FIJA FÓRMULAS TARIFARIAS APLICABLES A LOS SUMINISTROS SUJETOS A PRECIOS REGULADOS QUE SE SEÑALAN, EFECTUADOS POR LAS EMPRESAS CONCESIONARIAS DE DISTRIBUCIÓN QUE SE INDICAN
Núm. 5 T.- Santiago, 31 de mayo de 2024.
Vistos:
1. Lo dispuesto en el decreto ley N° 2.224, de 1978, del Ministerio de Minería, que crea el Ministerio de Energía y la Comisión Nacional de Energía, en adelante e indistintamente "Comisión";
2. Lo dispuesto en el decreto con fuerza de ley N° 4/20.018, de 2006, del Ministerio de Economía, Fomento y Reconstrucción, que fija texto refundido, coordinado y sistematizado del decreto con fuerza de ley N° 1, de Minería, de 1982, Ley General de Servicios Eléctricos, en materia de energía eléctrica, y sus modificaciones posteriores, en adelante e indistintamente "Ley" o "Ley General de Servicios Eléctricos";
3. Lo dispuesto en la ley N° 20.928, que establece mecanismos de equidad en las tarifas de servicios eléctricos;
4. Lo dispuesto en la ley N° 21.194, que rebaja la rentabilidad de las empresas de distribución y perfecciona el proceso tarifario de distribución eléctrica, en adelante "ley N° 21.194";
5. Lo señalado en la ley N° 21.472, que crea un fondo de estabilización de tarifas y establece un nuevo mecanismo de estabilización transitorio de precios de la electricidad para clientes sometidos a regulación de precios, en adelante "ley N° 21.472";
6. Lo dispuesto en la ley N° 21.667, que modifica diversos cuerpos legales, en materia de estabilización tarifaria, en adelante "ley N° 21.667";
7. Lo dispuesto en la ley N° 19.886, de bases sobre contratos administrativos de suministro y prestación de servicios, en adelante "ley N° 19.886";
8. Lo dispuesto en el decreto supremo N° 327, de 1997, del Ministerio de Minería, que fija reglamento de la Ley General de Servicios Eléctricos, en adelante "Reglamento";
9. Lo dispuesto en el decreto supremo N° 11T, de 2016, del Ministerio Energía, que fija fórmulas tarifarias aplicables a los suministros sujetos a precios regulados que se señalan, efectuados por las empresas concesionarias de distribución que se indican, en adelante "decreto N°11T";
10. Lo dispuesto en el decreto N° 13T, de 2017, del Ministerio de Energía, que fija precios de servicios no consistentes en suministros de energía, asociados a la distribución eléctrica, en adelante "decreto N° 13T";
11. Lo dispuesto en el decreto supremo N° 5T, de 2018, del Ministerio de Energía, que fija fórmulas tarifarias aplicables a los suministros sujetos a precios regulados que se señalan en el decreto N° 11T, de 2016, del Ministerio de Energía, de acuerdo a las actualizaciones de los parámetros que se indican, en adelante "decreto 5T";
12. Lo dispuesto en el decreto N° 4, de 2020, del Ministerio de Energía, que otorga a Sociedad de Ingeniería Eléctrica Mataquito Limitada, concesión definitiva de servicio público de distribución de energía eléctrica en la Región de Atacama, provincias de Copiapó y Huasco, comunas Copiapó y Huasco.
13. Lo dispuesto en la resolución exenta N° 24, de 21 de enero de 2020, de la Comisión, que aprueba y comunica Bases Técnicas Preliminares "Para el Cálculo de las Componentes del Valor Agregado de Distribución, Cuadrienio noviembre 2020-2024" y del "Estudio de Costos de los Servicios Asociados al Suministro de Electricidad de Distribución";
14. Lo dispuesto en la resolución exenta N° 805, de 23 de diciembre de 2019, de la Comisión, que fija Áreas Típicas para el cálculo de las componentes del Valor Agregado de Distribución cuadrienio noviembre 2020 - 2024;
15. Lo dispuesto en la resolución exenta N° 40, de 3 de febrero de 2020, de la Comisión, que fija Áreas Típicas para el cálculo de las componentes del Valor Agregado de Distribución cuadrienio noviembre 2020- 2024, y deja sin efecto resolución exenta N° 805, de 23 de diciembre de 2019;
16. Lo dispuesto en la resolución N° 1, de 21 de enero de 2020, de la Comisión, que llama a licitación pública y aprueba bases administrativas y anexos para la contratación del estudio denominado "Estudio para el cálculo de las componentes del Valor Agregado de Distribución, cuadrienio Noviembre 2020-2024" y "Estudio de Costos de Servicios Asociados al suministro de electricidad de distribución".
17. Lo dispuesto en la resolución N° 2, de 18 de marzo de 2020, de la Comisión, que deja sin efecto resolución N° 1, de 21 de enero de 2020, de la Comisión Nacional de Energía y llama a licitación pública y aprueba bases administrativas y anexos para la contratación del estudio denominado "Estudio para el cálculo de las componentes del Valor Agregado de Distribución, cuadrienio Noviembre 2020-2024" y "Estudio de Costos de Servicios Asociados al suministro de electricidad de distribución";
18. Lo dispuesto en la resolución exenta N° 103, de 31 de marzo de 2020, de la Comisión, que aprueba y comunica Bases Técnicas Corregidas para el "Cálculo de las Componentes del Valor Agregado de Distribución, cuatrienio noviembre de 2020-2024" y "Estudio de Costos de los Servicios Asociados al Suministro de Electricidad de Distribución";
19. Lo dispuesto en la resolución exenta N° 178, de 29 de mayo de 2020, de la Comisión, que establece procedimiento para la constitución y funcionamiento del Comité del Estudio de Costos establecido en el inciso 13° del artículo 183° bis de la Ley General de Servicios Eléctricos, en adelante "Comité del Estudio de Costos";
20. Lo dispuesto en el Dictamen N° 03-2020, del Honorable Panel de Expertos, de 1 de junio de 2020, que resuelve discrepancias respecto de las Bases Técnicas para el Cálculo de las Componentes del Valor Agregado de Distribución Cuatrienio 2020-2024 y de Estudio de Costos de los Servicios Asociados al Suministro de Electricidad de Distribución;
21. Lo dispuesto en la resolución exenta N° 195, de 11 de junio de 2020, de la Comisión, que aprueba Bases Técnicas Definitivas para el "Cálculo de las Componentes del Valor Agregado de Distribución, Cuatrienio noviembre 2020-2024" y del "Estudio de Costos de los Servicios Asociados al Suministro de Electricidad de Distribución";
22. Lo dispuesto en la resolución exenta N° 197, de 11 de junio de 2020, que tiene por formalizadas las bases técnicas y administrativas definitivas, de conformidad a lo dispuesto en artículo 183° bis, inciso 12°, de la Ley General de Servicios Eléctricos;
23. Lo dispuesto en la resolución exenta N° 256, de 17 de julio de 2020, de la Comisión, que constituye Comité del Estudio de Costos establecido en el artículo 183 bis de la Ley General de Servicios Eléctricos, y sus posteriores modificaciones;
24. Lo dispuesto en la resolución N° 3, de 27 de agosto de 2020, de la Comisión, que aprueba Contrato de Prestación de Servicios para elaboración del Estudio denominado "Estudio para el cálculo de las componentes del Valor Agregado de Distribución, cuadrienio noviembre 2020-2024" y "Estudio de Costos de Servicios Asociados al suministro de electricidad de distribución";
25. Lo dispuesto en el decreto N° 59, de 2021, del Ministerio de Energía, que otorga a Distribuidora Eléctrica S.A.C., concesión definitiva de servicio público de distribución de energía eléctrica en la Región de Arica y Parinacota, provincia de Arica, comunas de Arica y Camarones.
26. Lo dispuesto en la resolución exenta N° 4, de 7 de enero de 2021, de la Comisión, que prorroga los plazos asociados al "Estudio para el cálculo de las componentes del Valor Agregado de Distribución, cuadrienio noviembre 2020-2024" y "Estudio de Costos de Servicios Asociados al suministro de electricidad de distribución" que se señalan;
27. Lo dispuesto en la resolución exenta N° 105, de 13 de abril de 2021, de la Comisión, que prorroga los plazos asociados al "Estudio para el cálculo de las componentes del Valor Agregado de Distribución, cuadrienio noviembre 2020-2024" y "Estudio de Costos de Servicios Asociados al suministro de electricidad de distribución" que se señalan;
28. Lo dispuesto en la resolución exenta N° 167, de 27 de mayo de 2021, de la Comisión, que prorroga plazo entrega Informe Final VAD, asociado al "Estudio para el cálculo de las componentes del Valor Agregado de Distribución, cuadrienio noviembre 2020-2024" y "Estudio de Costos de Servicios Asociados al suministro de electricidad de distribución" que se señalan;
29. Lo dispuesto en la resolución exenta N° 423, de 20 de octubre de 2021, de la Comisión, que prorroga el plazo de entrega del Informe Final Definitivo del "Estudio para el cálculo de las componentes del Valor Agregado de Distribución, cuadrienio noviembre 2020-2024" y "Estudio de Costos de Servicios Asociados al suministro de electricidad de distribución" que se señalan;
30. Lo dispuesto en la resolución exenta N° 8, de 5 de enero de 2022, de la Comisión, que establece plazo de entrega del Informe Final Definitivo (segunda versión) del "Estudio para el cálculo de las componentes del Valor Agregado de Distribución, cuadrienio noviembre 2020-2024" y "Estudio de Costos de Servicios Asociados al suministro de electricidad de distribución" que se señalan;
31. Lo dispuesto en la resolución exenta N° 62, de 28 de enero de 2022, de la Comisión, que prorroga plazo establecido para la entrega del Informe Final Definitivo (segunda versión) del "Estudio para el cálculo de las componentes del Valor Agregado de Distribución, cuadrienio Noviembre 2020 - 2024" y "Estudio de Costos de Servicios Asociados al suministro de electricidad de distribución" que se señalan;
32. Lo dispuesto en la resolución exenta N° 319, de 2 de mayo de 2022, de la Comisión, que establece plazo de entrega del Informe Final Definitivo (tercera versión) del "Estudio para el cálculo de las componentes del Valor Agregado de Distribución, cuadrienio noviembre 2020-2024" y "Estudio de Costos de Servicios Asociados al suministro de electricidad de distribución" que se señalan;
33. Lo señalado en el acta de la vigésimo cuarta sesión extraordinaria del Comité del Estudio de Costos, de 2 de junio de 2022;
34. Las observaciones efectuadas por las empresas y los participantes al Estudio de Costos al que hace referencia el artículo 183 bis de la Ley;
35. Lo dispuesto en la resolución exenta N° 908, de 23 de diciembre de 2022, que aprueba Informe Técnico del Cálculo de las componentes del Valor Agregado de Distribución, cuadrienio noviembre 2020- noviembre 2024;
36. Lo resuelto por el Honorable Panel de Expertos mediante dictámenes de las discrepancias N° 1 a la N° 25, todos de 25 de abril de 2023, sobre el Informe Técnico del Cálculo de las Componentes del Valor Agregado de Distribución, cuadrienio noviembre 2020-2024;
37. Lo dispuesto en la resolución exenta N° 465, de 5 de octubre de 2023, de la Comisión, que aprueba Informe Técnico Definitivo del cálculo de las componentes del Valor Agregado de Distribución, cuadrienio noviembre 2020-noviembre 2024;
38. Lo dispuesto en la resolución exenta N° 574, de 21 de noviembre de 2023, de la Comisión, que aprueba Informe Técnico Preliminar de propuesta de fórmulas tarifarias para concesionarias de servicio público de distribución, cuadrienio noviembre 2020-noviembre 2024;
39. Las observaciones presentadas por Compañía Eléctrica del Litoral S.A.; Compañía General de Electricidad S.A.; Empresa Eléctrica de Magallanes S.A.; Enel Colina S.A.; Enel Distribución Chile S.A.; Grupo Saesa; y Fenacopel al informe técnico definitivo indicado en el numeral anterior;
40. Lo dispuesto en la resolución exenta N° 46, de 9 de febrero de 2024, de la Comisión, que aprueba Informe Técnico Definitivo de propuesta de fórmulas tarifarias para concesionarias de servicio público de distribución, cuadrienio noviembre 2020-noviembre 2024;
41. Lo dispuesto en la resolución exenta N° 164, de 10 de abril de 2024, de la Comisión, que rectifica Informe Técnico Definitivo de propuesta de fórmulas tarifarias para concesionarias de servicio público de distribución, cuadrienio noviembre 2020-noviembre 2024, aprobado mediante resolución exenta N° 46 de la Comisión Nacional de Energía, de 9 de febrero de 2024, y aprueba texto refundido;
42. Lo dispuesto en la resolución exenta N° 270, de 29 de mayo de 2024, de la Comisión, que rectifica Informe Técnico Definitivo de propuesta de fórmulas tarifarias para concesionarias de servicio público de distribución, cuadrienio noviembre 2020-noviembre 2024, aprobado mediante resolución exenta N° 46 de la Comisión Nacional de Energía, de 9 de febrero de 2024, rectificado mediante resolución exenta N° 164, de 10 de abril de 2024, y aprueba texto refundido;
43. Lo dispuesto en la resolución exenta N° 271, de 29 de mayo de 2024, de la Comisión, que aprueba informe de determinación de ajustes y recargos a que se refiere el inciso sexto del artículo cuarto transitorio de la ley N° 21.667;
44. Lo dispuesto en la resolución N° 7, de 2019, de la Contraloría General de la República; y
Considerando:
1. Que, de conformidad a lo dispuesto en los artículos 181° y siguientes de la Ley, al Ministerio de Energía le corresponde fijar las fórmulas tarifarias aplicables a los suministros sujetos a precios regulados efectuados por las empresas concesionarias de servicio público de distribución, mediante decreto expedido bajo la fórmula "por orden del Presidente de la República", de acuerdo a lo establecido en el artículo 151° de la Ley.
2. Que, la ley N° 21.194, que rebaja la rentabilidad de las empresas de distribución y perfecciona el proceso tarifario de distribución eléctrica, publicada en el Diario Oficial el 21 de diciembre de 2019, introdujo una serie de modificaciones a la Ley General de Servicios Eléctricos que alteran las disposiciones del procedimiento administrativo para la determinación del valor agregado por concepto de costos de distribución y las fórmulas tarifarias para las concesionarias de servicio público de distribución.
3. Que, el artículo primero transitorio de la ley N° 21.194 estableció que lo dispuesto en dicha normativa se aplicará al proceso de determinación de tarifas de distribución correspondiente al cuadrienio 2020-2024 y, también, al proceso de fijación de precios de servicios no consistentes en suministros de energía asociados a la distribución de energía eléctrica, en lo que fuera pertinente.
4. Que, por su parte, el artículo segundo transitorio de la ley N° 21.194 indicó que para el proceso de determinación de tarifas de distribución correspondiente al cuadrienio 2020-2024, la Comisión podrá utilizar estudios de determinación de tasa de actualización contratados por ésta, y no serán exigibles las disposiciones establecidas en el inciso séptimo del artículo 182° bis de la Ley.
5. Que, de acuerdo al artículo 183° de la Ley, las componentes de los Valores Agregados de Distribución indicadas en el artículo 182° de dicho cuerpo normativo, se calcularán por áreas típicas de distribución, las que deberán ser fijadas por la Comisión, y cuyas componentes son calculadas sobre la base de un estudio de costos encargado a una empresa consultora por ella, en conformidad al artículo 183 bis de la Ley.
6. Que, la ley N° 21.194 modificó el artículo 183° de la Ley General de Servicios Eléctricos, incorporando un periodo de consulta pública respecto de la fijación de Áreas Típicas de Distribución, de acuerdo con el nuevo procedimiento establecido en el artículo 183 bis de la Ley.
7. Que, el artículo cuarto transitorio de la ley N° 21.194 dispuso, respecto del periodo de consulta pública referido en el considerando anterior, que para el proceso de determinación de tarifas de distribución correspondiente al cuadrienio 2020-2024, y por única vez, no serán aplicables las disposiciones establecidas en el artículo 183 bis en relación a la constitución del registro de participantes, entendiéndose como tales a las asociaciones de consumidores a que se refiere la ley N° 19.496, que establece normas sobre protección de los derechos de los consumidores, y las empresas concesionarias de distribución eléctrica.
8. Que, el artículo quinto transitorio de la ley N° 21.194 dispuso que, para el proceso de determinación de tarifas de distribución correspondiente al cuadrienio 2020-2024, la Comisión deberá definir, al menos, cuatro áreas típicas para las cooperativas de distribución eléctrica, en las cuales se considerarán como empresas de referencia a cooperativas que presten el servicio público de distribución para el estudio de costos de la respectiva área típica.
9. Que, en virtud de lo expuesto en los considerandos precedentes, la Comisión, mediante la resolución exenta N° 805, de 23 de diciembre de 2019, fijó áreas típicas para el cálculo del valor agregado de distribución cuadrienio noviembre 2020 – noviembre 2024, e hizo el llamado a consulta pública, dando inicio al procedimiento administrativo para la determinación del valor agregado por concepto de costos de distribución y las fórmulas tarifarias para las concesionarias de servicio público de distribución.
10. Que, atendidas las observaciones efectuadas por las empresas distribuidoras en el antedicho procedimiento de consulta pública, la Comisión a través de la dictación de la resolución exenta N° 40, de 3 de febrero de 2020, dejó sin efecto la resolución exenta N° 805, de 23 de diciembre de 2019, y fijó las Áreas Típicas para el cálculo de las componentes del Valor Agregado de Distribución cuadrienio noviembre 2020 – noviembre 2024, y dejó sin efecto la resolución referida en el considerando anterior.
11. Que, el artículo tercero transitorio de la ley N° 21.194 dispuso que las bases técnicas y administrativas preliminares a que se refiere el artículo 183 bis de la Ley General de Servicios Eléctricos, deberán comunicarse dentro de los veinte días hábiles siguientes a la publicación en el Diario Oficial de dicha ley.
12. Que, cumpliendo el plazo señalado en el considerando precedente, la Comisión a través de la resolución exenta N° 24, de 21 de enero de 2020, aprobó y comunicó por correo electrónico a las empresas concesionarias de distribución y a las asociaciones de consumidores a que se refiere la ley N° 19.496 las Bases Técnicas Preliminares "Para el Cálculo de las Componentes del Valor Agregado de Distribución, Cuadrienio noviembre 2020-2024" y del "Estudio de Costos de los Servicios Asociados al Suministro de Electricidad de Distribución". Con la misma fecha, la Comisión mediante resolución N° 1, efectuó el llamado a licitación pública y aprobó bases técnicas, administrativas y anexos para la contratación del estudio denominado "Estudio para el cálculo de las componentes del Valor Agregado de Distribución, cuadrienio Noviembre 2020-2024" y "Estudio de Costos de Servicios Asociados al suministro de electricidad de distribución".
13. Que, posteriormente, la Comisión a través de la resolución N° 2, de 18 de marzo de 2020, dejó sin efecto la recién citada resolución N° 1, de 21 de enero de 2020, y efectuó el llamado a licitación pública y aprobó bases administrativas y anexos para la contratación del estudio denominado "Estudio para el cálculo de las componentes del Valor Agregado de Distribución, cuadrienio Noviembre 2020-2024" y "Estudio de Costos de Servicios Asociados al suministro de electricidad de distribución". La anotada resolución fue tomada de razón por la Contraloría General de la República con fecha 5 de junio de 2020.
14. Que, a través de la resolución exenta N° 103, de 31 de marzo de 2020, la Comisión aprobó y comunicó a las empresas concesionarias de distribución y a las asociaciones de consumidores a que se refiere la ley N° 19.496, las Bases Técnicas Corregidas para el "Cálculo de las Componentes del Valor Agregado de Distribución, cuatrienio noviembre de 2020-2024" y "Estudio de Costos de los Servicios Asociados al Suministro de Electricidad de Distribución".
15. Que, posteriormente, ciertas empresas participantes y usuarios e instituciones interesadas presentaron ante el H. Panel de Expertos sus discrepancias respecto de las bases citadas en el considerando precedente.
16. Que, de acuerdo con las disposiciones del artículo sexto transitorio de la ley N° 21.194, el H. Panel de Expertos, a través del Dictamen N° 03-2020, de 1 de junio de 2020, resolvió las discrepancias respecto de las Bases Técnicas para el Cálculo de las Componentes del Valor Agregado de Distribución Cuatrienio 2020-2024 y de Estudio de Costos de los Servicios Asociados al Suministro de Electricidad de Distribución.
17. Que, la Comisión, mediante la resolución exenta N° 195, de 11 de junio de 2020, aprobó las Bases Técnicas Definitivas para el "Cálculo de las Componentes del Valor Agregado de Distribución, Cuatrienio noviembre 2020-2024" y del "Estudio de Costos de los Servicios Asociados al Suministro de Electricidad de Distribución".
18. Que, de conformidad a lo dispuesto en el inciso 12° del artículo 183° bis de la Ley General de Servicios Eléctricos, a través de resolución exenta N° 197, de 11 de junio de 2020, la Comisión tuvo por formalizadas las bases técnicas y las bases administrativas definitivas para la contratación del estudio de "Cálculo de las Componentes del Valor Agregado de Distribución, cuatrienio noviembre de 2020-2024" y "Estudio de Costos de los Servicios Asociados al Suministro de Electricidad de Distribución".
19. Que, mediante la resolución exenta N° 310, de 17 de agosto de 2020, la Comisión adjudicó a la empresa Inecon Ingenieros y Economistas Consultores S.A., RUT N° 84.705.100-0, en adelante el "Consultor", la licitación pública ID 610-10-LR20, para la elaboración del denominado "Estudio para el cálculo de las componentes del Valor Agregado de Distribución, cuadrienio Noviembre 2020-2024" y "Estudio de Costos de Servicios Asociados al suministro de electricidad de distribución". El respectivo contrato suscrito entre la Comisión y el Consultor fue aprobado a través de la resolución N° 3, de 27 de agosto de 2020, de la Comisión, acto administrativo que fue tomado de razón por la Contraloría General de la República el 17 de septiembre de 2020.
20. Que, durante el desarrollo del estudio, la Comisión mediante las resoluciones exentas señaladas en los numerales 26 a 32 de los vistos del presente acto administrativo, prorrogó y estableció nuevos plazos de entrega de los informes del Consultor, conforme se detalla en las respectivas resoluciones.
21. Que, el informe final definitivo del estudio fue entregado por el Consultor a la Comisión con fecha 3 de mayo de 2022, habiendo sido previamente aprobado con fecha 2 de junio de 2022 por el Comité del Estudio de Costos.
22. Que, el numeral 4 del artículo sexto transitorio de la ley N° 21.194 establece que, dentro de los tres días desde que el Comité del Estudio de Costos otorgue la conformidad al Estudio, la Comisión lo comunicará en su página web y en un medio de amplio acceso, y los participantes tendrán un plazo de quince días, contado desde dicha publicación, para efectuar observaciones al estudio. En razón de la citada disposición, con fecha 7 de junio de 2022 se publicó el Estudio en la página web de la Comisión y en el diario El Mercurio.
23. Que, las empresas y los participantes efectuaron sus observaciones al Estudio en el plazo establecido por el numeral 4 del artículo sexto transitorio de la ley N° 21.194.
24. Que, mediante la resolución exenta N° 908, de 23 de diciembre de 2022, que aprueba Informe Técnico del Cálculo de las componentes del Valor Agregado de Distribución, cuadrienio noviembre 2020 – noviembre 2024, la Comisión aprobó y comunicó dicho informe técnico elaborado conforme al procedimiento establecido en las disposiciones transitorias de la ley N° 21.194 y en la Ley.
25. Que, de conformidad con lo establecido en las disposiciones transitorias de la ley N° 21.194, las empresas Chilquinta Energía S.A., Compañía General de Electricidad S.A., Empresa Eléctrica de Magallanes S.A., Enel Distribución Chile S.A., Empresa Eléctrica de la Frontera S.A., Sociedad Austral de Electricidad S.A., Empresa Eléctrica de Aisén S.A., Compañía Eléctrica de Osorno S.A., Empresa Eléctrica de Puente Alto S.A., Cooperativa Rural Eléctrica de Río Bueno Limitada, Cooperativa Eléctrica de Curicó Ltda., Cooperativa de Consumo de Energía Eléctrica Chillán Ltda., Cooperativa Regional Eléctrica Llanquihue y Cooperativa Eléctrica Charrúa Ltda., presentaron discrepancias ante el H. Panel de Expertos respecto del informe técnico individualizado en el considerando precedente.
26. Que, el H. Panel de Expertos, mediante dictámenes individualizados en el numeral 36 de los vistos del presente acto administrativo, todos de fecha 25 de abril de 2023, se pronunció respecto a las discrepancias señaladas en el considerando anterior.
27. Que, atendido lo dispuesto en el inciso vigésimo tercero del artículo 183° bis de la Ley, la Comisión mediante resolución exenta N° 465, de fecha 5 de octubre de 2023, aprobó el Informe Técnico Definitivo del Cálculo de las componentes del Valor Agregado de Distribución, cuadrienio noviembre 2020- noviembre 2024, incorporando e implementando lo resuelto por el H. Panel de Expertos.
28. Que, el artículo 185° de la Ley establece en su inciso primero que, con los valores agregados de distribución resultantes del proceso regulado en el artículo 183° bis de la misma ley, y los precios de nudo que correspondan, la Comisión estructurará un conjunto de tarifas básicas preliminares, de acuerdo con el criterio expresado en el artículo 181° de la Ley.
29. Que, en razón de lo indicado en el considerando precedente, la Comisión dictó la resolución exenta N° 574, de 21 de noviembre de 2023, que aprobó el Informe Técnico Preliminar de propuesta de fórmulas tarifarias para concesionarias de servicio público de distribución, cuadrienio noviembre 2020 - noviembre 2024.
30. Que, el Informe Técnico Preliminar indicado en el considerando anterior fue publicado en el Diario Oficial, con fecha 29 de noviembre de 2023, en el diario Las Últimas Noticias de la misma fecha, y en el sitio web institucional de la Comisión, para efectos de que, como dispone el inciso segundo del artículo 185° de la Ley, todos los actores de la sociedad civil y empresas inscritas en el registro a que se refiere el artículo 183° bis pudieran presentar sus observaciones, dentro del plazo de diez días, sin perjuicio de lo dispuesto por el artículo cuarto transitorio de la ley N° 21.194.
31. Que, las empresas Compañía Eléctrica del Litoral S.A.; Compañía General de Electricidad S.A.; Empresa Eléctrica de Magallanes S.A.; Enel Colina S.A.; Enel Distribución Chile S.A.; Grupo Saesa; y la Federación Nacional de Cooperativas Eléctricas, presentaron observaciones al Informe Técnico Preliminar referido en el considerando 29 anterior.
32. Que, la Comisión, mediante resolución exenta N° 46, de 9 de febrero de 2024, aprobó el Informe Técnico Definitivo de propuesta de fórmulas tarifarias para concesionarias de servicio público de distribución, cuadrienio noviembre 2020 - noviembre 2024, abordando además la respuesta a las observaciones indicadas en el considerando precedente.
33. Que, la Comisión, mediante resolución exenta N° 164, de 10 de abril de 2024, rectificó el Informe Técnico referido en el considerando anterior, y aprobó el nuevo texto refundido de dicho documento, a efectos de corregir los datos correspondientes a Empresa Eléctrica de la Frontera S.A. y Cooperativa Eléctrica Curicó Ltda., según lo comunicado por dichas empresas a la Comisión.
34. Que, la Comisión, mediante resolución exenta N° 270, de 29 de mayo de 2024, rectificó nuevamente el Informe Técnico referido en los considerandos anteriores, y aprobó el nuevo texto refundido de dicho documento, a efectos de incorporar las observaciones al documento planteadas por esta Secretaría de Estado a la Comisión.
35. Que, de acuerdo con lo dispuesto en el inciso primero del artículo decimotercero transitorio de la ley N° 21.194, los niveles de precios asociados al valor agregado por concepto de costos de distribución que estén siendo aplicados o las tarifas inferiores a las tarifas máximas que se estén facturando, ambas a la fecha de publicación de dicha ley, permanecerán constantes en pesos hasta el término de su vigencia.
36. Que, en relación con lo anterior, el inciso sexto del artículo cuarto transitorio de la ley N° 21.667 establece que, sin perjuicio de las reglas señaladas en los incisos anteriores de dicha disposición, en caso de que se publique en el Diario Oficial el decreto que fija fórmulas tarifarias en conformidad al artículo 190° de la Ley General de Servicios Eléctricos correspondiente al cuadrienio 2020-2024, se utilizarán las fórmulas que determine aquel acto administrativo, aplicándose las reliquidaciones que correspondan conforme al artículo 192° del mismo cuerpo legal. Asimismo, establece dicha disposición que excepcionalmente, los ajustes y recargos a que dé origen el mecanismo a que se refiere el inciso segundo del artículo 191° de la Ley General de Servicios Eléctricos serán fijados en aquel acto administrativo, previo informe de la Comisión.
37. Que, en el mismo sentido, el inciso séptimo del artículo cuarto transitorio de la ley N° 21.667 determinó que los ajustes y recargos referidos en el considerando anterior se deberán aplicar a partir de la publicación del presente decreto en el Diario Oficial y se mantendrán vigentes hasta la publicación en el Diario Oficial del decreto a que se refiere el inciso tercero del artículo 191° de la Ley General de Servicios Eléctricos. Además, la disposición establece que dichos ajustes y recargos deberán ser igualmente considerados en el cálculo de las reliquidaciones a las que se refiere el artículo 192° de la Ley General de Servicios Eléctricos, para las tarifas correspondientes al cuadrienio 2020-2024.
38. Que, a efectos de dar cumplimiento a la disposición transitoria de la ley N° 21.667 referida en los considerandos anteriores, la Comisión, a través de la resolución exenta N° 271, de 29 de mayo de 2024, aprobó el informe de determinación de ajustes y recargos a que se refiere el inciso sexto del artículo cuarto transitorio de la ley N° 21.667.
39. Que, de acuerdo a lo indicado en el inciso segundo del artículo séptimo transitorio de la ley N° 21.667, al decreto que fija el Valor Agregado de Distribución para el periodo 2020-2024, se le aplicarán las mismas reglas señaladas en el inciso primero de la disposición citada. Por su parte, el referido inciso primero faculta a que los decretos de precio nudo promedio a que se refiere el artículo 158° de la Ley General de Servicios Eléctricos dictados durante la vigencia de las disposiciones de la ley N° 21.472, podrán entrar en vigencia sin esperar su total tramitación por razones impostergables de buen servicio, indicando tal circunstancia en el decreto respectivo.
40. Que, en dicho contexto, y de acuerdo a lo dispuesto en el numeral 3 del artículo sexto transitorio de la ley N° 21.194, el estudio de costos, a que se refieren los artículos 183° y 183° bis de la Ley, debía ser ejecutado en el plazo máximo de 100 días a partir de su adjudicación. Ahora bien, en la práctica dicho plazo fue ampliamente excedido, según lo consignado en el considerando 20, lo que se debió a una serie de prórrogas de plazo otorgadas por la Comisión al Consultor para la entrega del informe final. De esta forma, los plazos originales del proceso tarifario respectivo se vieron retrasados en, a lo menos dos años, por lo que resulta imperioso que la actualización tarifaria se verifique prontamente, antes del término de vigencia de las fórmulas tarifarias que se fijan en el presente acto.
41. Que, en consecuencia, esta Secretaría de Estado utilizará la facultad dispuesta en el artículo séptimo transitorio de la ley N° 21.667, por lo que el presente decreto entrará en vigencia sin esperar su total tramitación, por razones impostergables de buen servicio, de forma que deberá publicarse en el Diario Oficial una vez remitido a la Contraloría General de la República.
42. Que, de acuerdo a lo establecido en el artículo 187° de la Ley General de Servicios Eléctricos, las fórmulas tarifarias que se fijan en el presente decreto tendrán un período de validez de cuatro años, que corresponde al periodo noviembre de 2020 a noviembre de 2024.
Decreto:
Artículo primero: Fíjanse, para el cuadrienio noviembre 2020 – noviembre 2024, las fórmulas tarifarias aplicables a los suministros de precio regulado que se señalan, efectuados por las empresas concesionarias de distribución que se indican.
1. EMPRESAS CONCESIONARIAS DE DISTRIBUCIÓN
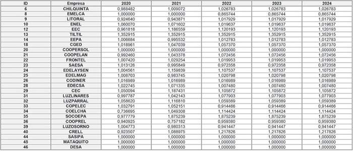
1.1 Nómina de empresas concesionarias de distribución *

* Empresas con calidad de concesionarias de servicio público de distribución al 31 de diciembre de 2019.
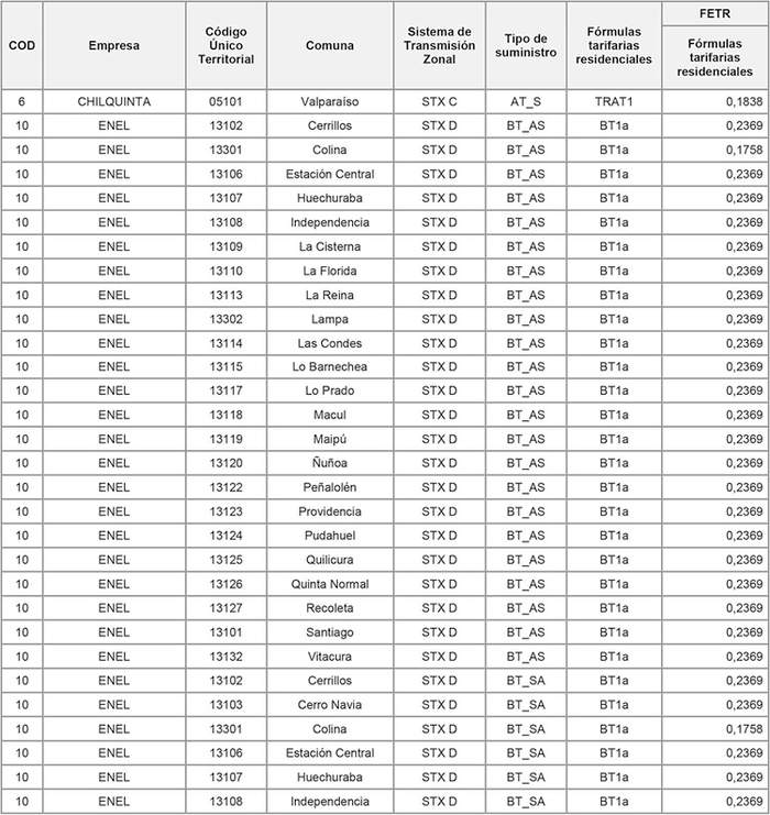
1.2 Clasificación de áreas típicas de distribución
Los usuarios sometidos a regulación de precios, en adelante e indistintamente "clientes" o "consumidores", que a la fecha de entrada en vigencia del presente decreto se encuentren ubicados en zonas de concesión de las empresas que se indican, estarán afectos a los niveles tarifarios dados por la clasificación de área típica de distribución correspondiente a la empresa que le otorga el suministro, y conforme a las estructuras tarifarias que se explicitan más adelante.
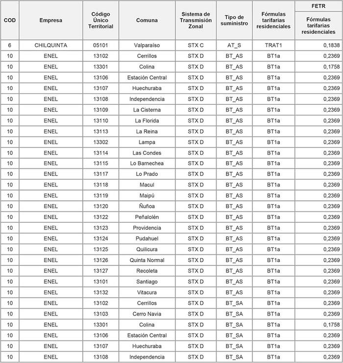
La clasificación de área típica de distribución correspondiente a cada empresa es la siguiente:

* Cabe señalar que las empresas Sociedad de Ingeniería Eléctrica Mataquito Ltda. ("MATAQUITO") y Distribuidora Eléctrica S.A.C. ("DESA"), obtuvieron su calidad de concesionarias de servicio público de distribución mediante los decretos Supremos N° 4, de 2020 y N° 59, de 2021, ambos del Ministerio de Energía, respectivamente, con posterioridad al proceso de fijación de áreas típicas de distribución a que se refiere el artículo 183° de la Ley. En dichos decretos, y de acuerdo con el artículo 311 del decreto N° 327, de 1997, del Ministerio de Minería, que fija reglamento de la Ley General de Servicios Eléctricos, se establecieron las condiciones tarifarias que regirían a esas empresas hasta la próxima fijación normal de tarifas de distribución.
Ahora bien, de conformidad con lo establecido en el artículo 225 letra m) de la LGSE, y en consistencia con la metodología definida en la resolución exenta CNE N° 40, de 3 de febrero de 2020, que fija Áreas Típicas para el cálculo de las componentes del Valor Agregado de Distribución cuadrienio noviembre 2020 – noviembre 2024, se ha determinado que, para efectos de la presente fijación tarifaria, estas empresas formarán parte del Área Típica N° 9 y del Área Típica N°12, respectivamente.
2. CLIENTES CON SUMINISTROS DE PRECIO REGULADO
2.1 Suministros sujetos a regulación de precios
Las fórmulas tarifarias que se fijan en el presente decreto se aplicarán a los siguientes suministros de energía eléctrica, indicados en los numerales 1 y 2 del artículo 147° de la Ley, con las excepciones que indica el inciso tercero del mismo artículo del referido cuerpo legal:
1. Los suministros a usuarios finales cuya potencia conectada es inferior o igual a 5.000 kilowatts, ubicados en zonas de concesión de servicio público de distribución o que se conecten mediante líneas de su propiedad o de terceros a las instalaciones de distribución de la respectiva concesionaria;
2. Los suministros a usuarios finales de potencia conectada inferior o igual a 5.000 kilowatts, efectuados desde instalaciones de generación o transporte de una empresa eléctrica, en sistemas eléctricos de tamaño superior a 1.500 kilowatts en capacidad instalada de generación;
A los suministros indicados en el punto 2 anterior, se les aplicarán las fórmulas tarifarias correspondientes al sector de distribución que se encuentre geográficamente más próximo al punto de suministro en las condiciones que se establecen en el presente decreto.
2.2 Elección de opciones tarifarias
Los clientes podrán elegir libremente cualquiera de las opciones de tarifas que se describen en el numeral 3 siguiente, con las limitaciones y condiciones de aplicación establecidas en cada caso y dentro del nivel de tensión que les corresponda.
Las empresas concesionarias de servicio público de distribución, en adelante e indistintamente "la(s) empresa(s)" o "la(s) concesionaria(s)", estarán obligadas a aceptar la opción que los clientes elijan. Salvo acuerdo con las concesionarias, la opción tarifaria contratada por el cliente regirá por 12 meses.
Sin perjuicio de lo anterior, cada empresa podrá ofrecer opciones tarifarias adicionales, en adelante tarifas flexibles reguladas ("TFR"), bajo las condiciones siguientes:
. Las características y condiciones de aplicación de las TFR deberán estar permanentemente publicadas tanto en oficinas comerciales como en el sitio de dominio electrónico de la empresa, sin que esas características o condiciones puedan significar discriminación alguna, sin perjuicio de la diferenciación por perfiles de consumos asociados a comportamientos horarios que pudiesen realizarse, debiendo dichas TFR estar disponibles para cualquier cliente que, cumpliendo las exigencias técnicas que para cada caso se establezcan, las solicite y acepte someterse a las limitaciones y condiciones de aplicación de las mismas.
. Cada 12 meses de vigencia de las TFR, la empresa deberá verificar e informar a cada cliente que se encuentre acogido a una TFR, a través de la boleta o factura siguiente o bien, mediante comunicación independiente que deberá entregar junto a dicha boleta o factura, la comparación entre la facturación de los últimos 12 meses con la TFR y la que el cliente hubiese percibido con la opción tarifaria de referencia, para el mismo consumo. Si se verificare que la facturación con TFR es superior a la de la opción tarifaria de referencia del mismo periodo, a partir del mes siguiente, la empresa deberá facturar los consumos del cliente con la opción tarifaria de referencia, a menos que expresamente este último le señale lo contrario. Por "opción tarifaria de referencia" se entenderá la tarifa que tenía el cliente al momento de optar por una TFR, cuando se trate de un cliente preexistente, o bien, a la opción tarifaria de las indicadas en el numeral 3 siguiente que signifique la menor facturación posible durante el año inmediatamente anterior, cuando se trate de un cliente que fue inicialmente incorporado como tal con una opción TFR. Para la determinación de la menor facturación posible, deberá considerarse la tecnología de medición de la TFR contratada y utilizarse los registros de consumo medidos bajo la opción TFR.
. En cualquier momento el cliente podrá elegir una nueva tarifa, ya sea TFR o de aquellas establecidas en el numeral 3 siguiente. Con excepción de los pagos remanentes por concepto de potencia que el cliente hubiese pactado con la empresa, el término de un acuerdo o convenio de TFR no deberá significar ningún tipo de costo o aporte de responsabilidad del cliente, ni podrá imponerse a este último una formalidad o condición para dicho término que sea más gravoso que las formalidades o condiciones que se le exigieron al momento de la elección de la TFR a la que está dando término.
A contar de la fecha de publicación del presente decreto, la concesionaria podrá dejar de ofrecer una TFR, en cuyo caso deberá dar aviso a los clientes acogidos a dicha tarifa al menos doce meses antes, quienes podrán optar a otra TFR o a la tarifa regulada que libremente escojan. En caso de que un cliente no manifieste su opción, se le aplicará la opción tarifaria de referencia asociada a la TFR que se deja de ofrecer.
Sin perjuicio de lo anterior, se mantendrán las reglas de facturación de una TFR para aquellos clientes que hayan contratado dicha opción tarifaria antes de la publicación del presente decreto, de acuerdo con el inciso cuarto del numeral 2.2. del artículo primero del decreto N° 11T.
Para el caso de que alguna TFR deje de ofrecerse, sus características y condiciones de aplicación deberán permanecer publicadas tanto en las oficinas comerciales como en el sitio de dominio electrónico de la empresa mientras existan clientes facturados con dicha tarifa, señalando expresamente la fecha a partir de la cual dicha opción dejó de encontrarse disponible.
2.3 Clientes en alta tensión y baja tensión
Son clientes en alta tensión aquellos que están conectados con su empalme a líneas cuya tensión es superior a 400 volts.
Son clientes en baja tensión aquellos que están conectados con su empalme a líneas cuya tensión es igual o inferior a 400 volts.
3. OPCIONES TARIFARIAS
Los clientes podrán elegir libremente una de las siguientes opciones tarifarias, con las limitaciones y condiciones de aplicación establecidas en cada caso y dentro del nivel de tensión que les corresponda.
3.1 Tarifas aplicables a usuarios residenciales
Para efectos de la aplicación del mecanismo establecido en los incisos segundo y tercero del artículo 191° de la Ley, se entenderá por usuario residencial aquel respecto del cual se cumpla alguna de las siguientes condiciones:
. Que cuente con potencia conectada inferior o igual a 10 kW o con un limitador de potencia para cumplir dicha condición.
. Que su suministro esté destinado para el abastecimiento eléctrico de su domicilio o residencia y cuyo documento de cobro emitido por la respectiva empresa distribuidora se encuentre a nombre de una persona natural o suce sión hereditaria.
De conformidad a lo antes señalado, las tarifas destinadas a usuarios residenciales son las que se indican a continuación:
3.1.1 Tarifa BT1a
Opción de tarifa simple, en baja tensión, para clientes residenciales con al menos medición de energía que cuenten con potencia conectada inferior o igual a 10 kW o con un limitador de potencia para cumplir dicha condición. Aplicable a los clientes abastecidos por concesionarias cuya demanda máxima anual de consumos en esta opción (BT1a) se produce en meses en que se han definido horas de punta y a clientes abastecidos por empresas cuya demanda máxima anual de consumos en esta opción (BT1a) se produce en meses en que no se hayan definido horas de punta y cuyo Factor de Clasificación, calculado según se indica en el numeral 5.3, sea igual o inferior a dos coma cinco.
3.1.2 Tarifa BT1b
Opción de tarifa simple, en baja tensión, para clientes residenciales con al menos medición de energía que cuenten con potencia conectada inferior o igual a 10 kW o con un limitador de potencia para cumplir dicha condición. Aplicable a los clientes residenciales abastecidos por concesionarias cuya demanda máxima anual de consumos en esta opción (BT1b) se produce en meses en que no se hayan definido horas de punta y cuyo Factor de Clasificación, calculado según se indica en el numeral 5.3, sea superior a dos coma cinco.
3.1.3 Tarifa TRBT
Opción de tarifa en baja tensión, para clientes residenciales con unidad de medida que es parte del Sistema de Medición, Monitoreo y Control ("SMMC"), definido en la Norma Técnica de Calidad de Servicio para Sistemas de Distribución y en el Anexo Técnico Sistemas de Medición, Monitoreo y Control.
Se entenderá por demanda máxima de potencia leída del mes, el más alto valor de las demandas integradas en períodos sucesivos de 15 minutos.
La demanda máxima de potencia de cada hora corresponderá al máximo valor de los registros que se encuentren dentro de ésta.
Esta opción de tarifa deberá estar disponible a contar de la fecha de publicación en el Diario Oficial del decreto que fija precios de servicios no consistentes en suministros de energía, asociados a la distribución eléctrica, correspondiente al presente proceso tarifario.
3.1.4 Tarifa TRBT2
Opción de tarifa en baja tensión para clientes residenciales con al menos medición de energía, de la demanda máxima de potencia leída en horas de punta y demanda máxima de potencia suministrada con resolución cada 15 minutos o inferior y memoria masa para su registro. Solo podrán optar a esta tarifa los clientes residenciales alimentados en baja tensión cuya potencia conectada sea inferior o igual a 10 kW o aquellos clientes residenciales que instalen un limitador de potencia para cumplir esta condición.
Se entenderá por demanda máxima de potencia leída del mes, el más alto valor de las demandas integradas en períodos sucesivos de 15 minutos.
La demanda máxima de potencia de cada hora corresponderá al máximo valor de los registros leídos que se encuentren dentro de ésta.
3.1.5 Tarifa TRBT3
Opción de tarifa en baja tensión para clientes residenciales con al menos medición de energía, de la demanda máxima de potencia leída en horas de punta y demanda máxima de potencia suministrada co n resolución cada 15 minutos o inferior y memoria masa para su registro, con potencia conectada mayor a 10 kW, cuyo suministro esté destinado para el abastecimiento eléctrico de su domicilio o residencia y cuyo documento de cobro emitido por la respectiva empresa distribuidora se encuentre a nombre de una persona natural o sucesión hereditaria.
Se entenderá por demanda máxima de potencia leída del mes, el más alto valor de las demandas integradas en períodos sucesivos de 15 minutos.
La demanda máxima de potencia de cada hora corresponderá al máximo valor de los registros leídos que se encuentren dentro de ésta.
3.1.6 Tarifa TRAT
Opción de tarifa en alta tensión para clientes residenciales con unidad de medida del Sistema de Medición, Monitoreo y Control ("SMMC"), definido en la Norma Técnica de Calidad de Servicio para Sistemas de Distribución y en el Anexo Técnico Sistemas de Medición, Monitoreo y Control.
Se entenderá por demanda máxima de potencia leída del mes, el más alto valor de las demandas integradas en períodos sucesivos de 15 minutos.
La demanda máxima de potencia de cada hora corresponderá al máximo valor de los registros que se encuentren dentro de ésta.
Esta opción de tarifa deberá estar disponible a contar de la fecha de publicación en el Diario Oficial del decreto que fija precios de servicios no consistentes en suministros de energía, asociados a la distribución eléctrica, correspondiente al presente proceso tarifario.
3.1.7 Tarifa TRAT1
Opción de tarifa simple en alta tensión para clientes residenciales con al menos medición de energía, que cuenten con potencia conectada inferior o igual a 10 kW o con un limitador de potencia para cumplir con dicha condición.
3.1.8 Tarifa TRAT2
Opción de tarifa en alta tensión para clientes residenciales con al menos medición de energía de la demanda máxima de potencia leída en horas de punta y demanda máxima de potencia suministrada con resolución cada 15 minutos o inferior, y memoria masa para su registro. Solo podrán optar a esta tarifa los clientes residenciales alimentados en alta tensión cuya potencia conectada sea inferior o igual a 10 kW o aquellos clientes que instalen un limitador de potencia para cumplir esta condición.
Se entenderá por demanda máxima de potencia leída del mes, el más alto valor de las demandas integradas en períodos sucesivos de 15 minutos.
La demanda máxima de potencia de cada hora corresponderá al máximo valor de los registros leídos que se encuentren dentro de ésta.
3.1.9 Tarifa TRAT3
Opción de tarifa en alta tensión para clientes residenciales con al menos medición de energía, de la demanda máxima de potencia leída en horas de punta y demanda máxima de potencia suministrada con resolución cada 15 minutos o inferior, y memoria masa para su registro, con potencia conectada mayor a 10 kW, cuyo suministro esté destinado para el abastecimiento eléctrico de su domicilio o residencia y cuyo documento de cobro emitido por la respectiva empresa distribuidora se encuentre a nombre de una persona natural o sucesión hereditaria.
Se entenderá por demanda máxima de potencia leída del mes, el más alto valor de las demandas integradas en períodos sucesivos de 15 minutos.
La demanda máxima de potencia de cada hora corresponderá al máximo valor de los registros leídos que se encuentren dentro de ésta.
3.2 Tarifa BT2
Opción de tarifa en baja tensión con potencia contratada, para clientes con al menos medición de energía y potencia contratada.
Los clientes que decidan optar por la presente tarifa podrán contratar libremente una potencia máxima con la respectiva concesionaria, la que regirá por un plazo de 12 meses. Durante dicho período los consumidores no podrán disminuir ni aumentar su potencia contratada sin el acuerdo de la concesionaria. Al término de la vigencia anual de la potencia contratada los clientes podrán contratar una nueva potencia.
Los consumidores podrán utilizar la potencia contratada sin restricción en cualquier momento durante el período de vigencia de dicha potencia contratada.
La potencia contratada que solicite el cliente deberá ceñirse a las capacidades de limitadores disponibles en el mercado.
3.3 Tarifa BT3
Opción de tarifa en baja tensión con demanda máxima de potencia leída, para clientes con al menos medición de energía y demanda máxima de potencia leída.
Se entenderá por demanda máxima de potencia leída del mes, el más alto valor de las demandas integradas en períodos sucesivos de 15 minutos.
La demanda máxima de potencia de cada hora corresponderá al máximo valor de los registros leídos que se encuentren dentro de ésta.
3.4 Tarifas BT4
Opción de tarifa horaria en baja tensión, para clientes con al menos medición de energía y demanda máxima de potencia contratada o de potencia leída, y demanda máxima de potencia contratada o de potencia leída en horas de punta del sistema eléctrico.
En esta opción existirán las siguientes tres modalidades de medición:
BT4.1 : Medición de la energía mensual total consumida
y contratación de la demanda máxima de potencia
en horas de punta y de la demanda máxima de
potencia.
BT4.2 : Medición de la energía mensual total consumida
y de la demanda máxima de potencia leída en
horas de punta y contratación de la demanda
máxima de potencia.
BT4.3 : Medición de la energía mensual total consumida,
de la demanda máxima de potencia leída en horas
de punta y de la demanda máxima de potencia
suministrada.
La demanda máxima de potencia que contrate el cliente deberá ceñirse a las capacidades de limitadores disponibles en el mercado.
Se entenderá por demanda máxima de potencia leída del mes, el más alto valor de las demandas integradas en períodos sucesivos de 15 minutos.
La demanda máxima de potencia de cada hora corresponderá al máximo valor de los registros leídos que se encuentren dentro de ésta.
3.5 Tarifa BT5
Opción tarifaria en baja tensión para suministros no residenciales con medidor con resolución cada 15 minutos o inferior, y memoria masa para el registro de energía, de la demanda máxima de potencia leída en horas de punta y demanda máxima de potencia suministrada.
Se entenderá por demanda máxima de potencia leída del mes el más alto valor de las demandas integradas en períodos sucesivos de 15 minutos.
La demanda máxima de potencia de cada hora corresponderá al máximo valor de los registros que se encuentren dentro de ésta.
3.6 Tarifa BT6
Opción tarifaria en baja tensión para suministros no residenciales con unidad de medida que es parte del Sistema de Medición, Monitoreo y Control ("SMMC") definido en la Norma Técnica de Calidad de Servicio para Sistemas de Distribución y en el Anexo Técnico Sistemas de Medición, Monitoreo y Control.
Se entenderá por demanda máxima de potencia leída del mes el más alto valor de las demandas integradas en períodos sucesivos de 15 minutos.
La demanda máxima de potencia de cada hora corresponderá al máximo valor de los registros que se encuentren dentro de ésta.
Esta opción de tarifa deberá estar disponible a contar de la fecha de publicación en el Diario Oficial del decreto que fija precios de servicios no consistentes en suministros de energía, asociados a la distribución eléctrica, correspondiente al presente proceso tarifario.
3.7 Tarifa AT2
Opción de tarifa en alta tensión con potencia contratada, para clientes con al menos medición de energía y potencia contratada.
Los clientes que decidan optar por la presente tarifa podrán contratar libremente una potencia máxima con la respectiva concesionaria, la que regirá por un plazo de 12 meses. Durante dicho pe ríodo los consumidores no podrán disminuir ni aumentar su potencia contratada sin el acuerdo de la concesionaria. Al término de la vigencia anual de la potencia contratada los clientes podrán contratar una nueva potencia.
Los consumidores podrán utilizar la potencia contratada sin restricción en cualquier momento durante el período de la vigencia de dicha potencia contratada.
La potencia contratada que solicite el cliente deberá ceñirse a las capacidades de limitadores disponibles en el mercado.
3.8 Tarifa AT3
Opción de tarifa en alta tensión con demanda máxima de potencia leída, para clientes con al menos medición de energía y demanda máxima de potencia leída.
Se entenderá por demanda máxima de potencia leída del mes, el más alto valor de las demandas integradas en períodos sucesivos de 15 minutos.
La demanda máxima de potencia de cada hora corresponderá al máximo valor de los registros leídos que se encuentren dentro de ésta.
3.9 Tarifas AT4
Opción de tarifa horaria en alta tensión, para clientes con al menos medición de energía y demanda máxima de potencia contratada o de potencia leída, y demanda máxima de potencia contratada o de potencia leída en horas de punta del sistema eléctrico.
En esta opción existirán las siguientes tres modalidades de medición:
AT4.1 : Medición de la energía mensual total consumida,
y contratación de la demanda máxima de potencia
en horas de punta y de la demanda máxima de
potencia.
AT4.2 : Medición de la energía mensual total consumida
y de la demanda máxima de potencia leída en horas
de punta, y contratación de la demanda máxima de
potencia.
AT4.3 : Medición de la energía mensual total consumida,
de la demanda máxima de potencia leída en horas
de punta y de la demanda máxima de potencia
suministrada.
La demanda máxima de potencia que contrate el cliente deberá ceñirse a las capacidades de limitadores disponibles en el mercado.
Se entenderá por demanda máxima de potencia leída del mes, el más alto valor de las demandas integradas en periodos sucesivos de 15 minutos.
La demanda máxima de potencia de cada hora corresponderá al máximo valor de los registros leídos que se encuentren dentro de ésta.
3.10 Tarifa AT5
Opción tarifaria en alta tensión para suministros no residenciales con al menos medición de energía, de la demanda máxima de potencia leída en horas de punta y demanda máxima de potencia suministrada. con resolución cada 15 minutos o inferior y memoria masa para su registro.
Se entenderá por demanda máxima de potencia leída del mes, el más alto valor de las demandas integradas en períodos sucesivos de 15 minutos.
La demanda máxima de potencia de cada hora corresponderá al máximo valor de los registros leídos que se encuentren dentro de ésta.
3.11 Tarifa AT6
Opción tarifaria en alta tensión para suministros no residenciales con unidad de medida que es parte del Sistema de Medición, Monitoreo y Control ("SMMC") definido en la Norma Técnica de Calidad de Servicio para Sistemas de Distribución y en el Anexo Técnico Sistemas de Medición, Monitoreo y Control.
Se entenderá por demanda máxima de potencia leída del mes el más alto valor de las demandas integradas en períodos sucesivos de 15 minutos.
La demanda máxima de potencia de cada hora corresponderá al máximo valor de los registros que se encuentren dentro de esta.
Esta opción de tarifa deberá estar disponible a contar de la fecha de publicación en el Diario Oficial del decreto que fija precios de servicios no consistentes en suministros de energía, asociados a la distribución eléctrica, correspondiente al presente proceso tarifario.
4. CARGOS TARIFARIOS
4.1. Tarifas BT1a y TRAT1
Las tarifas BT1a y TRAT1 comprenderán los siguientes cargos que se sumarán en la boleta o factura, cuando corresponda:
a) Cargo fijo mensual [$/mes]
b) Cargo por uso del sistema de transmisión [$/kWh]
c) Cargo por servicio público [$/kWh]
d) Cargo por energía [$/kWh]
e) Cargo por compras de potencia [$/kWh]
f) Cargo por potencia en su componente de distribución [$/kWh]
El cargo fijo mensual es independiente del consumo y se aplica incluso si éste es nulo.
Las componentes por concepto de cargo por uso del sistema de transmisión y el cargo por servicio público se determinarán en proporción a los consumos de energía, conforme se establezca en la normativa correspondiente. Tanto el cargo por uso del sistema de transmisión como el cargo por servicio público se determinarán multiplicando el consumo de energía mensual, en kWh, por el valor de la componente correspondiente.
En el caso del cargo por uso del sistema de transmisión, éste comprenderá los cargos únicos por uso de las instalaciones de transmisión nacional, zonal, para polos de desarrollo de generación eléctrica; de las instalaciones de transmisión dedicada utilizada por parte de usuarios sometidos a regulación de precios; y las instalaciones de interconexión internacional de servicio público, referidos en los artículos 99° bis, 115° y 116° de la Ley, respectivamente. Asimismo, este cargo comprenderá los cargos que se determinen según las reglas establecidas en las disposiciones transitorias de la ley N° 20.936.
Los cargos por energía, por compras de potencia y por potencia en su componente de distribución, se obtendrán multiplicando el consumo de energía mensual, en kWh, por su precio unitario. El consumo de energía mensual será igual a la totalidad de la energía consumida en el mes.
4.2. Tarifa BT1b
La tarifa BT1b comprenderá los siguientes cargos que se sumarán en la factura o boleta, cuando corresponda:
a) Cargo fijo mensual [$/mes]
b) Cargo por uso del sistema de transmisión [$/kWh]
c) Cargo por servicio público [$/kWh]
d) Cargo por energía [$/kWh]
e) Cargo por potencia en su componente de transmisión [$/kWh]
f) Cargo por potencia en su componente de distribución [$/kWh]
El cargo fijo mensual es independiente del consumo, y se aplicará incluso si éste es nulo.
Las componentes por concepto de cargo por uso del sistema de transmisión y el cargo por servicio público se determinarán en proporción a los consumos de energía conforme se establezca en la normativa correspondiente. Tanto el cargo por uso del sistema de transmisión como el cargo por servicio público se determinarán multiplicando el consumo de energía mensual, en kWh, por el valor de la componente correspondiente.
En el caso del cargo por uso del sistema de transmisión, éste comprenderá los cargos únicos por uso de las instalaciones de transmisión nacional, zonal, para polos de desarrollo de generación eléctrica; de las instalaciones de transmisión dedicada utilizada por parte de usuarios sometidos a regulación de precios; y las instalaciones de interconexión internacional de servicio público, referidos en los artículos 99° bis, 115° y 116° de la Ley. Asimismo, este cargo comprenderá los cargos que se determinen según las reglas establecidas en las disposiciones transitorias de la ley N° 20.936.
El cargo por energía se aplicará en todos los meses del año y se obtendrá multiplicando los kWh de consumo por su precio unitario.
Los cargos por potencia en su componente de transmisión y distribución, se aplicarán en todos los meses del año, incluso si el consumo del mes respectivo es nulo, y se obtendrá multiplicando el mayor de los consumos de energía de los meses de enero y febrero inmediatamente anteriores por su precio unitario.
4.3. Tarifas TRBT, TRBT2, TRBT3, TRAT, TRAT2 y TRAT3
Las tarifas TRBT, TRBT2, TRBT3, TRAT, TRAT2 y TRAT3 comprenderán los siguientes cargos que se sumarán en la boleta o factura, cuando corresponda:
a) Cargo fijo mensual [$/mes]
b) Cargo por uso del sistema de transmisión [$/kWh]
c) Cargo por servicio público [$/kWh]
d) Cargo por energía [$/kWh]
e) Cargo por compras de potencia [$/kW/mes]
f) Cargo por demanda máxima de potencia leída en horas de punta, en su componente de distribución [$/kW/mes]
g) Cargo por demanda máxima de potencia suministrada, en su componente de distribución [$/kW/mes]
El cargo fijo mensual es independiente del consumo y se aplica incluso si éste es nulo.
Las componentes por concepto de cargo por uso del sistema de transmisión y el cargo por servicio público se determinarán en proporción a los consumos de energía conforme se establezca en la normativa correspondiente. Tanto el cargo por uso del sistema de transmisión como el cargo por servicio público se determinarán multiplicando el consumo de energía mensual, en kWh, por el valor de la componente correspondiente. En el caso del cargo por uso del sistema de transmisión, éste comprenderá los cargos únicos por uso de las instalaciones de transmisión nacional, zonal, para polos de desarrollo de generación eléctrica; de las instalaciones de transmisión dedicada utilizada por parte de usuarios sometidos a regulación de precios; y las instalaciones de interconexión internacional de servicio público, referidos en los artículos 99° bis, 115° y 116° de la Ley, respectivamente. Asimismo, este cargo comprenderá los cargos que se determinen según las reglas establecidas en las disposiciones transitorias de la ley N° 20.936.
El cargo por energía se obtendrá multiplicando el consumo de energía mensual, en kWh, por su precio unitario.
El cargo por compras de potencia se obtendrá multiplicando la potencia de facturación por compra, en kW, por su precio unitario. La potencia de facturación por compra corresponderá al promedio de las 52 demandas máximas leídas en horas de punta registradas en los últimos 12 meses, incluyendo el mes que se factura, salvo en los Sistemas Medianos, para los cuales la potencia de facturación por compra corresponderá al promedio de las 2 demandas máximas leídas en horas de punta registradas en los últimos 12 meses, incluyendo el mes que se factura.
Los cargos por demanda máxima de potencia leída en horas de punta, en su componente de distribución se facturarán de la siguiente manera:
. Durante los meses que contengan horas de punta, se aplicará el precio unitario correspondiente a la demanda máxima de potencia en horas de punta efectivamente leída en cada mes.
. Durante los meses que no contengan horas de punta se aplicará el precio unitario correspondiente al promedio de las dos mayores demandas máximas de potencia en horas de punta, registradas durante los meses del período de punt a inmediatamente anterior.
El cargo por demanda máxima de potencia suministrada, en su componente de distribución, se obtendrá multiplicando la demanda suministrada, en kW, por su precio unitario.
La demanda suministrada corresponderá al promedio de las 2 demandas máximas registradas en los últimos 12 meses, incluyendo el mes que se factura.
Se entenderá por demanda máxima de potencia leída del mes, el más alto valor de las demandas integradas en períodos sucesivos de 15 minutos.
La demanda máxima de potencia de cada hora corresponderá al máximo valor de los registros leídos que se encuentren dentro de ésta.
4.4. Tarifa BT2:
La tarifa BT2 comprenderá los siguientes cargos que se sumarán en la factura o boleta:
a) Cargo fijo mensual [$/mes]
b) Cargo por uso del sistema de transmisión [$/kWh]
c) Cargo por servicio público [$/kWh]
d) Cargo por energía [$/kWh]
e) Cargo por potencia contr atada [$/kW/mes]
El cargo fijo mensual es independiente del consumo y se aplica incluso si éste es nulo.
Las componentes por concepto de cargo por uso del sistema de transmisión y el cargo por servicio público se determinarán en proporción a los consumos de energía conforme se establezca en la normativa correspondiente. Tanto el cargo por uso del sistema de transmisión como el cargo por servicio público se determinarán multiplicando el consumo de energía mensual, en kWh, por el valor de la componente correspondiente. En el caso del cargo por uso del sistema de transmisión, éste comprenderá los cargos únicos por uso de las instalaciones de transmisión nacional, zonal, para polos de desarrollo de generación eléctrica; de las instalaciones de transmisión dedicada utilizada por parte de usuarios sometidos a regulación de precios; y las instalaciones de interconexión internacional de servicio público, referidos en los artículos 99° bis, 115° y 116° de la Ley. Asimismo, este cargo comprenderá los cargos que se determinen según las reglas establecidas en las disposiciones transitorias de la ley N° 20.936.
El cargo por energía se obtendrá multiplicando el consumo de energía mensual, en kWh, por su precio unitario.
El cargo por potencia contratada se obtendrá multiplicando la potencia contratada, en kW, por su precio unitario, de acuerdo a lo establecido en el numeral 5.4 del presente decreto.
4.5. Tarifa BT3
La tarifa BT3 comprenderá los siguientes cargos que se sumarán en la factura o boleta:
a) Cargo fijo mensual [$/mes]
b) Cargo por uso del sistema de transmisión [$/kWh]
c) Cargo por servicio público [$/kWh]
d) Cargo por energía [$/kWh]
e) Cargo por demanda máxima de potencia leída [$/kW/mes]
El cargo fijo mensual es independiente del consumo y se aplica incluso si éste es nulo.
Las componentes por concepto de cargo por uso del sistema de transmisión y el cargo por servicio público se determinarán en proporción a los consumos de energía conforme se establezca en la normativa correspondiente. Tanto el cargo por uso del sistema de transmisión como el cargo por servicio público se determinarán multiplicando el consumo de energía mensual, en kWh, por el valor de la componente correspondiente. En el caso del cargo por uso del sistema de transmisión, éste comprenderá los cargos únicos por uso de las instalaciones de transmisión nacional, zonal, para polos de desarrollo de generación eléctrica; de las instalaciones de transmisión dedicada utilizada por parte de usuarios sometidos a regulación de precios; y las instalaciones de interconexión internacional de servicio público, referidos en los artículos 99° bis, 115° y 116° de la Ley. Asimismo, este cargo comprenderá, según corresponda, el cargo único troncal establecido en el artículo 102° de la Ley, respectivamente. Asimismo, este cargo comprenderá los cargos que se determinen según las reglas establecidas en las disposiciones transitorias de la ley N° 20.936.
El cargo por energía se obtendrá multiplicando el consumo de energía mensual, en kWh, por su precio unitario.
La facturación mensual del cargo por demanda máxima de potencia leída del mes corresponderá al mayor de los siguientes valores:
. Cargo por demanda máxima de potencia leída, determinada de acuerdo al procedimiento siguiente:
Se considera como demanda máxima de potencia leída de facturación del mes, la más alta que resulte de comparar la demanda máxima de potencia leída del mes con el promedio de las dos más altas demandas registradas en aquellos meses que contengan horas de punta, dentro de los últimos 12 meses, incluido el mes que se factura. El cargo por demanda máxima de potencia leída resulta de multiplicar la demanda máxima de potencia leída de facturación por el precio unitario correspondiente, de acuerdo a lo establecido en el numeral 5.4 del presente decreto.
. 40% del mayor de los cargos por demanda máxima de potencia leída registrado en los últimos 12 meses.
Se entenderá por demanda máxima de potencia leída del mes el más alto valor de las demandas integradas en períodos sucesivos de 15 minutos.
La demanda máxima de potencia de cada hora corresponderá al máximo valor de los registros leídos que se encuentren dentro de ésta.
4.6. Tarifa BT4.1
La tarifa BT4.1 comprenderá los siguientes cargos que se sumarán en la factura o boleta:
a) Cargo fijo mensual [$/mes]
b) Cargo por uso del sistema de transmisión [$/kWh]
c) Cargo por servicio público [$/kWh]
d) Cargo por energía [$/kWh]
e) Cargo por demanda máxima de potencia contratada en horas de punta [$/kW/mes]
f) Cargo por demanda máxi ma de potencia contratada [$/kW/mes]
4.7. Tarifa BT4.2
La tarifa BT4.2 comprenderá los siguientes cargos que se sumarán en la factura o boleta:
a) Cargo fijo mensual [$/mes]
b) Cargo por uso del sistema de transmisión [$/kWh]
c) Cargo por servicio público [$/kWh]
d) Cargo por energía [$/kWh]
e) Cargo por demanda máxima de potencia leída en horas de punta [$/kW/mes]
f) Cargo por demanda má xima de potencia contratada [$/kW/mes]
4.8. Tarifa BT4.3
La tarifa BT4.3 comprenderá los siguientes cargos que se sumarán en la factura o boleta:
a) Cargo fijo mensual [$/mes]
b) Cargo por uso del sistema de transmisión [$/kWh]
c) Cargo por servicio público [$/kWh]
d) Cargo por energía [$/kWh]
e) Cargo por demanda máxima de potencia leída en horas de punta [$/kW/mes]
f) Cargo por dema nda máxima de potencia suministrada [$/kW/mes]
El cargo fijo mensual de las tarifas BT4.1, BT4.2 y BT4.3 es independiente del consumo y se aplica incluso si éste es nulo.
Las componentes por concepto de cargo por uso del sistema de transmisión y el cargo por servicio público de las tarifas BT4.1, BT4.2 y BT4.3, se determinarán en proporción a los consumos de energía conforme se establezca en la normativa correspondiente. Tanto el cargo por uso del sistema de transmisión como el cargo por servicio público se determinarán multiplicando el consumo de energía mensual, en kWh, por el valor de la componente correspondiente. En el caso del cargo por uso del sistema de transmisión, éste comprenderá los cargos únicos por uso de las instalaciones de transmisión nacional, zonal, para polos de desarrollo de generación eléctrica; de las instalaciones de transmisión dedicada utilizada por parte de usuarios sometidos a regulación de precios; y las instalaciones de interconexión internacional de servicio público, referidos en los artículos 99° bis, 115° y 116° de la Ley, respectivamente. Asimismo, este cargo comprenderá los cargos que se determinen según las reglas establecidas en las disposiciones transitorias de la ley N° 20.936.
El cargo por energía de las tarifas BT4.1, BT4.2 y BT4.3 se obtendrá multiplicando el consumo de energía mensual, en kWh, por su precio unitario.
Los cargos de la tarifa BT4.1 por demanda máxima de potencia contratada en horas de punta y por demanda máxima de potencia contratada, así como el cargo de la tarifa BT4.2 por demanda máxima de potencia contratada, se facturarán incluso si el consumo de energía es nulo. Dichos cargos se obtendrán multiplicando la potencia de facturación correspondiente, en kW, por el precio unitario.
Los cargos mensuales por demanda máxima de potencia leída en horas de punta de las tarifas BT4.2 y BT4.3 se facturarán de la siguiente manera:
. Durante los meses que contengan horas de punta, se aplicará el precio unitario correspondiente a la demanda máxima de potencia en horas de punta efectivamente leída en cada mes.
. Durante los meses que no contengan horas de punta, se aplicará el precio unitario correspondiente al promedio de las dos mayores demandas máximas de potencia en horas de punta registradas durante los meses del período de p unta inmediatamente anteriores.
El cargo mensual por demanda máxima de potencia suministrada de la tarifa BT4.3 se facturará aplicando el precio unitario correspondiente al promedio de las dos más altas demandas máximas de potencia registradas en los últimos 12 meses, incluido el mes que se facture.
Se entenderá por demanda máxima de potencia leída del mes, el más alto valor de las demandas integradas en períodos sucesivos de 15 minutos.
La demanda máxima de potencia de cada hora corresponderá al máximo valor de los registros leídos que se encuentren dentro de ésta.
4.9. Tarifas BT5 y BT6
Las tarifas BT5 y BT6 comprenderán los siguientes cargos que se sumarán en la factura o boleta:
a) Cargo fijo mensual [$/mes]
b) Cargo por uso del sistema de transmisión [$/kWh]
c) Cargo por servicio público [$/kWh]
d) Cargo por energía [$/kWh]
e) Cargo por compras de potencia [$/kW/mes]
f) Cargo por demanda máxima de potencia leída en horas de punta, en su componente de distribución [$/kW/mes]
g) Cargo por demanda máxima de potencia suministrada, en su componente de distribución [$/kW/mes]
El cargo fijo mensual es independiente del consumo y se aplica incluso si éste es nulo.
Las componentes por concepto de cargo por uso del sistema de transmisión y el cargo por servicio público se determinarán en proporción a los consumos de energía conforme se establezca en la normativa correspondiente. Tanto el cargo por uso del sistema de transmisión como el cargo por servicio público se determinarán multiplicando el consumo de energía mensual, en kWh, por el valor de la componente correspondiente. En el caso del cargo por uso del sistema de transmisión, éste comprenderá los cargos únicos por uso de las instalaciones de transmisión nacional, zonal, para polos de desarrollo de generación eléctrica; de las instalaciones de transmisión dedicada utilizada por parte de usuarios sometidos a regulación de precios; y las instalaciones de interconexión internacional de servicio público, referidos en los artículos 99° bis, 115° y 116° de la Ley, respectivamente. Asimismo, este cargo comprenderá los cargos que se determinen según las reglas establecidas en las disposiciones transitorias de la ley N° 20.936.
El cargo por energía se obtendrá multiplicando el consumo de energía mensual, en kWh, por su precio unitario.
El cargo por compras de potencia se obtendrá multiplicando la potencia de facturación por compra, en kW, por su precio unitario.
La potencia de facturación por compra corresponderá al promedio de las 52 demandas máximas leídas en horas de punta registradas en los últimos 12 meses, incluyendo el mes que se factura, salvo en los Sistemas Medianos, para los cuales la potencia de facturación por compra corresponderá al promedio de las 2 demandas máximas leídas en horas de punta registradas en los últimos 12 meses, incluyendo el mes que se factura.
Los cargos por demanda máxima de potencia leída en horas de punta, en su componente de distribución se facturarán de la siguiente manera:
. Durante los meses que contengan horas de punta, se aplicará el precio unitario correspondiente a la demanda máxima de potencia en horas de punta efectivamente leída en cada mes.
. Durante los meses que no contengan horas de punta se aplicará el precio unitario correspondiente al promedio de las dos mayores demandas máximas de potencia en horas de punta, registradas durante los meses del período de punta inmediatamente anterior.
El cargo por demanda máxima de potencia suministrada, en su componente de distribución, se obtendrá multiplicando la demanda suministrada en kW, por su precio unitario.
La demanda suministrada corresponderá al promedio de las 2 demandas máximas de potencia registradas en los últimos 12 meses, incluyendo el mes que se factura.
Se entenderá por demanda máxima de potencia leída del mes, el más alto valor de las demandas integradas en períodos sucesivos de 15 minutos.
La demanda máxima de potencia de cada hora corresponderá al máximo valor de los registros leídos que se encuentren dentro de ésta.
4.10. Tarifas de Alta Tensión
Las tarifas de alta tensión AT2, AT3, AT4.1, AT4.2, AT4.3, AT5 y AT6 comprenderán los mismos cargos y se facturarán de la misma forma que las tarifas BT2, BT3, BT4.1, BT4.2, BT4.3, BT5 y BT6, respectivamente, difiriendo sólo en los precios unitarios correspondientes.
4.11 Recargos tarifarios
4.11.1 Recargo por consumo reactivo
Las empresas aplicarán mensualmente un cargo determinado en función de la relación de consumo activo y reactivo en el punto de suministro de los clientes, conforme el monto y condiciones de aplicación que se establecen en el decreto de precios de nudo de corto plazo o en el respectivo decreto tarifario de Sistemas Medianos, según corresponda, vigentes al momento de su aplicación.
4.11.2. Recargo por lectura en baja tensión de consumos de clientes de alta tensión
Los consumos correspondientes a clientes de alta tensión podrán ser medidos tanto en alta como en baja tensión. En este último caso, se considerará un recargo por pérdidas de transformación equivalente a un 3,5%, tanto en los cargos de energía como de potencia.
4.12 Descuentos
Aquellos clientes cuyos suministros se efectúen en voltajes de 44 o 66 kV tendrán una rebaja de las tarifas aplicables en alta tensión igual a 7%. Aquellos cuyo voltaje de suministro sea 110 kV tendrán una rebaja de las tarifas aplicables en alta tensión de 9%.
5. CONDICIONES DE APLICACIÓN DE LAS TARIFAS
5.1 Condiciones generales de aplicación de las tarifas
En aquellos casos en que la facturación está formada por fracciones de dos meses calendario, se debe estimar el consumo de energía del mes calendario en proporción a los días de cada mes. Asimismo, para la determinación de la demanda máxima de potencia leída a facturar, se considerará como correspondiente a un mes calendario la demanda imputada en la factura que tenga un mayor número de días perteneciente a dicho mes.
Los montos de potencia contratada en las diferentes tarifas, como asimismo las opciones tarifarias contratadas por los clientes, regirán por 12 meses, y se entenderán renovados por un período similar, salvo aviso del cliente con al menos 30 días de anticipación al vencimiento de dicho período. No obstante, el cliente podrá disminuir los montos de potencia contratada o bien cambiar de opción tarifaria, comprometiendo con la empresa el pago del remanente que tuviere por dicho concepto respecto de la nueva potencia contratada. Se procederá de igual forma respecto de las demandas máximas de potencia leídas de las diferentes opciones tarifarias.
La concesionaria deberá informar a sus clientes, con no menos de tres meses de anticipación, el término de vigencia de la tarifa elegida por ellos. Para tal efecto, deberá incluir en las boletas o facturas correspondientes a los tres últimos meses del período en que rija la tarifa, un aviso indicando la fecha de término de este período, la opción tarifaria que dejará de estar vigente y la fecha límite para que el cliente comunique a la empresa las modificaciones que desee efectuar a su contrato de suministro.
En caso de que la opción tarifaria vigente incluya alguna forma de potencia contratada, la información señalada incluirá, además, el monto de las potencias contratadas.
5.2 Definición de horas de punta
La definición de horas de punta de cada empresa o sector de distribución dependerá del sistema eléctrico del cual sean abastecidos, quedando éstas establecidas en el decreto de precios de nudo de corto plazo o en el respectivo decreto tarifario de Sistemas Medianos, que se encuentre vigente al momento de la facturación.
5.3 Condiciones de clasificación de clientes residenciales para las tarifas BT1a y BT1b
Las distribuidoras cuya demanda máxima de potencia anual de consumos en las opciones tarifarias BT1a y BT1b se produce en meses en que no se hayan definido horas de punta deberán efectuar en el mes de marzo de cada año la clasificación de los clientes que reúnen los requisitos para optar a las opciones tarifarias BT1a y BT1b. Esta clasificación se efectuará determinando para cada cliente un Factor de Clasificación que relaciona los consumos de energía promedio de los meses de enero y febrero del año en curso, al momento de hacerse la clasificación, con los consumos promedios de los diez meses inmediatamente anteriores. Este factor se calculará mediante la siguiente expresión:

Donde:
Año Actual : Año en que se realiza la clasificación de los clientes;
Año Anterior : Año inmediatamente anterior al que se realiza la clasificación.
Si el Factor de Clasificación resulta igual o inferior a dos coma cinco, el cliente residencial estará afecto a la opción tarifaria BT1a. En caso contrario, el cliente estará sujeto a la opción tarifaria BT1b.
Para efectos de la clasificación se utilizarán los meses en que efectivamente existan registros de consumo, siendo el consumo cero efectivamente leído, un registro válido en dicha clasificación.
La clasificación será anual y permanecerá vigente por períodos de 12 meses, no pudiendo el cliente modificar la opción tarifaria en la cual fue clasificado.
Todo nuevo cliente que reúna los requisitos para optar a las tarifas señaladas, podrá elegir libremente la opción tarifaria (BT1a o BT1b) hasta que se efectúe su clasificación en el mes de marzo inmediatamente siguiente. En el caso de que a esa fecha no se cuente con, al menos, 12 meses de historia desde que ingresó como cliente, éste mantendrá su clasificación hasta que se cuente con 12 meses de historia como cliente, oportunidad en que será clasificado utilizando para el cálculo del Factor de Clasificación los meses disponibles, con independencia del año de facturación.
5.4 Precios a aplicar para la potencia contratada y la demanda máxima de potencia leída
Las tarifas BT2 y AT2 de potencia contratada, como asimismo las tarifas BT3 y AT3 de demanda máxima de potencia leída, serán aplicadas, en lo que se refiere al cargo por potencia contratada o por demanda máxima de potencia leída, en su caso, según el grado de utilización de la potencia en horas de punta, de acuerdo a los siguientes criterios:
a) Cuando la potencia contratada o la demanda máxima de potencia leída está siendo usada manifiestamente durante las horas de punta del sistema eléctrico, independientemente de si dicha potencia es o no utilizada en el resto de las horas del año, el consumo será calificado como "presente en punta" y se le aplicará el precio unitario correspondiente.
Se entenderá que la potencia contratada o la demanda máxima de potencia leída está siendo usada manifiestamente durante las horas de punta, cuando el cociente entre la demanda media de potencia del cliente en horas de punta y su potencia contratada, en el caso de las opciones BT2 y AT2 o su demanda máxima de potencia leída, en el caso de las opciones BT3 y AT3, es mayor o igual a 0,5. Por demanda media de potencia en horas de punta se entenderá al consumo de energía durante dichas horas dividido por el número de horas de punta.
b) Cuando la potencia contratada o la demanda máxima de potencia leída está siendo usada parcialmente durante las horas de punta del sistema eléctrico, independientemente de si dicha potencia es o no utilizada en el resto de las horas del año, el consumo será calificado como "parcialmente presente en punta", y se le aplicará el precio unitario correspondiente.
Se entenderá que la potencia contratada o la demanda máxima de potencia leída está siendo usada parcialmente durante las horas de punta, cuando el cociente entre la demanda media de potencia del cliente en dichas horas y su potencia contratada, en el caso de las opciones BT2 y AT2, o su demanda máxima de potencia leída, en el caso de las opciones BT3 y AT3, es inferior a 0,5.
No obstante lo anterior, si en períodos de 60 minutos consecutivos en las horas de punta, el cociente entre la potencia media utilizada por el cliente y su potencia contratada, en el caso de las opciones BT2 y AT2, o su demanda máxima de potencia leída, en el caso de las opciones BT3 y AT3, supera 0,85 y este hecho se produce frecuentemente, el consumo será clasificado como "presente en punta". Se entenderá como frecuente la ocurrencia del suceso durante por lo menos 5 días hábiles del mes.
La empresa calificará al consumo del cliente como "presente en punta" o "parcialmente presente en punta". Cuando la empresa califique al consumo del cliente como "presente en punta" deberá informarle por escrito las razones que tuvo para ello. No obstante, y aun cuando exista acuerdo escrito, el cliente siempre podrá reclamar ante la Superintendencia, aportando antecedentes y medidas de consumo en horas de punta efectuadas directamente y en conjunto con la empresa, o por un organismo autorizado por la Superintendencia contratado por el cliente, durante al menos 30 días seguidos del período de punta. La Superintendencia oyendo a las partes, resolverá fundadamente sobre la materia. En caso de que la resolución sea favorable al cliente el costo de las mediciones será de cargo de la empresa quien, en este mismo caso, no podrá recalificar el consumo del cliente, salvo autorización expresa de la Superintendencia, una vez aportados los antecedentes que respalden dicha recalificación.
5.5 Determinación de la potencia contratada
En las opciones tarifarias que incluyen cargo por potencia contratada, la magnitud de ésta será establecida por el cliente. En este caso la concesionaria podrá exigir la instalación de un limitador de potencia que cumpla con las normas técnicas vigentes, el que será de cargo del cliente.
Alternativamente, y con la excepción de la contratación de la demanda máxima de potencia en horas de punta de las tarifas BT4.1 y AT4.1, la potencia contratada se podrá establecer mediante la medición de la demanda máxima con instrumentos apropiados, certificados por la Superintendencia, cuando la empresa lo estime conveniente, caso en el cual el costo de la medición será de cargo de la empresa. Cuando la potencia contratada no sea establecida por el cliente y no se mida la demanda máxima, la potencia contratada se determinará como sigue:
A la potencia conectada en el alumbrado se sumará la demanda del resto de la carga conectada, estimada de acuerdo con la siguiente tabla:

Cada aparato de calefacción se considerará como motor para los efectos de aplicar esta tabla. Los valores de la demanda máxima que resulten de aplicar esta tabla deberán modificarse, si es necesario, en forma que la demanda máxima estimada no sea en ningún caso menor que la potencia del motor o artefacto más grande, o que el 90% de la potencia sumada de los dos motores o artefactos más grandes, o que el 80% de la potencia sumada de los tres motores o artefactos más grandes.
Se entenderá como carga conectada en motores y artefactos la potencia nominal de placa.
En las opciones tarifarias horarias BT4.1 y AT4.1, la empresa podrá exigir que el cliente instale un reloj que asegure que el monto de potencia contratada en horas de punta no sea sobrepasado en dichas horas.
En el caso de que la potencia contratada no sea establecida por el cliente, no será de cargo de éste el limitador de potencia, en la eventualidad que la empresa lo exija.
5.6 Condición de aplicación de las tarifas subterráneas
5.6.1 Condición de aplicación para clientes con suministro subterráneo a la fecha de entrada en vigencia del presente decreto
Se aplicará a los clientes suministrados por empresas, que a la fecha de entrada en vigencia del presente decreto se encontraban abastecidos total o parcialmente por tendidos subterráneos, dependiendo de las siguientes condiciones:
a) Condición de clasificación para clientes de alta tensión de distribución
El cliente en alta tensión de distribución será clasificado como alimentado por redes de alta tensión subterráneas si a la fecha de entrada en vigencia de este decreto cumple cualquiera de las siguientes condiciones:
1. El alimentador de alta tensión de distribución
que lo abastece se encuentra canalizado en forma
subterránea en el punto de conexión con el empalme
del cliente, en virtud de una disposición municipal.
2. El alimentador de alta tensión de distribución que
lo abastece se encuentra canalizado subterráneamente,
en virtud de una disposición municipal, en más de un
50% de su longitud en la comuna. Para la
contabilización de este porcentaje se considerará,
adicionalmente a los tramos que debieron canalizarse
subterráneamente en virtud de la referida disposición
municipal, aquellos tramos que a la fecha de entrada
en vigencia de este decreto se encontraban
canalizados en forma subterránea dentro de los
límites comunales.
3. El alimentador de alta tensión de distribución que
lo abastece se encuentra canalizado subterráneamente
en más de un 50% de su longitud total.
Si ninguna de estas tres condiciones se cumple, el cliente será clasificado como alimentado por redes de alta tensión aéreas.
b) Condición de clasificación para clientes de baja tensión
Condición AT:
El cliente en baja tensión será clasificado como alimentado por redes de alta tensión subterráneas si a la fecha de entrada en vigencia de este decreto se cumple cualquiera de las siguientes condiciones:
1. El transformador de distribución asociado al cliente se encuentra abastecido desde un alimentador de alta tensión de distribución que, en virtud de una disposición municipal, se encuentra canalizado subterráneamente en el punto de conexión con el referido transformador de distribución.
2. El transformador de distribución asociado al cliente está siendo abastecido desde un alimentador de alta tensión de distribución que se encuentra canalizado subterráneamente, en virtud de una disposición municipal, en más de un 50% de su longitud en la comuna. Para la contabilización de este porcentaje se considerará, adicionalmente a los tramos que debieron canalizarse subterráneamente en virtud de la referida disposición municipal, a aquellos tramos que a la fecha de entrada en vigencia de este decreto se encontraban canalizados en forma subterránea dentro de los límites comunales.
3. El transformador de distribución asociado al cliente está siendo abastecido desde un alimentador de alta tensión de distribución que se encuentra canalizado subterráneamente en más de un 50% de su longitud total.
Si ninguna de estas tres condiciones se cumple, el cliente será clasificado como alimentado por redes de alta tensión aéreas.
Condición BT:
El cliente en baja tensión será clasificado como alimentado por redes de baja tensión subterráneas si a la fecha de entrada en vigencia de este decreto se cumple alguna de las siguientes condiciones:
1. El transformador de distribución asociado al cliente es subterráneo;
2. La red de distribución de baja tensión que abastece al cliente es subterránea en el punto de conexión con el empalme del cliente, estando además esta red completamente canalizada en forma subterránea en el frontis de la propiedad del cliente, en virtud de una disposición municipal.
Si ninguna de estas dos condiciones se cumple, el cliente será clasificado como alimentado por redes de baja tensión aéreas.
Se entenderá para los efectos señalados, que el transformador de distribución asociado al cliente es el que se encuentra más próximo a su punto de suministro considerando la distancia medida a través de la red de baja tensión.
Se considerarán tres casos de aplicación de la tarifa subterránea según la clasificación del cliente BT:
Caso 1: Red de Baja Tensión Aérea y Red de Alta Tensión Subterránea.
Caso 2: Red de Baja Tensión Subterránea y Red de Alta Tensión Aérea.
Caso 3: Red de Baja Tensión Subterránea y Red de Alta Tensión Subterránea.
A los nuevos clientes que con posterioridad a la fecha de entrada en vigencia de este decreto, se conecten a las redes que alimentan a los clientes que cumplen las condiciones a) y b) señaladas en el presente punto 5.6.1 y que a su vez cumplan las condiciones de suministro descritas en este punto, se les aplicará la tarifa que corresponda de acuerdo a las mismas condiciones anteriores.
5.6.2 Condición de aplicación para clientes con suministro subterráneo provisto por nuevas instalaciones
Se aplicará a los clientes con suministro subterráneo conforme a las condiciones físicas de suministro establecidas en el punto 5.6.1 precedente, que adquirieran la condición de tales en virtud del desarrollo de redes subterráneas habilitadas con posterioridad a la fecha de entrada en vigencia de este decreto, por efecto de disposiciones municipales o de nuevos desarrollos inmobiliarios, independientemente del Área Típica en que los clientes se ubiquen.
La tarifa para estos clientes se estructurará de la misma forma que para el resto de los clientes conforme a las condiciones de clasificación definidas en el punto 5.6.1.
Con treinta días de anticipación a la aplicación de las tarifas asociadas a las nuevas instalaciones, las concesionarias deberán enviar a la Superintendencia el listado de las obras ejecutadas, una copia de la disposición municipal que les dio origen cuando corresponda, y la nómina de los clientes a los que se les aplicará la tarifa.
La Superintendencia, mediante resolución, establecerá el formato a que deberán ceñirse las concesionarias para registrar los antecedentes de que da cuenta este artículo.
5.7 Reconocimiento horario de costos asociados al suministro eléctrico.
Sin perjuicio de las opciones tarifarias señaladas precedentemente, los suministros que cuenten con unidad de medida del SMMC o con medidor con resolución cada 15 minutos o inferior, y memoria masa para el registro de energía, de la demanda máxima de potencia en horas de punta y demanda máxima de potencia suministrada, es decir, aquellos acogidos a las opciones tarifarias TRBT, TRAT, BT6, AT6, TRBT2, TRBT3, T RAT2, TRAT3, BT5 y AT5, podrán optar al pago por su aporte conjunto de pot e ncia a la demanda máxima de potencia en horas de punta de la empresa distribuidora bajo las siguientes condiciones:
1. La medición de los clientes deberá ser realizada con medidor sincronizado con los sistemas de registro y medida de la empresa distribuidora.
2. La empresa distribuidora deberá:
a. Tener instalado y operativo, en la cabecera del
alimentador, el equipamiento de medida señalado
en la normativa técnica correspondiente;
b. Poner a disposición del conjunto de clientes
señalados los registros de potencia del alimentador
en intervalos de, al menos, 15 minutos.
La implementación de este mecanismo en ningún caso constituirá una nueva opción tarifaria.
5.7.1 Determinación del aporte a la demanda máxima de potencia en horas de punta de la empresa distribuidora
El aporte a la demanda por concepto de compra de potencia de la empresa distribuidora de un cliente que haya optado por las condiciones para el reconocimiento horario de costos asociados al suministro eléctrico descrito en este punto, se calculará como el promedio del aporte de la demanda del cliente para cada una de las horas de punta consideradas por la empresa distribuidora para la facturación a sus suministradores por concepto de compras de potencia destinada a abastecer clientes regulados.
Para cada una de dichas horas, el aporte de la demanda del cliente corresponderá a la medición de su demanda en el mismo pulso que determina la respectiva demanda de compra de la distribuidora, de conformidad a lo que instruya la Superintendencia, previo informe de la Comisión sobre la materia.
Para el caso de los clientes que, al hacer uso del mecanismo de reconocimiento horario no cuenten con registros de medición horaria de los últimos 12 meses, los registros faltantes, hasta completarlos, se deberán considerar como iguales al promedio de los registros en horas de punta exis tentes.
5.7.2 Valor del aporte a la demanda máxima de potencia en horas de punta de la empresa distribuidora
El aporte del cliente a los pagos por concepto de compra de potencia de la empresa distribuidora destinada al suministro de clientes regulados estará dado por la multiplicación del aporte señalado en el numeral precedente, en kW, el precio de nudo de potencia a nivel de distribución (Pp), en $/kW/mes, y los respectivos factores de expansión de pérdidas. Para los clientes suministrados en baja tensión, dicho factor de pérdidas corresponderá a la multiplicación de los factores PPAT y PPBT. Para los clientes suministrados en alta tensión, dicho factor será PPAT.
Consistentemente, para los clientes que hayan optado a este mecanismo, el resultado de la multiplicación del párrafo precedente corresponderá al Cargo por compras de potencia [$/kW/mes], descrito en el punto 4 del presente decreto. Con todo, una vez determinado el aporte del cliente a los pagos por concepto de compra de potencia de la empresa distribuidora destinada al suministro de clientes regulados, ésta deberá abonar o cargar, según corresponda, las diferencias respecto a lo que el cliente hubiere pagado mensualmente por compras de potencia de acuerdo a su opción tarifaria.
Los clientes que opten por el mecanismo de reconocimiento horario deberán permanecer por un período mínimo de 12 meses en este régimen.
Las diferencias que resulten de la aplicación del mecanismo señalado en el presente numeral serán resueltas por la Superintendencia.
6. FÓRMULAS TARIFARIAS
A continuación, se indican las fórmulas a través de las cuales se obtendrán los precios unitarios considerados en las distintas opciones tarifarias.
6.1 Tarifas destinadas a usuarios residenciales
a) Tarifa BT1a

b) Tarifa BT1b

c) Tarifa TRBT

d) Tarifas TRBT2

e) Tarifas TRBT3

f) Tarifa TRAT

g) Tarifa TRAT1

h) Tarifa TRAT2

i) Tarifa TRAT3

6.2 Tarifa BT2

6.3 Tarifa BT3

6.4 Tarifas BT4
6.4.1 Tarifa BT4.1

6.4.2 Tarifa BT4.2

6.4.3 Tarifa BT4.3

6.5 Tarifa BT5

6.6 Tarifa BT6

6.7 Tarifa AT2

6.8 Tarifa AT3

6.9 Tarifas AT4
6.9.1 Tarifa AT4.1

6.9.2 Tarifa AT4.2

6.9.3 Tarifa AT4.3

6.10 Tarifa AT5

6.11 Tarifa AT6

6.1 2 Definición de términos
6.12.1 Precios de nudo
Pe : Precio de nudo de energía en nivel de distribución.
Se expresa en $/kWh.
Pp : Precio de nudo de potencia en nivel de distribución.
Se expresa en $/kW/mes.
PNPP : Precio de nudo de la potencia de punta promedio de
la concesionaria. Aplica sólo para opción tarifaria
BT1b. Se expresa en $/kW/mes.
Estos precios se determinan según lo establecido en el punto 7.1.
6.12.2 Cargo por servicio público
CSP : Cargo por Servicio Público, al que se refiere el
artículo 212°-13 de la Ley. Se expresa en $/kWh.
6.12.3 Cargo por uso del sistema de transmisión
CTX : Cargo por Uso del Sistema de Transmisión, al que
se refieren los artículos 99° bis, 115° y 116° de
la Ley. Asimismo, este cargo comprenderá, según
corresponda, los cargos que se determinen según
las reglas establecidas en las disposiciones
transitorias de la ley N° 20.936. Se expresa en
$/kWh. Este cargo se determinará en proporción
a los consumos de energía conforme se establezca
en la normativa vigente.
Estos precios se determinan según lo establecido en el punto 7.2.
6.12.4 Costos de distribución
CDAT : Costo de distribución sectorizado en alta tensión.
Se expresa en $/kW/mes.
CDBT : Costo de distribución sectorizado en baja tensión.
Se expresa en $/kW/mes.
Estos costos se especifican para cada empresa según su área típica conforme lo señalado en el punto 7.3.
6.12.5 Cargos fijos
CFES : Cargo fijo sectorizado para cliente con medición
de energía. Se expresa en $/mes.
CFDS : Cargo fijo sectorizado para cliente con medición
de energía y medición de demanda. Se expresa en
$/mes.
CFHS : Cargo fijo sectorizado para cliente con medición
de energía y medidor de demanda con resolución
cada 15 minutos o inferior. Se expresa en $/mes.
CFUS : Cargo fijo para cliente con unidad de medida del
SMMC. Se expresa en $/mes.
Estos valores se especifican en el punto 7.4.
6.12.6 Horas de uso y factores de coincidencia
NHUNB : Número de horas de uso para el cálculo de la
potencia base coincidente con la punta del sistema.
NHUDB : Número de horas de uso para el cálculo de la
potencia base coincidente con la punta del sistema
de distribución.
NHUDV : Número de horas de uso para el cálculo de la
potencia base adicional de verano coincidente
con la punta del sistema de distribución según
la opción BT1b.
FNPPB : Factor de coincidencia en baja tensión de las
demandas presentes en la punta del sistema.
FDPPB : Factor de coincidencia en baja tensión de las
demandas presentes en la punta del sistema de
distribución.
FNDPB : Factor de coincidencia en baja tensión de las
demandas parcialmente presentes en la punta del
sistema.
FDDPB : Factor de coincidencia en baja tensión de las
demandas parcialmente presentes en la punta del
sistema de distribución.
FDFPB : Factor de coincidencia en baja tensión de las
demandas consumidas fuera de las horas de punta.
FNPPA : Factor de coincidencia en alta tensión de las
demandas presentes en la punta del sistema.
FDPPA : Factor de coincidencia en alta tensión de las
demandas presentes en la punta del sistema de
distribución.
FNDPA : Factor de coincidencia en alta tensión de las
demandas parcialmente presentes en la punta del
sistema.
FDDPA : Factor de coincidencia en alta tensión de las
demandas parcialmente presentes en la punta del
sistema de distribución.
FDFPA : Factor de coincidencia en alta tensión de las
demandas consumidas fuera de las horas de punta.
Estos valores se especifican en el punto 7.5.
6.12.7 Factores de expansión de pérdidas
. PPAT = PMPAG
. PEAT = PMEA
. PPBT = PMPBG
. PEBT = PMEB
. PMPBT = PMPBD
Donde:
PPAT : Factor de expansión de pérdidas de potencia en los
sistemas de distribución en alta tensión en horas
de punta de generación.
PEAT : Factor de expansión de pérdidas de energía en los
sistemas de distribución en alta tensión.
PPBT : Factor de expansión de pérdidas de potencia en los
sistemas de distribución en baja tensión en horas
de punta de generación.
PMPBT: Factor de expansión de pérdidas de potencia en
horas de máxima utilización de los sistemas de
distribución en baja tensión.
PEBT : Factor de expansión de pérdidas de energía en
los sistemas de distribución en baja tensión.
Estos valores se especifican en el punto 7.6.
6.12.8 Factor de Ajuste de las compras de Potencia
FACP : Factor de Ajuste de las Compras de Potencia.
Estos valores se especifican en el punto 7.10.
7. DETERMINACIÓN DE LOS PARÁMETROS DE LAS FÓRMULAS TARIFARIAS
7.1 Precios de nudo de energía y potencia (Pe, Pp y PNPP)
Los precios Pe, Pp y PNPP a que se refieren las fórmulas tarifarias señaladas en el punto 6, aplicables a clientes sometidos a regulación de precios en zonas de concesión de concesionarias, corresponderán a los precios que para estos efectos, y según corresponda, se establezcan en el decreto de precios de nudo promedio que se fije.
En el caso particular de los clien tes atendidos por CGE y ENEL, y que fueran atendidos por las disueltas empresas Empresa Eléctrica de Arica S.A. (EMELARI), Empresa Eléctrica de Iquique S.A. (ELIQSA), Empresa Eléctrica de Antofagasta S.A. (ELECDA), Empresa Eléctrica Atacama S.A. (EMELAT), Compañía Nacional de Fuerza Eléctrica S.A. (CONAFE) y Luz Andes Ltda. (LUZ ANDES), según corresponda, deberá seguir considerándose los precios fijados para estas últimas en los correspondientes decretos de precios de nudo prom edio, mientras dichos precios sean determinados.
7.2 Cargo por uso del sistema de transmisión
El cargo por Uso del Sistema de Transmisión según lo señalado en el punto 6.12.3 del presente artículo será el que se determine conforme al artículo 114° de la Ley y fijado por resolución exenta de la Comisión.
7.3 Costos de distribución (CDAT y CDBT)
7.3.1 Fórmulas de costos de distribución
Los costos de distribución en alta y baja tensión, CDAT y CDBT, respectivamente, corresponden a las variables que otorgan el nivel tarifario de distribución propiamente tal, quedando determinados en función de los valores agregados de distribución para cada ATD. Estos costos se determinan en función de las siguientes expresiones:

Donde:
FETR : Factores de equidad tarifaria residencial para
la aplicación de lo contemplado en el artículo
191° de la Ley. Dichos factores serán determinados
en el decreto de precio de nudo promedio correspondiente,
sin perjuicio de lo indicado en el artículo tercero
del presente decreto.
CDAT : Costo de distribución sectorizado en alta tensión.
Se determina a partir de la indexación del valor base
CDATo (Index (CDATo)), de la sectorización. Se expresa
en $/kW/mes.
CDBT : Costo de distribución sectorizado en baja tensión.
Se determina a partir de la indexación del valor base
CDBTo (Index (CDBTo)), de la sectorización. Se expresa
en $/kW/mes.
FACD : Factor de ajuste de los costos de distribución para
el cumplimiento de la condición señalada en el inciso
primero del artículo 185° de la LGSE. Se señalan en el
punto 7.9.
FSTCD : Factor de asignación de valores agregados de
distribución sectorizados. Se expresa por comuna y en
valor propio. Se señalan en el punto 7.7.
CDATo : Valor base del costo de distribución en alta tensión
a aplicar en las fórmulas de indexación. Se expresa
en $/kW/mes.
CDBTo : Valor base del costo de distribución en baja tensión
a aplicar en las fórmulas de indexación. Se expresa
en $/kW/mes.
Index() : Equivale al valor indexado de la componente entre
paréntesis, de conformidad con las fórmulas de
indexación dispues tas en el numeral 7.8. Se
expresa $/kW/mes.
Los costos de distribución CDAT y CDBT se establecen mediante la utilización de las respectivas fórmulas de indexación señaladas en el numeral 7.8 del presente decreto, las que se aplican directamente sobre los valores base CDATo y CDBTo, respectivamente.
De acuerdo al área típica de la empresa, los valores de los parámetros a emplear se señalan a continuación:
Los valores CDATo y CDBTo por área típica son los siguientes:

7.4 Cargos fijos (CFES, CFDS, CFHS y CFUS)
7.4.1 Fórmulas de cargos fijos
Los cargos fijos sectorizados de clientes se determinan de la siguiente forma:
Medidor de energía:
CFES = FACF · Index(CFEO)
Medidor de energía y medidor de demanda:
CFDS = FACF · Index(CFDO)
Medidor de energía y medidor con resolución cada 15 minutos o inferior:
CFHS = FACF · Index(CFHO)
Unidad de medida del SMMC:
CFUS = FACF · Index(CFUO)
Donde:
CFES : Cargo fijo para cliente con medidor de energía.
Se expresa en $/mes.
CFDS : Cargo fijo para cliente con medidor de energía y
medidor de demanda. Se expres a en $/mes.
CFHS : Cargo fijo para cliente con medidor de energía y
medidor con resolución cada 15 minutos o inferior.
Se expresa en $/mes.
CFUS : Cargo fijo para cliente con unidad de medida del SMMC.
Se expresa en $/mes.
FACF : Factor de ajuste del cargo fijo para el cumplimiento
de la condición señalada en el inciso primero del
artículo 185° de la LGSE. Se señalan en el punto 7.9.
CFEo : Cargo fijo base de cliente con medición de energía.
Se establece como valor base para la indexación.
Se expresa en $/mes.
CFDo : Cargo fijo base de cliente con medición de energía
y medición de demanda. Se establece como valor base
para la indexación. Se expresa en $/mes.
CFHo : Cargo fijo base de cliente con medición de energía y
medición de demanda con resolución horaria o inferior.
Se establece como valor base para la indexación.
Se expresa en $/mes.
CFUo : Cargo fijo base de cliente con unidad de medida del
SMMC. Se establece como valor base para la indexación.
Se expresa en $/mes.
Index( ) : Equivale al valor indexado de la componente entre
paréntesis, de conformidad con las fórmulas de
indexación dispuestas en el numeral 7.8. Se expresa
en $/mes.
De acuerdo al área típica de la concesionaria, los valores de los parámetros a emplear se señalan a continuación:
CFEo, CFDo, CFHo y CFUo

7.5 Horas de uso y factores de coincidencia
Por cada concesionaria, los valores de horas de uso y factores de coincidencia son los siguientes:

7.6 Factores de expansión de pérdidas
En cada año que se indica, los valores de los factores de expansión de pérdidas a emplear serán los siguientes:

7.7 Factores de asignación de costos sectorizados (FSTCD)
Factor de asignación de valores agregados de distribución sectorizados, se expresa por comuna y en valor propio. Para cada empresa y comuna, a continuación se indican los factores de asignación de costos sectorizados FSTCD:













CUT: Código Único Territorial establecido por decreto exento N° 1.115, de 2018, del Ministerio del Interior y Seguridad Pública.
Si con posterioridad al 31 de diciembre de 2019 se crearan o se hubiesen creado nuevas comunas, los clientes ubicados en ellas y a los cuales se les esté efectuando una aplicación tarifaria en los términos establecidos en el presente decreto, mantendrán dichos niveles tarifarios.
Si con posterioridad al 31 de diciembre de 2019 la empresa otorgase suministro a clientes regulados, ubicados fuera de su zona de concesión vigente a dicha fecha, abarcando comunas que no se encuentran señaladas en el listado de los factores de sectorización para la empresa indicada, y en donde no existe aplicación tarifaria previa en los términos del presente decreto, los factores de asignación de costos sectorizados correspondientes a los clientes de las comunas referidas tomarán el valor igual a uno (FSTCD = 1,000).
Las empresas que, a la fecha de entrada en vigencia del presente decreto, tengan clientes con suministro subterráneo, conforme a la condición de aplicación y criterios de clasificación establecidos en el punto 5.6.1, deberán multiplicar los factores de asignación de costos sectorizados FSTCD que conforman las correspondientes tarifas, por los factores que se señalan en el punto 7.11, de acuerdo a la empresa o área típica de ella, según corresponda, y al tipo de alimentación que los clientes reciben conforme a los criterios de clasificación establecidos en el punto 5.6.1.
7.8 Definición de los parámetros, valores base y fórmulas de indexación
a) Indexadores definidos:
IPC : Índice de Precios al Consumidor, índice general,
publicado por el Instituto Nacional de Estadísticas
(INE), correspondiente al segundo mes anterior a
aquel mes en que las tarifas resultantes serán
aplicadas.
CPI : Consumer Price Index (All Urban Consumers), publicado
por el Bureau of Labor Statistics (BLS) del Gobierno
de los Estados Unidos de América (Código BLS:
CUUR0000SA0), correspondiente al segundo mes anterior
a aquel mes en que las tarifas resultantes serán
aplicadas.
D : Tipo de cambio observado para el dólar de los Estados
Unidos de América, publicado por el Banco Central de
Chile, "Dólar Observado", correspondiente al valor
promedio del segundo mes anterior a aquel en que las
tarifas serán aplicadas.
Concordantemente con lo anterior, los valores base se muestran en la tabla siguiente:

Las empresas concesionarias deberán aplicar los índices IPC, CPI y el valor del tipo de cambio D, de acuerdo a las condiciones establecidas en el artículo 191° de la Ley.
b) Fórmulas de indexación
En las siguientes fórmulas de indexación los parámetros denominados IA, OA, AA, IB, OB y AB corresponden a las proporciones de costos asociadas a cada indicador de inversión y operación en alta y baja tensión, respectivamente. En base a lo anterior, se definen las siguientes fórmulas de indexación asociadas a los costos de distribución:
Costos de distribución en AT (CDAT):

Costos de distribución en BT (CDBT):

En estas fórmulas, los costos de distribución quedan expresados a través del tiempo en función de indexadores corrientes, indexadores base y costos de distribución base (CDATo y CDBTo), expresados en pesos al 31 de diciembre de 2019.
Por su parte, se plantean las fórmulas de indexación asociadas a los cargos fijos, las que quedan definidas de la siguiente manera:
Cargo fijo medidor de energía:

Cargo fijo medidor de energía y medidor de demanda:

Cargo fijo medidor de energía y medidor con resolución cada 15 minutos o inferior:

Cargo fijo Unidad de Medida que es parte del SMMC:

Donde:

c) Indexadores y proporciones de costo en Costo de Distribución AT (CDAT)

Donde:
IA1 : Proporción del costo AT que varía con el IPC en
componente de inversión;
IA2 : Proporción del costo AT que varía con el CPI en
componente de inversión;
OA1 : Proporción del costo AT que varía con el IPC en
componente de operación;
OA2 : Proporción del costo AT que varía con el CPI en
componente de operación;
AA1 : Proporción del costo AT que varía con el IPC en
componente de ajuste por efectos del impuesto a
la renta;
AA2 : Proporción del costo AT que varía con el CPI en
componente de ajuste por efectos del impuesto a la renta.
d) Indexadores y proporciones de costo en Costo de Distribución BT (CDBT)

Donde:
IB1 : Proporción del costo BT que varía con el IPC en
componente de inversión;
IB2 : Proporción del costo BT que varía con el CPI en
componente de inversión;
OB1 : Proporción del costo BT que varía con el IPC en
componente de operación;
OB2 : Proporción del costo BT que varía con el CPI en
componente de operación;
AB1 : Proporción del costo AT que varía con el IPC en
componente de ajuste por efectos del impuesto a
la renta;
AB2 : Proporción del costo AT que varía con el CPI en
componente de ajuste por efectos del impuesto a
la renta.
e) Indexadores y proporción del costo asociada a cargos fijos
Los cargos fijos se indexarán en un 100% por IPC.
f) Factor de corrección por aportes de terceros (β)
De conformidad con lo establecido en el artículo 186° de la Ley, los valores agregados serán corregidos para cada empresa distribuidora de modo de descontarles la proporción del VNR de instalaciones aportadas por terceros que tengan en relación con el VNR de todas sus instalaciones de distribución. Al valor resultante se le adicionará la anualidad necesaria para renovar dichos aportes.
Para incorporar aquello, se emplea un factor aplicable a la componente de inversión de las fórmulas de indexación de los costos de distribución (β), el cual se calcula sobre la base de la proporción de aportes de terceros. Dicho factor se muestra en la tabla siguiente.

7.9 Factor de ajuste de los costos de distribución y de los cargos fijos
En cada año que se indica, se deberán incorporar al nivel tarifario los siguientes factores de ajuste anuales, que multiplican a los costos de distribución y a los cargos fijos, según corresponda.
Factor de ajuste de los costos de distribución (FACD)

Factor de ajuste de los cargos fijos (FACF)

7.10 Factor de ajuste de las compras de potencia (FACP)
A continuación, se presentan los siguientes factores de ajuste de las compras de potencia, los cuales se deberán incorporar en conjunto con los factores de coincidencia y horas de uso coincidentes con la punta del sistema, definidos en el numeral 7.5, y de acuerdo con las fórmulas tarifarias establecidas en el numeral 6, ambos del presente decreto.
Factor de ajuste de las compras de potencia (FACP)

7.11 Factor de modulación de costos subterráneos
Los factores de modulación de costos subterráneos determinados que deberán multiplicar los factores de asignación de costos sectorizados (FSTCD), son los siguientes:
a) Para las siguientes empresas distribuidoras los factores serán:

b) Para empresas distribuidoras distintas de las señaladas en el literal precedente, los factores serán:

Donde:
AT_A : Cliente AT alimentado en forma aérea.
AT_S : Cliente AT alimentado en forma subterránea.
BT_AA : Cliente BT alimentado vía AT y BT aérea.
BT_SA : Cliente BT alimentado vía AT subterránea y BT aérea.
BT_AS : Cliente BT alimentado vía AT aérea y BT subterránea.
BT_SS : Cliente BT alimentado vía AT y BT subterránea.
Artículo segundo: En la boleta o factura deberá indicarse el nombre de la subestación primaria de distribución desde la cual el cliente se encuentra abastecido. Para estos efectos se entenderá que la subestación primaria de distribución que abastece al cliente es aquella que presente la menor distancia al punto de suministro. La distancia será medida a lo largo de las líneas eléctricas que puedan permitir la conexión. Las líneas a considerar son las de propiedad de la empresa distribuidora y, además, las establecidas mediante concesión o que utilicen en su trazado bienes nacionales de uso público, independientemente de sus características técnicas y de si los circuitos operan o no normalmente cerrados. Las empresas distribuidoras deberán mantener una base de datos actualizada que identifique a cada cliente en su zona de concesión con la subestación primaria de distribución que lo abastece.
En la factura o boleta se identificará separadamente la glosa de los cargos aplicados, su facturación y la suma total facturada, así como los demás cargos que la reglamentación vigente establezca.
Las tarifas del presente decreto son netas y no incluyen el impuesto al valor agregado ni otros impuestos o tributos que sean de cargo de los clientes.
Las tarifas a que dé lugar la aplicación de las fórmulas tarifarias anteriores deberán aplicarse conforme a lo dispuesto en el artículo 192° de la Ley, teniendo en consideración lo indicado en el inciso final del artículo séptimo transitorio de la ley N° 21.667.
Artículo tercero: Fíjase en forma excepcional, según lo indicado en el inciso sexto del artículo cuarto transitorio de la ley N° 21.667, los ajustes y recargos a que dé origen el mecanismo a que se refiere el inciso segundo del artículo 191° de la Ley, es decir, los Factores de Equidad Tarifaria Residencial que afectan a la componente contemplada en el numeral 3 del artículo 182° de la Ley, de acuerdo a lo informado mediante la resolución exenta N° 271 de fecha 29 de mayo de 2024, de la Comisión:



































*Todas aquellas comunas que no se encuentren individualizadas en la tabla y que sean suministradas por la respectiva empresa concesionaria en el sistema de transmisión zonal indicado.
Para aquellas combinaciones empresa/comuna/sistema de transmisión zonal que no tienen asignado en la tabla anterior un FETR para alguna de las tarifas residenciales, se deberá aplicar el FETR determinado para la combinación empresa/sistema de transmisión zonal/tarifa, determinado para aquellas comunas no individualizadas (es decir, que presentan un * en la columna Comuna de la tabla anterior).
No obstante lo señalado en el párrafo anterior, y considerando que para la presente fijación no se cuenta con información histórica asociada a los consumos de las opciones tarifarias residenciales TRBT y TRAT, individualizadas en el numeral 3.1 del presente decreto, el FETR a utilizar será aquel asociado a la combinación empresa distribuidora, comuna y sistema de transmisión zonal correspondiente a dicho usuario, definido para la tarifa residencial BT1a en la tabla anterior.
En particular, para las combinaciones individualizadas en la siguiente tabla, se deben aplicar los factores señalados a continuación, sólo para los tipos de suministro indicados. Lo anterior, debido a que dado el nivel de precios de estas combinaciones, al considerar los factores de modulación de costos subterráneos, establecidos en el numeral 7.11 del presente decreto, se hace necesario determinar un FETR particular para resguardar los criterios establecidos en el artículo 191° de la Ley sobre las tarifas máximas que las em presas distribuidoras podrán cobrar por suministro a usuarios resi denciales (no podrán superar el promedio simple de éstas, calculadas sobre la base de un consumo tipo, incrementado en un 10% del mismo, considerando una muestra representativa) y sobre el efecto en las tarifas de los clientes residenciales que deban absorber las diferencias (que no podrán resultar superiores al promedio simple de éstas).




Para el caso de los clientes residenciales, cuyo consumo promedio mensual de energía del año calendario anterior haya sido mayor a 200 kWh y menor o igual a 240 kWh, los factores señalados en las tablas precedentes deberán aplicarse conforme las proporciones a que se refiere el inciso segundo del artículo 191° de la Ley.
Las transferencias entre concesionarias a que den origen las diferencias de facturación producto de la aplicación del mecanismo de equidad tarifaria residencial serán calculadas por el Coordinador, de acuerdo con lo señalado en la resolución exenta N° 556 de la Comisión, de fecha 6 de octubre de 2017. Dichas diferencias serán consideradas en el cálculo de las fijaciones de Precio de Nudo Promedio.
Artículo cuarto: Téngase presente que, de acuerdo a lo dispuesto en el inciso final del artículo cuarto transitorio de la ley N° 21.667, los ajustes y recargos referidos en el artículo tercero anterior se deberán aplicar a partir de la publicación del presente decreto en el Diario Oficial, los que se mantendrán vigentes hasta la publicación en el Diario Oficial del decreto a que se refiere el inciso tercero del artículo 191° de la LGSE.
Artículo quinto: Establézcase, que los ajustes y recargos indicados en el artículo tercero precedente deberán ser igualmente considerados en el cálculo de las reliquidaciones a las que se refiere el artículo 192° de la Ley, para las tarifas correspondientes al cuadrienio 2020 – 2024, de acuerdo a lo mandatado por el inciso final del artículo cuarto transitorio de la ley N° 21.667.
Artículo sexto: De acuerdo a lo indicado en el artículo séptimo transitorio de la ley N° 21.667, el presente decreto entrará en vigencia sin esperar su total tramitación, por razones impostergables de buen servicio, en atención al retraso en el proceso tarifario que da origen al presente acto administrativo, según se señala en la respectiva parte considerativa.
Artículo séptimo: Publíquese el presente decreto en el Diario Oficial una vez remitido a la Contraloría General de la República.
Anótese, publíquese y tómese razón.- Por orden del Presidente de la República, Diego Pardow Lorenzo, Ministro de Energía.
Lo que transcribo a Ud. para su conocimiento.- Saluda Atte. a Ud., María Fernanda Riveros Inostroza, Jefa División Jurídica, Subsecretaría de Energía.