FIJA PRECIOS DE NUDO PROMEDIO EN EL SISTEMA ELÉCTRICO NACIONAL, DE ACUERDO AL ARTÍCULO 158° DE LA LEY GENERAL DE SERVICIOS ELÉCTRICOS Y FIJA AJUSTES Y RECARGOS POR APLICACIÓN DEL MECANISMO DE EQUIDAD TARIFARIA RESIDENCIAL

    Núm. 7T.- Santiago 28 de junio de 2024.

    Vistos:

    Lo dispuesto en el artículo 35 del decreto N° 100, de 2005, del Ministerio Secretaría General de la Presidencia, que fija el texto refundido, coordinado y sistematizado de la Constitución Política de la República; en el decreto ley N° 2.224, de 1978, del Ministerio de Minería, que crea el Ministerio de Energía y la Comisión Nacional de Energía; en el Decreto con Fuerza de Ley N° 4/20.018, de 2006, del Ministerio de Economía, Fomento y Reconstrucción, que fija texto refundido, coordinado y sistematizado del Decreto con Fuerza de Ley N 1, de Minería, de 1982, Ley General de Servicios Eléctricos, en materia de energía eléctrica, y sus modificaciones posteriores, en adelante "Ley"; en la ley N° 20.936, que establece un nuevo sistema de transmisión eléctrica y crea un organismo coordinador independiente del sistema eléctrico nacional; en la ley N° 21.185, que crea un mecanismo transitorio de estabilización de precios de la energía eléctrica para clientes sujetos a regulación de precios, en adelante "Ley N° 21.185"; en la ley N° 21.472, que crea un fondo de estabilización de tarifas y establece un nuevo mecanismo de estabilización transitorio de precios de la electricidad para clientes sometidos a regulación de precios, en adelante "Ley N° 21.472"; en la ley N° 21.657, que modifica la Ley General de Servicios Eléctricos, en materia de cobro de tarifa eléctrica para servicios sanitarios rurales, en adelante "Ley N° 21.657"; en la ley N° 21.667, que modifica diversos cuerpos legales, en materia de estabilización tarifaria, en adelante "Ley N° 21.667"; en el decreto supremo N° 86, de 2012, del Ministerio de Energía, que aprueba reglamento para la fijación de precios de nudo y sus modificaciones posteriores, en adelante el "Decreto supremo N° 86"; en el decreto supremo N° 106, de 2015, del Ministerio de Energía, que aprueba reglamento sobre licitaciones de suministro para satisfacer el consumo de clientes regulados de las empresas concesionarias de servicio público de distribución de energía eléctrica y deroga el decreto supremo N° 4, de 2008, del Ministerio de Economía, Fomento y Reconstrucción, en adelante "Decreto supremo N° 106"; en el decreto supremo N° 49, de 2023, del Ministerio de Hacienda, que aprueba reglamento que establece las normas que regulan la operación del fondo de estabilización de tarifas de la ley N° 21.472, en adelante "Decreto supremo N° 49"; en la resolución exenta N° 703, de 30 de octubre de 2018, de la Comisión Nacional de Energía, que modifica resolución exenta N° 778, que establece plazos, requisitos y condiciones para la fijación de precios de nudo promedio, de fecha 15 de noviembre de 2016, modificada por las resoluciones exentas N° 203 y N° 558, ambas de 2017, y fija texto refundido de la misma, en adelante "Resolución exenta N° 703", todas de la Comisión Nacional de Energía, en adelante la "Comisión"; en la resolución exenta N° 641, de fecha 30 de agosto de 2016, modificada por las resoluciones exentas N° 434, de 9 de agosto de 2017, N° 603, de 25 de octubre de 2017 y N° 10, de 11 de enero de 2018, todas de la Comisión, que establece plazos, requisitos y condiciones para la fijación de precios de nudo de corto plazo; en la resolución exenta N° 7, de 8 de enero de 2019, de la Comisión, modificada por las resoluciones exentas N° 184, N° 245, N° 270 y N° 320, todas de 2019, de la Comisión, que modifica resolución exenta N° 489, de 13 de julio de 2018, que aprueba metodología para la determinación del Cargo Equivalente de Transmisión a que se refiere el artículo vigesimoquinto transitorio de la ley N° 20.936, y fija demás disposiciones necesarias para la aplicación del referido artículo, modificada por las resoluciones exentas N° 555, N° 627, N° 651, todas del 2018, y fija texto refundido de la misma, en adelante "Resolución exenta N° 7"; en la resolución exenta N° 556, de fecha 6 de octubre de 2017, de la Comisión, que establece mecanismo de reliquidación de las diferencias de facturación entre empresas concesionarias de distribución a que se refiere el artículo 191° de la Ley General de Servicios Eléctricos; en la resolución exenta N° 342, de 9 de septiembre de 2021, modificada por las resoluciones exentas N° 514, de 2021 y N° 283, de 2022, todas de la Comisión, que modifica resolución exenta N° 72, de 5 de marzo de 2020, que establece disposiciones técnicas para la implementación de la ley N° 21.185, y fija texto refundido, modificada por las resoluciones exentas N° 114 y N° 340 exentas, ambas de 2020, y resoluciones N° 115 y N° 186, exentas, ambas de 2021 y fija texto refundido de la misma, todas de la Comisión, en adelante "Resolución exenta N° 342"; en la resolución exenta N° 334, de 27 de julio de 2023, de la Comisión, que modifica la resolución exenta N° 86, de 2 de marzo de 2023, de la Comisión, que establece disposiciones técnicas para la implementación de la ley N° 21.472 y fija texto refundido, en adelante "Resolución exenta N° 334"; en la resolución exenta N° 275/2024, de 30 de mayo de 2024, de la Comisión, que establece reglas para la implementación y operación de lo dispuesto en el inciso segundo del artículo 191 bis de la Ley General de Servicios Eléctricos, en adelante "Resolución exenta N° 275"; en el decreto supremo N° 5T, de 31 de mayo de 2024, del Ministerio de Energía, que fija fórmulas tarifarias aplicables a los suministros sujetos a precios regulados que se señalan, efectuados por las empresas concesionarias de distribución que se indican, en adelante "Decreto N° 5T/2024"; en el decreto supremo N° 3T, de 2023, del Ministerio de Energía, que fija precios de nudo para suministros de electricidad, en adelante "Decreto 3T/2023"; en el decreto supremo N° 16T, de 2020, del Ministerio de Energía, que fija precios de nudo promedio en el Sistema Eléctrico Nacional, de acuerdo al artículo 158° de la Ley General de Servicios Eléctricos, y fija factor de ajuste por aplicación del mecanismo transitorio de estabilización de precios contemplado en la ley N° 21.185, en adelante "Decreto N° 16T/2020"; en el decreto supremo N° 20T, de 2018, del Ministerio de Energía, que fija Precios de Nudo Promedio en el Sistema Eléctrico Nacional, de acuerdo al artículo 158° de la Ley General de Servicios Eléctricos y fija ajustes y recargos por aplicación del mecanismo de equidad tarifaria residencial, en adelante "Decreto supremo N° 20T/2018"; en el decreto supremo N° 9T, de 2022, del Ministerio de Energía, que fija Precios de Nudo Promedio en el Sistema Eléctrico Nacional, de acuerdo al artículo 158° de la Ley General de Servicios Eléctricos, y fija factor de ajuste por aplicación del mecanismo transitorio de estabilización de precios contemplado en la ley N° 21.185, adelante "Decreto N° 9T/2022"; en el decreto supremo N° 16T, de 2022, del Ministerio de Energía, que fija precios de nudo promedio en el Sistema Eléctrico Nacional, de acuerdo al artículo 158° de la Ley General de Servicios Eléctricos, en adelante "Decreto N° 16T/2022"; en el decreto supremo N° 10T, de 2019, del Ministerio de Energía, que fija precios a nivel de generación y transmisión en sistemas medianos de Punta Arenas, Puerto Natales, Porvenir y Puerto Williams, y establece su plan de expansión, complementado por el Decreto Supremo N° 4T, de 2020, y modificado mediante decretos supremos N° 11T, de 2020, y N° 3T, de 2021, todos del Ministerio de Energía; en el decreto supremo N° 3T, de 2019, del Ministerio de Energía, que fija precios a nivel de generación y transmisión en sistemas medianos de Aysén, Palena y General Carrera y establece su plan de expansión, complementado por el decreto supremo N° 4T, de 2020, y modificado mediante decretos supremos N° 11T, de 2020, y N° 3T, 2021, todos del Ministerio de Energía; en el decreto supremo N° 2T, de 2019, del Ministerio de Energía, que fija precios a nivel de generación y transmisión en sistema mediano de Cochamó y establece su plan de expansión; en el decreto supremo N° 4T, de 2019, del Ministerio de Energía, que fija precios a nivel de generación y transmisión en sistema mediano de Hornopirén y establece su plan de expansión; en el Acuerdo N° 10/2024, del Consejo de Ministros para la Sustentabilidad y el Cambio Climático, que reconoce a las comunas de Tocopilla, Mejillones, Huasco, Puchuncaví, Quintero y Coronel, adoptado en su Sesión Ordinaria N° 4, de fecha 3 de mayo de 2024; en el Oficio N° 570/2024, de 10 de mayo de 2024, del Ministerio de Energía, que informa acuerdo del Consejo de Ministros para la Sustentabilidad y el Cambio Climático respecto a las comunas declaradas en transición a efectos de la aplicación del artículo 7 transitorio de la ley N° 21.667; en el Oficio N° 618/2024, de 24 de mayo de 2024, del Ministerio de Energía, que solicita aplicación del descuento Reconocimiento de Generación Territorial en el proceso para la Fijación de Precios de Nudo Promedio del Sistema Eléctrico nacional, correspondiente al primer semestre de 2024, en la forma que indica; en el Oficio CNE Of. ord. N° 356/2024, 27 de mayo de 2024, de la Comisión, que da respuesta a lo solicitado por el Ministerio de Energía en su oficio N° 618/2024, de 24 de mayo de 2024, respecto a la aplicación del descuento por Reconocimiento de Generación Territorial en el proceso para la Fijación de Precios de Nudo Promedio del Sistema Eléctrico Nacional; en la resolución exenta N° 318, de fecha 21 de junio de 2024, de la Comisión, que aprueba Informe Técnico Definitivo para la Fijación de Precios de Nudo Promedio del Sistema Eléctrico Nacional, de junio de 2024, correspondiente al primer semestre de 2024, enviada al Ministerio de Energía mediante oficio CNE Of. ord. N° 419/2024, de fecha 21 de junio de 2024, rectificada por la resolución exenta N° 336, de 28 de junio de 2024, de la Comisión, que rectifica y complementa Informe Técnico Definitivo para la Fijación de Precios de Nudo Promedio del Sistema Eléctrico Nacional, de junio de 2024, correspondiente al primer semestre de 2024, enviada al Ministerio de Energía mediante oficio CNE Of. ord. N° 436, de 28 de junio de 2024, en adelante "Resolución exenta N° 318"; en la resolución N° 7, de 2019, de la Contraloría General de la República; y

    Considerando:

    1. Que, de conformidad a lo establecido en el artículo 158° de la ley corresponde fijar por decreto del Ministerio de Energía, expedido bajo la fórmula "por orden del Presidente de la República", los precios promedio que las concesionarias de servicio público de distribución, en adelante las "Concesionarias" o "Distribuidoras", deben traspasar a sus clientes regulados, previo informe de la Comisión.
    2. Que, de acuerdo a lo señalado en el artículo 158°, inciso tercero, de la ley, las Concesionarias pagarán a sus suministradores los niveles de precios de los respectivos contratos señalados en el presente decreto.
    3. Que, el artículo 158° de la ley señala que los decretos de precio de nudo promedio tendrán vigencia semestral y serán dictados en la oportunidad que determine el reglamento.
    4. Que, el artículo vigésimo transitorio de la ley N° 20.936 estableció que mientras los reglamentos emanados de la mencionada ley no entren en vigencia, dichas disposiciones se sujetarán en cuanto a los plazos, requisitos y condiciones a las disposiciones de la ley y a las que se establezcan por resolución exenta de la Comisión.
    5. Que, mediante la resolución exenta N° 703, la Comisión estableció los plazos, requisitos y condiciones a los que deberá sujetarse el proceso de fijación de precios de nudo promedio regulado en los artículos 155° y siguientes de la ley.
    6. Que, con fecha 2 de noviembre de 2019, se publicó en el Diario Oficial la ley N° 21.185, que crea un mecanismo transitorio de estabilización de precios de energía eléctrica para clientes sujetos a regulación de precios.
    7. Que, mediante la resolución exenta N° 342, la Comisión estableció las disposiciones técnicas para la implementación de la ley N° 21.185.
    8. Que, por su parte, con fecha 2 de agosto de 2022, se publicó en el Diario Oficial la ley N° 21.472, que crea un fondo de estabilización de tarifas y establece un nuevo mecanismo de estabilización transitorio de precios de la electricidad para clientes sometidos a regulación de precios.
    9. Que, con fecha 29 de julio de 2023, se publicó en el Diario Oficial el decreto supremo N° 49, que aprobó el reglamento del fondo de estabilización de tarifas de la ley N° 21.472, de conformidad a lo dispuesto en el artículo 212° 14 de la ley.
    10. Que, mediante la resolución exenta N° 334, la Comisión estableció las disposiciones técnicas para la implementación de la ley N° 21.472.
    11. Que, de conformidad a lo dispuesto en el numeral 4 del artículo 3 de la ley N° 21.472, el mecanismo transitorio de protección al cliente aplica al Sistema Eléctrico Nacional y los sistemas medianos, y que se implementa a través de las fijaciones semestrales de precios a que se refiere el artículo 158° de la ley.
    12. Que, a su vez, con fecha 30 de abril de 2024, se publicó en el Diario Oficial la ley N° 21.667, que modifica diversos cuerpos legales, en materia de estabilización tarifaria.
    13. Que, el numeral 2 del artículo 3 de la ley N° 21.472, modificado por la ley N° 21.667, dispuso que para el primer y segundo período tarifario del año 2023, se mantendrán vigentes los precios de energía y potencia establecidos conforme al decreto N° 16T/2022.
    14. Que, los artículos 157° y 191° de la ley regulan, respectivamente, los mecanismos de reconocimiento de generación local y de reconocimiento de generación local adicional; y el mecanismo de equidad tarifaria residencial.
    15. Que, el numeral 7 del artículo 3 de la ley N° 21.472, en relación a los cargos y descuentos asociados a la aplicación de los mecanismos de reconocimiento de generación local y de reconocimiento de generación local adicional, establece que no se recalcularán los factores de intensidad para cada comuna y los descuentos según porcentaje de aporte, de conformidad a lo establecido en los incisos cuarto y quinto del artículo 157° de la ley, manteniendo los mismos establecidos en el informe técnico definitivo que dio origen al decreto supremo N° 9T/2022.
    16. Que, los incisos sexto y séptimo del artículo cuarto transitorio de la ley N° 21.667 disponen que, de forma excepcional el decreto que fija fórmulas tarifarias en conformidad al artículo 190° de la ley, correspondiente al cuadrienio 2020-2024, fijará también los ajustes y recargos a que da origen el mecanismo de equidad tarifaria residencial, los que deben ser aplicados a partir de la publicación del referido decreto en el Diario Oficial y se mantendrán vigentes hasta la publicación en el Diario Oficial del decreto a que se refiere el artículo 158° de la ley, que fije los nuevos ajustes y recargos a que dé origen aquel mecanismo.
    17. Que, con fecha 7 de junio de 2024, se publicó en el Diario Oficial el decreto N° 5T/2024, que fija las fórmulas tarifarias en conformidad al artículo 190° de la ley, correspondiente al cuadrienio 2020-2024, que conforme a lo dispuesto en el inciso sexto del artículo cuarto transitorio de la ley N° 21.667, de manera excepcional fijó los ajustes y recargos del mecanismo de equidad tarifaria residencial. Ahora bien, en razón de lo dispuesto en el inciso final del artículo cuarto transitorio de la ley N° 21.667, el artículo cuarto del decreto N° 5T/2024 establece que dichos ajustes y recargos se mantendrían vigentes hasta la publicación en el Diario Oficial del decreto a que se refiere el inciso tercero del artículo 191° de la ley, vale decir, el presente decreto.
    18. Que, para extinguir progresivamente los saldos originados por la implementación de la ley N° 21.185 y la ley N° 21.472, el artículo 9° de este último cuerpo legal, modificado por la ley N° 21.667, dispuso que en las fijaciones de precios de nudo promedio a que se refiere el artículo 158° de la ley, se establecerá un cargo, denominado "Cargo MPC", equivalente a 22 pesos por kWh, para los períodos tarifarios de los años 2024 a 2027, el que se reajustará semestralmente conforme a la variación que experimente el Índice de Precios al Consumidor, considerando como base el mes de enero de 2024.
    19. Que, el citado artículo 9° establece que el Cargo MPC debe ser soportado, a partir del primer período tarifario del año 2024, por aquellos clientes sometidos a regulación de precios cuyo consumo promedio mensual sea superior a 350 kWh, y que a partir del primer período tarifario de 2025 deberá ser soportado por todos los clientes sometidos a regulación de precios, independiente de su nivel de consumo.
    20. Que, el inciso segundo del artículo segundo transitorio de la ley N° 21.667 dispone que las diferencias de facturación no pagadas, contabilizadas hasta el 31 de octubre de 2023, deben ser incorporadas en el informe técnico definitivo emitido por la Comisión para la dictación del presente acto administrativo. Lo anterior, con el objeto de que las referidas diferencias de facturación sean remuneradas a través de la emisión de documentos de pago, conforme al procedimiento contenido en aquel artículo.
    21. Que, el artículo 4° de la ley N° 21.472 establece que el denominado Beneficio a Cliente Final, corresponde la diferencia de valorización de los consumos de los clientes finales, entre los precios de nudo promedio correspondientes o del decreto respectivo para el caso de los sistemas medianos y los precios establecidos conforme al artículo 3° del mismo cuerpo legal, más los déficits de recaudación del balance de las concesionarias de distribución. El valor acumulado de Beneficios a Cliente Final aplicados por las empresas distribuidoras, más sus costos financieros, corresponderán al "Saldo Final Restante", el cual debe ser incorporado explícitamente en los decretos tarifarios semestrales de precios de nudo promedio, conforme al artículo 5° de la ley N° 21.472.
    22. Que, asimismo, la ley N° 21.657 incorporó un nuevo artículo 191° bis a la ley, el que establece que en favor de los operadores de servicios sanitarios rurales que cumplan con los requisitos para ser licenciatarios conforme al artículo 13° de la ley N° 20.998, que regula los Servicios Sanitarios Rurales, se les aplicará un descuento equivalente al monto a facturar por concepto de precio nudo de la potencia de punta al que hace referencia el numeral 1 del artículo 155° de la ley. Estos descuentos deben ser contabilizados por la Comisión, a efectos de incorporar dichos montos en la fijación de precios a que se refiere el artículo 158° de la ley, los que luego serán traspasados a las empresas concesionarias de distribución.
    23. Que, de conformidad a lo dispuesto en la resolución exenta N° 275, para efectos de la contabilización de los descuentos a que se refiere el considerando precedente, la información relativa a los descuentos efectuados por las concesionarias de distribución debe ser enviada por la Superintendencia de Electricidad y Combustibles a la Comisión durante los últimos cinco días hábiles del mes de marzo y septiembre de cada año, considerando la información de los últimos seis meses previos a su envío. Sobre la base de esta información la Comisión determinará un cargo unitario en pesos por kilowatt hora [$/kWh], en adelante "Cargo Unitario SSR", considerando la demanda de energía proyectada del período tarifario correspondiente, el cual se incorporará a las tarifas de precios de nudo promedio de energía a nivel de distribución de las empresas concesionarias de distribución. Sin embargo, su artículo transitorio señala que, excepcionalmente, para los efectos de los informes técnicos correspondientes a las fijaciones de precios del año 2024, será la Comisión la que debe solicitar dichos antecedentes a la Superintendencia de Electricidad y Combustibles.
    24. Que, para los efectos del presente proceso tarifario, la Comisión no solicitó a la Superintendencia de Electricidad y Combustibles los antecedentes correspondientes a los descuentos efectuados en el período, en consideración a que a la fecha de publicación de la ley N° 21.657, en el período a que se refiere el informe técnico definitivo de la Comisión, aprobado por la resolución exenta N° 318, no hubo descuentos aplicados por empresas concesionarias de distribución a operadores de servicios sanitarios rurales.
    25. Que, por otro lado, en el marco de los procesos de fijación de precios de nudo promedio, el inciso segundo del artículo séptimo transitorio de la ley N° 21.667 regula un mecanismo de descuento en la componente de energía para aquellas comunas reconocidas como zonas en transición, por un acuerdo especial del Consejo de Ministros para la Sustentabilidad y el Cambio Climático.
    26. Que, en su Sesión Ordinaria N° 4, de fecha 3 de mayo de 2024, el Consejo de Ministros para la Sustentabilidad y el Cambio Climático, adoptó su acuerdo N° 10/2024, que reconoce como zonas en transición a las comunas de Tocopilla, Mejillones, Huasco, Puchuncaví, Quintero y Coronel, para efectos de la aplicación de lo dispuesto en el artículo séptimo transitorio de la ley N° 21.667.
    27. Que, mediante oficio ordinario N° 570/2024, de fecha 10 de mayo de 2024, el Ministerio de Energía informó a la Comisión el acuerdo del Consejo de Ministros para la Sustentabilidad y el Cambio Climático respecto a las comunas declaradas en transición a efectos de la aplicación del artículo séptimo transitorio de la ley N° 21.667, a efectos de incorporar un descuento a las comunas reconocidas como zonas en transición en el marco del presente proceso de fijación de precios de nudo promedio.
    28. Que, con fecha 24 de mayo de 2024, el Ministerio de Energía remitió a la Comisión su oficio N° 618/2024, mediante el cual solicita que la aplicación del descuento regulado en el artículo séptimo transitorio de la ley N° 21.667 se materialice en los mismos términos en que fue planteado durante la tramitación de aquel cuerpo legal ante el Congreso Nacional, es decir, que dicho descuento se aplique con carácter adicional a los descuentos establecidos en los artículos 157° y 191° de la ley, respecto del precio de la energía a traspasar a los clientes regulados.
    29. Que, en repuesta a la comunicación singularizada en el considerando precedente, la Comisión envió al Ministerio de Energía su oficio CNE Of. ord. N° 356/2024, 27 de mayo de 2024, informando que, en base a la revisión de los antecedentes entregados y los análisis realizados, se implementaría el descuento regulado en el artículo séptimo transitorio de la ley N° 21.667 en la forma indicada por el Ministerio de Energía, con ocasión de la emisión del Informe Técnico Definitivo del proceso de Fijación de Precios de Nudo Promedio del Sistema Eléctrico Nacional, correspondiente al primer semestre de 2024.
    30. Que, la Comisión, mediante el oficio CNE Of. ord. N° 419/2024, de 21 de junio de 2024, remitió a este Ministerio la resolución exenta N° 318, de la misma fecha, que aprueba Informe Técnico Definitivo para la Fijación de Precios de Nudo Promedio del Sistema Eléctrico Nacional, de junio de 2024, correspondiente a la fijación del primer semestre de 2024.
    31. Que, el informe técnico señalado en el considerando anterior contiene el cálculo de los nuevos precios de nudo promedio para cada concesionaria, según lo establecido en el artículo 157° de la ley, considerando las reglas dispuestas en el artículo 3° de la ley N° 21.472, modificada por la ley N° 21.667.
    32. Que, mediante la resolución exenta N° 336, de 28 de junio de 2024, de la Comisión, se rectificó el Informe Técnico Definitivo para la Fijación de Precios de Nudo Promedio del Sistema Eléctrico Nacional, de noviembre de 2022. La referida resolución fue remitida al Ministerio, mediante oficio CNE Of. ord. N° 436, de igual fecha.
    33. Que, de acuerdo a lo indicado en el inciso primero del artículo séptimo transitorio de la ley N° 21.667, los decretos de nudo promedio a que se refiere el artículo 158° de la ley que se dicten durante la vigencia de las disposiciones de la ley N° 21.472, podrán entrar en vigencia sin esperar su total tramitación por razones impostergables de buen servicio, indicando tal circunstancia en el decreto respectivo.
    34. Que, en dicho contexto, y de acuerdo a lo dispuesto en el inciso final del artículo segundo transitorio de la ley N° 21.667, el decreto que fija los precios de nudo promedio correspondiente al primer semestre del año 2024 debe ser publicado en el Diario Oficial a más tardar dentro de los 45 días contados desde la fecha de publicación de aquella ley. Adicionalmente, la entrada en vigencia del presente acto administrativo dará inicio al proceso de normalización de las tarifas establecido por la ley N° 21.667 y su retraso implicaría un aumento de las deudas generadas por el mecanismo transitorio de protección al cliente establecido por la ley N° 21.472. De esta forma, los plazos fijados por ley y la necesidad de normalizar las tarifas hacen imperioso que este decreto entre en vigencia en el menor plazo posible.
    35. Que, en consecuencia, esta Secretaría de Estado utilizará la facultad dispuesta en el artículo séptimo transitorio de la ley N° 21.667, por lo que el presente decreto entrará en vigencia sin esperar su total tramitación, por razones impostergables de buen servicio, de forma que deberá publicarse en el Diario Oficial una vez remitido a la Contraloría General de la República.
    36. Que, en virtud de lo expuesto en los considerandos precedentes, este Ministerio viene en dictar el presente acto administrativo, conforme se indica en la parte resolutiva del mismo.

    Decreto:

    Artículo primero: Fíjanse los precios de nudo promedio y las condiciones de aplicación de los mismos, para los suministros de electricidad destinados a clientes sometidos a regulación de precios, en adelante "Clientes Regulados" o "Clientes", en virtud de lo señalado en los artículos 155° y siguientes de la ley, considerando el mecanismo de protección al cliente por la ley N° 21.472, modificado por la ley N° 21.667. Estos precios se aplicarán desde la publicación del presente decreto en el Diario Oficial, sin perjuicio de su entrada en vigencia a contar del 1° de enero de 2024.

    1 DEFINICIONES Y CONSIDERACIONES

    1.1 Ajuste o Recargo ("AR")
    Ajuste o recargo a nivel de distribución aplicable a los clientes regulados de la empresa concesionaria de servicio público de distribución, resultante de la aplicación del artículo 157° de la ley y de la incorporación de los cargos de reliquidaciones que correspondan, en [$/kWh]. Se entenderá que el factor AR corresponde a un ajuste cuando su valor sea negativo y a un recargo cuando su valor sea positivo.

    1.2 Beneficio a Cliente Final
    Beneficio contemplado en el artículo 4° de la ley N° 21.472, que corresponde a la diferencia de valorización de los respectivos consumos entre los precios de nudo promedio correspondientes o del decreto respectivo para el caso de los sistemas medianos y los precios establecidos en el artículo 3° de dicho cuerpo normativo. Adicionalmente, incorporará el Déficit Semestral de la Distribuidora, en conformidad al inciso segundo del artículo 4° de la ley N° 21.472, determinado de conformidad al artículo 34° de la resolución exenta N° 334.

    1.3 Cargo MPC
    Cargo que se adiciona a los precios de energía traspasables a los clientes regulados en las fijaciones a que se refiere el artículo 158° de la ley, y cuyo objetivo, de conformidad al artículo 11 de la ley 21.472, es permitir extinguir progresivamente los saldos originados por la aplicación de la ley N° 21.185, así como para pagar las obligaciones del Fondo de Estabilización de Tarifas, y los documentos de pago emitidos de acuerdo con la ley N° 21.472, y sus modificaciones posteriores, de acuerdo con las condiciones que en ellos se contienen. A efectos del presente decreto, el cargo MPC es equivalente a 22 pesos por kWh, conforme a lo dispuesto en el artículo 9 de la ley N° 21.472.

    1.4 Comunas reconocidas como zonas en transición
    Corresponden a aquellas comunas que han sido reconocidas como zonas en transición por el Consejo de Ministros para la Sustentabilidad y el Cambio Climático, a efectos de aplicar un descuento del 40% a la componente de energía del precio de nudo establecido en el punto de conexión con las instalaciones de distribución que Distribuidoras traspasan a los Clientes. Este descuento se adicionará a los descuentos establecidos en los artículos 157° y 191° de la ley, respecto del precio de la energía a traspasar a los clientes regulados conforme a lo dispuesto en el artículo séptimo transitorio de la ley N° 21.667.
    Para los efectos del presente acto administrativo corresponden a zonas en transición las comunas de Tocopilla, Mejillones, Huasco, Puchuncaví, Quintero y Coronel, conforme a lo dispuesto en el acuerdo N° 10/2024, del Consejo de Ministros para la Sustentabilidad y el Cambio Climático, adoptado en Sesión ordinaria N° 4, de fecha 3 de mayo de 2024.

    1.5 Déficit Semestral de la Distribuidora
    Suma de los montos que no pudieron ser recaudados por la Distribuidora, de conformidad a los balances de las Distribuidoras, determinado en el informe técnico aprobado mediante la resolución exenta N° 318, calculado en conformidad a lo establecido en el inciso segundo del artículo 34° de la resolución exenta N° 334.

    1.6 Diferencias por Compras
    Monto de dinero determinado por el Coordinador Independiente del Sistema Eléctrico Nacional, en adelante "Coordinador", para cada contrato, de conformidad a lo establecido en el artículo 17° de la resolución exenta N° 703, correspondiendo a la suma, sobre todas las horas del mes correspondiente, de las diferencias entre los retiros físicos de energía del respectivo contrato de suministro de cada hora valorizados a los costos marginales en los correspondientes puntos de retiro asociados al respectivo sistema de transmisión zonal, y las compras de energía en los puntos de compra en la señalada hora asociadas a dichos retiros, valorizadas a los costos marginales de los correspondientes puntos de compra. El referido monto se incorpora, de manera individualizada, dentro de las Diferencias de Facturación, de conformidad a lo dispuesto en el artículo 18° de la resolución exenta N° 334.

    1.7 Diferencias de Facturación
    Diferencia en el pago en la facturación de la energía y potencia que se genere entre la aplicación de los niveles de precios fijados en el respectivo contrato y aquellos establecidos para el respectivo contrato en el decreto de precio nudo promedio vigente al momento de aplicación de la tarifa, de conformidad a lo dispuesto en el artículo 18° de la resolución exenta N° 334.

    1.8 Diferencias por Retraso del Decreto
    Corresponden a las diferencias de facturación de energía y potencia entre los niveles de precios de los respectivos contratos establecidos en el decreto de precios de nudo promedio, que se haya publicado en el Diario Oficial con retraso y aquellos precios que fueron efectivamente aplicados producto del retraso de la publicación del señalado decreto, descontando las diferencias de los Beneficios al Cliente Final resultantes del decreto de precio de nudo promedio publicado con retraso y del decreto de precio de nudo promedio efectivamente aplicados producto del retraso, durante el período de retraso. Este cálculo se realiza de conformidad a lo dispuesto en el artículo 19° de la resolución exenta N° 334, y en él se consideran las ventas reales en los puntos de compra y durante el período de retraso del decreto antes referido.

    1.9 Diferencias de Facturación No Pagadas
    Corresponden a las diferencias de valoración mensual de los respectivos contratos o del decreto respectivo para el caso de los sistemas medianos y los precios establecidos en el decreto de precios de nudo promedio vigente al momento de la facturación para el correspondiente contrato, y toda otra diferencia de facturación que no haya sido pagada a los suministradores ni reconocida a través de documentos de pago, contabilizadas hasta el 31 de octubre de 2023, de conformidad a lo establecido en el inciso segundo del artículo segundo transitorio de la ley N° 21.667.
    En consistencia con la definición del párrafo precedente, para efectos del presente decreto las Diferencias de Facturación No Pagadas consideran las Diferencias por Retraso del decreto, Diferencias de Facturación y las Diferencias por Compra, contabilizadas hasta el 31 de octubre de 2023.
    Cabe hacer presente que de conformidad al artículo 18° de la resolución exenta N° 334, las Diferencias por Compras consideran una ventana de tiempo de 6 meses correspondiente al mismo semestre del año anterior al de la vigencia de la respectiva fijación tarifaria, determinadas por el Coordinador de conformidad a lo dispuesto en el artículo 17° de la resolución exenta N° 703, ajustadas a una misma base monetaria conforme las variaciones mensuales que experimente el Índice de Precios al Consumidor, publicado por el Instituto Nacional de Estadísticas.

    1.10 Excedente Semestral de la Distribuidora
    Suma de los montos de exceso de recaudación por parte de la Distribuidora, según los balances de las Distribuidoras, calculado de conformidad a lo establecido en el artículo 34° de la resolución exenta N° 334.

    1.11 Fondo de Estabilización de Tarifas
    Corresponde al fondo a que se refiere el artículo 212°-14 de la ley, el cual es administrado por la Tesorería General de la República, cuyo objeto es la estabilización de las tarifas eléctricas para clientes regulados y el pago de los saldos originados por la aplicación de las leyes N° 21.185 y N° 21.472, y sus modificaciones, y el financiamiento del subsidio transitorio al pago del consumo de energía eléctrica para usuarios residenciales establecido en el artículo sexto transitorio de la ley N° 21.667.

    1.12 Mecanismo de Protección al Cliente ("MPC")
    Mecanismo a que se refiere el artículo 2° de la ley N° 21.472, que estabiliza los precios de energía, para el Sistema Eléctrico Nacional y los sistemas medianos, complementario a aquel establecido en la ley N° 21.185, para los clientes sujetos a regulación de precios suministrados por Distribuidoras reguladas por la ley.

    1.13 Precio preferente 2024-1
    Precio definido en la letra a), del numeral 3, del artículo 3° de la ley N° 21.472. Corresponde al precio de energía y potencia que las Distribuidoras podrán traspasar a sus clientes regulados cuyo consumo promedio mensual sea igual o inferior a 350 kWh para el primer período tarifario del año 2024, definido en el presente acto administrativo, y que corresponde a los precios establecidos en el decreto N° 16T/2022, ajustados de acuerdo con la variación experimentada por el Índice de Precios al Consumidor respecto a la última fijación de precio de nudo promedio.

    1.14 Precios de Nudo de Corto Plazo de energía y potencia de punta
    Son aquellos precios fijados semestralmente conforme a lo establecido en el artículo 160° de la ley y demás normativa vigente.

    1.15 Precios de Nudo de Largo Plazo de energía y potencia
    Son aquellos precios que debe pagar una Distribuidora a su suministrador en virtud del contrato de suministro respectivo, suscrito a partir de las licitaciones públicas reguladas en conformidad a los artículos 131° y siguientes de la ley.

    1.16 Saldos Contabilizados según ley N° 21.185
    Corresponde a los saldos originados con motivo de la aplicación del mecanismo de estabilización de precios establecido en el artículo 1° de la ley N° 21.185, contabilizados de conformidad a lo dispuesto en la resolución exenta N° 703.

    1.17 Saldo Final Restante
    Corresponde al valor acumulado de Beneficios a Cliente Final aplicado por las Distribuidoras más los costos financieros indicados en el artículo 6° de la ley N° 21.472, al que deberán descontarse los pagos realizados por la Tesorería General de la República, de conformidad a lo establecido en el artículo 10° del mismo cuerpo legal.

    1.18 Consideraciones Generales
    Para los efectos del presente decreto, el precio de nudo promedio corresponderá al promedio de los precios de nudo de largo plazo vigentes para los suministros, conforme a la modelación de los contratos de las Distribuidoras, ponderando cada precio por el volumen de suministro correspondiente.
    En el caso que una Distribuidora, a la fecha de entrada en vigencia del presente decreto, tenga suministros sujetos a Precio de Nudo de Corto Plazo, el precio de nudo promedio se obtendrá considerando esos suministros con criterios similares a los contratos licitados, constituyéndose entonces como un contrato recogido en el cálculo del precio de nudo promedio.
    La modelación de los contratos de suministro, elaborada por la Comisión con ocasión de la realización de su informe técnico, considera los índices disponibles al momento en que realiza el cálculo. Lo anterior, sin perjuicio del pago que deban realizar las Distribuidoras a sus suministradores, de acuerdo a lo establecido en sus respectivos contratos.
    Se considerarán para el MPC solo aquellos contratos que iniciaron suministro antes de 2021. No obstante, de conformidad a lo dispuesto en el inciso segundo del artículo segundo transitorio de la ley N° 21.667, en la determinación de las Diferencias de Facturación No Pagadas y su posterior remuneración a través de documentos de pago, se consideran todos los contratos de suministro.
    Finalmente, cabe señalar que respecto de la empresa Distribuidora Eléctrica S.A. ("DESA"), dentro de los antecedentes remitidos por el Coordinador a la Comisión no se contenía información de dicha empresa, por lo cual no resultó posible incluirla en los apartados correspondientes del Informe Técnico Definitivo para la Fijación de Precios de Nudo Promedio del Sistema Eléctrico Nacional, de junio de 2024, aprobado por la resolución exenta N° 318.

    2 PRECIOS DE NUDO DE LARGO PLAZO

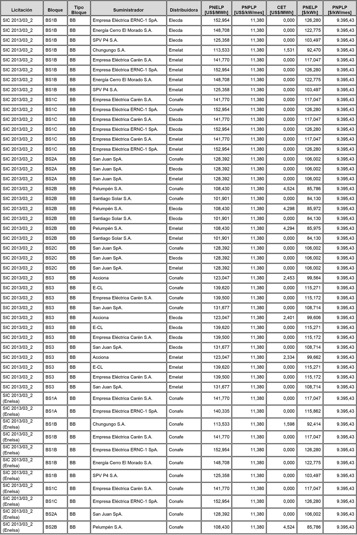
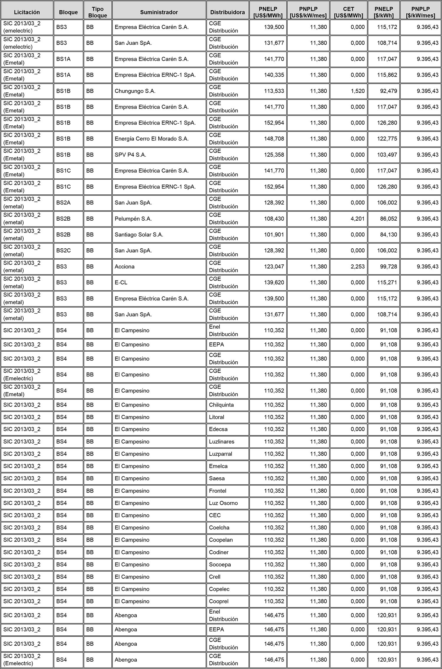
    2.1 Precios de Nudo de Largo Plazo de energía y potencia, Precios de Nudo de Largo Plazo y Cargo Equivalente de Transmisión
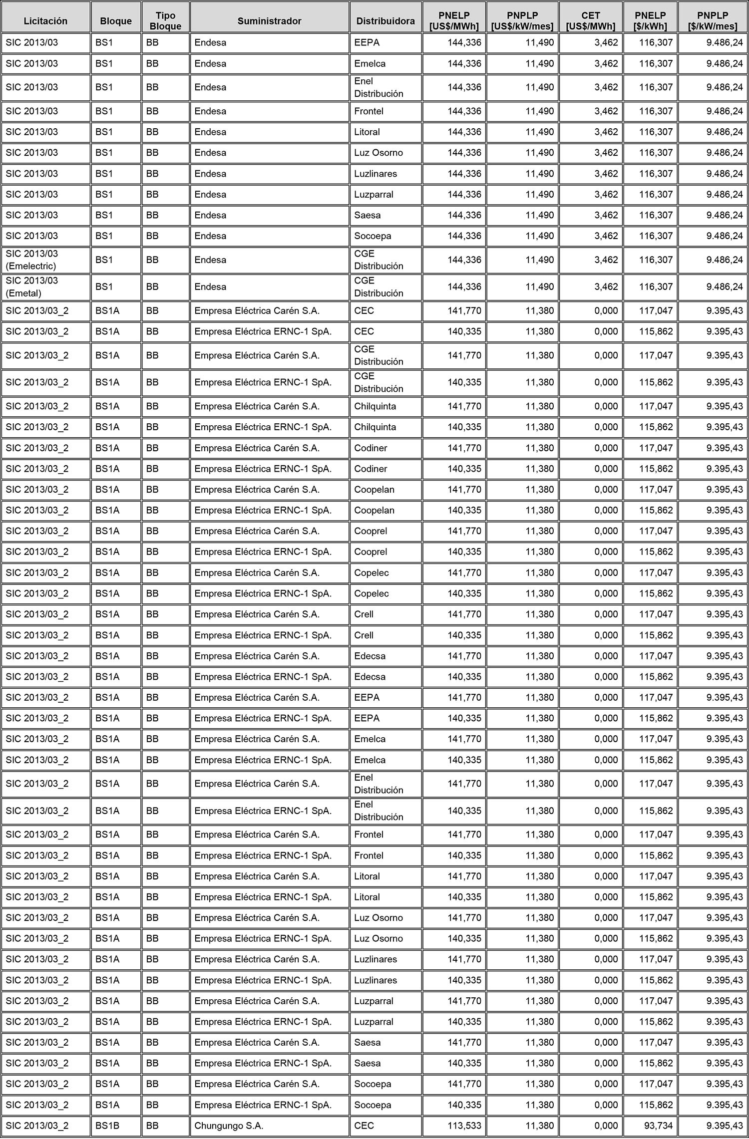
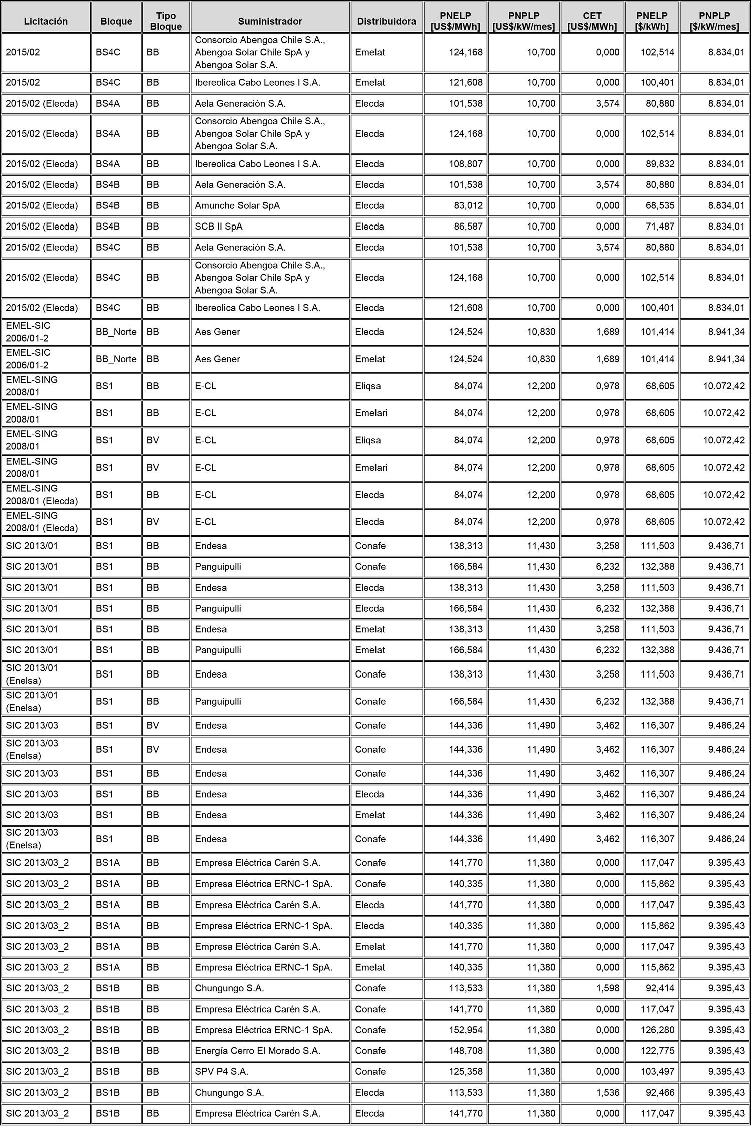
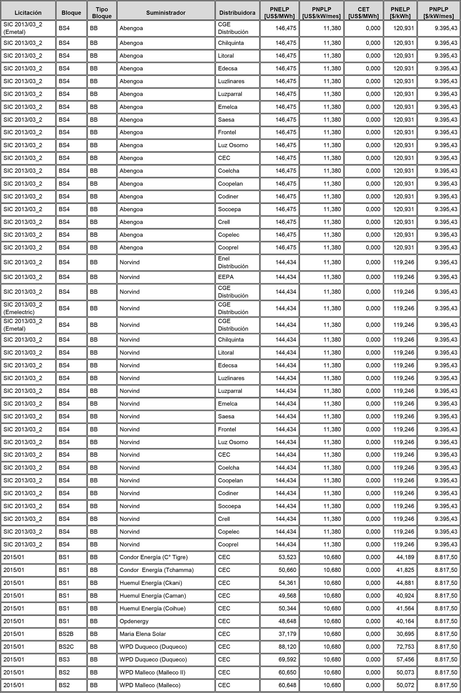
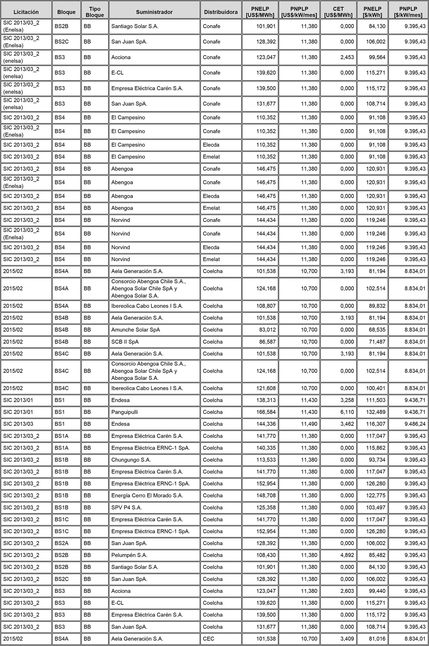
    Los Precios de Nudo de Largo Plazo de energía y potencia, de acuerdo con lo señalado en los artículos 6° y 11° de la resolución exenta N° 703, y los descuentos del monto del Cargo Equivalente de Transmisión Final ("CET") en el precio total de energía de los contratos modificados de acuerdo a lo señalado en el artículo vigesimoquinto transitorio, letra E. número i., de la ley N° 20.936 y en la resolución exenta N° 7, son los que se indican en la siguiente tabla:

    Tabla 1: Precio de Nudo de Largo Plazo en Sistema Eléctrico Nacional



    Para estos efectos, se han considerado las empresas que resultaron adjudicadas en las respectivas licitaciones, sin perjuicio de las posteriores cesiones de contratos y cambios en la persona jurídica del suministrador.
    Adicionalmente, en conformidad a lo dispuesto en el numeral 6 del artículo 3° de la ley N° 21.472, para el caso de los sistemas medianos, la componente de energía y potencia será estabilizada y fijada semestralmente de acuerdo con las condiciones definidas en los numerales anteriores del citado artículo y las demás disposiciones de la referida ley.

    Tabla 2: Precios de Nudo de Largo Plazo en los Sistemas Medianos


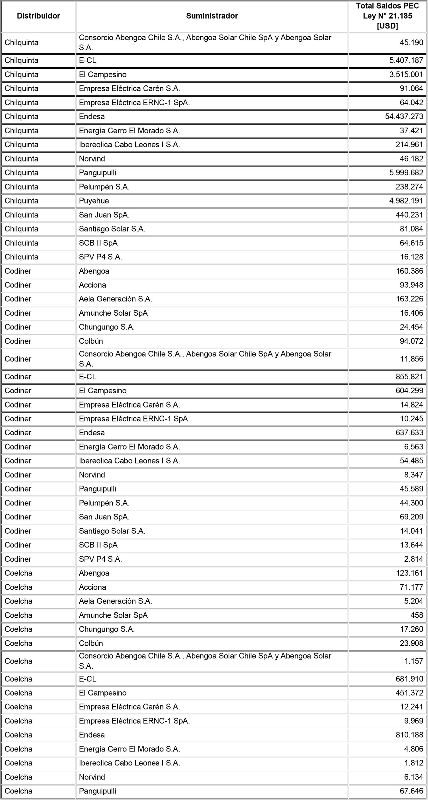
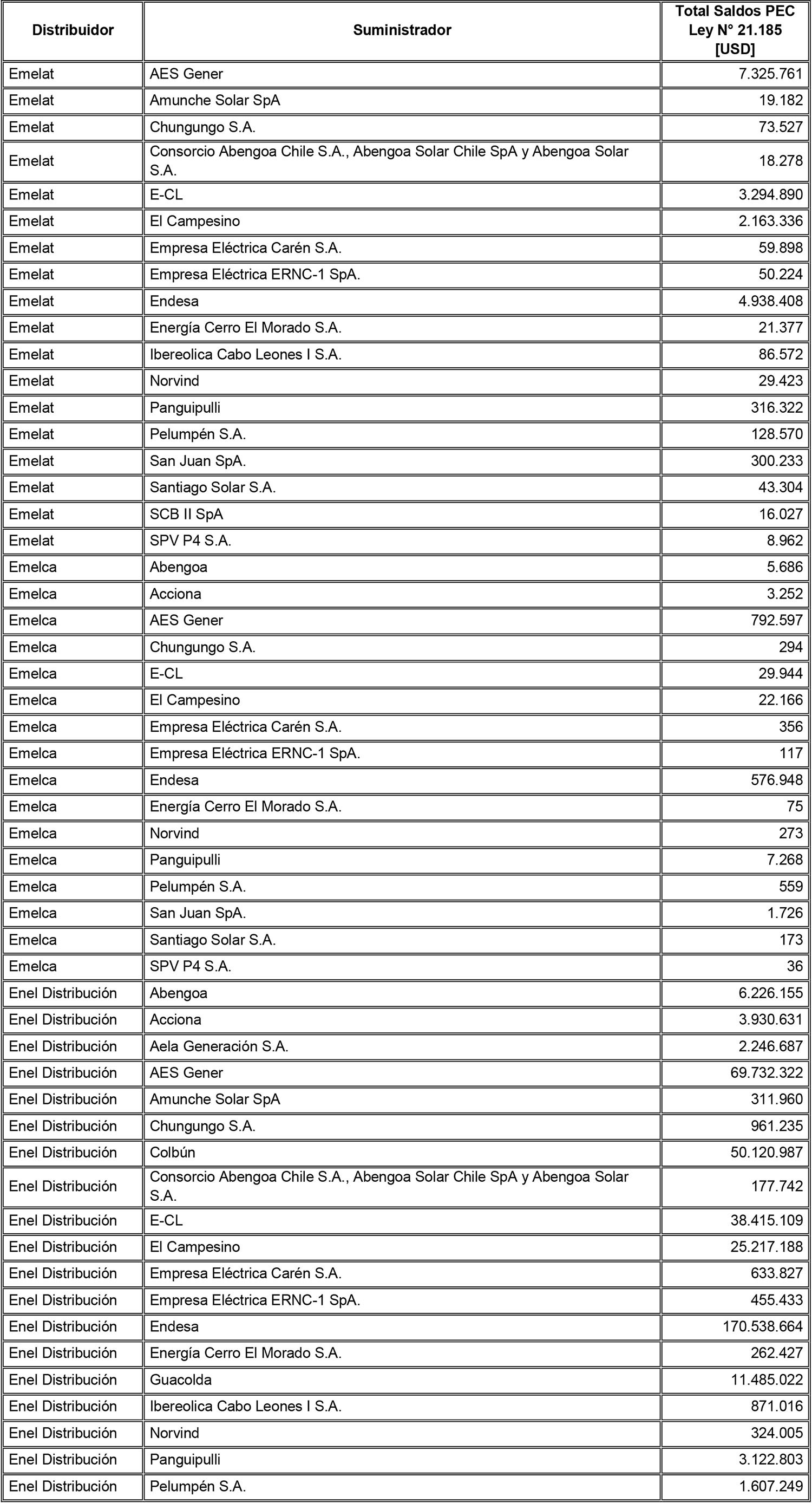
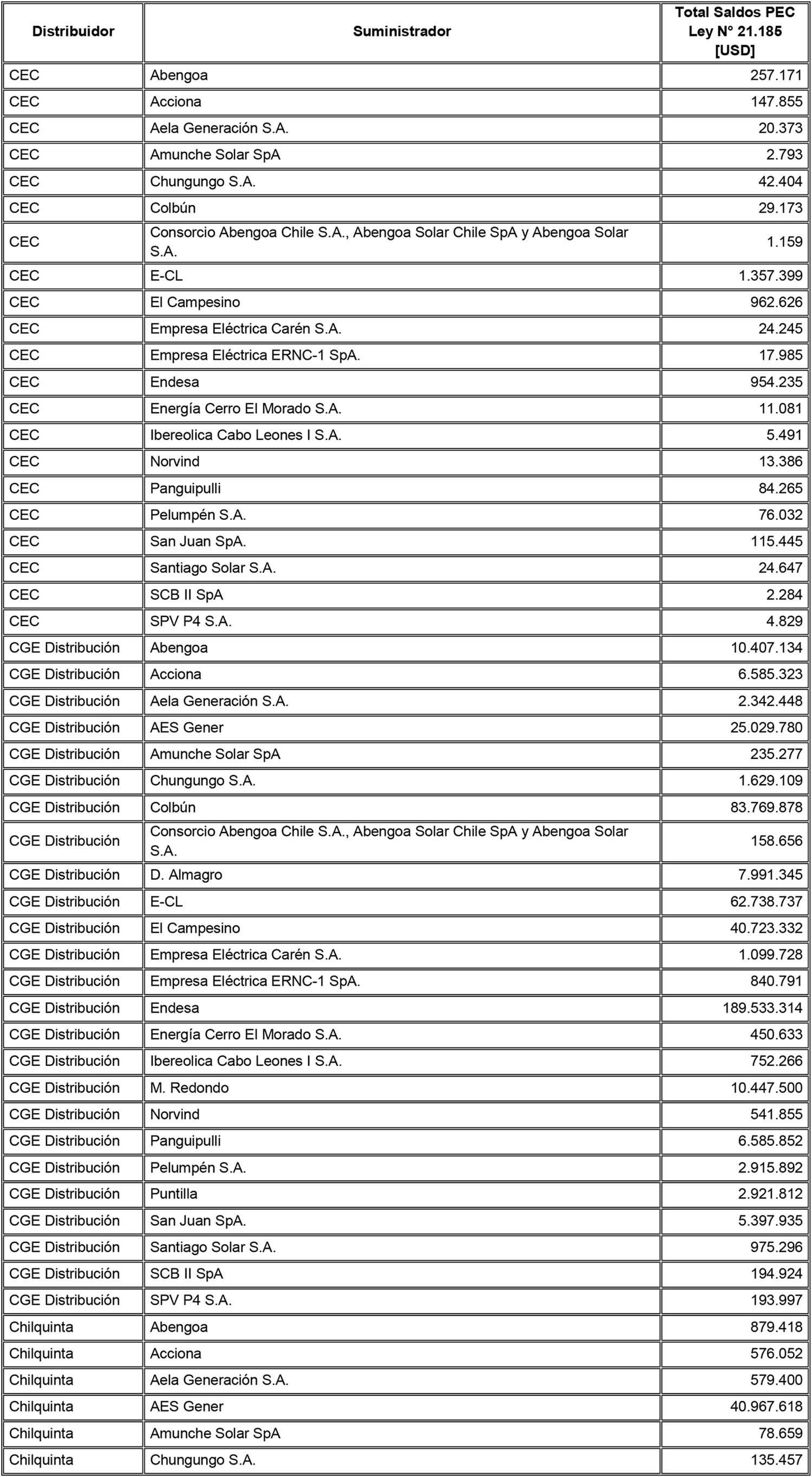
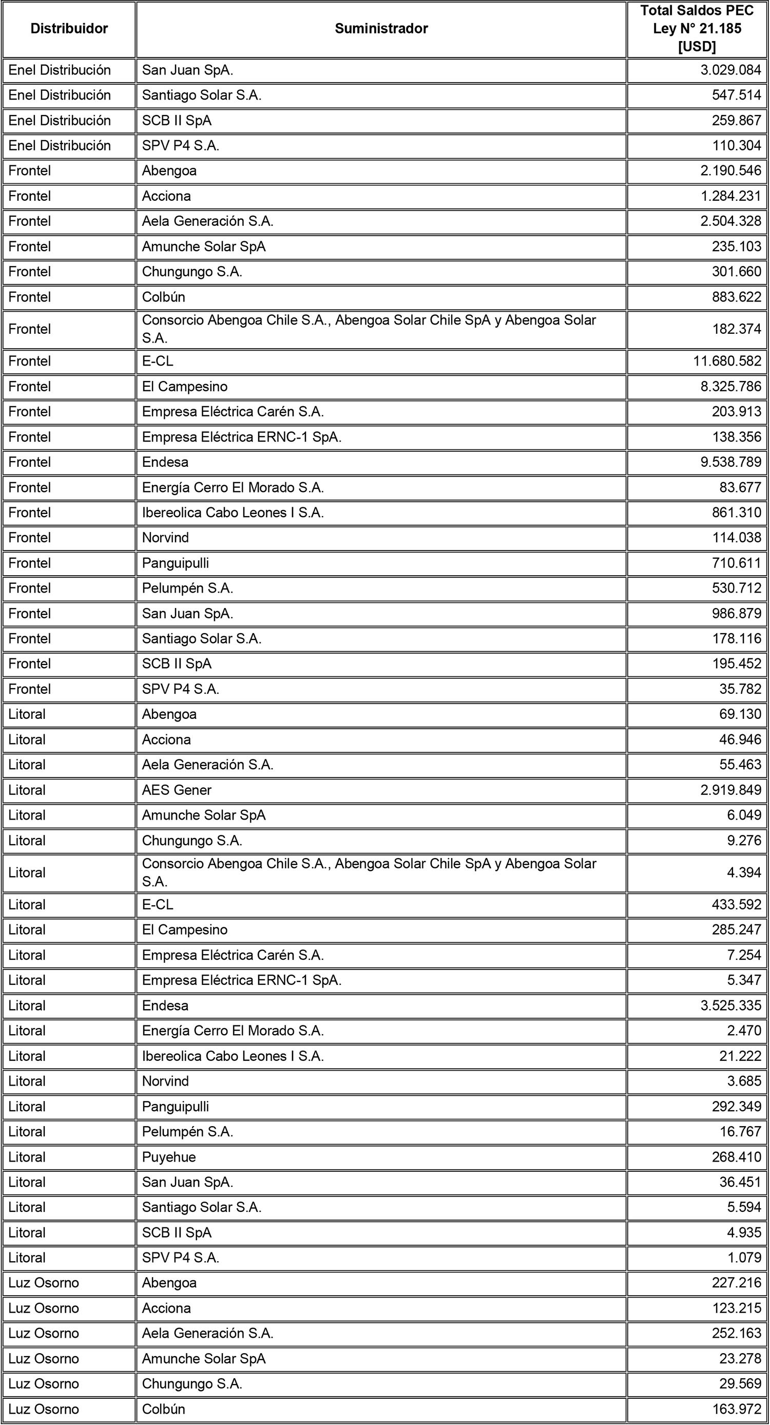
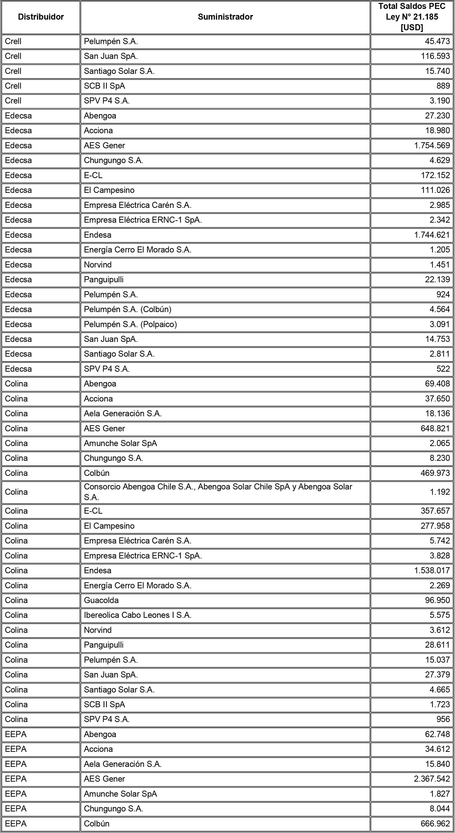
    3 SALDOS CONTABILIZADOS SEGÚN LEY N° 21.185 ("SALDOS PEC")
    Conforme a lo dispuesto en la ley N° 21.472, y el artículo 41 de la resolución exenta N° 334, el presente decreto deberá indicar los saldos originados con motivo de la aplicación del mecanismo de estabilización de precios establecido en el artículo 1° de la ley N° 21.185, contabilizados de conformidad a lo dispuesto en la resolución exenta N° 703.
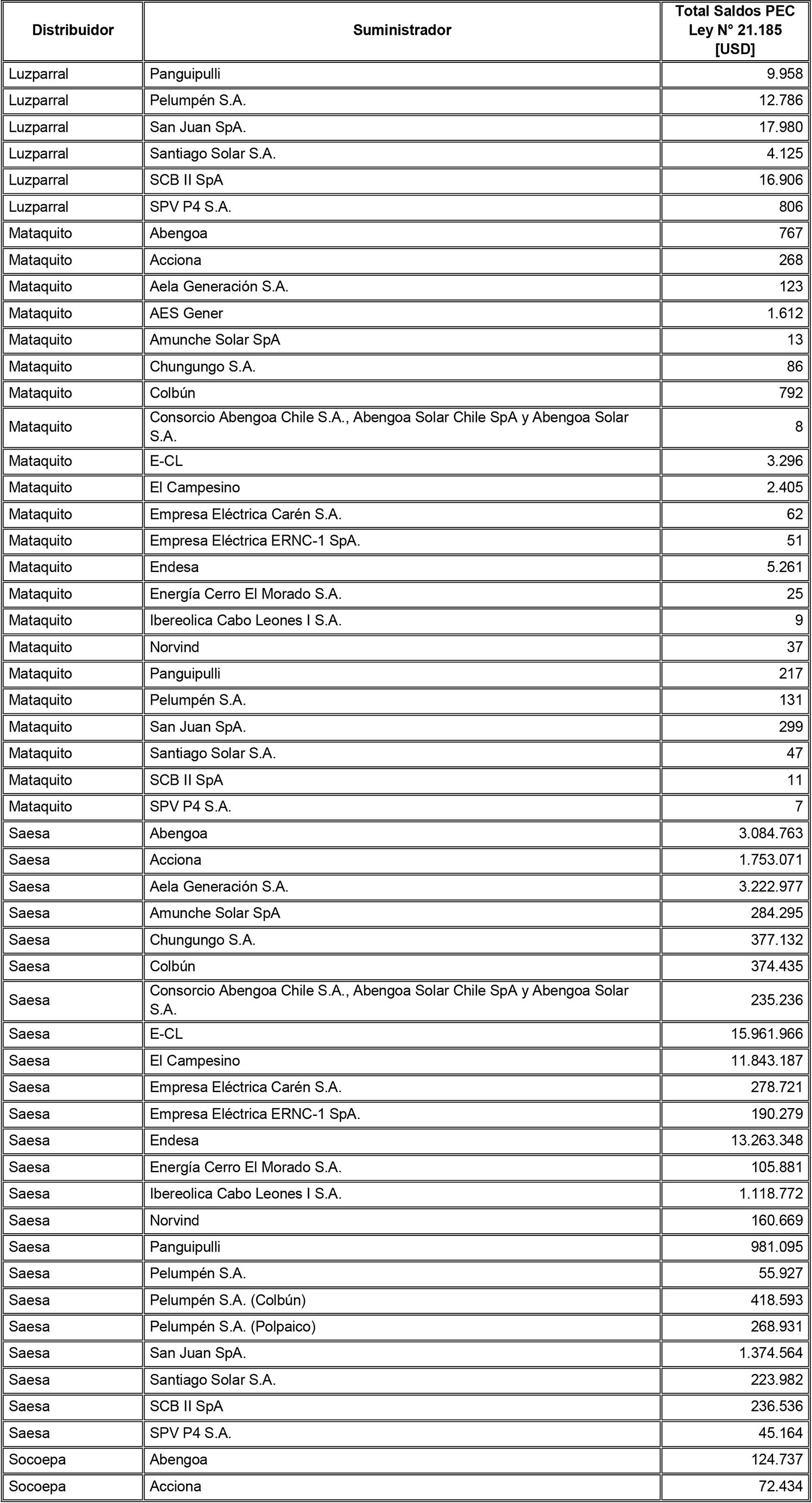
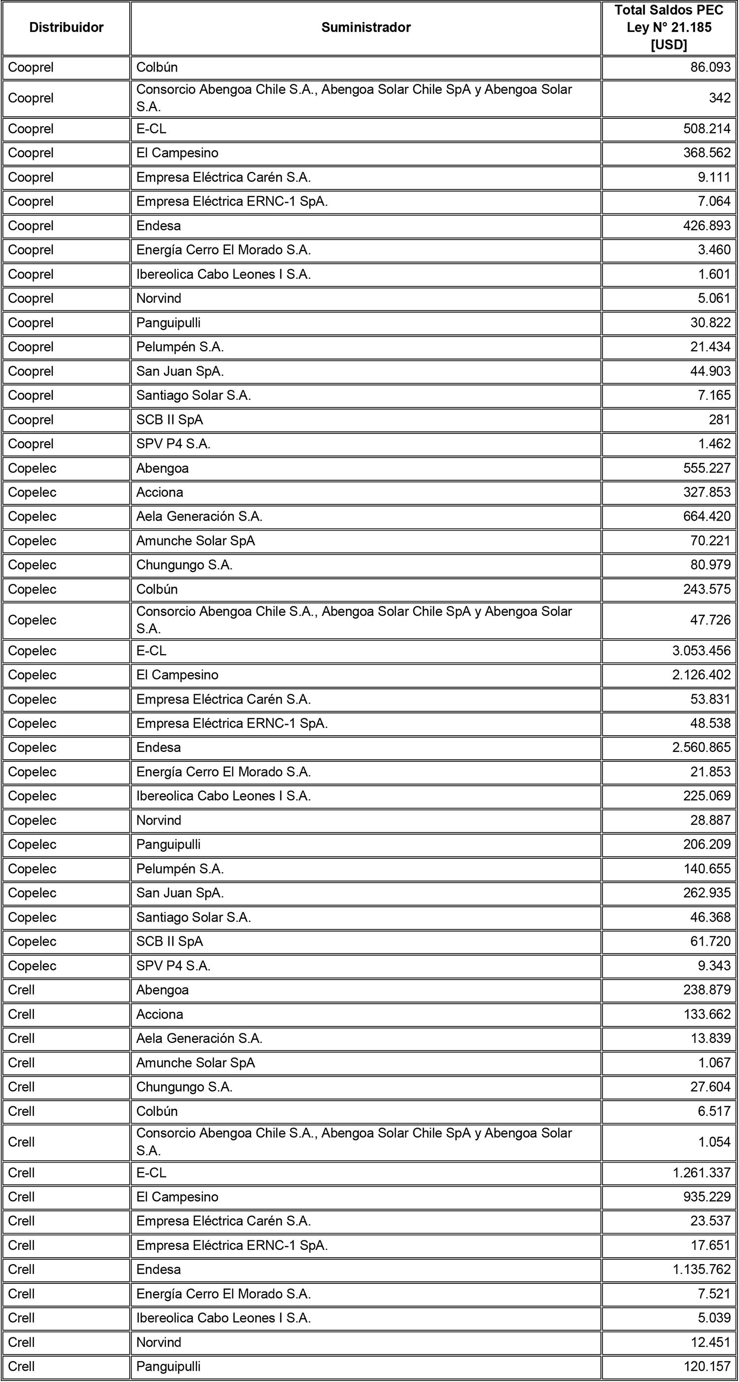
    De acuerdo a lo señalado precedentemente, la siguiente tabla contiene los saldos antes mencionados del Sistema Eléctrico Nacional, identificando al suministrador acreedor de dichos saldos y la Distribuidora deudora correspondiente:

    Tabla 3: Saldos por suministrador - Distribuidora SEN

    Se hace presente que se realizó una corrección de los Saldos Contabilizados según ley N° 21.185, en particular, respecto de la contabilización del déficit de suministro correspondiente a la empresa concesionaria Coopelan, el cual ya había sido incorporado como traspaso de excedentes en el decreto supremo N° 16T/2020, de conformidad al artículo 88 del decreto supremo N° 106, y el inciso final del artículo 13° de la resolución exenta N° 342.
    Los detalles de los saldos de los sistemas medianos, identificando al suministrador acreedor de dichos saldos y la Distribuidora deudora correspondiente, se indican a continuación:

    Tabla 4: Saldos por suministrador - Distribuidora sistemas medianos


    El detalle de los saldos totales acumulados de cada contrato se encuentra en el Anexo N° 3 del informe técnico definitivo para la fijación de precios de nudo promedio, cuyo texto fue aprobado por la resolución exenta N° 318, el cual se encuentra disponible en el sitio web de la Comisión, en el siguiente link www.cne.cl.

    4 SALDO FINAL RESTANTE
    De conformidad a lo dispuesto en el artículo 5 de la ley N° 21.472 y en el artículo 12 de la resolución exenta N° 334, el presente decreto contiene el Saldo Final Restante por suministrador, de acuerdo a la siguiente tabla:

    Tabla 5: Saldo Final Restante


    5 DIFERENCIAS DE FACTURACIÓN NO PAGADAS
    El inciso segundo del artículo segundo transitorio de la ley N° 21.667 dispuso que las Diferencias de Facturación No Pagadas, contabilizadas hasta el 31 de octubre de 2023, deben ser incorporadas en el presente acto administrativo, para que posteriormente sean remuneradas a través del mecanismo de documentos de pago.
    El detalle de las Diferencias de Facturación No Pagadas, desglosadas por Diferencias de Facturación, Diferencias por Compras y Diferencias por Retraso del decreto, se detallan en la siguiente tabla:

    Tabla 6: Diferencias de Facturación No Pagadas


    Una vez publicado en el Diario Oficial el presente decreto, los suministradores podrán emitir al Coordinador un documento de cobro por las Diferencias de Facturación No Pagadas señaladas en la tabla precedente. En el plazo de tres días contados desde la recepción del documento de cobro, el Coordinador deberá verificar que los datos son consistentes con lo establecido en este acto administrativo e informará al Ministerio de Hacienda, quien instruirá a la Tesorería General de la República emitir los respectivos documentos de pago, junto con informar los antecedentes necesarios para ello, pudiendo delegar dicha función mediante resolución emitida por el Ministerio de Hacienda.
    En caso de que el Coordinador detecte disconformidades en la información señalada, en el mismo plazo de tres días indicado anteriormente, deberá solicitar al suministrador la corrección de los datos del documento de cobro, previo a proceder a informar al Ministerio de Hacienda conforme a lo indicado en el párrafo precedente.

    6 TRANSFERENCIAS ENTRE DISTRIBUIDORAS Y DÉFICIT SEMESTRAL DE LA DISTRIBUIDORA
    En atención a lo dispuesto en la letra d) del artículo 12 de la resolución exenta N° 334, corresponde que en el presente decreto se incorporen las transferencias entre Distribuidoras, resultantes de los cálculos del Balance de la Distribuidora realizados conforme a lo dispuesto en el artículo 34° de la misma resolución.
    Asimismo, el inciso final del artículo 4 de la ley N° 21.472 establece que el Déficit Semestral de la Distribuidora debe ser incorporado al Beneficio al Cliente Final.
    Conforme a lo anterior, en la tabla siguiente se detalla el resultado del Balance de la Distribuidora, las transferencias entre Distribuidoras y el Déficit Semestral de la Distribuidora resultante de tal ejercicio.

    Tabla 7: Transferencias entre Distribuidoras y Déficit Semestral de la Distribuidora


    6 PRECIOS DE NUDO PROMEDIO APLICABLES A CLIENTES REGULADOS

    Los precios de nudo en nivel de distribución determinados para cada Distribuidora y sistema de transmisión zonal, incorporan los ajustes señalados por el Mecanismo de Protección al Cliente, teniendo en consideración lo establecido en el artículo 3 de la ley N° 21.472, en el sentido de distinguir los clientes de acuerdo a su consumo en:

    (i) Clientes cuyo consumo sea igual o inferior a 350 KWh promedio mensual; y
    (ii) Clientes cuyo consumo sea superior a 350 KWh promedio mensual.

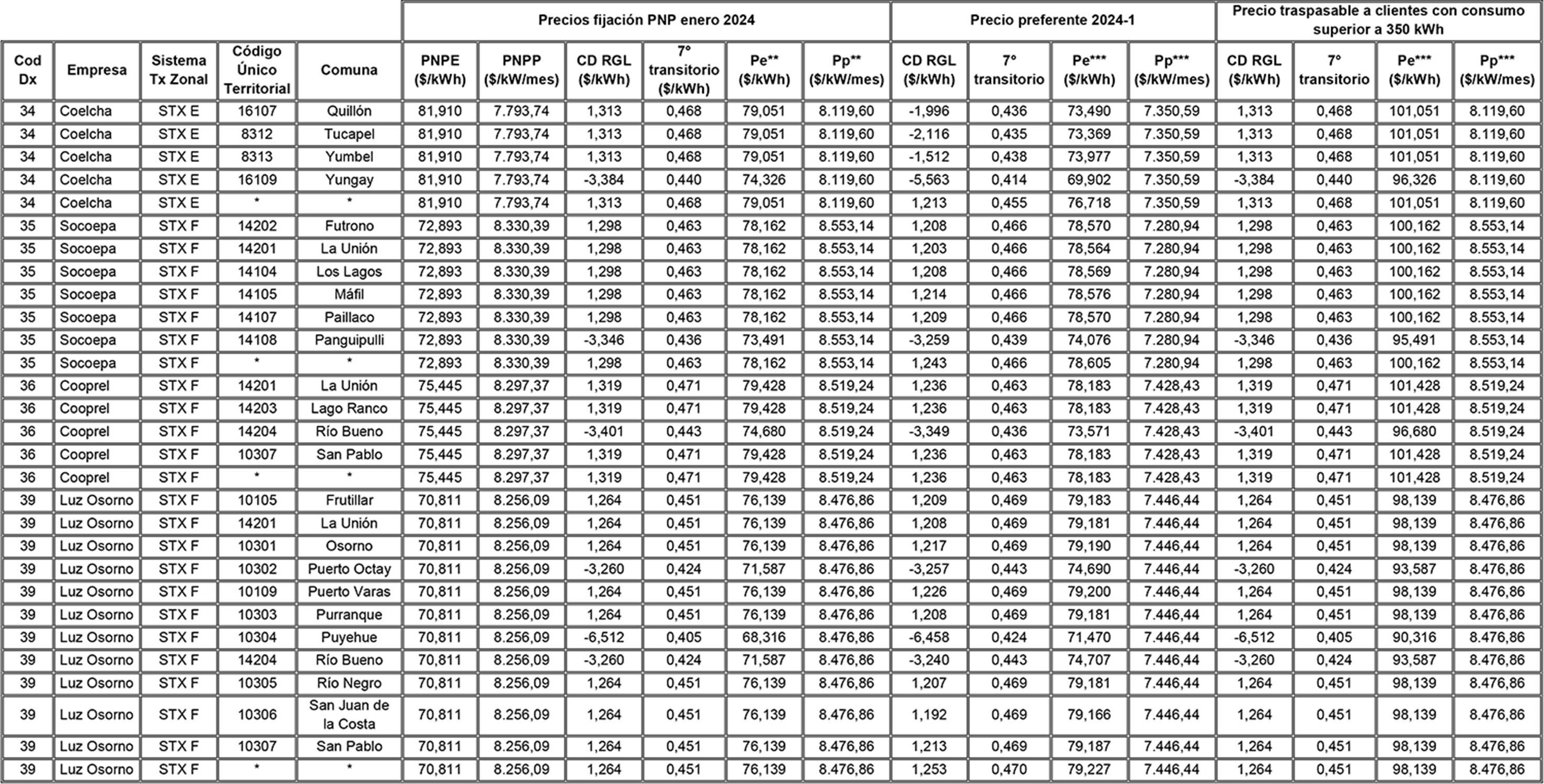
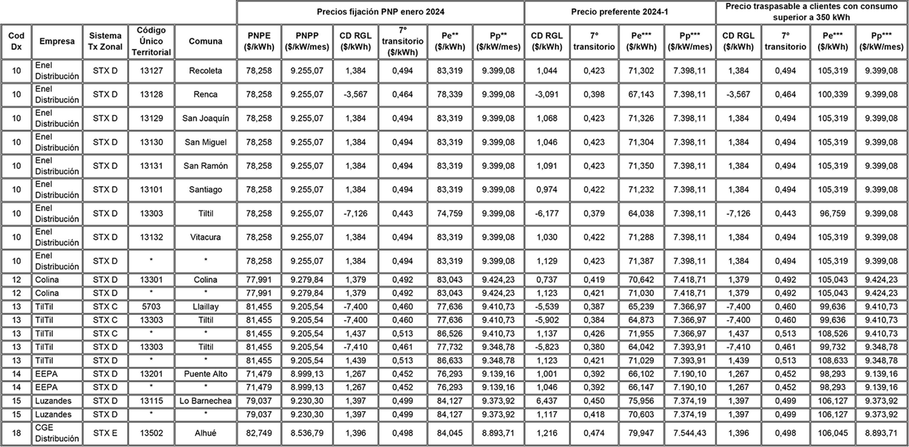
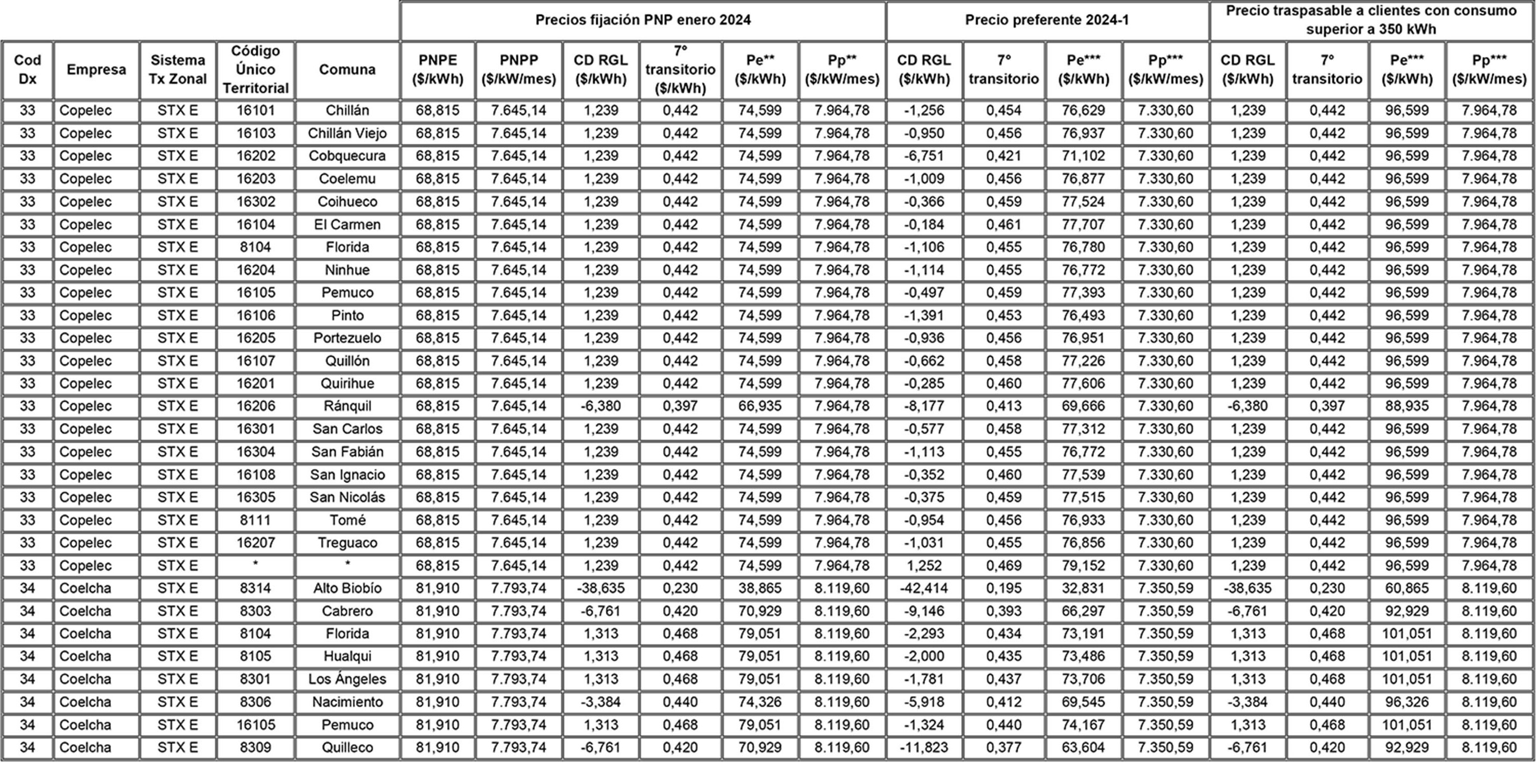
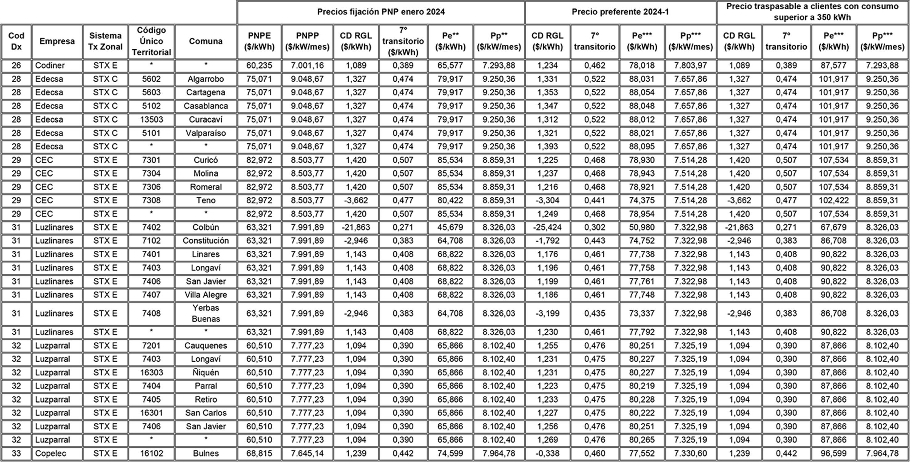
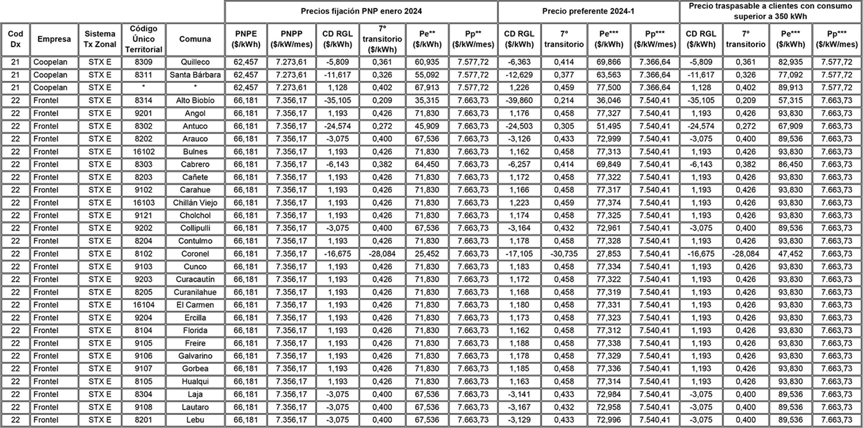
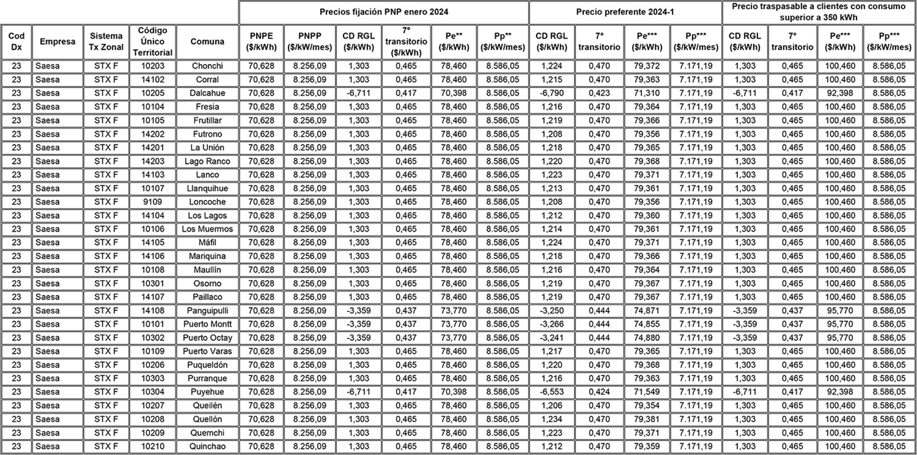
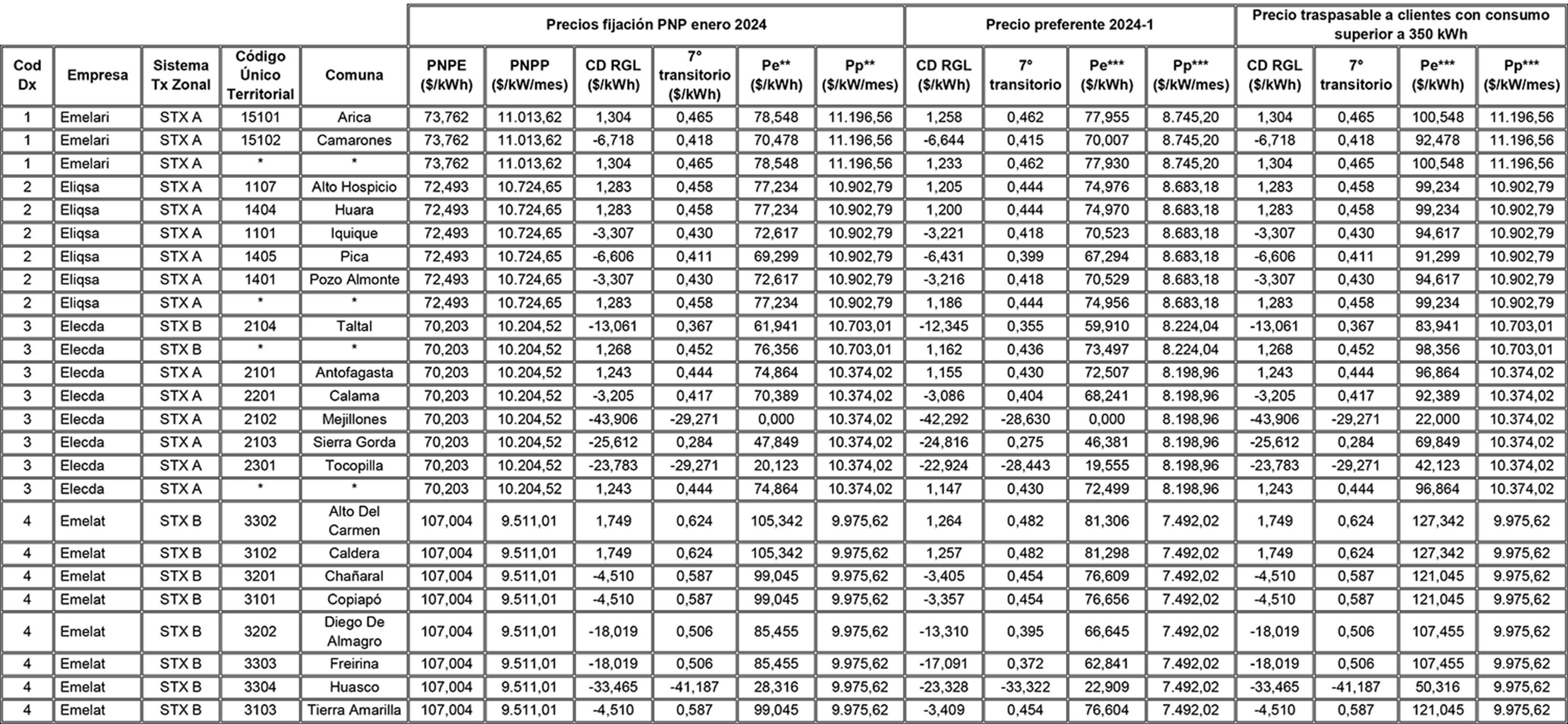
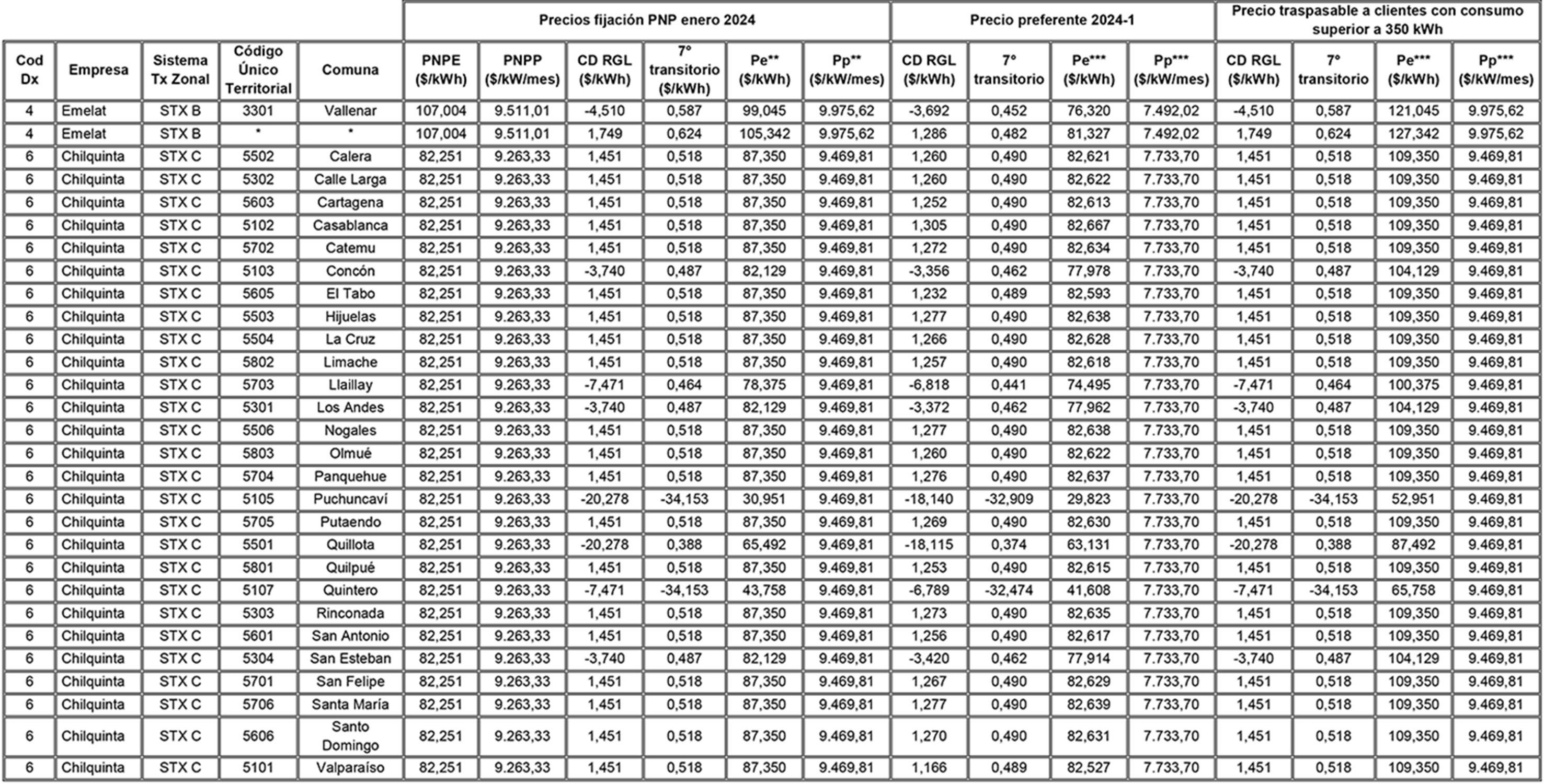
    Los valores que las Distribuidoras podrán traspasar a sus Clientes Regulados se indican en la Tabla 11, para cada Distribuidora y sector de nudo asociado al sistema de transmisión zonal en donde se ubica el cliente respectivo, considerando la siguiente clasificación para las empresas distribuidoras presentes en más de un sector de nudo:

    Tabla 8: Comunas por sistema de transmisión zonal


    *En el caso de las comunas que están asociadas a dos o más sistemas de transmisión zonal, la Concesionaria deberá asignar el cliente al sistema que le corresponda de acuerdo a la información que sustenta el proceso anual de "Ingresos de Explotación", entregada a la Superintendencia de Electricidad y Combustibles.

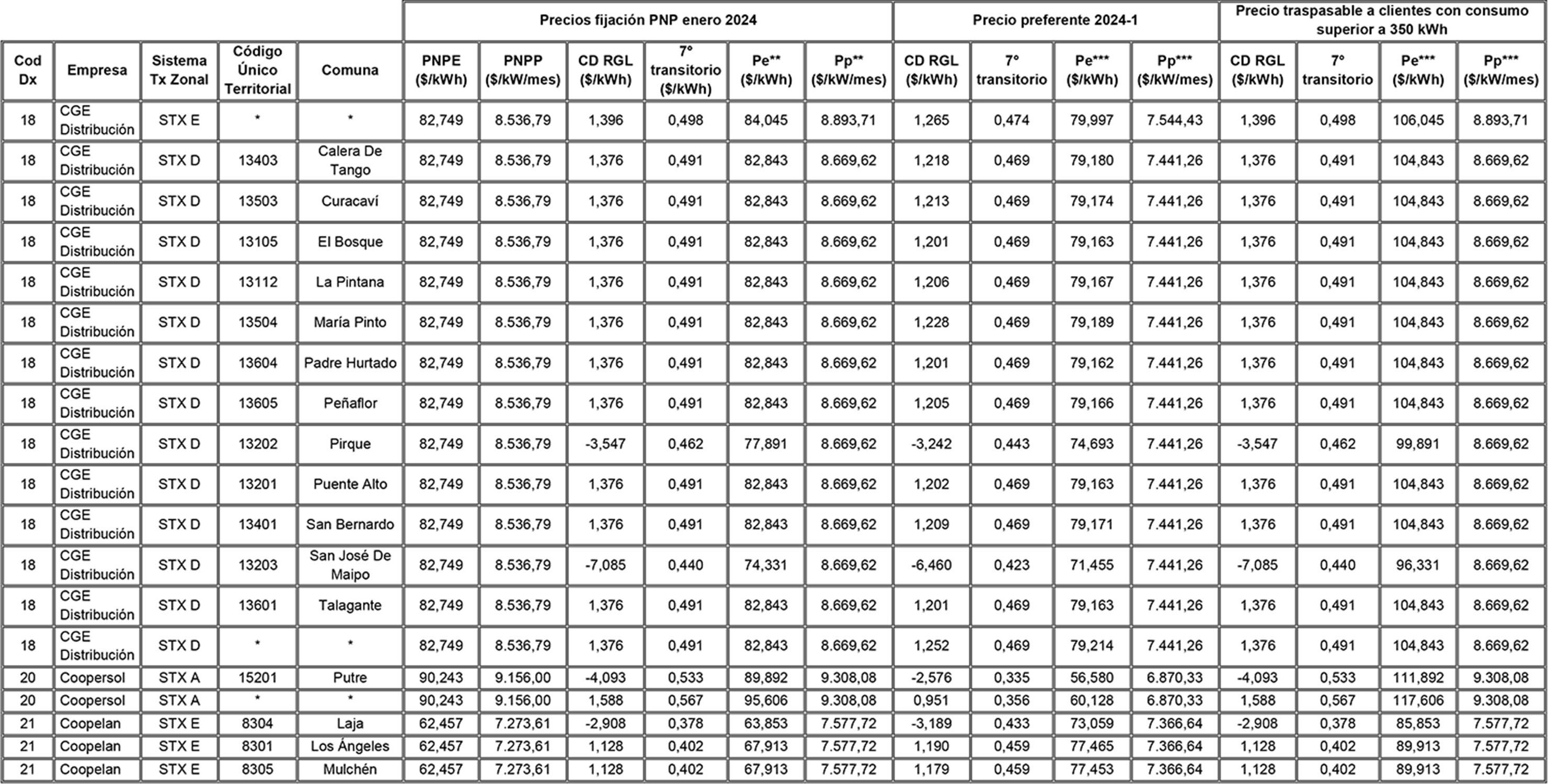
    Los precios de nudo promedio de energía y de potencia en nivel de distribución, sin considerar cargo o descuento por Reconocimiento de Generación Local y el cargo o descuento establecido en el inciso segundo del artículo séptimo transitorio de la ley N° 21.667 para cada concesionaria y sistema de transmisión zonal, incorporando el respectivo recargo AR, son los que se presentan a continuación:

    Tabla 9: Precios en nivel distribución y AR


    Conforme a lo dispuesto en el inciso segundo del artículo séptimo transitorio de la ley N° 21.667, en los procesos de fijación de precios de nudo promedio, en aquellas comunas reconocidas como zonas en transición por el Consejo de Ministros para la Sustentabilidad y el Cambio Climático, se aplicará un descuento del 40% a la componente de energía del precio de nudo establecido en el punto de conexión con las instalaciones de distribución que las empresas distribuidoras traspasan a los clientes sometidos a regulación de precios.
    Como resultado de la Sesión Ordinaria N°4, celebrada el día 3 de mayo de 2024, el Consejo de Ministros para la Sustentabilidad y el Cambio Climático, adoptó el Acuerdo N°10/2024, mediante el cual reconoció como zonas en transición, para efectos de la aplicación de lo dispuesto en el artículo séptimo transitorio de la ley N° 21.667, a las siguientes comunas:

    Tabla 10: Comunas reconocidas como zonas en transición


    Este descuento será absorbido por todos los suministros de clientes sometidos a regulación de precios del resto de las comunas del respectivo sistema eléctrico, lo que no podrá implicar un alza superior al 1% en la cuenta de un consumo tipo de un cliente residencial de aquellas comunas. Cabe señalar que este descuento se aplica de manera acumulativa a los descuentos establecidos en los artículos 157° y 191° de la ley.
    El monto de descuento o absorción del descuento establecido en el artículo séptimo transitorio de la ley N° 21.667 se encuentra detallado en la Tabla 11 siguiente:

    Tabla 11: Precios de energía y potencia en nivel de distribución


    * Todas aquellas comunas que no se encuentren individualizadas en la tabla y que son suministradas por la respectiva Concesionaria en el sistema de transmisión zonal indicado.
    * * Estos precios corresponden a los establecidos en la letra b) del artículo 12 de la resolución exenta N° 334.
    *** Estos precios corresponden a los establecidos en la letra c) del artículo 12 de la resolución exenta N° 334.

    Donde:

    PNEP : Precio de nudo de la energía promedio para todas las subestaciones del sistema de transmisión nacional de generación-transporte de la Distribuidora, en [$/kWh].
    PNPP : Precio de nudo de la potencia de punta promedio para todas las subestaciones del sistema de transmisión nacional de generación-transporte de la Distribuidora, en [$/kW/mes]. El PNPP a ser utilizado para la opción tarifaria BT1b, señalada en el decreto N° 5T/2024, para clientes a quienes se deba traspasar el Precio Preferente 2024-1, corresponderá al Pp traspasable a esos clientes, dividido en las pérdidas zonales de potencia utilizadas para calcular las tarifas de la presente fijación, contenida en la hoja "STx" del archivo "Modelo PNP enero 2024.xlsm", disponible en el siguiente link www.cne.cl.
    Pe : Precio de nudo de la energía en nivel de distribución, en [$/kWh].
    Pp : Precio de nudo de la potencia en nivel de distribución, en [$/kW/mes].
    CD RGL : Cargo o descuento a nivel de distribución aplicable a los clientes regulados de la Distribuidora por comuna, resultante de la aplicación del artículo 157° de la ley, estabilizado mediante la ley N° 21.472, en [$/kWh]. Se entenderá que el factor CD RGL corresponde a un descuento cuando su valor sea negativo y a un cargo cuando su valor sea positivo.
    De acuerdo a lo establecido en el numeral 7 del artículo 3 de la ley N° 21.472, respecto a los CD RGL, se han mantenido los mismos factores de intensidad y los descuentos por porcentaje de aporte, establecidos en el informe técnico definitivo que dio origen al decreto N° 9T/2022.
    7° transitorio : Cargo o descuento a nivel de distribución aplicable a los clientes regulados de la Distribuidora, resultante de la aplicación del descuento a la componente de energía del precio de nudo a las comunas reconocidas como zonas en transición dispuesto en el artículo séptimo transitorio de la ley N° 21.667 y su absorción por todos los suministros de clientes sometidos a regulación de precios del resto de las comunas del respectivo sistema eléctrico, en [$/kWh]. Se entenderá que el factor 7° transitorio corresponde a un descuento cuando su valor sea negativo, lo que aplica a todas aquellas comunas que han sido reconocidas como zonas en transición, y a un cargo cuando su valor sea positivo, lo que aplica a todas aquellas comunas del respectivo sistema eléctrico, que no han sido reconocidas como zonas en transición.

    Para el caso particular de los sistemas medianos de Cochamó y Hornopirén pertenecientes a la zona de concesión de Saesa, no serán aplicables los cargos correspondientes a los parámetros AR y CD RGL. Asimismo, el cargo por aplicación del artículo séptimo transitorio de la ley N° 21.667 no aplicará a dichos sistemas medianos.
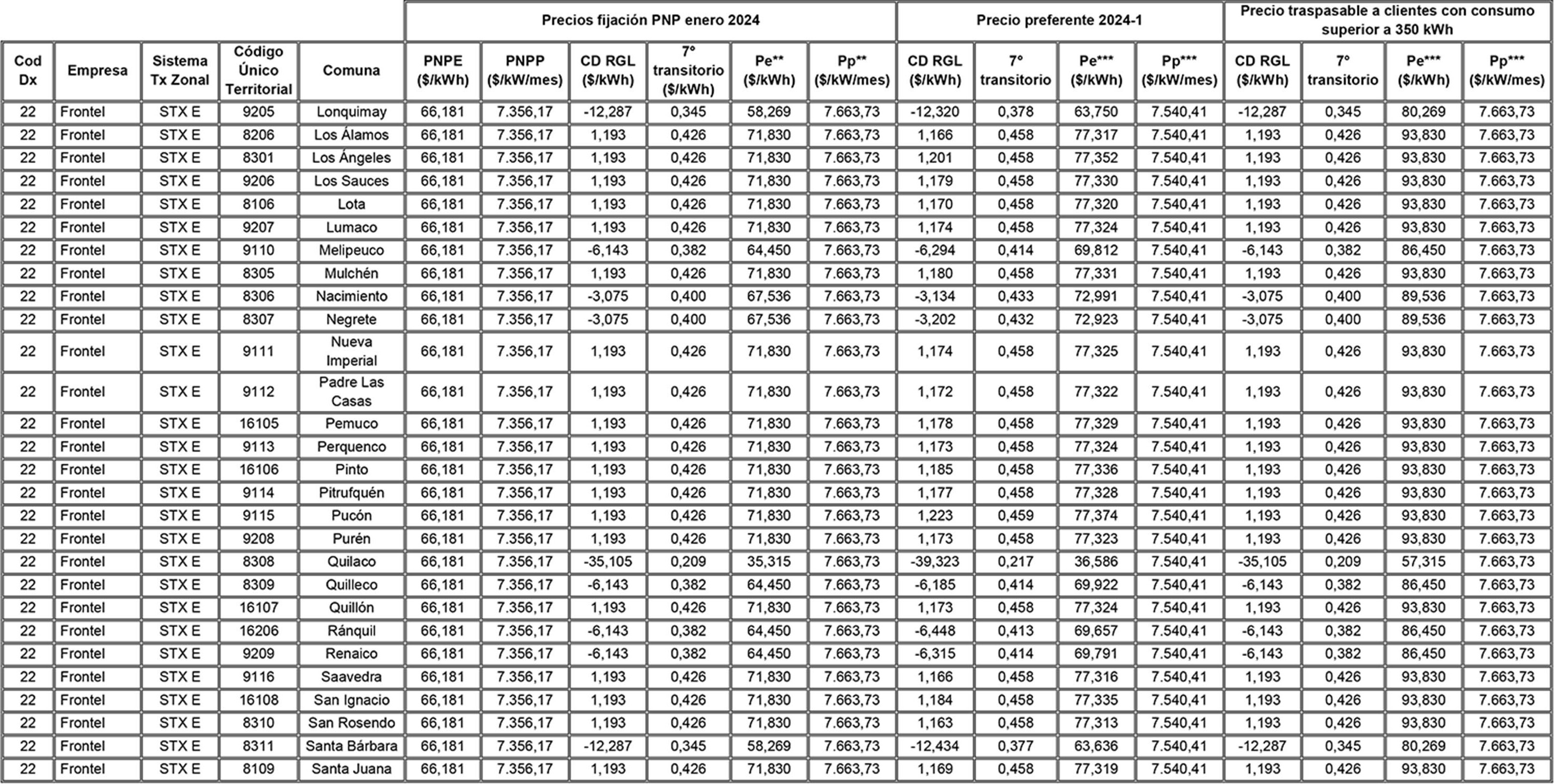
    Los precios de energía a nivel de distribución traspasables a Clientes Regulados por las Distribuidoras Edelaysen y Edelmag son los que se establecen a continuación:

    Tabla 12: Precios en Nivel de distribución Sistemas Medianos


    En los sistemas medianos de Punta Arenas, Puerto Natales, Porvenir y Puerto Williams y de Aysén, Palena y General Carrera, los precios de nudo de energía y potencia de punta que se aplicarán a los suministros servidos en la barra de retiro para el nivel de tensión que se indica, corresponden a los indicados en la Tabla 2.

    En la Tabla 12, los valores correspondientes a "Precios fijación PNP Enero 2024" se obtienen aplicando los factores Ni, que se señalan en la tabla siguiente:

    Tabla 13: Ponderadores Ni para precios traspasables a cliente final en los sistemas medianos


    7 GRAVÁMENES E IMPUESTOS
    Las tarifas establecidas en el presente decreto son netas y no incluyen el impuesto al valor agregado ni otros impuestos o tributos que sean de cargo de los Clientes.

    8 RELIQUIDACIONES ENTRE CONCESIONARIAS
    El Coordinador determinará las reliquidaciones entre concesionarias producto de la aplicación del artículo 157° de la ley.

    Artículo segundo: Fíjanse los ajustes y recargos a que da origen el mecanismo de equidad tarifaria residencial establecido en el artículo 191° de la ley y las condiciones de aplicación del mismo.

    1. MECANISMO DE EQUIDAD TARIFARIA RESIDENCIAL

    De conformidad a lo establecido en los incisos segundo y siguientes del artículo 191° de la ley, en el conjunto de los sistemas eléctricos con capacidad instalada superior a 1.500 kilowatts, las tarifas máximas que las Distribuidoras podrán cobrar por suministro a usuarios residenciales no podrán superar el promedio simple de éstas, calculadas sobre la base de un consumo tipo, incrementado en un 10% del mismo, considerando una muestra representativa. En caso de que dichas tarifas excedan el porcentaje señalado, se deberá aplicar un ajuste a la componente contemplada en el número 3 del artículo 182° de la ley. Si a pesar de ello no se lograre alcanzar el porcentaje antes mencionado, se aplicará el máximo descuento obtenido, sin que procedan ajustes adicionales.
    Las diferencias serán absorbidas progresivamente por todos los demás suministros sometidos a regulación de precios que estén bajo el promedio señalado, con excepción de aquellos usuarios residenciales cuyo consumo promedio mensual de energía del año calendario anterior sea menor o igual a 200 kWh, de modo que no varíe la recaudación total inicial. Sin perjuicio de lo anterior, las tarifas correspondientes a aquellos usuarios residenciales que deban absorber las diferencias señaladas, no podrán resultar superiores al promedio simple de éstas.
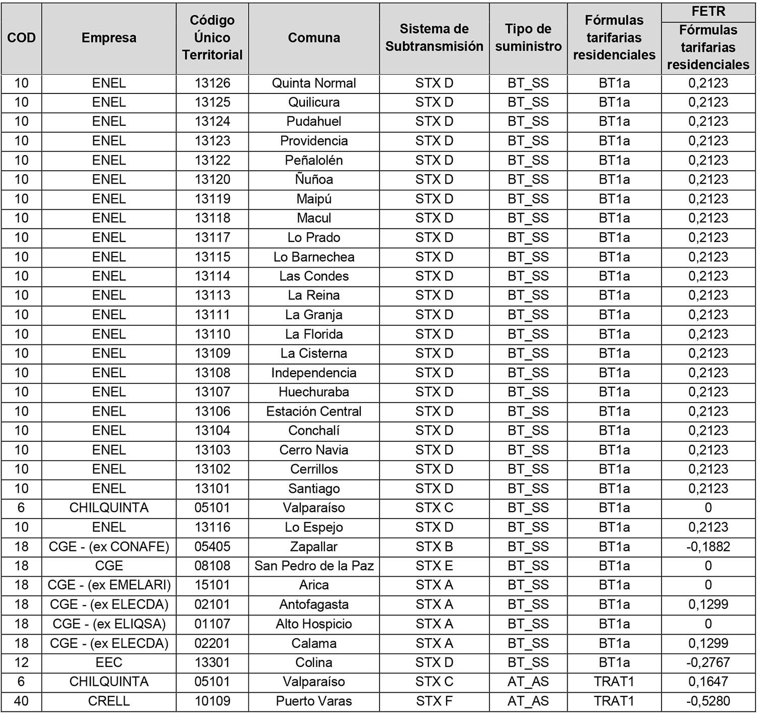
    Los ajustes y recargos que se originen con motivo de la aplicación del mecanismo antes señalado, se implementarán mediante la aplicación de los factores de equidad tarifaria residencial ("FETR") a las correspondientes fórmulas tarifarias señaladas en el decreto N° 5T/2024.

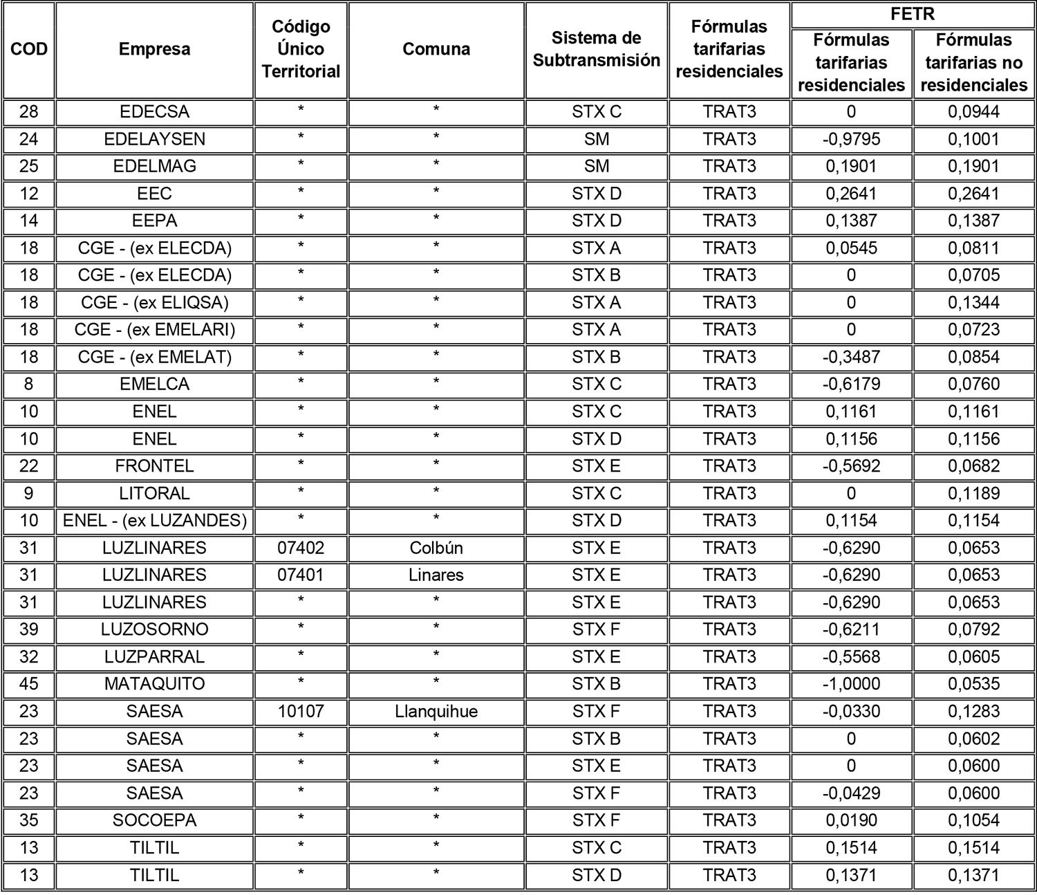
    2. FACTORES DE EQUIDAD TARIFARIA RESIDENCIAL
    Los FETR aplicables a la componente contemplada en el número 3 del artículo 182° de la ley, según se indica en las correspondientes fórmulas tarifarias contenidas en el decreto N° 5T, corresponden a los siguientes:

    Tabla 14: Factores de equidad tarifaria

    *Todas aquellas comunas que no se encuentren individualizadas en la tabla y que son suministradas por la respectiva Concesionaria en el sistema de transmisión zonal indicado.

    En particular, para las combinaciones individualizadas en la siguiente tabla, se deben aplicar los factores señalados a continuación, sólo para los tipos de suministro indicados. Lo anterior, debido a que dado el nivel de precios de estas combinaciones, al considerar los factores de modulación de costos subterráneos, establecidos en el numeral 7.11, del artículo primero, del decreto N° 5T/2024, se hace necesario determinar un FETR particular para resguardar los criterios establecidos en el artículo 191° de la ley sobre las tarifas máximas que las empresas distribuidoras podrán cobrar por suministro a usuarios residenciales (no podrán superar el promedio simple de éstas, calculadas sobre la base de un consumo tipo, incrementado en un 10% del mismo, considerando una muestra representativa) y sobre el efecto en las tarifas de los clientes residenciales que deban absorber las diferencias (que no podrán resultar superiores al promedio simple de estas).

    Tabla 15: Factores de equidad tarifaria para los tipos suministro señalados


    Para aquellas combinaciones empresa/comuna/sistema de transmisión zonal que no tienen asignado en la tabla anterior un FETR para alguna de las tarifas residenciales, se deberá aplicar el FETR determinado para la combinación empresa/sistema de transmisión zonal/tarifa, determinado para aquellas comunas no individualizadas (es decir, que presentan un * en la columna Comuna de la tabla anterior).
    No obstante lo señalado en el párrafo anterior, y considerando que para la presente fijación no se cuenta con información histórica asociada a los consumos de las opciones tarifarias residenciales TRBT y TRAT, individualizadas en el numeral 3.1 del artículo primero, del decreto supremo N° 5T/2024, el FETR a utilizar será aquel asociado a la combinación empresa distribuidora, comuna y sistema de transmisión zonal correspondiente a dicho usuario, definido para la tarifa residencial BT1a en la tabla anterior.
    Para el caso de los clientes residenciales, cuyo consumo promedio mensual de energía del año calendario anterior haya sido mayor a 200 kWh y menor o igual a 240 kWh, los factores señalados en las tablas precedentes deberán aplicarse conforme las proporciones a que se refiere el inciso segundo del artículo 191° de la ley.
    Las transferencias entre concesionarias a que den origen las diferencias de facturación producto de la aplicación del mecanismo de equidad tarifaria residencial serán calculadas por el Coordinador, de acuerdo con lo señalado en la resolución exenta N° 556, de fecha 6 de octubre de 2017, de la Comisión.

    Anótese, publíquese y tómese razón.- Por orden del Presidente de la República, Diego Pardow Lorenzo, Ministro de Energía.
    Lo que transcribo a Ud. para su conocimiento.- Saluda Atte. a Ud., María Fernanda Riveros Inostroza, Jefa División Jurídica, Subsecretaría de Energía.
    Aviso S/N,
ENERGÍA
D.O. 14.07.2025
CONTRALORÍA GENERAL DE LA REPÚBLICA
    División de Infraestructura y Regulación

    Cursa con alcance el decreto N° 7T, de 2024, del Ministerio de Energía

    N° E111692/2025.- Santiago, 3 de julio de 2025.

    Esta Contraloría General ha dado curso al documento del epígrafe, que fija precios de nudo promedio en el sistema eléctrico nacional, de acuerdo al artículo 158° de la Ley General de Servicios Eléctricos y fija ajustes y recargos por aplicación del mecanismo de equidad tarifaria residencial, teniendo presente, al efecto, lo manifestado mediante correo electrónico de fecha 2 de julio de 2025, emanado de la Unidad de Coordinación Regulatoria, de la División Jurídica de ese ministerio.

    Por orden de la Contralora General de la República.- Saluda atentamente a Ud., Víctor Hugo Merino Rojas, Subcontralor General.

    Al Señor
    Ministro de Energía
    Presente.