DECLARA ÁREA MARINA COSTERA PROTEGIDA DE MÚLTIPLES USOS DENOMINADA "MAR DE PISAGUA"
Núm. 22.- Santiago, 29 de junio de 2023.
Vistos:
Lo dispuesto en los artículos 19 N° 8 y 32 N° 6 de la Constitución Política de la República; los artículos 70 letra c), 71 letra c) y 73 de la ley N° 19.300, sobre Bases Generales del Medio Ambiente; la ley N° 18.892, Ley General de Pesca y Acuicultura, cuyo texto fue refundido, coordinado y sistematizado mediante el decreto supremo N° 430, de 1991, del Ministerio de Economía, Fomento y Reconstrucción; el decreto supremo N° 1.963, de 1994, del Ministerio de Relaciones Exteriores, que promulga como ley de la República el Convenio sobre Diversidad Biológica; el decreto con fuerza de ley N° 340, de 1960, sobre Concesiones Marítimas; en el oficio ordinario N° 213015, de fecha 11 de agosto de 2021, del Ministerio del Medio Ambiente; en el oficio ordinario N° 501, de fecha 18 de agosto de 2021, de la Corporación Nacional Forestal; en el oficio (D.P.) ordinario N° 1.281, de fecha 27 de agosto de 2021, de la Subsecretaría de Pesca y Acuicultura; en el oficio ordinario N° DN-03872, de fecha 22 de septiembre de 2021, del Servicio Nacional de Pesca y Acuicultura; en el oficio ordinario N° 3.806, de fecha 14 de octubre de 2021, de la Subsecretaría para las Fuerzas Armadas; en el oficio Púb. N° 10954, de fecha 21 de octubre de 2021, de la Subsecretaría de Relaciones Exteriores; en el oficio ordinario N° 12600/05/416, de fecha 26 de octubre de 2021, de la Dirección General del Territorio Marítimo y de Marina Mercante; el informe técnico justificatorio "Área Marina Costera Protegida de Múltiples Usos Mar de Pisagua"; la solicitud del área marina costera protegida de múltiples usos Mar de Pisagua, presentada mediante ordinario N° 21.082, de fecha 4 de junio de 2021, de la Secretaría Regional Ministerial del Medio Ambiente de la Región de Tarapacá; el acuerdo N° 4 del Consejo de Ministros para la Sustentabilidad y el Cambio Climático, adoptado el 26 de enero de 2023; en la resolución Nº 7, de 2019, de la Contraloría General de la República, que fija normas sobre exención del trámite de toma de razón; y,
Considerando:
1.- Que, es deber del Estado tutelar la preservación de la naturaleza, así como velar por la protección y conservación de la diversidad biológica del país.
2.- Que, conforme lo dispone el artículo 71 letra c) de la Ley sobre Bases Generales del Medio Ambiente, es atribución del Consejo de Ministros para la Sustentabilidad y el Cambio Climático proponer al Presidente de la República la creación de las Áreas Protegidas del Estado, que incluye parques y reservas marinas, así como los santuarios de la naturaleza y de las áreas marinas costeras protegidas de múltiples usos.
3.- Que, se ha propuesto crear el Área Marina Costera Protegida de Múltiples Usos Mar de Pisagua, que se ubica frente a la costa de la comuna de Huara, provincia del Tamarugal, Región de Tarapacá, con una superficie aproximada de 734,6 km².
4.- Que, el área propuesta se inserta en la ecorregión Humboldtiana, la cual forma parte del sistema de la corriente de Humboldt, caracterizada por una alta productividad primaria y una trama trófica relativamente corta, compuesta principalmente por altas biomasas de peces, principalmente anchoveta (Engraulis ringens) y sardina (Sardinops sagax); peces depredadores como el jurel (Trachurus murphyi) y la merluza (Merluccius gayi).
5.- Que, la franja costera es habitada por una alta diversidad de especies de peces neríticos, así como diversos peces costeros, o también denominados peces de roca, asociados a los bosques de macroalgas y fondos rocosos como el pejeperro, sargo, mulato, apañado, San Pedro, pejesapo, acha, cabrilla, vieja colorada, entre otros.
6.- Que, asimismo, el área propuesta se destaca por albergar macroalgas Macrocystis pyrifera, Lessonia trabeculata y L. berteroana, las cuales constituyen un recurso marino relevante debido a su alta productividad y porque cumplen un rol fundamental como refugio y alimento para peces e invertebrados, además de jugar un rol fundamental en el control del cambio climático como importantes sumideros de carbono.
7.- Que, el área posee una gran diversidad de aves marinas, entre las que destacan principalmente las aves guaneras como el piquero (Sula variegata), el guanay (Phalacrocorax bougainvillii) y el pelícano (Pelecanus thagus). Otras especies endémicas de este sistema son la golondrina de mar chica (Oceanites gracilis); golondrina de mar de collar (Oceanodroma hornbyi); golondrina de mar negra (Oceanodroma markhami); yunco (Pelecanoides garnotii); lile (Phalacrocorax gaimardi), gaviota garuma (Larus modestus); gaviota peruana (Larus belcheri), gaviotín chico (Sterna lorata); el gaviotín monja, destacándose la presencia de las colonias reproductivas de pingüino de Humboldt (Spheniscus humboldti) y colonias de aves guaneras en los alrededores de Punta Junín.
8.- Que, respecto a la diversidad de mamíferos marinos presentes, es posible identificar el lobo fino austral (Arctocephalus australis), el lobo de mar común (Otaria flavescens), el chungungo (Lontra felina), el delfín nariz de botella (Tursiops truncatus), el delfín oscuro (Lagenorhynchus obscurus), el delfín común (Delphinus delphis) y especies en tránsito como el cachalote (Physeter macrocephalus), la marsopa espinosa (Phocoena spinipinnis), la ballena jorobada (Megaptera novaeangliae), la ballena fin (Balaenoptera physalus), la ballena minke (Balaenoptera acutorostrata) y la ballena azul (Balaenoptera musculus). Dentro de los reptiles de importancia ecológica, destaca la tortuga verde (Chelonia mydas), actualmente categoría de conservación En Peligro, de acuerdo al Reglamento de Clasificación de Especies.
9.- Que, la creación del área marina costera protegida de múltiples usos "Mar de Pisagua", responde no sólo a la necesidad de conservar la biodiversidad marino-costera del norte grande del país y generar beneficios a la naturaleza, tales como el mantenimiento y la protección de las estructuras, funciones e integridad de los ecosistemas marinos, sino que también contribuirá a generar nuevas y mejores oportunidades a las comunidades locales y fomentará un desarrollo armónico y sustentable, debido a que trae consigo beneficios económicos asociados al turismo, a la recreación y al aumento de la productividad en pesquerías.
10.- Que, además, la creación de esta área marina costera protegida de múltiples usos, contribuirá con los compromisos internacionales del Estado de Chile, en el marco de la Convención de las Naciones Unidas para el Cambio Climático, especialmente las Contribuciones Nacionalmente Determinadas actualizadas y en la Estrategia Climática de Largo Plazo de Chile, que establecen objetivos relevantes y ambiciosos para la protección de los océanos, como la creación de nuevas áreas protegidas en ecorregiones marinas subrepresentadas, tal como la ecorregión Humboldtiana, que tan solo posee un 0,001% de su superficie protegida.
11.- Que, de conformidad con lo establecido en el artículo 71 letra c) de la ley N° 19.300, el Consejo de Ministros para la Sustentabilidad y el Cambio Climático, mediante acuerdo N° 4/2023, de 26 de enero de 2023, decidió unánimemente proponer a S.E. el Presidente de la República, la creación del área marina costera protegida de múltiples usos Mar de Pisagua.
Decreto:
Artículo 1. Declara área marina costera protegida de múltiples usos Mar de Pisagua. Declárase el área marina costera protegida de múltiples usos denominada "Mar de Pisagua", que comprende una superficie aproximada de 734,6 km², y que se encuentra ubicada frente a la costa de la comuna de Huara, provincia del Tamarugal, Región de Tarapacá.
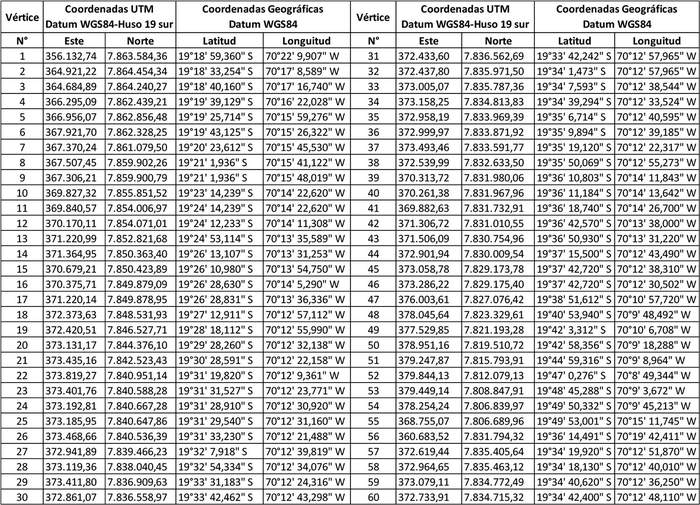
Artículo 2. Límites y coordenadas. Los límites del área marina costera protegida de múltiples usos, representados en el mapa adjunto, se detallan en coordenadas geográficas, Datum WGS84 y coordenadas proyectadas UTM Datum WGS84 Huso 19 sur, y son las siguientes:

Para todos los efectos legales, dicho mapa, autorizado por el Subsecretario del Medio Ambiente como ministro de fe, forma parte integrante del presente decreto y puede ser consultado en las dependencias del Ministerio del Medio Ambiente, así como en el sitio electrónico https://simbio.mma.gob.cl/ o el que lo reemplace, mediante representación geográfica en tres dimensiones.
Artículo 3. Objetos de conservación. El área marina costera protegida de múltiples usos Mar de Pisagua tendrá como objetos de conservación: i) bosques de macroalgas pardas, ii) fauna, compuesta entre otras especies por el pingüino de Humboldt (Spheniscus humboldti), tortuga verde (Chelonia mydas), lobo fino austral (Arctocephalus australis), peces de roca y chungungo (Lontra felina); iii) sitios de anidación y reproducción de aves marinas; y iv) pesca artesanal tradicional y patrimonio histórico-cultural subacuático.
Artículo 4. Plan de manejo. En un plazo de 36 meses contado desde la publicación del presente decreto, el Ministerio del Medio Ambiente deberá dictar un plan de manejo del área, el que contendrá las acciones concretas para hacer efectiva su conservación, además de los responsables de su ejecución.
El Ministerio del Medio Ambiente elaborará el plan de manejo considerando la participación de los órganos de la administración del Estado con competencia sobre los usos y actividades desarrollados en el área, así como de las organizaciones y comunidades interesadas.
La resolución que apruebe el plan de manejo establecerá un consejo local de gestión del área, quien será el ente encargado de su administración.
Artículo 5. Delegación de facultades. Por el presente acto se delegan en el Subsecretario del Medio Ambiente las facultades para efectuar modificaciones de la administración del área marina costera protegida de múltiples usos Mar de Pisagua, las cuales deberán realizarse mediante resolución fundada.
Artículo 6. Supervigilancia. El área marina costera protegida de múltiples usos Mar de Pisagua quedará bajo la supervigilancia del Ministerio del Medio Ambiente.
Artículo 7. Actividades. Toda actividad que se realice en el área deberá ser compatible con los objetos de protección de la misma y deberá ajustarse a lo dispuesto en el respectivo plan de manejo.
Artículo 8. Publicidad. El presente decreto y su mapa adjunto deberán ser publicados en el sitio electrónico del Ministerio del Medio Ambiente, sin perjuicio de lo dispuesto por el artículo 48 de la ley N° 19.880.
Anótese, tómese razón y publíquese.- GABRIEL BORIC FONT, Presidente de la República.- María Heloísa Rojas Corradi, Ministra del Medio Ambiente.- Maya Fernández Allende, Ministra de Defensa Nacional.- Nicolás Grau Veloso, Ministro de Economía, Fomento y Turismo.
Lo que transcribo para Ud., para los fines que estime pertinentes.- Maximiliano Proaño U., Subsecretario del Medio Ambiente.