MODIFICA LA RESOLUCIÓN EXENTA N° 833 (V. Y U.), DE FECHA 21 DE ABRIL DE 2023, Y SUS MODIFICACIONES, QUE LLAMA A LAS REGIONES QUE INDICA A PROCESO DE SELECCIÓN EN CONDICIONES ESPECIALES PARA EL OTORGAMIENTO DE SUBSIDIOS HABITACIONALES, EN LA MODALIDAD DE CONSTRUCCIÓN DE VIVIENDA NUEVA, CON PROYECTO DESARROLLADO, DEL TÍTULO II, DEL PROGRAMA DE HABITABILIDAD RURAL, REGULADO POR EL DS N° 10 (V. Y U.), DE 2015, Y SUS MODIFICACIONES, EN LA ALTERNATIVA DE POSTULACIÓN INDIVIDUAL O COLECTIVA; Y LAS RESOLUCIONES EXENTAS N° 1.584, DEL 22 DE SEPTIEMBRE DE 2023, N° 2.318, DEL 28 DE DICIEMBRE DE 2023, N° 195 Y N° 196, AMBAS DEL 2 DE FEBRERO DE 2024, QUE APRUEBAN LAS NÓMINAS DE POSTULANTES SELECCIONADOS
Santiago, 28 de mayo de 2024.- Hoy se resolvió lo que sigue:
Núm. 759 exenta.
Visto:
a) El DS N°10 (V. y U.), de 2015, y sus modificaciones, que reglamenta el Programa de Habitabilidad Rural, en especial sus artículos 36 y 38;
b) La resolución exenta N°1.767 (V. y U.), de 2022, que autoriza efectuar llamados a postulación y/o comprometer recursos durante el año 2023, en el otorgamiento de subsidios habitacionales y señala el monto de los recursos destinados, entre otros, a la atención a través del programa regulado por el DS N°10 (V. y U.), de 2015;
c) La circular N° 01 de 2023, de la Subsecretaría de Vivienda y Urbanismo, que establece el Programa Habitacional 2023, e indica el presupuesto disponible para asignar subsidios, entre otros, del Programa de Habitabilidad Rural;
d) La resolución exenta N°833 (V. y U.), de fecha 21 de abril de 2023, y sus modificaciones, que llama a proceso de selección en condiciones especiales para el otorgamiento de subsidios habitacionales del Título II en la Modalidad de Vivienda Nueva, con proyecto desarrollado, de la Tipología Construcción en Sitio del Residente, del Programa de Habitabilidad Rural, regulado por el DS N°10 (V. y U.), de 2015, y sus modificaciones, a las regiones que indica, en la alternativa de Postulación Individual o Colectiva;
e) La resolución exenta N°3.131 (V. y U.), de 2016, modificada por la resolución exenta N°488 (V. y U.), de 2023; y la resolución exenta N°490 (V. y U.), de 2023, que fija el procedimiento para la prestación de Servicios de Asistencia Técnica, Jurídica y Social al Programa de Habitabilidad Rural que regula el DS N°10 (V. y U.), de 2015;
f) La resolución exenta N°1.584 (V. y U.), de fecha 22 de septiembre del año 2023, que aprueba la primera nómina de postulantes seleccionados de las regiones que indica, correspondientes al Llamado Nacional para la Modalidad Vivienda Nueva, Tipologías Conjunto Habitacional y Construcción en Sitio del Residente, que reguló la resolución exenta N°833 (V. y U.), del 21 de abril de 2023;
g) La resolución exenta N°2.318 (V. y U.), de fecha 28 de diciembre del año 2023, que aprueba la segunda nómina de postulantes seleccionados, de las regiones que indica, correspondientes al Llamado Nacional para la Modalidad Vivienda Nueva, Tipologías Conjunto Habitacional y Construcción en Sitio del Residente, que reguló la resolución exenta N°833 (V. y U.), del 21 de abril de 2023;
h) La resolución exenta N°196 (V. y U.), de fecha 2 de febrero del año 2024, que aprueba la nómina de postulantes seleccionados, de las regiones que indica, correspondientes al Llamado Nacional para la Modalidad Vivienda Nueva, Tipologías Conjunto Habitacional y Construcción en Sitio del Residente, que reguló la resolución exenta N°833 (V. y U.), del 21 de abril de 2023;
i) La resolución exenta N°195 (V. y U.), de fecha 2 de febrero del año 2023, que aprueba la nómina de postulantes seleccionados, de las regiones que indica, correspondientes al Llamado Nacional para la Modalidad Vivienda Nueva, Tipologías Conjunto Habitacional y Construcción en Sitio del Residente, que reguló la resolución exenta N°833 (V. y U.), del 21 de abril de 2023; y,
Considerando:
a) Que, mediante la resolución exenta N°833 citada en el visto d) de la presente resolución, se llamó a proceso de postulación en condiciones especiales, en las modalidades individual y colectiva, para las tipologías Conjunto Habitacional y Construcción en Sitio del Residente del Programa de Habitabilidad Rural, regulado por el DS N°10 (V. y U.) de 2015, que cuenten con proyecto Aprobado o Aprobado Condicional.
b) Que, el citado llamado estableció un proceso de selección según el orden establecido por la fecha y hora en que resulten aprobados los proyectos, sin que sea necesario aplicar los factores y cálculo de puntajes establecidos en el artículo 43 del DS N°10 (V. y U.), de 2015.
c) Las resoluciones exentas citadas en el Visto e) precedente, que originaron la aplicación de nuevos montos de subsidio de Asistencia Técnica y Fiscalización Técnica de Obras, los que fueron calculados de forma manual en el proceso de selección, detectándose posteriormente errores en la asignación efectuada.
d) La tercera nómina de selección, que considera a las familias con proyecto aprobado por Serviu, correspondiente al mes de octubre de 2023, es decir, en condiciones de ser beneficiadas, fue erróneamente omitida durante el proceso de emisión de la selección, situación que debe ser corregida, dicto la siguiente
Resolución:
1. Modifícase la resolución exenta N°833 (V. y U.), de fecha 21 de abril de 2023, citada en el visto d) de la presente resolución, en el sentido de reemplazar el resuelvo 10 por el siguiente:
"10. Los recursos involucrados en la selección ascenderán a un total de 3.593.617,03 UF y su distribución nacional será la siguiente:

Los montos indicados en el cuadro anterior podrán disminuir o aumentar con cargo a los recursos asignados para el Programa de Habitabilidad Rural del año 2023, por resolución del Ministro de Vivienda y Urbanismo, como también podrá determinarse su redistribución por región, de acuerdo con la necesidad de cada una de estas. Las regiones que, al finalizar el proceso de selección, no hayan presentado postulaciones en condiciones de ser seleccionadas, quedarán sin asignación de recursos."
2. Modifícase la resolución exenta N°1.584 (V. y U.), de fecha 22 de septiembre del año 2023, citada en el visto f) de la presente resolución, en el siguiente sentido:
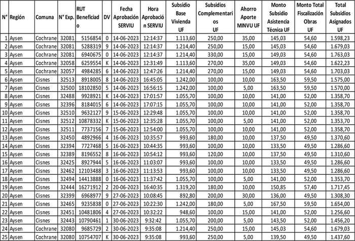
2.1 Reemplázase la nómina que se adjunta, indicada en el resuelvo 2, con el objetivo de corregir los montos de subsidio asignados a cada familia, por la nómina que se adjunta a la presente resolución como Anexo 1.
2.2 Reemplázase la tabla inserta en el resuelvo 3. por la siguiente:

2.3 Reemplázase el resuelvo 4. por el siguiente:
"4. Impútese el monto total de 36.702,90 Unidades de Fomento señaladas en el cuadro inserto en el Resuelvo 3. de la presente resolución, a los recursos disponibles para la Región de Aysén en el Programa de Habitabilidad Rural, correspondiente al año 2023. Facúltase a la Seremi Región de Aysén, a rectificar errores de digitación de la presente resolución, pudiendo corregir nombres y números de cédula de identidad de los beneficiarios, número de expediente, y rectificar los montos de subsidios asignados, originados en errores no imputables a las Entidades de Gestión Rural. Si la rectificación del subsidio supone un aumento del monto establecido en la presente resolución, sólo podrá asignarse hasta el valor máximo de subsidio dispuesto para cada tipología, clase de proyecto, y/o subsidio complementario correspondiente, en el Llamado regulado mediante la resolución exenta N°833, citada en el Visto d) de la presente resolución. En tales casos, y previo a la emisión de la resolución de Asignación de recursos, la Seremi deberá contar la validación de la imputación presupuestaria que proceda, otorgada por la División de Política Habitacional."
3. Modifícase la resolución exenta N°2.318 (V. y U.), de fecha 22 de septiembre del año 2023, citada en el visto g) de la presente resolución, en el siguiente sentido:
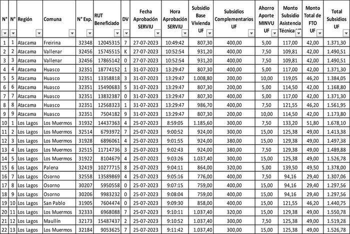
3.1 Reemplázase la nómina que se adjunta, indicada en el resuelvo 1, con el objetivo de corregir los montos de subsidio asignados a cada familia, por la nómina que se adjunta a la presente resolución como Anexo 2.
3.2 Reemplázase la tabla inserta en el resuelvo 2. por la siguiente:

3.3 Reemplázase el resuelvo 4. por el siguiente:
"4. Impútese el monto total de 31.306,79 Unidades de Fomento señaladas en el cuadro inserto en el Resuelvo 2. de la presente resolución, a los recursos disponibles para las regiones que se indican, en el Programa de Habitabilidad Rural correspondiente al año 2023. Facúltase a la Seremi correspondiente a rectificar errores de digitación de la presente resolución, pudiendo corregir nombres y números de cédula de identidad de los beneficiarios, número de expediente, y rectificar los montos de subsidios asignados, originados en errores no imputables a las Entidades de Gestión Rural. Si la rectificación del subsidio supone un aumento del monto establecido en la presente resolución, sólo podrá asignarse hasta el valor máximo de subsidio dispuesto para cada tipología, clase de proyecto, y/o subsidio complementario correspondiente, en el Llamado regulado mediante la resolución exenta N°833, citada en el Visto d) de la presente resolución. En tales casos, y previo a la emisión de la resolución de Asignación de recursos, la Seremi deberá contar la validación de la imputación presupuestaria que proceda, otorgada por la División de Política Habitacional."
4. Modifícase la resolución exenta N°196 (V. y U.), de fecha 2 de febrero del año 2024, citada en el visto h) de la presente resolución, con el objetivo de corregir el número de familias beneficiadas y los montos de subsidios asignados de conformidad con lo establecido en el Considerando c) y d) de la presente resolución, en el siguiente sentido:
4.1 Reemplázase la nómina que se adjunta, indicada en el resuelvo 2, por la nómina que se adjunta a la presente resolución como Anexo 3.
4.2 Reemplázase el resuelvo 2 de la resolución exenta N°196, por el siguiente:
"2. Apruébase la nómina correspondiente a un total de 593 familias que han sido seleccionadas, para el otorgamiento de subsidios habitacionales correspondientes a la Tipología Construcción en Sitio del Residente, del Llamado a Postulación en Condiciones Especiales de 2023, citado en la letra d) del Programa de Habitabilidad Rural en su título II, regulado por el DS N°10 (V. y U.), de 2015; la que se adjunta a la presente resolución y se entenderá como parte integrante de ésta. Además, fíjase el número de postulantes seleccionados por región, según el siguiente detalle:

4.3 Reemplázase el cuadro inserto en el resuelvo 3 de la resolución exenta N°196, por el siguiente:

4.4 Reemplázase el resuelvo 4 de la resolución exenta N°196, por el siguiente:
"4. Impútese el monto total de 884.698,67 Unidades de Fomento señaladas en el cuadro inserto en el Resuelvo 3 de la presente resolución, a los recursos disponibles para las regiones que se indican, en el Programa de Habitabilidad Rural correspondiente al año 2023. Facúltase a la Seremi que corresponda a rectificar errores de digitación de la presente resolución, pudiendo corregir nombres y números de cédula de identidad de los beneficiarios, número de expediente, y rectificar los montos de subsidios asignados, originados en errores no imputables a las Entidades de Gestión Rural. Si la rectificación del subsidio supone un aumento del monto establecido en la presente resolución, sólo podrá asignarse hasta el valor máximo de subsidio dispuesto para cada tipología, clase de proyecto, y/o subsidio complementario correspondiente, en el Llamado regulado mediante la resolución exenta N°833, citada en el Visto d) de la presente resolución. En tales casos, y previo a la emisión de la resolución de Asignación de recursos, la Seremi deberá contar la validación de la imputación presupuestaria que proceda, otorgada por la División de Política Habitacional."
5. Modifícase la resolución exenta N°195 (V. y U.), de fecha 2 de febrero del año 2024, citada en el visto i) de la presente resolución, con el objetivo de corregir los montos de subsidios asignados de conformidad con lo establecido en el Considerando c) de la presente resolución, en el siguiente sentido:
5.1 Reemplázase la nómina de familias seleccionadas que se adjunta, indicada en el resuelvo 2 de la resolución exenta N°196, por la nómina que se adjunta a la presente resolución como Anexo 4.
5.2 Reemplázase el cuadro inserto en el resuelvo 3 de la resolución exenta N°196, por el siguiente:

5.2 Reemplázase resuelvo 4 de la resolución exenta N°195, por el siguiente:
"4. Impútese el monto total de 2.640.908,64 Unidades de Fomento señaladas en el cuadro inserto en el Resuelvo 3 de la presente resolución, a los recursos disponibles para las regiones que se indican, en el Programa de Habitabilidad Rural correspondiente al año 2023. Facúltase a la Seremi que corresponda a rectificar errores de digitación de la presente resolución, pudiendo corregir nombres y números de cédula de identidad de los beneficiarios, número de expediente, y rectificar los montos de subsidios asignados, originados en errores no imputables a las Entidades de Gestión Rural. Si la rectificación del subsidio supone un aumento del monto establecido en la presente resolución, sólo podrá asignarse hasta el valor máximo de subsidio dispuesto para cada tipología, clase de proyecto, y/o subsidio complementario correspondiente, en el Llamado regulado mediante la resolución exenta N°833, citada en el Visto d) de la presente resolución. En tales casos, y previo a la emisión de la resolución de Asignación de recursos, la Seremi deberá contar la validación de la imputación presupuestaria que proceda, otorgada por la División de Política Habitacional."
6. Déjase establecido que las resoluciones exentas (V. y U.) N°833 de 21 de abril de 2023, N°1.584 de 22 de septiembre de 2023, N°2.318 de 28 de diciembre de 2023, y N°195 y N°196, ambas del 2 de febrero de 2024, se mantendrán vigentes en todo aquello que no ha sido modificado por el presente acto administrativo.
Anótese, publíquese en el Diario Oficial y archívese.- Carlos Montes Cisternas, Ministro de Vivienda y Urbanismo.
Lo que transcribo para su conocimiento.- Gabriela Elgueta Poblete, Subsecretaria de Vivienda y Urbanismo.
ANEXO 1
LLAMADO VIVIENDA NUEVA NACIONAL REGULADO POR RE- 833 DE 2023 - NÓMINA POSTULANTES SELECCIONADOS RE1584
PROGRAMA HABITABILIDAD RURAL DS N°10 (V. y U.), DE 2015

ANEXO 2
LLAMADO VIVIENDA NUEVA NACIONAL REGULADO POR RE- 833 DE 2023 - NÓMINA POSTULANTES SELECCIONADOS RE-2318
PROGRAMA HABITABILIDAD RURAL DS N°10 (V. y U.), DE 2015

ANEXO 3
LLAMADO VIVIENDA NUEVA NACIONAL REGULADO POR RE- 833 DE 2023 - NÓMINA POSTULANTES SELECCIONADOS RE-196
PROGRAMA HABITABILIDAD RURAL DS N°10 (V. y U.), DE 2015







ANEXO 4
LLAMADO VIVIENDA NUEVA NACIONAL REGULADO POR RE- 833 DE 2023 - NÓMINA POSTULANTES SELECCIONADOS RE-195
PROGRAMA HABITABILIDAD RURAL DS N°10 (V. y U.), DE 2015




















