APRUEBA ESPECIFICACIONES TÉCNICAS DEFINITIVAS DE LA ETIQUETA DE EFICIENCIA ENERGÉTICA PARA LOS APARATOS DE REFRIGERACIÓN DE USO DOMÉSTICO Y ESTABLECE ETIQUETA DE EFICIENCIA ENERGÉTICA CORRESPONDIENTE
Núm. 35 exenta.- Santiago, 4 de septiembre de 2024.
Vistos:
Lo dispuesto en el decreto ley Nº 2.224, de 1978, del Ministerio de Minería, que crea el Ministerio de Energía y la Comisión Nacional de Energía; en el decreto supremo Nº 64, de 2013, del Ministerio de Energía, que aprueba reglamento que establece el procedimiento para la elaboración de las especificaciones técnicas de las etiquetas de consumo energético y normas para su aplicación; en el oficio ordinario Nº 1884, de 28 de diciembre de 2022, del Ministerio de Energía, que notifica inicio de consulta pública de las especificaciones técnicas para el diseño de la etiqueta de eficiencia energética para los aparatos de refrigeración de uso doméstico; en la resolución Nº 7, de 2019, de la Contraloría General de la República; y
Considerando:
1. Que, conforme a lo dispuesto en el literal i) del artículo 4° del DL Nº 2.224, de 1978, del Ministerio de Minería, al Ministerio de Energía le corresponde establecer, mediante resolución, los productos, máquinas, instrumentos, equipos, artefactos, aparatos y materiales eléctricos, de gas y de combustibles líquidos o que utilicen cualquier tipo de recurso energético, que deberán contar para su comercialización con un certificado de aprobación o la respectiva etiqueta de consumo energético. La misma norma establece que los procedimientos, el sistema de etiquetado y las demás normas necesarias para la elaboración de las etiquetas de consumo energético, serán determinados mediante un reglamento del Ministerio de Energía.
2. Que, para dar cumplimiento al referido mandato legal, con fecha 6 de junio de 2013, el Ministerio de Energía dictó el decreto supremo Nº 64, que aprueba reglamento que establece el procedimiento para la elaboración de las especificaciones técnicas de las etiquetas de consumo energético y normas para su aplicación, en adelante e indistintamente "el Reglamento".
3. Que, en base al procedimiento establecido en el Reglamento y teniendo a la vista la importancia de informar al consumidor final de la eficiencia energética de los aparatos de refrigeración de uso doméstico que se comercializan en el país, su consumo de energía, volumen de refrigeración, parámetros que son importantes en la decisión de compra, con el propósito que se privilegien aquellos con una mayor eficiencia y menor consumo, el Ministerio de Energía resolvió dar inicio a un procedimiento para elaborar las especificaciones técnicas y fijar una etiqueta de consumo energético para este tipo de artefactos.
4. Que, mediante oficio ordinario Nº1884, de 28 de diciembre de 2022, del Ministerio de Energía, se notificó el inicio de la consulta pública respecto de las especificaciones técnicas para el diseño de la etiqueta de eficiencia energética para los aparatos de refrigeración de uso doméstico. Mediante ese mismo acto, se remitieron las referidas especificaciones técnicas al Ministerio de Economía, Fomento y Turismo, al Ministerio del Medio Ambiente, a la Superintendencia de Electricidad y Combustibles, a la Subsecretaría de Relaciones Económicas Internacionales del Ministerio de Relaciones Exteriores y al Servicio Nacional del Consumidor, en cumplimiento de lo dispuesto en el artículo 5° del Reglamento. Simultáneamente, se publicó en el sitio web del Ministerio de Energía las propuestas de especificaciones técnicas de la referida etiqueta de consumo energético, para su consulta pública, de conformidad al artículo 6° del Reglamento (https://energia.gob.cl/consultas-publicas/especificaciones-tecnicas-para-el-diseno-de-la-etiqueta-de-eficiencia-energetica-para-los-aparatos-de-refrigeracion-de-uso-domestico).
5. Que, la Subsecretaría de Relaciones Económicas Internacionales del Ministerio de Relaciones Exteriores notificó ante la Organización Mundial del Comercio (OMC) y a sus socias comerciales, el día 5 de enero de 2023, el proceso de consulta pública internacional de las especificaciones técnicas referidas en el considerando anterior.
6. Que, de los distintos organismos del Estado que fueron consultados, solamente el Servicio Nacional del Consumidor realizó observaciones respecto a las especificaciones técnicas para el diseño de la etiqueta de consumo energético para los aparatos de refrigeración de uso doméstico, siendo dichas observaciones remitidas al correo electrónico eficienciaenergetica @minenergia.cl.
7. Que, a lo largo de la etapa de consulta pública, las empresas Lenor Chile SpA, Whirlpool Chile Ltda., Electrolux de Chile S.A., MABE, y Sical Silab Ingenieros realizaron observaciones a las propuestas de especificaciones técnicas en consulta pública.
8. Que, en base a las observaciones realizadas, esta Cartera de Estado, en conjunto con la Superintendencia de Electricidad y Combustibles, realizaron ajustes para definir las especificaciones definitivas, resolviendo de esta manera, fundadamente, todas las consultas, comentarios y observaciones recibidas durante el periodo de consulta pública.
9. Que, de conformidad a lo dispuesto en el Reglamento, la División de Energías Sostenibles de la Subsecretaría de Energía, elaboró las especificaciones técnicas definitivas de la etiqueta de eficiencia energética para los aparatos de refrigeración de uso doméstico, y estableció la etiqueta correspondiente.
Resuelvo:
1° Apruébanse las especificaciones técnicas definitivas de la etiqueta de eficiencia energética para los aparatos de refrigeración de uso doméstico, elaboradas por la División de Energías Sostenibles del Ministerio de Energía, de conformidad con lo dispuesto en el decreto supremo N° 64, de 6 de junio de 2013, del Ministerio de Energía, cuyo texto íntegro es del siguiente tenor literal:
ESPECIFICACIONES TÉCNICAS PARA EL DISEÑO DE LA ETIQUETA DE EFICIENCIA ENERGÉTICA PARA LOS APARATOS DE REFRIGERACIÓN DE USO DOMÉSTICO

Versión Final 2024
Elaborado por: División de Energías Sostenibles
Ministerio de Energía
0. Introducción
El presente documento tiene por objetivo presentar la metodología de clasificación y etiquetado de eficiencia energética para los aparatos de refrigeración domésticos y similares (Refrigeradores, Congeladores y Refrigerador-Congelador). Se presentan los cálculos de clasificación, cálculo de energía y el diseño de la etiqueta de Eficiencia Energética.
La presente etiqueta tiene por objetivo informar al consumidor final el nivel de eficiencia energética, así como otros parámetros que son importantes en la decisión de compra, de los aparatos de refrigeración de uso doméstico alimentados por la red eléctrica.
Aunque el método de cálculo de la eficiencia energética está basado en el Reglamento Delegado (UE) 2019/2016 de la Unión Europea, se han realizado modificaciones para ajustarlo a las clasificaciones de etiquetado chileno.
1. Alcance y campo de aplicación
1.1 Este documento establece la metodología para la clasificación de eficiencia energética y requisitos de etiquetado para los aparatos de refrigeración domésticos y similares (Refrigeradores, Congeladores y Refrigerador-Congelador) que funcionan conectados a la red eléctrica. Esto incluye los Frigobares.
1.2 Se exceptúan de esta exigencia los siguientes productos:
a) Aparatos de refrigeración que utilizan como medios de enfriamiento diferentes a moto - compresor (por ejemplo, aquellos que usan tecnología de absorción o celdas de semiconductores).
b) Muebles Frigoríficos comerciales utilizados en la venta y exposición de comestibles, los cuales están definidos en el protocolo PE Nº 1/28/2.
c) Congeladores con alguna de las siguientes características:
a. Capacidad de volumen total sobre los 650 litros
b. Tensión de alimentación industrial trifásica 380 V~ entre fases
d) Aparatos de refrigeración específicos para la conservación de vino (cavas de vino).
e) Aparatos de refrigeración específicos para la conservación de bebidas, cervezas y similares
f) Aparatos de refrigeración cuya función principal no es la conservación de alimentos
g) Los aparatos móviles de refrigeración, tales como los utilizados por vehículos motorizados para el transporte de mercaderías refrigeradas y/o congeladas; y los utilizados en casas rodantes.
h) Los operados a baterías como fuente de alimentación
i) Los alimentados con tensión alterna trifásica
2. Documentos normativos de referencia
- PE Nº 1/17/2: Protocolo de Análisis y/o Ensayos de Eficiencia Energética de Producto Eléctrico: Refrigeradores, Congeladores y Refrigerador-Congelador
- IEC62552-1:2015+AMD1:2020 Household refrigerating appliances - Characteristics and test methods, Part1: General requirements
- IEC62552-2:2015+AMD1:2020 Household refrigerating appliances - Characteristics and test methods, Part2: Performance requirements
- IEC62552-3:2015+AMD1:2020 Household refrigerating appliances – Characteristics and test methods, Part3: Energy consumption and volume
3. Términos y definiciones
Definiciones:
1) «red» o «red eléctrica»: el suministro eléctrico procedente de la red de 220 volt de corriente alterna a 50 Hz;
2) «aparato de refrigeración»: armario aislado con uno o más compartimientos controlados a temperaturas específicas, refrigerados por convección natural o forzada mediante la cual el frío se obtiene por uno o varios medios que consumen energía;
3) «compartimiento»: espacio cerrado dentro del aparato de refrigeración, separado de otro(s) compartimiento(s) por una mampara, cajón o elemento similar, directamente accesible por una o más puertas exteriores y que puede a su vez estar dividido en sub-compartimientos; a efectos de la presente Norma, salvo que se indique lo contrario, se entenderá por «compartimiento» tanto los propios compartimientos como los sub-compartimientos;
4) «puerta exterior»: parte de un aparato de refrigeración que puede moverse o retirarse para, como mínimo, permitir trasladar la carga del exterior al interior o del interior al exterior del aparato de refrigeración;
5) «sub-compartimiento»: espacio cerrado en el interior de un compartimiento que tiene un intervalo de temperatura de funcionamiento diferente al del compartimiento en el que se encuentra;
6) «volumen total» (V): el volumen del espacio comprendido en el interior del revestimiento del aparato de refrigeración, equivalente a la suma del volumen de sus compartimientos, expresado en litros;
7) «volumen del compartimiento» (Vc): el volumen del espacio comprendido en el interior del revestimiento del compartimiento, expresado en litros;
8) «congelador»: aparato de refrigeración que solo cuenta con compartimientos de cuatro estrellas;
9) «compartimiento congelador» o «compartimiento de cuatro estrellas»: un compartimiento para productos congelados con una temperatura de referencia y unas condiciones de conservación de -18 °C que cumple los requisitos de la capacidad específica de congelación;
10) «compartimiento para congelados»: un tipo de compartimiento con una temperatura de referencia inferior o igual a 0°C; es decir, un compartimiento de cero, una, dos, tres o cuatro estrellas, conforme a lo establecido en la IEC62552-1-2-3:2015+AMD1:2020;
11) «tipo de compartimiento»: el tipo de compartimiento declarado de conformidad con los parámetros de rendimiento de la refrigeración establecidos en la IEC62552-1-2-3:2015+AMD1:2020;
12) «temperatura del compartimiento» (Tc): la temperatura objetivo en el interior de un compartimiento durante los ensayos, conforme a lo establecido en la Tabla 1 de la norma IEC62552-3:2015+AMD1:2020;
13) «compartimiento sin estrellas» y «compartimiento de fabricación de hielo»: compartimiento para alimentos congelados con una temperatura de referencia y unas condiciones de conservación de 0 °C, conforme a lo establecido en la IEC62552-1-2-3:2015+AMD1:2020;
14) «compartimiento de una estrella»: compartimiento para congelados con una temperatura de referencia y unas condiciones de conservación de -6 °C, conforme a lo establecido en la IEC62552-1-2-3:2015+AMD1:2020;
15) «compartimiento de dos estrellas»: compartimiento para congelados con una temperatura de referencia y unas condiciones de conservación de -12 °C, conforme a lo establecido en la IEC62552-1-2-3:2015+AMD1:2020;
16) «compartimiento de tres estrellas»: compartimiento para congelados con una temperatura de referencia y unas condiciones de conservación de -18 °C, conforme a lo establecido en la IEC62552-1-2-3:2015+AMD1:2020;
17) «sección de dos estrellas»: parte de un compartimiento de tres o cuatro estrellas que no tiene su propia puerta o tapa de acceso y con una temperatura de referencia y unas condiciones de conservación de -12 °C;
18) «minibar», Frigobar: aparato de refrigeración, destinado principalmente a la conservación y venta de productos alimenticios en habitaciones de hotel e instalaciones similares;
19) «compartimiento para la conservación de vinos»: compartimiento para productos sin congelar con una temperatura de referencia de 12° C, una humedad en el interior de entre el 50 % y el 80 %, y unas condiciones de conservación de entre 5 °C y 20 °C, conforme a lo establecido en la IEC62552-1-2-3:2015+AMD1:2020;
20) «compartimiento helador»: compartimiento con una temperatura de referencia de 2 °C y unas condiciones de conservación de entre -3 °C y 3 °C, tal como se dispone en la IEC62552-1-2-3:2015+AMD1:2020;
21) «compartimiento para productos sin congelar»: un tipo de compartimiento con una temperatura de referencia igual o superior a 4 °C; es decir, un compartimiento despensa, compartimiento para la conservación de vinos, compartimiento bodega o compartimiento para alimentos frescos, con unas condiciones de conservación y temperatura de referencia conformes a lo previsto en la IEC62552-1-2-3:2015+AMD1:2020;
22) «compartimiento despensa»: compartimiento para productos sin congelar con una temperatura de referencia de 17°C y unas condiciones de conservación de entre 14 °C y 20 °C, tal como se dispone en la IEC62552-1-2-3:2015+AMD1:2020;
23) «compartimiento bodega»: compartimiento para productos sin congelar con una temperatura de referencia de 12 °C y unas condiciones de conservación de entre 2 °C y 14 °C, tal como se dispone en la IEC62552-1-2-3:2015+AMD1:2020;
24) «compartimiento para alimentos frescos»: compartimiento para productos sin congelar con una temperatura de referencia de 4 °C y unas condiciones de conservación de entre 0 °C y 8 °C, tal como se dispone en la IEC62552-1-2-3:2015+AMD1:2020;
25) «aparato móvil de refrigeración»: aparato de refrigeración empleado en lugares donde no hay acceso a la red eléctrica principal y que requiere una red de muy baja tensión (< 120 V DC), combustible o ambas cosas como fuente de energía para desempeñar la función de refrigeración, incluidos aquellos aparatos de refrigeración que, además de las redes de muy baja tensión o el combustible, o ambas cosas, pueden alimentarse de la red eléctrica a través de un convertidor AC/DC externo que debe adquirirse por separado; un aparato comercializado con un convertidor AC/DC no es un aparato móvil de refrigeración;
26) «productos alimenticios»: alimentos, ingredientes, bebidas, incluido el vino, y otros artículos, utilizados básicamente para su consumo, que deben refrigerarse a determinadas temperaturas;
27) «aparato encastrable o empotrado»: aparato de refrigeración diseñado, probado y comercializado de manera exclusiva para:
a. ser encastrado en una estructura de madera o paneles (por la parte superior, inferior y lateral);
b. ser fijado con seguridad por la parte lateral, superior o inferior a la estructura de madera o los paneles, y
c. ser equipado con una cobertura frontal integral de fábrica o con un panel frontal a medida;
28) «índice de eficiencia energética» (IEE): número índice correspondiente a la eficiencia energética relativa de un aparato de refrigeración, expresado en porcentaje, conforme a lo previsto en el Capítulo 5;
29) «consumo anual de energía» (AE): el consumo de energía medido según el protocolo de ensayos PE Nº 1/17/2 (ETotal) expresado en kilowatt-hora al año (kWh/a). En el caso de los aparatos de refrigeración que solo tengan compartimientos para congelados, el consumo E Total se ajustará con el factor de carga L según lo previsto en el Capítulo 5;
30) «consumo mensual de energía» (ME): el consumo anual de energía (AE) dividido por los 12 meses del año expresado en kilowatt-hora por mes (kWh/mes) según lo previsto en el Capítulo 5;
31) «consumo diario de energía» (Edaily): el consumo de energía de un aparato de refrigeración en un período de 24 horas, en las condiciones de referencia, expresado en kilowatt-hora por 24 horas (kWh/24h), tal como se dispone en la IEC62552-1-2-3:2015+AMD1:2020;
32) «capacidad de congelación»: la cantidad de productos alimenticios frescos que pueden congelarse en un compartimiento congelador en 12 h tal como se dispone en la IEC62552-1-2-3:2015+AMD1:2020;
33) «resistencia anti-condensación»: resistencia que evita la condensación en el aparato de refrigeración;
34) «resistencia anti-condensación controlada por el ambiente»: resistencia anti-condensación cuya capacidad calefactora depende de la temperatura ambiente, de la humedad ambiente o de ambas;
35) «energía auxiliar» (Eaux): la energía empleada por una resistencia anti-condensación controlada por el ambiente, expresada en kilowatt-hora al año (kWh/a) y calculada según el protocolo de ensayos chileno PE Nº 1/17/2;
36) «clase climática»: el intervalo de temperaturas ambiente en el que está previsto el uso de los aparatos de refrigeración y en el que se cumplen simultáneamente en todos los compartimientos las condiciones de conservación según lo establecido en la IEC62552-1-2-3:2015+AMD1:2020;
37) «tipo de deshielo»: método empleado para eliminar la acumulación de escarcha en el evaporador o evaporadores de un aparato de refrigeración, es decir, deshielo automático o manual;
38) «deshielo automático»: prestación que permite desescarchar los compartimientos sin que el usuario tenga que activar la eliminación de la escarcha acumulada, independientemente de los ajustes de control de la temperatura, o restablecer el funcionamiento normal y que elimina automáticamente el agua desescarchada;
39) «deshielo manual»: tipo de deshielo cuando el aparato no cuenta con una función de deshielo automático;
40) «consumo de energía anual normalizado» (SAE): el consumo energético anual de referencia de un aparato de refrigeración, expresado en kilowatt-hora al año (kWh/año), calculado según lo previsto en el Capítulo 5 de este documento;
41) «parámetro "combi"» (C): parámetro de modelización que tiene en cuenta el efecto sinérgico de la combinación de distintos tipos de compartimiento en un aparato, con los valores establecidos en el Capítulo 5;
42) «factor de pérdida de calor de la puerta» (D): factor de compensación de los aparatos combinados en función del número de compartimientos con diferente temperatura o del número de puertas exteriores, en caso de que este sea inferior, conforme a lo establecido en el Capítulo 5; con relación a este factor, por «compartimiento» no se entenderá «sub-compartimiento»;
43) «aparato combinado»: aparato de refrigeración con más de un tipo de compartimiento entre los cuales al menos uno es para productos sin congelar;
44) «factor de deshielo» (Ac): factor de compensación que tiene en cuenta si el aparato de refrigeración dispone de un sistema de deshielo automático o manual, con los valores establecidos en el Capítulo 5;
45) «factor de encastre» (Bc): factor de compensación que tiene en cuenta si el aparato de refrigeración está encastrado o es de libre instalación, con los valores establecidos en el Capítulo 5;
46) «aparato de libre instalación»: aparato de refrigeración que no es un aparato encastrable;
47) «Mc» y «Nc»: parámetros de modelización que tienen en cuenta la dependencia del uso de energía respecto al volumen, con los valores establecidos en el Capítulo 5;
48) «parámetro termodinámico» (rc): parámetro de modelización que corrige el consumo de energía anual normalizado a una temperatura ambiente de 24 °C, con los valores establecidos en el Capítulo 5;
4. Método de ensayo
Los ensayos se deberán realizar de acuerdo a lo indicado en el protocolo de análisis y ensayos PE Nº 1/17/2 de la Superintendencia de Electricidad y Combustibles.
5. Cálculo de la eficiencia energética
1. Determinación del IEE:
El Índice de Eficiencia Energética (IEE), expresado en % y redondeado a un decimal, se calcula como sigue:
Donde AE es el consumo de energía anual medido en el laboratorio, y SAE es el consumo de energía anual normalizado.
2. Determinación del consumo de energía anual AE:
El consumo de energía anual AE se determinará mediante ensayo de acuerdo con el protocolo de ensayos PE Nº 1/17/2, es decir:

Nota 1: A efectos de información en la etiqueta, se incluirá el consumo mensual de energía (ME), para lo que se dividirá el consumo anual (AE) por 12:

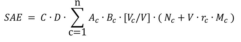
3. Determinación del consumo de energía anual normalizado (SAE):
SAE, expresado en kWh/año y redondeado a dos decimales, se calcula como sigue:

Donde
- «c» es el número índice correspondiente a un tipo de compartimiento que oscila entre 1 y «n», con «n» como número total de tipos de compartimiento
- Nc y Mc dependen del tipo de compartimiento (Tabla 1)
- Vc es el volumen medido del compartimiento expresado en litros y redondeado a un decimal
- V es el volumen total expresado en litros y redondeado al número entero más próximo
- rc es el coeficiente termodinámico del compartimiento (Tabla 1)
- Ac y Bc son los coeficientes compensatorios para deshielo automático y aparato encastrable respectivamente (Tabla 2)
- C es el parámetro para refrigeradores combinados (Tabla 1)
- D es el coeficiente compensatorio para refrigeradores con más de 2 puertas (Tabla 2)
Nota: La clasificación de los compartimientos debe realizarse de acuerdo con la norma IEC 62552:2015 +AMD1:2020
Tabla 1: Valores de los parámetros de modelización, por tipo de compartimiento
Tabla 2: Valores de los factores de compensación, por tipo de compartimiento
6. Muestreo y tolerancias
6.1 Generalidades
Para la certificación del producto se ensayará en un laboratorio autorizado una muestra unitaria conforme a lo dispuesto en el protocolo de ensayos PE Nº 1/17/2.
6.2 Criterios de aceptación
Para efectos de mantener la misma etiqueta de eficiencia energética, las variables de la Clase determinada en función de la tabla 4 y número de estrellas deben ser las mismas indicadas en la etiqueta. Adicionalmente, los valores del volumen total y consumo de energía anual deben ser los obtenidos como resultados de los ensayos en el Capítulo II – Análisis y/o Ensayos del PE N° 1/17/2- con la variación permitida de tolerancias conforme la tabla 3.
En caso de no cumplir con las especificaciones descritas anteriormente, las tolerancias indicadas en tabla 3, el proveedor podrá aceptar los resultados obtenidos en el laboratorio autorizado, en caso contrario, se ensayarán otros dos aparatos; si la media aritmética de los valores medidos de los tres aparatos cumple con las tolerancias de la tabla 3, los valores obtenidos serán aceptados. En caso contrario, los valores obtenidos no serán aceptables para certificación de producto.
6.3 Tolerancias
Las tolerancias indicadas en la tabla 3 se refieren únicamente a la verificación de los valores de la etiqueta obtenidos durante los ensayos en un laboratorio autorizado. Están pensadas para considerar pequeñas diferencias durante la fabricación de un mismo modelo e incertidumbres durante los ensayos de laboratorio, y no deben ser utilizadas por el proveedor como tolerancia admisible para establecer los valores indicados en la documentación técnica o para interpretar estos valores con vistas a lograr un mejor desempeño en las diferentes variables de la etiqueta.
Tabla 3: Tolerancias de verificación de los parámetros medidos
7. Límites de la etiqueta
Las Clases de eficiencia energética A a G de un aparato se deben determinar de acuerdo con el valor del Índice de Eficiencia Energética (IEE) calculado en el Capítulo 5.
La clasificación se realizará en dos etapas, la primera desde 2024 a diciembre de 2030, y la siguiente de enero de 2031 en adelante, de acuerdo a las tablas 4 y 5.
Tabla 4: Clases de eficiencia energética 2024 - 2030
Tabla 5: Clases de eficiencia energética a partir de 2031
8. Etiqueta
Para declarar la eficiencia energética, los aparatos de refrigeración domésticos señalados en el alcance de las presentes especificaciones técnicas, deben contar con una etiqueta como la descrita en este documento.
8.1 Ubicación
La etiqueta se debe fijar en el aparato, en su parte frontal, área superior, excepto para modelos cuyas configuraciones hagan impracticable su aplicación en este lugar; en esos casos, se puede aplicar la etiqueta en otro lugar a criterio del fabricante, de forma que sea totalmente visible para el consumidor.

8.2 Permanencia y durabilidad.
La etiqueta debe permanecer en el producto y sólo podrá ser retirada por el consumidor final.
La conformidad de durabilidad se debe verificar por inspección y frotando el marcado manualmente durante 15 s con un paño empapado en agua y nuevamente durante 15 s con un paño empapado en gasolina.
Después de este ensayo, la etiqueta debe ser claramente legible, no debe ser posible retirarla fácilmente y no debe mostrar arrugas.
NOTAS
1) Al considerar la duración del marcado, se debe tener en cuenta el efecto del uso normal. Por ejemplo, el marcado efectuado con pintura o esmalte, distinto de esmalte vitrificado, sobre los contenedores que son susceptibles de limpiarse con frecuencia, no se considera duradero.
2) La gasolina a utilizar para este ensayo es un hexano de disolvente alifático con un contenido máximo en aromáticos del 0,1% en volumen, un valor kauri-butanol de 29, un punto inicial de ebullición de 65ºC aproximadamente, un punto seco de 69ºC aproximadamente y una masa específica de 0,66 kg/L aproximadamente.
8.3 Información
La etiqueta debe ser impresa en forma legible y contener toda la información indicada en Figura 2.
Figura 2 –Etiqueta de eficiencia energética
8.4 Campos de la etiqueta
Figura 3 –Campos de la etiqueta de eficiencia energética
El contenido de la etiqueta será el siguiente:
I: Clasificación del artefacto: Refrigerador, Refrigerador-Congelador, Congelador. La clasificación se basa en la tabla 6.
II: Identificador de etiqueta actualizada versión 2024.
III: Marca comercial del proveedor.
IV: Identificador del modelo del proveedor.
V: Sistema de deshielo (automático, manual).
VI: Escala de clases de eficiencia energética, de la A a la G.
VII: Consumo de energía, en kWh/mes, calculado de acuerdo al capítulo 5, sección 2, Nota 1, redondeado al número entero más próximo.
VIII: En esta sección se incluyen las siguientes características del artefacto:
Volumen total, en litros, del compartimiento de alimentos frescos en números enteros (si existe).
Volumen total en litros, del compartimiento de alimentos congelados en números enteros (si existe).
Identificación por número de estrellas y la temperatura nominal del compartimiento de alimentos congelados, en ºC (si existe).
IX: Sección informativa que contiene la siguiente leyenda:
"Importante
El consumo real de energía depende de las condiciones de uso del equipo y de su localización. La etiqueta debe permanecer en el producto y solo podrá ser retirada por el consumidor final.
Protocolo SEC PE N° 1/17/2. Actualización 2024". A partir de enero de 2031 la actualización cambiará al año 2031.
Tabla 6: Clasificación
8.5 Dimensiones
Las dimensiones de la etiqueta se encuentran en las siguientes figuras: Dimensiones se presentan en milímetros
Figura 4 A–Dimensiones de la etiqueta de eficiencia energética
Figura 4 B–Dimensiones de la etiqueta de eficiencia energética, identificador actualización.
El identificador consiste en dos círculos concéntricos, el más pequeño de diámetro 17 mm, y el mayor de 25 mm. El borde de ambos círculos de línea sólida color negro, de 3 pt de ancho. La letra utilizada es calibri negrita 20 pt.
8.6 Tipo y tamaño de letras
La figura 5 indica el tipo de letra y el tamaño respecto.
8.7 Otras consideraciones
El fondo de la etiqueta será 100% blanco.
Las líneas de contorno e internas serán negras.
Los colores de la etiqueta utilizarán el patrón CMYK (cian, magenta, amarillo y negro).
La escala de A a G será como la siguiente:
- las letras de la escala de eficiencia energética serán negro 100%, Arial negrita, 24 pt;
- la letra de la clase de eficiencia energética será blanca 100% e irá en Arial negrita, 48 pt; la flecha de la clase de eficiencia energética y la correspondiente flecha de la escala de A a G se colocarán de forma que sus puntas estén alineadas. La letra que figura en la flecha de la clase de eficiencia energética estará situada en el centro de la parte rectangular de la flecha, que será en un 100% de color negro;
- los colores de la escala de clasificación energética de A a G se indican en la tabla 7:
Tabla 7: Colores para las barras de la etiqueta
Color del identificador actualización
ESPECIFICACIONES TÉCNICAS PARA EL DISEÑO DE LA ETIQUETA DE EFICIENCIA ENERGÉTICA PARA LOS APARATOS DE REFRIGERACIÓN DE USO DOMÉSTICO
Versión Final 2024
Elaborado por: División de Energías Sostenibles,
Ministerio de Energía
2° Establécese que los aparatos de refrigeración de uso doméstico deberán contar con una etiqueta de eficiencia energética para su comercialización, la cual deberá elaborarse en base a las especificaciones técnicas definidas en el resuelvo primero precedente, siguiendo la siguiente estructura:
Anótese, publíquese en el Diario Oficial y en el sitio web del Ministerio de Energía y archívese.- Diego Pardow Lorenzo, Ministro de Energía.
Lo que transcribo a Ud. para su conocimiento.- Saluda Atte. a Ud., María Fernanda Riveros Inostroza, Jefa División Jurídica, Subsecretaría de Energía.