDADES QUE ACCEDEN AL APORTE ÚNICO Y EXTRAORDINARIO QUE INDICA, Y ESTABLECE OPERATORIA DEL MECANISMO DE DISTRIBUCIÓN Y DEMÁS CRITERIOS NECESARIOS PARA SU APLICACIÓN, EN CUMPLIMIENTO DE LO ESTABLECIDO EN LA PARTIDA 50, CAPÍTULO 01, PROGRAMA 03, SUBTÍTULO 24, ÍTEM 03, ASIGNACIÓN 107 (APORTE AL FONDO COMÚN MUNICIPAL), GLOSA 24, Nº 1, DE LA LEY Nº 21.640, DE PRESUPUESTOS DEL SECTOR PÚBLICO CORRESPONDIENTE AL AÑO 2024
Núm. 2.- Santiago, 24 de enero de 2024.
Vistos:
La ley Nº 20.502, que crea el Ministerio del Interior y Seguridad Pública; la ley Nº 18.359, que crea el cargo de Subsecretario de Desarrollo Regional y Administrativo en el entonces Ministerio del Interior; el decreto con fuerza de ley Nº 1-18.359, de 1985, del entonces Ministerio del Interior, que Traspasa y Asigna Funciones a la Subsecretaría de Desarrollo Regional y Administrativo; el decreto supremo Nº 214, de 2023, del Ministerio del Interior y Seguridad Pública, que nombra a la Subsecretaria de Desarrollo Regional y Administrativo; la Ley Nº 18.695, Orgánica Constitucional de Municipalidades, cuyo texto refundido, coordinado y sistematizado fue fijado por el decreto con fuerza de ley Nº 1, de 2006, del entonces Ministerio del Interior; el decreto Nº 2.385, de igual Secretaría de Estado, que fija el texto refundido y sistematizado del decreto ley Nº 3.063, de 1979, sobre rentas municipales; la ley Nº 21.640, de Presupuestos del Sector Público correspondiente al año 2024; y, las resoluciones Nº 7, de 2019, y Nº 14, de 2023, ambas de la Contraloría General de la República, que fijan normas sobre exención del trámite de toma de razón, y determinan los montos en unidades tributarias mensuales, a partir de los cuales los actos que se individualizan quedarán sujetos a toma de razón, respectivamente.
Considerando:
1º Que, la ley Nº 21.640, de Presupuestos del Sector Público correspondiente al año 2024, considera en su Partida 50, Capítulo 01, Programa 03, Subtítulo 24, Ítem 03, Asignación 107, Glosa 24, Nº 1, la suma de $70.755.- millones (setenta mil setecientos cincuenta y cinco millones de pesos), como aporte único y extraordinario al Fondo Común Municipal de la Ley Orgánica Constitucional de Municipalidades, cuyo texto refundido, coordinado y sistematizado fue fijado en el DFL Nº 1 de 2006, del entonces Ministerio del Interior.
2º Que, el referido aporte deberá administrarse de forma separada y deberá ser distribuido entre aquellas comunas que presenten una mayor dependencia del Fondo Común Municipal o pertenezcan al grupo con menos ingresos propios a nivel nacional. De esta manera, de conformidad con lo establecido en la glosa ya citada, las comunas beneficiarias de este aporte adicional serán aquellas cuyo porcentaje de dependencia del Fondo Común Municipal sea mayor a 50%, o que se encuentren bajo el percentil 80 de ingresos propios a nivel nacional.
3º Que, para efectos de calcular la dependencia señalada anteriormente, se considerará la totalidad del monto recibido del Fondo Común Municipal el año 2022, más sus ingresos propios permanentes del mismo año, definidos en el inciso segundo del artículo 38 del decreto ley Nº 3.063, de 1979. Asimismo, para efectos de calcular el nivel de ingresos propios se considerará la totalidad de sus ingresos propios del año 2022, esto es, el monto recibido del Fondo Común Municipal más sus ingresos propios permanentes.
4º Que, por una parte, la citada glosa dispone que le corresponderá a la Subsecretaría de Desarrollo Regional y Administrativo dictar una resolución, visada por el Ministerio de Hacienda, que determinará las municipalidades que cumplen las condiciones para acceder al aporte, en adelante municipalidades beneficiarias, la que deberá ser dictada dentro de los 30 días hábiles siguientes a la publicación de la ley Nº 21.640, de Presupuestos del Sector Público para el año 2024.
5º Que, de igual modo, la glosa establece que la referida resolución regulará la operatoria del mecanismo de distribución y demás criterios necesarios para su aplicación, incluyendo sus indicadores y variables, sus porcentajes, y las fuentes o cifras de información oficiales que se aplicarán en cada caso.
6º Que, con arreglo a lo preceptuado, la Subsecretaría de Desarrollo Regional y Administrativo, determinará mediante el presente acto administrativo, las municipalidades que acceden al aporte único y extraordinario indicado precedentemente, y establecerá la operatoria del mecanismo de distribución y demás criterios necesarios para su aplicación, en cumplimiento de lo establecido en la Partida 50, Capítulo 01, Programa 03, Subtítulo 24, Ítem 03, Asignación 107 (aporte al Fondo Común Municipal), Glosa 24, Nº 1, de la ley Nº 21.640, de Presupuestos del Sector Público correspondiente al año 2024.
Resuelvo:
Artículo 1º.- Establézcase la siguiente operatoria que regula el mecanismo de distribución para que las municipalidades accedan al aporte único y extraordinario de $70.755. millones (setenta mil setecientos cincuenta y cinco millones de pesos) para el Fondo Común Municipal de la Ley Nº 18.695, Orgánica Constitucional de Municipalidades, cuyo texto refundido, coordinado y sistematizado fue fijado en el DFL Nº1 de 2006, del entonces Ministerio del Interior, contemplado en la Partida 50, Capítulo 01, Programa 03, Subtítulo 24, Ítem 03, Asignación 107, Glosa 24, Nº 1, de la ley Nº 21.640, de Presupuestos del Sector Público correspondiente al año 2024.
1. Determinación de las municipalidades que cumplen con los requisitos para acceder al aporte único y extraordinario.
De conformidad con lo establecido en la respectiva glosa presupuestaria, las comunas beneficiarias de este aporte adicional serán únicamente aquellas cuyo porcentaje de dependencia del Fondo Común Municipal sea mayor a 50%, o que se encuentren bajo el percentil 80 de ingresos propios a nivel nacional.
Para calcular la dependencia señalada anteriormente, se considerará la totalidad del monto recibido del Fondo Común Municipal el año 2022, más sus ingresos propios permanentes del mismo año, definidos en el inciso segundo artículo 38 del decreto ley Nº 3.063, de 1979.
Asimismo, para calcular el nivel de ingresos propios se considerará la totalidad de sus ingresos propios del año 2022, esto es, el monto recibido del Fondo Común Municipal más sus ingresos propios permanentes del mismo año.
2. Determinación de los indicadores del aporte único y extraordinario.
Para estos efectos, el mecanismo de distribución contempla los indicadores exigidos en la respectiva glosa, así como las fuentes o cifras de información oficial que se aplicarán en cada caso:
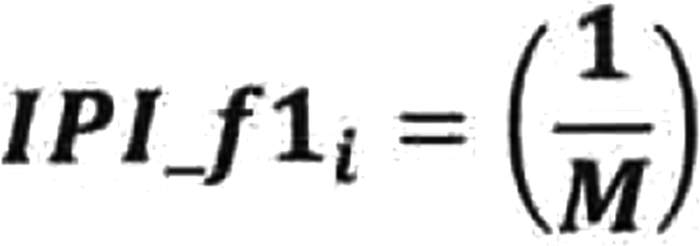
2.1 Indicador de partes iguales. (IPI_fl)
Este indicador corresponderá a la distribución de los recursos por partes iguales entre los municipios beneficiarios de este aporte único y extraordinario. El número total de municipios a considerar, contemplará aquellos creados hasta el 30 de junio del año 2022.
Para determinar este indicador IPI_fl se realizará el siguiente procedimiento:
a) Para cada municipio beneficiado, se calculará el cociente entre el valor de uno (1) y la cantidad total de municipios beneficiarios.
Lo anterior queda expresado por la siguiente fórmula:

Donde:
. IPI_flj: Indicador de Partes Iguales de la municipalidad ij
. M: Cantidad de municipios beneficiarios del presente aporte
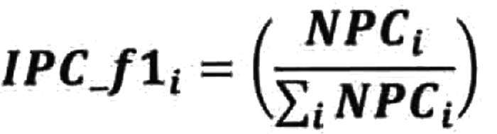
2.2 Indicador de pobreza por ingresos por comuna (IPC_fl)
Este indicador corresponderá a la distribución de los recursos considerando la pobreza por ingresos asociada a las comunas de los municipios beneficiarios de este aporte único y extraordinario. Para el efecto, se considerará el número de personas en situación de pobreza por ingresos de la comuna, en relación a la suma de personas en situación de pobreza por ingresos de las comunas de los municipios beneficiarios del presente aporte único y extraordinario.
Para conformar el indicador IPC_fl, se utilizarán las fuentes de información que se indican a continuación. Para el caso de la determinación del número de personas en situación de pobreza por ingresos de cada comuna, se utilizará la base de datos pública provista por la Encuesta de Caracterización Socioeconómica Nacional (CASEN) 2022, disponible en el sitio electrónico https://observatorio.ministeriodesarrollosocial.gob.cl/, de la División Observatorio Social, dependiente de la Subsecretaría de Evaluación Social, de conformidad con lo establecido en el decreto supremo Nº 15, de 2013, del entonces Ministerio de Desarrollo Social, división que tiene por objetivo caracterizar y analizar la realidad social, a través de la recopilación, procesamiento, análisis y difusión de datos, de modo de identificar las necesidades sociales de la población para el oportuno diseño de políticas sociales.
Para la determinación de la población estimada por comuna informada, se utilizará la información proporcionada por el Instituto Nacional de Estadísticas (INE) en el marco del proceso de determinación del coeficiente de participación en el Fondo Común Municipal del presente año, según lo regulado en el decreto Nº 1.293, que establece el reglamento para la aplicación del artículo 38 del decreto de ley Nº 3.063, de 1979, modificado por el artículo 1º de la ley Nº 20.237.
En dicho sentido, para determinar el indicador de pobreza por comuna (IPC_fl) se realizarán los siguientes procedimientos:
a) Primero se establece el número de personas en situación de pobreza por ingresos de cada comuna del conjunto de municipios beneficiarios. Para esto, se multiplica la población estimada de cada comuna por el porcentaje de personas en situación de pobreza por ingresos de ella. Lo anterior, considerando la siguiente fórmula:

Donde:
. NPCi = Número de personas en situación de pobreza por ingresos de comuna i del municipio beneficiario
. PEi = Población estimada por el INE de la comuna i del municipio beneficiario
. PCi = Porcentaje de personas en situación de pobreza por ingresos de la comuna i del municipio beneficiario
b) A continuación, se determina el cociente entre el resultado anterior y su total, del conjunto de municipios beneficiarios del presente aporte único y extraordinario.

Donde:
. IPC_fli = Indicador de Pobreza por Ingresos de la comuna i del municipio beneficiario
. ∑iNPCi = Sumatoria del Número de personas en situación de pobreza en comunas
beneficiarias i
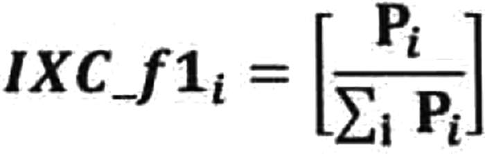
2.3 Indicador de número de predios exentos de impuesto territorial (IXC_fl).
Este indicador corresponderá a la distribución de los recursos del presente aporte único y extraordinario, considerando la proporción del número de predios exentos de cada comuna respecto a la suma de predios exentos de las comunas beneficiarias. Este resultado se pondera de acuerdo a la relación que cada comuna posea entre el número de predios exentos comunales sobre el total de predios de su comuna.
El número de predios exentos y el total de predios de cada comuna asociada a un municipio beneficiario del aporte único y extraordinario, corresponde a la información proporcionada por el Servicio de Impuestos Internos (SII) en el marco del proceso de determinación del coeficiente de participación en el Fondo Común Municipal del presente año, según lo regulado en el decreto Nº 1.293, que establece el reglamento para la aplicación del artículo 38 del decreto de ley Nº 3.063, de 1979, modificado por el artículo 1º de la ley Nº 20.237.
Para determinar el indicador (IXC_fl) se aplicará el siguiente procedimiento sólo para aquellas comunas que se relacionen con los municipios beneficiarios de este aporte único y extraordinario:
a) Primeramente se calculará el cociente existente entre los predios exentos de cada comuna respecto a la suma de todos los predios exentos de las comunas beneficiarias del aporte único y extraordinario, multiplicándolo por el cociente entre la cantidad de predios exentos de cada comuna y el total de predios de dicha unidad territorial, obteniéndose un factor de predios exentos Pi.
Lo anterior, según la siguiente fórmula:

Donde:
. PXci = Cantidad de predios exentos de la comuna i del municipio beneficiario
. PTci = Cantidad de predios totales de la comuna i del municipio beneficiario
. ∑jPXCi = Sumatoria del número de predios exentos en comunas beneficiarias i
b) Sobre la base del cálculo anterior, se determinará el indicador de predios, que resulta del cociente entre el valor de Pi anterior y la suma de los valores Pi, del conjunto de municipios beneficiados.
Lo anterior, según la siguiente fórmula:

Donde:
. IXC_fli= Indicador de predios exentos de comuna i del municipio beneficiario
. ∑iPi = Sumatoria de factores de predios exentos de las comunas beneficiarias i
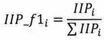
2.4 Indicador de los menores ingresos propios permanentes (IIP_fl)
Este indicador corresponderá a la distribución de los recursos del presente aporte único y extraordinario, de acuerdo a los menores recursos que las comunas de los municipios beneficiarios obtengan, medido por el ingreso propio permanente por habitante.
El ingreso propio permanente y la población estimada para cada comuna de los municipios beneficiarios, corresponderá a la utilizada en la determinación del coeficiente de participación en el Fondo Común Municipal del presente año, según lo regulado en el decreto Nº 1.293, que establece el reglamento para la aplicación del artículo 38 del decreto de ley Nº 3.063, de 1979, modificado por el artículo 1º de la ley Nº 20.237.
Los ingresos propios permanentes corresponden a los indicados en los Balances de Ejecución Presupuestaria Municipales del año 2022, y la población estimada, se utilizará la información proporcionada por el Instituto Nacional de Estadísticas (INE) en el marco del proceso de determinación del coeficiente de participación en el Fondo Común Municipal del presente año, según lo regulado en el decreto Nº 1.293, que establece el reglamento para la aplicación del artículo 38 del decreto de ley Nº 3.063, de 1979, modificado por el artículo 1º de la ley Nº 20.237.
Participarán de manera proporcional a través de este indicador aquellas municipalidades cuyo ingreso propio permanente por habitante sea menor que el promedio de ingreso propio permanente por habitante de los municipios de las comunas beneficiarias.
Para determinar el indicador de menores ingresos propios permanentes (IIP_fl) se aplicarán los siguientes procedimientos:
a) Se determina el valor del ingreso propio permanente por habitante, dividiendo el ingreso propio permanente de cada municipalidad beneficiaria del presente aporte único y extraordinario, por la población estimada de cada comuna. Lo anterior, de acuerdo con la siguiente fórmula:

Donde:
. IPPi = Ingresos propios permanentes comuna i del municipio beneficiario
. Pobi = Población estimada del INE de la comuna i del municipio beneficiario
. IPPhc i = Ingreso propio permanente por hanbitante de la comuna i del municipio beneficiario
b) Posteriormente se definirá el promedio de ingreso propio permanente por habitante del conjunto de los municipios de comunas beneficiarias de este aporte único y extraordinario. Para ello se determinará el cociente entre el ingreso propio permanente del conjunto de municipios beneficiarios y el número total de habitantes estimados de las comunas cuyos municipios se encuentran incluidas en el presente aporte único y extraordinario. Lo anterior, de acuerdo con la siguiente fórmula:

Donde:
. IPPhp = Ingresos Propios Permanentes por habitante de las comunas de los municipios beneficiarios
.∑iIPPi= Sumatoria de los Ingresos Propios Permanentes de las comunas beneficiarias i
.∑iPobi = Sumatoria de la población de las comunas beneficiarias i
c) Determinadas las operaciones de los literales a) y b) anteriores, se realizará una comparación entre los valores allí determinados y se establecerán las siguientes condiciones:
i) Todas aquellas comunas en que el valor del ingreso propio permanente por habitante sea superior al promedio del ingreso propio permanente por habitante de las comunas beneficiarias del aporte único y extraordinario, el indicador IIP_fl será igual a cero.
En consecuencia:

ii) Para las restantes comunas, se determinará el cociente entre la diferencia del ingreso propio permanente por habitante de las comunas beneficiarias del aporte único y extraordinario IPPhp) y el ingreso propio permanente per cápita de cada comuna (IPPhci), multiplicado por la población comunal (Pob i) y la suma de aquello para todas las comunas beneficiarias.
Lo anterior, según la siguiente fórmula:

Donde:
. IIPi = Cociente determinado para el conjunto de comunas donde se cumpla que IPPhci < IPPhp
.∑i(pobi*(lPPhp-lPPhci))= Sumatoria de la diferencia entre el promedio del ingreso propio permanente por habitante del conjunto de los municipios de comunas beneficiadas y el ingreso propio permanente por habitante de cada comuna i, multiplicado por la población de comuna i.
A continuación, para determinar el indicador de menores ingresos propios permanentes para cada municipio beneficiario (IIP_fl) en esta condición, se considerará la proporcionalidad que representa el valor obtenido por el municipio respecto al total de ellas.
Lo anterior queda expresado por la siguiente fórmula:
2.5 Determinación de las ponderaciones aplicables respecto de cada indicador
Con el objetivo de establecer la distribución del aporte único y extraordinario, cuya distribución se regula en el presente acto administrativo, se deberán aplicar los siguientes ponderadores a cada indicador, según el detalle que se indica a continuación:
a) Indicador de Partes Iguales (IPI_fl): 50%.
b) Indicador de Pobreza Comunal (IPC_fl): 10%.
c) Indicador de Predios Exentos (IXC_fl): 20%.
d) Indicador de Ingresos Propios (IIP_fl): 20%.
2.6 Distribución de los recursos del aporte único y extraordinario, respecto de cada una de las municipalidades beneficiarias
Los recursos específicos que corresponda distribuir a cada municipalidad beneficiaria de este aporte único y extraordinario, en aplicación del mecanismo de distribución establecido en el presente artículo, estará dada por aplicación del siguiente procedimiento:
a) Se definirá el coeficiente de participación de cada municipio beneficiario (CPMi) según la siguiente operación:
Donde:
. IPI_fli = Indicador de Partes iguales de lo comuna i
. IPC_fli = Indicador de Pobreza por Ingresos de la comuna i
. IXC_fli = Indicador de número de Predios Exentos de Impuesto Territorial de la comuna i
. IIP_fli = Indicador de menores Ingresos Propios Permanentes de la comuna i
b) Finalmente, para determinar el monto de participación de cada municipio beneficiario de este aporte único y extraordinario (M_fli), se considerará el valor determinado en el coeficiente anterior y se multiplicará por los recursos disponibles a distribuir entre los municipios. Lo anterior, considerando la siguiente fórmula:i
Donde:
. MT: Corresponde a los recursos provistos por el presente aporte.
. CPMi: Coeficiente de Participación de cada municipio beneficiario
Artículo 2º.- Determínese, en aplicación del procedimiento establecido en el artículo 1º del presente acto, las municipalidades que, de acuerdo con los antecedentes dispuestos, presentan un porcentaje de dependencia del Fondo Común Municipal mayor a 50%, o que se encuentran bajo el percentil 80 de ingresos propios a nivel nacional, que corresponderán a las municipalidades beneficiarias del aporte único y extraordinario contemplado en la Partida 50, Capítulo 01, Programa 03, Subtítulo 24, Ítem 03, Asignación 107, Glosa 24, Nº 1, de la ley Nº 21.640, de Presupuestos del Sector Público correspondiente al año 2024:















Artículo 3º.- Déjese establecido, de conformidad con lo dispuesto en la Partida 50, Capítulo 01, Programa 03, Subtítulo 24, Ítem 03, Asignación 107, Glosa 24, Nº 1, de la ley Nº 21.640, de Presupuestos del Sector Público correspondiente al año 2024, que el aporte único y extraordinario deberá ser distribuido entre las municipalidades beneficiarias, en aplicación del mecanismo de distribución establecido en el artículo 1º del presente acto, a más tardar en abril del año 2024.
Anótese, tómese de razón, notifíquese y publíquese.- Francisca Perales Flores, Subsecretaria de Desarrollo Regional y Administrativo.
Lo que transcribo a usted para su conocimiento.- Atentamente, Carlos González Meza, Jefe de Administración y Finanzas, Subsecretaría de Desarrollo Regional y Administrativo.