Artículo 2. El referido aporte se transferirá por mensualidades, por resolución del Ministerio de Salud, a cada Servicio de Salud.
Los Servicios de Salud, por su parte, transferirán a las entidades administradoras de salud municipal, por intermedio del respectivo municipio, el aporte estatal determinado dentro del correspondiente mes.
Los directores de Servicio de Salud deberán notificar a la entidad administradora de salud municipal el aporte estatal que le corresponde.
El monto del aporte estatal se determina aplicando a un aporte general y básico, los criterios de incremento o rebaja, según corresponda, señalados en el artículo 49 de la ley Nº19.378 en la proporción y forma que a continuación se indican:
a) Aporte básico unitario homogéneo. Corresponde al per cápita basal, por beneficiario inscrito en los establecimientos municipales de atención primaria de salud de cada comuna, que corresponde a Decreto 14,
SALUD
Art. 2
D.O. 06.12.2024$11.319 (once mil trescientos diecinueve pesos).
SALUD
Art. 2
D.O. 06.12.2024$11.319 (once mil trescientos diecinueve pesos).
b) Incremento del per cápita basal. El per cápita basal se incrementará en base a los siguientes criterios:
i. Comunas con diferentes grados de pobreza, esquematizadas en los siguientes tramos, de acuerdo a su ubicación según el Índice de Privación Promedio Municipal (IPP).

Tramo 1: Aquellas comunas que presentan índice de 0,8267 a 1,0000.
Tramo 2: Aquellas comunas que presentan índice de 0,7933 a 0,8266.
Tramo 3: Aquellas comunas que presentan índice de 0,7584 a 0,7932.
Tramo 4: Aquellas comunas que presentan índice de 0,0000 a 0,7583.
ii. Comunas con población potencialmente beneficiaria de 65 años y más. El incremento del per cápita basal será de $852 (ochocientos cincuenta y dos pesos) mensuales por cada beneficiario de 65 años y más.
iii. Comunas rurales 20%.
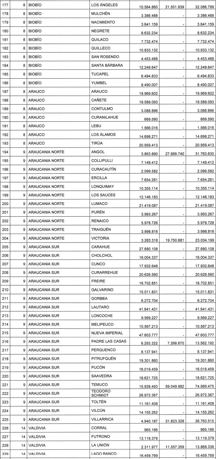
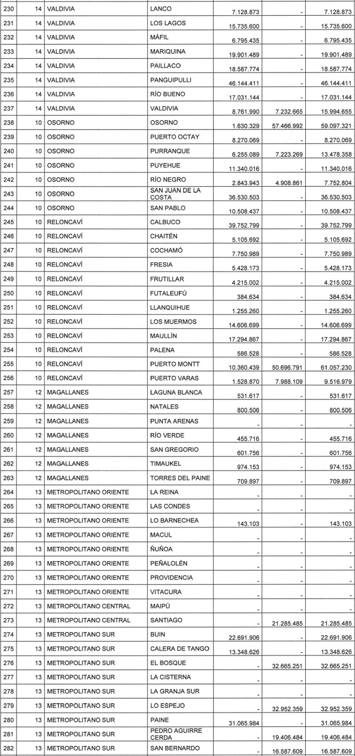
c) Comunas con diferentes grados de dificultad para prestar atenciones de salud. Comprende aquellas comunas en que la dotación de los establecimientos municipales de atención primaria de salud tiene derecho a la asignación de desempeño difícil de los artículos 28, 29 y 30 de la ley N° 19.378, y artículos 77 a 80 del decreto N° 1.889 de 1995, del Ministerio de Salud, y en los decretos de esta cartera de Estado que los fijan.
Los valores básicos mensuales determinados para estas comunas, para la realización del plan considerado en el artículo 5 de este decreto, que se señalan en la siguiente tabla, se han fijado a nivel comunal de acuerdo a la dotación informada al Ministerio de Salud y al tramo establecido, fijado para estos efectos en los decretos supremos N°s. 50 y 51, ambos de 2022, del Ministerio de Salud.







d) Comunas con diferentes grados de dificultad para acceder a las prestaciones y/o acciones de salud. Se refiere a comunas en que la dotación de los establecimientos municipales de atención primaria de salud tiene derecho a asignación de zona en el tramo que se indica, lo que se considera como criterio de incremento en el porcentaje que se señala.

El per cápita basal señalado en la letra a) y los incrementos mencionados en las letras b), numerales i) y iii), y d) precedentes, se multiplican por la población potencialmente beneficiaria de la respectiva comuna, se agrega el valor señalado en numeral ii) de la letra b) multiplicado por la población inscrita de 65 años y, más y cuando corresponda, se agrega el valor básico señalado en la letra c) precedente.
Lo anterior, supone que la respectiva entidad administradora de salud municipal ha realizado la función de atención primaria de salud para su población a cargo, en base al modelo de atención integral de salud familiar y comunitario que gobierna la red de salud pública, que incluye un conjunto de prestaciones y/o acciones para la realización del plan considerado en el artículo 5 de este decreto.
e) Rebaja del aporte estatal. El monto del aporte estatal que resulte de acuerdo a lo señalado precedentemente se rebajará cuando corresponda de acuerdo a los resultados de la evaluación efectuada según el Índice de Actividades de la Atención Primaria de Salud (IAAPS).
Las metas comunales de cada indicador se establecerán dentro del marco definido por la meta nacional y los rangos autorizados, conforme lo descrito en la sección "Procedimiento".
Los Indicadores del Índice de Actividad de la Atención Primaria de Salud (IAAPS) se formulan en 3 secciones, en la forma que a continuación se indica:
- Sección N° 1: De estrategia de Redes Integradas de Servicios de Salud (RISS).

- Sección N° 2: De producción


- Sección N° 3: De impacto.


Procedimiento:
- Conforme lo previene la letra q), del artículo 23, del decreto con fuerza de ley N° 1, de 2005, del Ministerio de Salud, el Servicio de Salud respectivo dictará la correspondiente resolución para la fijación de las metas de las comunas de su competencia, previa visación de la Subsecretaría de Redes Asistenciales. La meta fijada a cada comuna:
i. No podrá ser inferior numérica ni porcentualmente a la lograda el año anterior para el indicador en dicha comuna.
ii. Si el resultado del indicador de la comuna el año anterior fue inferior a la meta nacional fijada en el presente decreto, la meta se incrementará, de acuerdo a los criterios establecidos por el Ministerio de Salud.
iii. Si el resultado del indicador el año anterior es superior a la meta nacional fijada en el presente decreto, se deberá justificar en caso de no mantener o incrementar dicha meta, de acuerdo a los lineamientos técnicos emanados desde el nivel central.
- La verificación del cumplimiento del indicador N° 2, se efectuará mediante visitas a terreno aleatorias a los establecimientos que permitan: a) constatar el funcionamiento en el horario establecido, entendiéndose por "funcionamiento", la entrega de, al menos, el 90% de las prestaciones y/o acciones programadas al momento de la visita; y b) constatar la disponibilidad de fármacos trazadores, entendiéndose por "fármaco trazador disponible", el que se mantenga en bodega o botiquín farmacéutico del centro de salud, el 15% de programación histórico de fármacos o la programación mensual de cada fármaco trazador, sobre la base de población bajo control corregida por frecuencia de uso del medicamento.
- La evaluación para el año para el cual rige el presente decreto se referirá a los períodos que comprenden los meses de enero a mayo, enero a julio, enero a septiembre y enero a diciembre de 2024; la que será realizada por los Servicios de Salud, de acuerdo a las instrucciones que imparta al efecto el Ministerio de Salud.
- Las entidades administradoras de salud municipal deberán informar los datos consignados en los respectivos indicadores del índice del correspondiente periodo, al respectivo Servicio de Salud, antes del día 5 del mes siguiente al término del periodo respectivo.
- Los Servicios de Salud deberán calcular el índice considerando el porcentaje de cumplimiento respecto de la meta de cada uno de los indicadores que aplica en cada corte evaluativo, de acuerdo a las instrucciones que imparta al efecto el Ministerio de Salud.
- Los Servicios de Salud deberán remitir al Ministerio de Salud esta información consolidada por comuna, dentro del mes siguiente al término del periodo respectivo, en los medios, formatos y plazos establecidos por el Ministerio de Salud.
- El Ministerio de Salud, teniendo como referencia la información aportada por cada Servicio de Salud y demás antecedentes que estime pertinente, calculará la rebaja total de acuerdo al porcentaje de cumplimiento de indicadores del progreso y desempeño de la Atención Primaria de Salud, conforme al siguiente esquema:
a. Tabla que determina las rebajas según el porcentaje de cumplimiento del conjunto de indicadores ponderados, excluyendo los indicadores críticos, en la forma que a continuación se indica:

b. Tabla que determina las rebajas según el porcentaje de cumplimiento del indicador crítico (cumplimiento de garantías explícitas en salud), las que se aplican separadamente para cada uno de estos indicadores, en la forma que a continuación se indica:

- La rebaja total se calculará sumando las rebajas correspondientes respecto de los porcentajes de cumplimiento, según esquemas precedentes de estrategias de redes integradas de servicios de salud (RISS), de producción y de impacto.
- La rebaja total al aporte estatal mensual de la respectiva entidad administradora de salud municipal, correspondiente a cada periodo, se aplicará en el mes subsiguiente que corresponda.