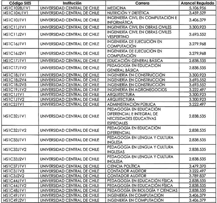
Artículo primero: Reemplázanse en la tabla del artículo único del decreto exento N° 59, modificado por el decreto exento N° 489, ambos de 2024, del Ministerio de Educación, los valores correspondientes a los de la Universidad Central, por los siguientes:


