DETERMINA APORTE ESTATAL A LAS MUNICIPALIDADES QUE INDICA, PARA SUS ENTIDADES ADMINISTRADORAS DE SALUD MUNICIPAL, AÑO 2024
Núm. 35.- Santiago, 22 de diciembre de 2023.
Visto:
Lo solicitado por memorándums C73 N° 152, de 14 de diciembre de 2023, del Jefe de División de Presupuesto y C52 N°s. 429 y 433, de 12 y 14 de diciembre de 2023, respectivamente, de la Jefa de División Atención Primaria; y lo dispuesto en la Constitución Política de la República de Chile; en la Ley N° 21.640, de Presupuesto de Ingresos y Gastos del Sector Público para el año 2024; en la ley N° 19.378, que establece el Estatuto de Atención Primaria de Salud Municipal; en el decreto con fuerza de ley N° 1, de 2005, del Ministerio de Salud, que fija el texto refundido, coordinado y sistematizado del decreto ley N° 2.763, de 1979 y de las leyes N° 18.933 y N° 18.469; en el decreto supremo N° 2.296, de 1995, del Ministerio de Salud, que aprueba el Reglamento General de la ley N° 19.378; en el decreto supremo N° 1.889, de 1995, del Ministerio de Salud, que aprueba el Reglamento de la carrera funcionaria del personal regido por el Estatuto de Atención Primaria de Salud Municipal; en el decreto supremo N° 136, de 2004, del Ministerio de Salud, que establece el Reglamento Orgánico del Ministerio de Salud; en el decreto supremo N° 140, de 2004, del Ministerio de Salud, que establece el Reglamento Orgánico de los Servicios de Salud; en el decreto supremo N° 37, de 2021, del Ministerio de Salud, que determina el aporte estatal a las municipalidades que indica, para sus entidades administradoras de salud municipal, por período que señala; el decreto supremo N° 50, de 2022, del Ministerio de Salud, que fija establecimientos de desempeño difícil urbano periodo 2023-2025; el decreto supremo N° 51, de 2022, del Ministerio de Salud, que fija establecimientos de desempeño difícil rural periodo 2023- 2027, y las resoluciones N°s. 7 de 2019, y 14 de 2022, ambas de la Contraloría General de la República.
Considerando:
1. Que, el artículo 32 N° 6 de la Constitución Política de la República de Chile, reconoce que son atribuciones especiales del Presidente de la República, la de dictar los decretos que crea convenientes para la ejecución de las leyes.
2. Que, el artículo 49 de la ley N° 19.378, dispone que cada entidad administradora de salud municipal recibirá mensualmente, del Ministerio de Salud, a través de los Servicios de Salud y por intermedio de las municipalidades correspondientes, un aporte estatal en base a la incidencia de los criterios allí establecidos.
3. Que, el aludido aporte estatal, se determina anualmente mediante decreto fundado del Ministerio de Salud, previa consulta al Gobierno Regional correspondiente, debiendo suscribirse, además, por los ministros de Interior y Hacienda.
4. Que, mediante oficio ordinario N° 21.752 de fecha 6 de diciembre de 2023, el Fondo Nacional de Salud informó a este Ministerio de los resultados del proceso de certificación de la población inscrita en los establecimientos de atención primaria de salud, que conforma la base para el cálculo del aporte fiscal del artículo 49 de la ley 19.378, para el año 2024.
5. Que, mediante ordinario N° 4.353 de fecha 13 de diciembre de 2023, de la Subsecretaría de Redes Asistenciales, se efectuó la consulta a los Gobiernos Regionales del país conforme lo establece el Art. 49 de la ley N° 19.378, y se determinó la población potencialmente beneficiaria en conformidad a lo dispuesto en el inciso penúltimo del artículo 18 del decreto con fuerza de ley N° 1, de 2005, del Ministerio de Salud, en el artículo 28 del decreto supremo N° 140, de 2004, del Ministerio de Salud, y en el artículo 4º del decreto supremo N° 2.296, de 1995, del Ministerio de Salud.
6. Que, cabe tener presente la situación especial en que se encuentran 40 comunas del país en las que, por razones básicamente geográficas, concurren condiciones absolutamente excepcionales en cuanto a población potencialmente beneficiaria -inferior a 3.500-, ruralidad y dificultad tanto para prestar como para acceder a las atenciones de salud. Estas comunas se conocen como "Comunas Costo Fijo" ya que tradicionalmente, con el objeto de asegurar la atención de salud de su población, ha sido preciso transferirles los recursos necesarios para permitir el funcionamiento de los establecimientos asistenciales allí ubicados.
7. Que, las características epidemiológicas de la población potencialmente beneficiaria han sido consideradas al programar el conjunto de prestaciones y/o acciones de salud que las entidades deben entregar a dicha población.
8. Que, uno de los criterios que considera el mecanismo vigente de transferencia de recursos a los municipios, denominado Sistema Per Cápita, es el nivel socioeconómico de la población potencialmente beneficiaria, clasificando para tales efectos las comunas sobre la base del Índice de Privación Promedio Municipal (IPP), calculado con datos proporcionados por la Subsecretaría de Desarrollo Regional y Administrativo, esquematizándolo para estos efectos en diferentes tramos de pobreza y aplicando criterios de ajuste a lo que debe agregarse, por su incidencia en esta materia, la cantidad de población potencialmente beneficiaria de 65 años y más de la respectiva comuna.
9. Que, se considera que presentan dificultad para prestar atenciones de salud, aquellas comunas en que alguno de sus establecimientos se hace acreedor de la asignación de desempeño difícil, prevista en los artículos 28, 29 y 30 de la ley N° 19.378, en los artículos 77, 78, 79 y 80 del decreto supremo N° 1.889, de 1995, del Ministerio de Salud, y en los respectivos decretos de esta última Secretaría de Estado que los fijan. Este criterio se incorpora como el valor básico que representa esta asignación, calculada conforme a la normativa precedentemente citada.
10. Que, en relación a aquellas comunas que presentan distintos índices de dificultad para acceder a las atenciones de salud, se ha considerado en forma referencial el porcentaje de asignación de zona establecido en el artículo 7º del decreto ley N° 249, de 1973, del Ministerio de Hacienda, que fija la escala única de sueldos para el personal que señala, esquematizándolo para estos efectos en diferentes tramos.
11. Que, el aporte estatal que por este decreto se determina, requiere conocer la cantidad de prestaciones y/o acciones efectivamente realizadas, a fin de evaluar los resultados de los establecimientos municipales de atención primaria de salud. El proceso para tomar conocimiento de esa cantidad de prestaciones y/o acciones, se ha implementado en las 323 comunas, por lo que es posible conocer las prestaciones y/o acciones realizadas, aplicándose para tales efectos, un Índice de Actividades de la Atención Primaria de Salud (IAAPS), que cuenta con los correspondientes indicadores de actividad evaluados en Estrategias de las Redes Integradas de Servicios de Salud (RISS), de producción, de cobertura y de impacto, y un sistema de evaluación de cumplimiento, esquematizado para estos efectos en diferentes tramos.
12. Que, cabe señalar que en la formulación del Índice de Actividades de la Atención Primaria de Salud (IAAPS), se ha incorporado para este ejercicio, como principio orientador, la Estrategia de las Redes Integradas de los Servicios de Salud (RISS), a fin de fortalecer la integración y coordinación de los establecimientos del sistema de salud, procurando mejorar de manera sostenida el acceso, calidad, trato y oportunidad de las prestaciones y/o acciones, en pos de brindar servicios de salud equitativos e integrales a la población beneficiaria, en el marco del modelo integral de salud familiar y comunitario.
13. Que, es conveniente determinar para la ejecución de dichas prestaciones y/o acciones un aporte básico unitario homogéneo por población inscrita (per cápita basal) basado en una canasta referencial descrita en el Plan de Salud Familiar (PSF), según se describe en el artículo 5 del presente decreto.
14. Que, para el año 2023, el aporte estatal se determinó mediante el decreto supremo N° 54, de 2022, del Ministerio de Salud.
15. Que, en mérito de lo expuesto:
Decreto:
Artículo 1. Determínese que el aporte estatal a que se refiere el artículo 49 de la ley N° 19.378, que corresponde transferir, por intermedio de la municipalidad respectiva, a todas las entidades administradoras de salud municipal, incluidas las mencionadas en el artículo 2º letra c) y en el artículo 3º, por el período comprendido entre los meses de enero a diciembre del año 2024, ambos meses inclusive, asciende hasta la suma de Decreto 14,
SALUD
Art. 1
D.O. 06.12.2024$2.220.290.695.472 (dos billones doscientos veinte mil doscientos noventa millones seiscientos noventa y cinco mil cuatrocientos setenta y dos pesos).
SALUD
Art. 1
D.O. 06.12.2024$2.220.290.695.472 (dos billones doscientos veinte mil doscientos noventa millones seiscientos noventa y cinco mil cuatrocientos setenta y dos pesos).
Artículo 2. El referido aporte se transferirá por mensualidades, por resolución del Ministerio de Salud, a cada Servicio de Salud.
Los Servicios de Salud, por su parte, transferirán a las entidades administradoras de salud municipal, por intermedio del respectivo municipio, el aporte estatal determinado dentro del correspondiente mes.
Los directores de Servicio de Salud deberán notificar a la entidad administradora de salud municipal el aporte estatal que le corresponde.
El monto del aporte estatal se determina aplicando a un aporte general y básico, los criterios de incremento o rebaja, según corresponda, señalados en el artículo 49 de la ley Nº19.378 en la proporción y forma que a continuación se indican:
a) Aporte básico unitario homogéneo. Corresponde al per cápita basal, por beneficiario inscrito en los establecimientos municipales de atención primaria de salud de cada comuna, que corresponde a Decreto 14,
SALUD
Art. 2
D.O. 06.12.2024$11.319 (once mil trescientos diecinueve pesos).
SALUD
Art. 2
D.O. 06.12.2024$11.319 (once mil trescientos diecinueve pesos).
b) Incremento del per cápita basal. El per cápita basal se incrementará en base a los siguientes criterios:
i. Comunas con diferentes grados de pobreza, esquematizadas en los siguientes tramos, de acuerdo a su ubicación según el Índice de Privación Promedio Municipal (IPP).

Tramo 1: Aquellas comunas que presentan índice de 0,8267 a 1,0000.
Tramo 2: Aquellas comunas que presentan índice de 0,7933 a 0,8266.
Tramo 3: Aquellas comunas que presentan índice de 0,7584 a 0,7932.
Tramo 4: Aquellas comunas que presentan índice de 0,0000 a 0,7583.
ii. Comunas con población potencialmente beneficiaria de 65 años y más. El incremento del per cápita basal será de $852 (ochocientos cincuenta y dos pesos) mensuales por cada beneficiario de 65 años y más.
iii. Comunas rurales 20%.
c) Comunas con diferentes grados de dificultad para prestar atenciones de salud. Comprende aquellas comunas en que la dotación de los establecimientos municipales de atención primaria de salud tiene derecho a la asignación de desempeño difícil de los artículos 28, 29 y 30 de la ley N° 19.378, y artículos 77 a 80 del decreto N° 1.889 de 1995, del Ministerio de Salud, y en los decretos de esta cartera de Estado que los fijan.
Los valores básicos mensuales determinados para estas comunas, para la realización del plan considerado en el artículo 5 de este decreto, que se señalan en la siguiente tabla, se han fijado a nivel comunal de acuerdo a la dotación informada al Ministerio de Salud y al tramo establecido, fijado para estos efectos en los decretos supremos N°s. 50 y 51, ambos de 2022, del Ministerio de Salud.







d) Comunas con diferentes grados de dificultad para acceder a las prestaciones y/o acciones de salud. Se refiere a comunas en que la dotación de los establecimientos municipales de atención primaria de salud tiene derecho a asignación de zona en el tramo que se indica, lo que se considera como criterio de incremento en el porcentaje que se señala.

El per cápita basal señalado en la letra a) y los incrementos mencionados en las letras b), numerales i) y iii), y d) precedentes, se multiplican por la población potencialmente beneficiaria de la respectiva comuna, se agrega el valor señalado en numeral ii) de la letra b) multiplicado por la población inscrita de 65 años y, más y cuando corresponda, se agrega el valor básico señalado en la letra c) precedente.
Lo anterior, supone que la respectiva entidad administradora de salud municipal ha realizado la función de atención primaria de salud para su población a cargo, en base al modelo de atención integral de salud familiar y comunitario que gobierna la red de salud pública, que incluye un conjunto de prestaciones y/o acciones para la realización del plan considerado en el artículo 5 de este decreto.
e) Rebaja del aporte estatal. El monto del aporte estatal que resulte de acuerdo a lo señalado precedentemente se rebajará cuando corresponda de acuerdo a los resultados de la evaluación efectuada según el Índice de Actividades de la Atención Primaria de Salud (IAAPS).
Las metas comunales de cada indicador se establecerán dentro del marco definido por la meta nacional y los rangos autorizados, conforme lo descrito en la sección "Procedimiento".
Los Indicadores del Índice de Actividad de la Atención Primaria de Salud (IAAPS) se formulan en 3 secciones, en la forma que a continuación se indica:
- Sección N° 1: De estrategia de Redes Integradas de Servicios de Salud (RISS).

- Sección N° 2: De producción


- Sección N° 3: De impacto.


Procedimiento:
- Conforme lo previene la letra q), del artículo 23, del decreto con fuerza de ley N° 1, de 2005, del Ministerio de Salud, el Servicio de Salud respectivo dictará la correspondiente resolución para la fijación de las metas de las comunas de su competencia, previa visación de la Subsecretaría de Redes Asistenciales. La meta fijada a cada comuna:
i. No podrá ser inferior numérica ni porcentualmente a la lograda el año anterior para el indicador en dicha comuna.
ii. Si el resultado del indicador de la comuna el año anterior fue inferior a la meta nacional fijada en el presente decreto, la meta se incrementará, de acuerdo a los criterios establecidos por el Ministerio de Salud.
iii. Si el resultado del indicador el año anterior es superior a la meta nacional fijada en el presente decreto, se deberá justificar en caso de no mantener o incrementar dicha meta, de acuerdo a los lineamientos técnicos emanados desde el nivel central.
- La verificación del cumplimiento del indicador N° 2, se efectuará mediante visitas a terreno aleatorias a los establecimientos que permitan: a) constatar el funcionamiento en el horario establecido, entendiéndose por "funcionamiento", la entrega de, al menos, el 90% de las prestaciones y/o acciones programadas al momento de la visita; y b) constatar la disponibilidad de fármacos trazadores, entendiéndose por "fármaco trazador disponible", el que se mantenga en bodega o botiquín farmacéutico del centro de salud, el 15% de programación histórico de fármacos o la programación mensual de cada fármaco trazador, sobre la base de población bajo control corregida por frecuencia de uso del medicamento.
- La evaluación para el año para el cual rige el presente decreto se referirá a los períodos que comprenden los meses de enero a mayo, enero a julio, enero a septiembre y enero a diciembre de 2024; la que será realizada por los Servicios de Salud, de acuerdo a las instrucciones que imparta al efecto el Ministerio de Salud.
- Las entidades administradoras de salud municipal deberán informar los datos consignados en los respectivos indicadores del índice del correspondiente periodo, al respectivo Servicio de Salud, antes del día 5 del mes siguiente al término del periodo respectivo.
- Los Servicios de Salud deberán calcular el índice considerando el porcentaje de cumplimiento respecto de la meta de cada uno de los indicadores que aplica en cada corte evaluativo, de acuerdo a las instrucciones que imparta al efecto el Ministerio de Salud.
- Los Servicios de Salud deberán remitir al Ministerio de Salud esta información consolidada por comuna, dentro del mes siguiente al término del periodo respectivo, en los medios, formatos y plazos establecidos por el Ministerio de Salud.
- El Ministerio de Salud, teniendo como referencia la información aportada por cada Servicio de Salud y demás antecedentes que estime pertinente, calculará la rebaja total de acuerdo al porcentaje de cumplimiento de indicadores del progreso y desempeño de la Atención Primaria de Salud, conforme al siguiente esquema:
a. Tabla que determina las rebajas según el porcentaje de cumplimiento del conjunto de indicadores ponderados, excluyendo los indicadores críticos, en la forma que a continuación se indica:

b. Tabla que determina las rebajas según el porcentaje de cumplimiento del indicador crítico (cumplimiento de garantías explícitas en salud), las que se aplican separadamente para cada uno de estos indicadores, en la forma que a continuación se indica:

- La rebaja total se calculará sumando las rebajas correspondientes respecto de los porcentajes de cumplimiento, según esquemas precedentes de estrategias de redes integradas de servicios de salud (RISS), de producción y de impacto.
- La rebaja total al aporte estatal mensual de la respectiva entidad administradora de salud municipal, correspondiente a cada periodo, se aplicará en el mes subsiguiente que corresponda.
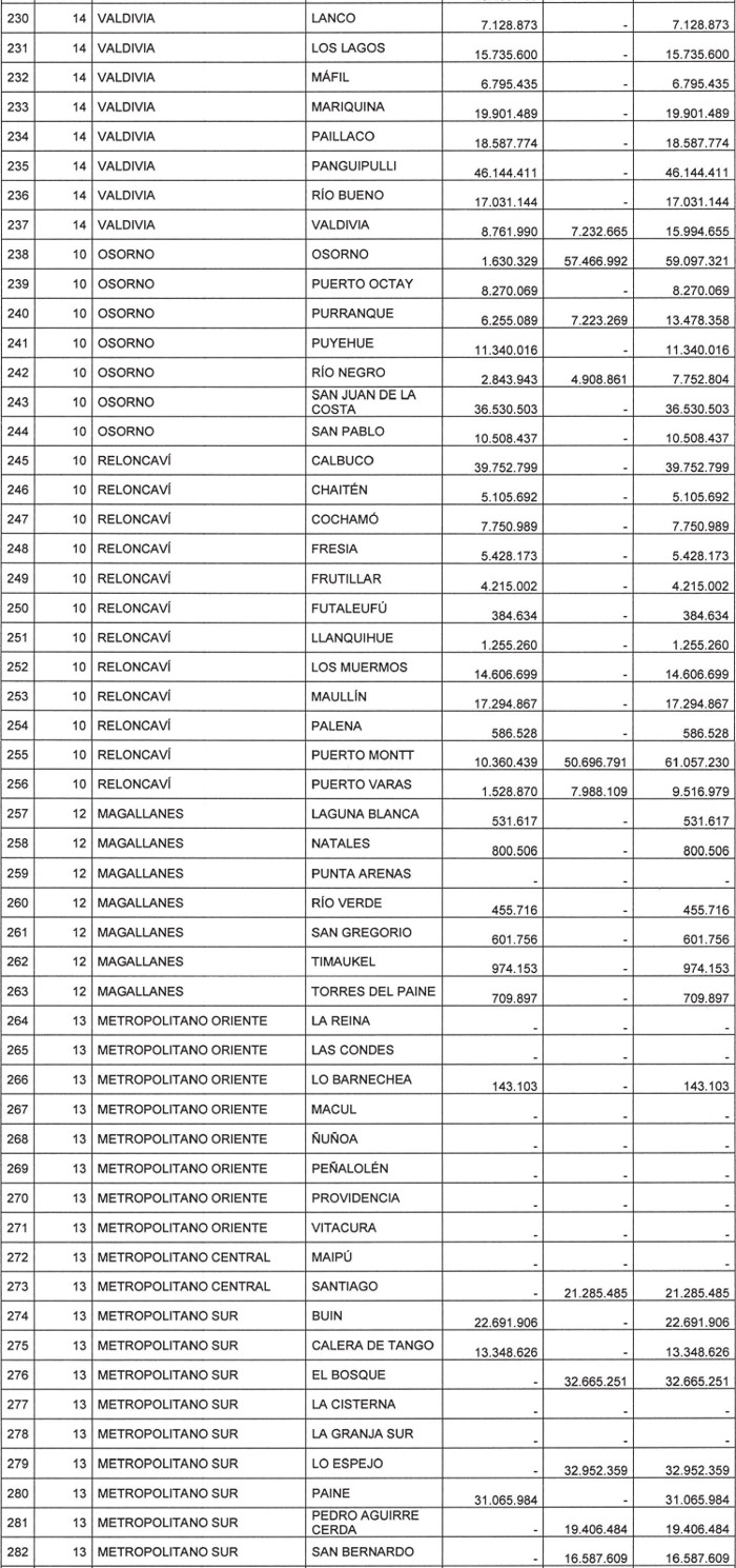
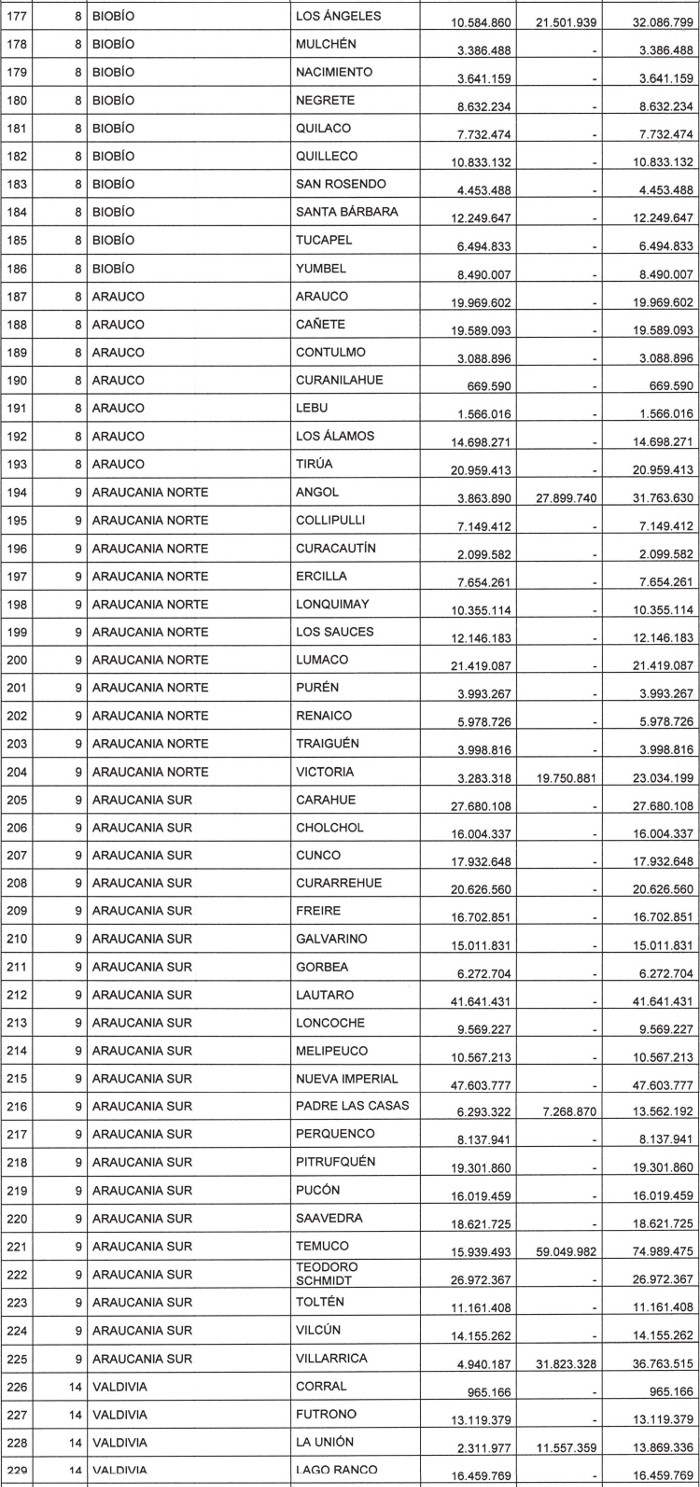
Artículo 3. Determínase el siguiente aporte estatal, para el período señalado en el artículo 1 del presente decreto, respecto de las entidades administradoras de salud municipal cuyos establecimientos asistenciales se encuentran ubicados en las comunas costo fijo.
Las comunas costo fijo son aquellas que no se financian con la modalidad de aporte per cápita del Ministerio de Salud, de acuerdo a la población inscrita validada, sino con un mecanismo de costo fijo que permite cubrir el financiamiento de las prestaciones y/o acciones insertas en la canasta básica de la Atención Primaria.
Para determinar este aporte, se consideran las circunstancias especiales de estas comunas respecto a: población potencialmente beneficiaria -inferior a 3.500 personas- y ruralidad y dificultad para acceder y prestar atenciones de salud, en la proporción necesaria para continuar transfiriendo un aporte estatal mensual idéntico al percibido el mes anterior a la entrada en vigencia de este decreto, sumándose a éste, los recursos relativos a las prestaciones y/o acciones de los programas de Salud Cardiovascular, Mejoramiento, Exámenes de Laboratorios Básicos, Visita Domiciliaria, Salud Mental Integral en Atención Primaria y Complementario GES, GES artrosis de rodilla leve y moderada, GES urgencia odontológica ambulatoria, GES Salud Oral integral de la embarazada, que permiten resguardar la atención de salud de esa población.
En lo que se refiere a la dificultad para prestar atenciones de salud, el aporte estatal se complementará, cuando corresponda, con los valores básicos indicados en los decretos a que se refiere la letra c) del artículo 2 del presente decreto.


Artículo 4. El aporte estatal mensual se incrementará de acuerdo a lo que establece el inciso final del artículo 56, de la ley N° 19.378, en el caso que las normas técnicas, planes y programas que imparta con posterioridad el Ministerio de Salud impliquen un mayor gasto para la entidad administradora de salud municipal, para cuyo efecto el Ministerio de Salud dictará la correspondiente resolución.
Artículo 5. Las prestaciones y/o acciones de salud, cuya ejecución concede derecho al aporte estatal, se resumen en el Plan de Salud Familiar (PSF), que se contextualiza en el modelo integral de salud familiar y comunitario, e integra un conjunto de prestaciones y/o acciones de salud para diversas necesidades de las personas en su curso de vida, contribuyendo con éstas a ejercer la función de la atención primaria en su territorio a cargo, en la mantención de la salud de las personas, mediante prestaciones y/o acciones de fomento, prevención y recuperación de la salud y rehabilitación cuando corresponda.
A continuación, se indican las prestaciones y/o acciones consolidadas por curso de vida:
I. SALUD DE NIÑOS Y NIÑAS
Control de salud del niño sano.
Evaluación del desarrollo psicomotor.
Control de malnutrición.
Control de lactancia materna.
Educación a grupos de riesgo.
Consulta nutricional.
Consulta de morbilidad.
Control de enfermedades crónicas.
Consulta por déficit del desarrollo psicomotor.
Consulta kinésica.
Consulta y consejería de salud mental.
Vacunación.
Programa Nacional de Alimentación Complementaria.
Atención a domicilio.
Actividades comunitarias en salud mental con profesores de establecimientos educacionales.
Examen de salud odontológico.
Educación grupal odontológica.
Consulta Odontológica preventiva (incluye: barniz de flúor, educación individual con instrucción de higiene, pulido coronario, sellantes).
Consulta tratamiento odontológico (incluye: obturaciones, pulpotomías).
Consulta urgencia odontológica (incluye: Exodoncia).
Radiografías odontológicas.
II. SALUD DE ADOLESCENTES
Control de salud.
Consulta morbilidad.
Control crónico.
Control prenatal.
Control de puerperio.
Control de regulación de fecundidad.
Consejería en salud sexual y reproductiva.
Control ginecológico preventivo.
Educación grupal.
Consulta morbilidad obstétrica.
Consulta morbilidad ginecológica.
Intervención Psicosocial.
Consulta kinésica.
Consulta nutricional.
Consulta y/o consejería en salud mental.
Atención a domicilio.
Actividades comunitarias en salud mental con profesores de establecimientos educacionales.
Examen de salud odontológico.
Educación grupal odontológica.
Consulta Odontológica preventiva (incluye: barniz de flúor, educación individual con instrucción de higiene, pulido coronario, sellantes).
Consulta tratamiento odontológico (incluye: obturaciones, detartraje).
Consulta urgencia odontológica (incluye: Exodoncia, endodoncia primera fase).
Radiografías odontológicas.
III. SALUD DE LA MUJER
Control prenatal.
Control preconcepcional.
Control de puerperio.
Control de regulación de fecundidad.
Consejería en salud sexual y reproductiva.
Control ginecológico preventivo, incluye control de climaterio en mujeres de 45 a 64 años.
Educación grupal.
Consulta morbilidad obstétrica.
Consulta morbilidad ginecológica.
Consulta nutricional.
Programa Nacional de Alimentación Complementaria.
Ecografía Obstétrica del Primer Trimestre.
Atención integral a mujeres mayores de 15 años que sufren violencia intrafamiliar.
Examen de salud odontológico en gestante.
Educación grupal odontológica en gestante.
Consulta Odontológica preventiva gestante (incluye: barniz de flúor, educación individual con instrucción de higiene, pulido coronario).
Consulta tratamiento odontológico gestante (incluye: obturaciones, detartraje).
Consulta urgencia odontológica (incluye: Exodoncia, endodoncia primera fase).
Radiografías odontológicas.
IV. SALUD DE ADULTOS Y ADULTAS
Consulta de morbilidad.
Consulta y control de enfermedades crónicas, incluyendo aquellas efectuadas en las salas de control de enfermedades respiratorias del adulto de 20 años y más.
Consulta nutricional.
Control de salud.
Intervención psicosocial.
Consulta y/o consejería de salud mental.
Educación grupal.
Atención a domicilio.
Atención de podología a pacientes con diabetes mellitus.
Curación de pie diabético.
Intervención grupal de actividad física.
Consulta kinésica.
Consulta Odontológica preventiva (incluye: barniz de flúor, educación individual con instrucción de higiene, pulido coronario).
Consulta morbilidad odontológica (incluye: examen de salud odontológico, obturaciones, detartraje y pulido coronario).
Consulta urgencia odontológica (incluye: Exodoncia, endodoncia primera fase).
Radiografías odontológicas.
Control por sospecha de virus Hepatitis C.
V. SALUD DE ADULTOS Y ADULTAS MAYORES
Consulta de morbilidad.
Consulta y control de enfermedades crónicas, incluyendo aquellas efectuadas en las salas de control de enfermedades respiratorias del adulto mayor de 65 años y más.
Consulta nutricional.
Control de salud.
Intervención psicosocial.
Consulta de salud mental.
Educación grupal.
Consulta kinésica.
Vacunación antiinfluenza.
Atención a domicilio.
Programa de alimentación complementaria del adulto mayor.
Atención podología a pacientes con diabetes mellitus.
Curación de pie diabético.
Consulta Odontológica preventiva (incluye: educación individual con instrucción de higiene, pulido coronario).
Consulta morbilidad odontológica (incluye: examen de salud odontológico, obturaciones, detartraje y pulido coronario).
Consulta urgencia odontológica (incluye: Exodoncia, endodoncia primera fase).
Radiografías odontológicas.
Control por sospecha de virus Hepatitis C.
VI. ACTIVIDADES CON GARANTÍAS EXPLÍCITAS EN SALUD ASOCIADAS A PROGRAMAS
- Diagnóstico y tratamiento de hipertensión arterial primaria o esencial: consultas de morbilidad y controles de crónicos para personas de 15 años y más, en programas de adolescente, adulto y adulto mayor.
- Diagnóstico y tratamiento de Diabetes Mellitus tipo 2: consultas de morbilidad y controles de crónicos en programas del niño, adolescente, adulto y adulto mayor, considerando tratamiento farmacológico.
- Acceso a evaluación y alta odontológica integral a niños y niñas de 6 años: prestaciones del programa odontológico.
- Acceso a tratamiento de epilepsia no refractaria para los beneficiarios desde un año a menores de 15 años: Consultas de morbilidad y controles de crónicos en programas del niño y adolescente.
- Acceso a tratamiento de IRA baja de manejo ambulatorio en menores de 5 años: consultas de morbilidad y kinésica en programa del niño.
- Acceso a diagnóstico y tratamiento de neumonía adquirida en la comunidad de manejo ambulatorio en personas de 65 años y más: consultas de morbilidad y kinésica en programa del adulto mayor.
- Acceso a diagnóstico y tratamiento de la depresión de manejo ambulatorio en personas de 15 años y más: consulta de salud mental, consejería de salud mental, intervención psicosocial y tratamiento farmacológico.
- Acceso a diagnóstico y tratamiento de la enfermedad pulmonar obstructiva crónica: consultas de morbilidad y controles de crónicos; espirometría, atención kinésica en personas de 40 y más años.
- Acceso a diagnóstico y tratamiento del asma bronquial moderada en menores de 15 años: consultas de morbilidad y controles de crónicos en programas del niño y del adolescente; espirometría y atención kinésica en programa del niño y del adolescente.
- Acceso a diagnóstico y tratamiento del asma bronquial moderada en personas de 15 y más años: consultas de morbilidad, controles de crónicos, espirometría y atención kinésica en programas del adulto y adulto mayor.
- Acceso a diagnóstico y tratamiento de presbicia en personas de 65 y más años: consultas de morbilidad, controles de salud y control de crónicos en programa del adulto mayor.
- Acceso a tratamiento médico en personas de 55 años y más, con artrosis de cadera y/o rodilla, leve o moderada.
- Acceso a diagnóstico y tratamiento de la urgencia odontológica ambulatoria.
- Acceso a tratamiento de hipotiroidismo en personas de 15 años y más.
- Tratamiento de erradicación de helicobacter pylori.
- Acceso a Tratamiento Salud Oral integral de la embarazada.
- Diagnóstico y tratamiento de Alzheimer y otras demencias: consultas de salud mental, visita domiciliaria, considerando exámenes para el diagnóstico y tratamiento farmacológico, para personas de 30 años y más, en programas de adulto y adulto mayor.
VII. ACTIVIDADES GENERALES ASOCIADAS A TODOS LOS PROGRAMAS
- Educación grupal ambiental.
- Consejería familiar.
- Visita domiciliaria integral.
- Consulta social.
- Tratamiento y curaciones.
- Extensión horaria.
- Intervención familiar psicosocial.
- Diagnóstico y control de la tuberculosis.
- Visita domiciliaria de seguimiento.
Exámenes de laboratorio básico conforme el siguiente detalle:


Anótese, tómese de razón y publíquese en el Diario Oficial.- GABRIEL BORIC FONT, Presidente de la República.- Ximena Aguilera Sanhueza, Ministra de Salud.- Carolina Tohá Morales, Ministra del Interior y Seguridad Pública.- Mario Marcel Cullell, Ministro de Hacienda.
Transcribo para su conocimiento decreto afecto N° 35, 22 de diciembre 2023.- Por orden de la Subsecretaría de Salud Pública.- Saluda atentamente a Ud., Yasmina Viera Bernal, Jefa de la División Jurídica, Ministerio de Salud.