APRUEBA ARANCEL DE LA MODALIDAD DE COBERTURA COMPLEMENTARIA DEL FONDO NACIONAL DE SALUD (MCC)
Núm. 1.134 exenta.- Santiago, 21 de agosto de 2024.
Visto:
El ordinario N° 18606/2024 del Director del Fondo Nacional de Salud; el decreto con fuerza de ley N° 1 de 2005, del Ministerio de Salud, que fija el texto refundido, coordinado y sistematizado del decreto ley N° 2.763, de 1979, y de las leyes N° 18.933 y N° 18.469; la ley N° 21.674, que Modifica el decreto con fuerza de ley N° 1 de 2005, del Ministerio de Salud, en las materias que indica, crea un nuevo modelo de atención en el Fondo Nacional de Salud, otorga facultades a la Superintendencia de Salud, y modifica normas relativas a las Instituciones de Salud Previsional, y la resolución N° 7 de 2019, de la Contraloría General de la República, que fija normas sobre exención del trámite de toma de razón.
Considerando:
1. Que, el nuevo artículo 144 ter inciso primero del DFL N° 1, de 2005, del Ministerio de Salud, introducido por el artículo 1° de la ley N° 21.674, establece una nueva modalidad de atención, denominada Modalidad de Cobertura Complementaria (en adelante MCC), en virtud de la cual las personas afiliadas al Fonasa, que cumplan los requisitos que establece dicha ley y se inscriban para tales efectos, podrán obtener acceso y protección financiera para las prestaciones de salud aranceladas en una red de prestadores determinada, obligándose al pago de una prima complementaria.
2. Que, por mandato del inciso cuarto del señalado artículo 144 ter será el Ministerio de Salud, a propuesta de Fonasa, el órgano encargado de establecer por resolución, el Arancel de la MCC, la que deberá ser suscrita, además, por el Ministerio de Hacienda.
3. En complemento de lo anterior, según lo prescrito en el artículo 159 del citado DFL N° 1 de 2005, el Fondo Nacional de Salud (Fonasa) tiene a su cargo la fijación de aranceles que determinen el valor de las prestaciones y atenciones que los afiliados y los respectivos beneficiarios soliciten y reciban del Régimen General de Prestaciones en Salud.
4. El inciso tercero del citado artículo 144 ter, dispone que las prestaciones cubiertas en la MCC serán financiadas por Fonasa de conformidad con el Arancel que se fije al efecto y en la parte que le corresponda, por la cobertura financiera complementaria que otorgue la compañía de seguros en los términos que establece la póliza, y por el copago que corresponda al beneficiario. Tratándose de la cobertura financiera complementaria otorgada por las compañías de seguros, esta disposición legal establece la existencia de un tope anual de cobertura en los términos establecidos en la póliza. Una vez superado el tope anual, la diferencia entre la cobertura que corresponderá a Fonasa y el valor de la prestación arancelada será enterada por la persona beneficiaria.
5. Que, en relación a las prestaciones que deberá contemplar el Arancel de la MCC, el artículo 144 ter citado dispone, que a lo menos, se deberán incorporar las contenidas en el Arancel vigente de la modalidad de libre elección (MLE), y podrá considerar otras prestaciones con pertinencia sanitaria no contenidas en este último arancel, para personas no beneficiarias del Libro II del citado DFL N° 1, de 2005, a que se refiere el artículo 24 de la ley N° 18.681, que establece normas complementarias de administración financiera de incidencia presupuestaria y personal.
6. Que, respecto del Arancel de la MCC, se han incorporado en un 100% las prestaciones ambulatorias y hospitalarias establecidas en el Arancel de la MLE que se encuentren vigentes, fijadas a través de la resolución exenta N° 176 de 1999, del Ministerio de Salud y de Hacienda y sus modificaciones posteriores.
7. Respecto de las atenciones hospitalarias, la reciente ley N° 21.674, añade que en la MCC se contemplarán mecanismos de pago destinados a financiar la solución del problema de salud.
8. Las prestaciones ambulatorias y hospitalarias del Arancel MLE que se incluyen en el Arancel de la MCC, han mantenido en general su estructura en cuanto al Grupo que integran y su denominación. Sin embargo. para su incorporación al Arancel de la MCC, se han introducido las siguientes modificaciones:
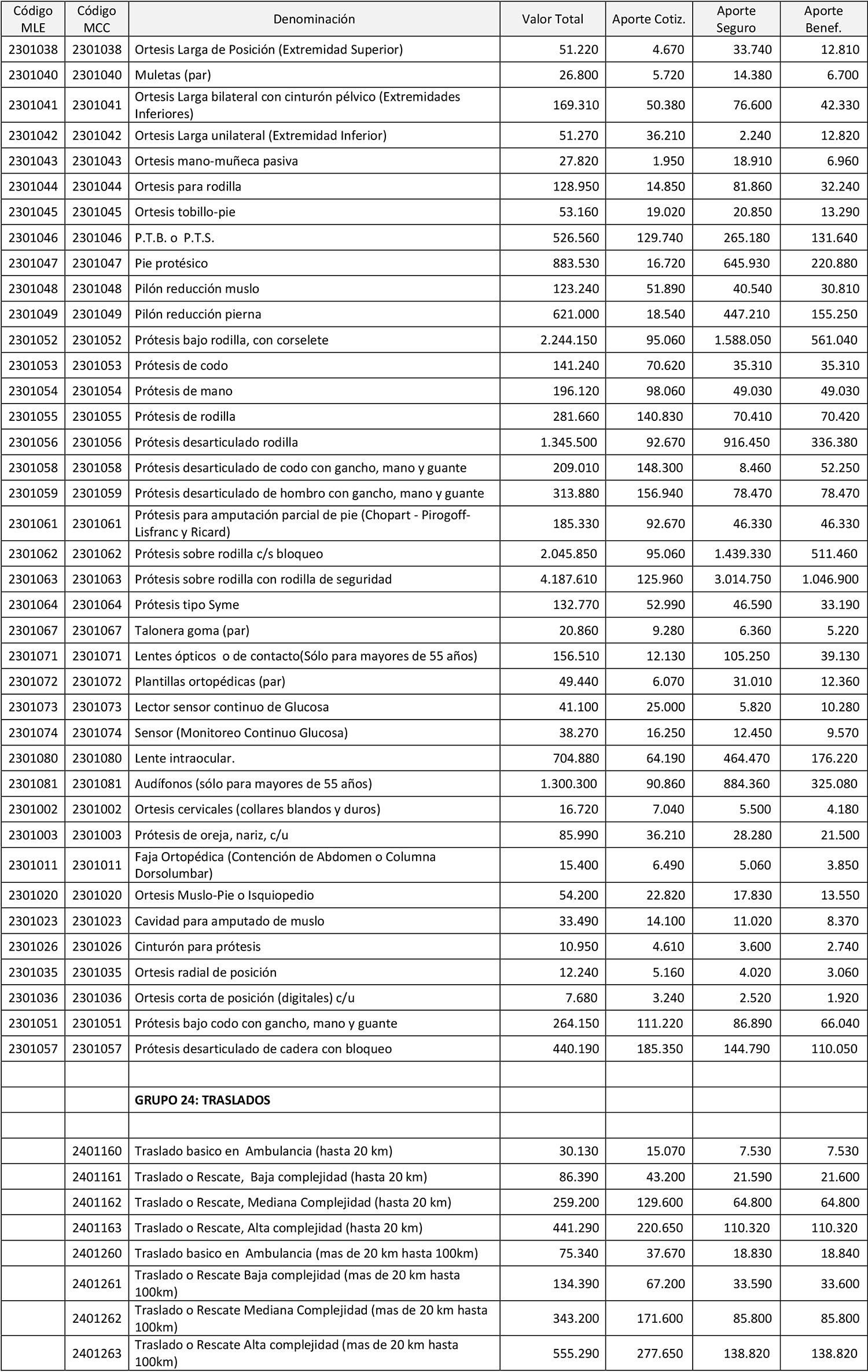
a) Se establecen los siguientes Grupos para la MCC: 01: Atención abierta; 02: Días cama; 03: Exámenes de laboratorio; 04: Imagenología; 05: Medicina nuclear; 06: Kinesiología y terapia ocupacional; 07: Medicina transfusional y banco de tejidos; 08: Anatomía patológica; 09: Psiquiatría y psicología clínica; 13 Fonoaudiología; 23: Prótesis, órtesis y dispositivos médicos; 24: Traslados; 26: Atenciones integrales otros profesionales y técnicos; 29: Tratamientos integrales de braquiterapia, radioterapia y quimioterapia.
b) Se reformulan los códigos relacionados a tests psicológicos (desde el 0902010 al 0902021), los que pasan a ser parte de las prestaciones códigos 0902001, 0902002 y 0902003 y 0908101, 0908102 y 0908103, con la finalidad de otorgar integralidad en las atenciones.
c) Se reformulan los grupos del 11 al 12 y del 14 al 21 del Arancel de la MLE. Las prestaciones de estos grupos pasan a integrar dos nuevos grupos en la MCC que se denominan Grupo N° 31 "Procedimientos ambulatorios integrales" y Grupo N° 32 "Prestaciones de acceso a GRD o CMA" (Grupos Relacionados por Diagnóstico o Cirugía Mayor Ambulatoria). Los procedimientos ambulatorios integrales consideran todos los elementos que se requieren para la atención de salud que están incluidos en el valor arancelado, en tanto que las prestaciones de acceso a GRD o CMA definen las prestaciones que tienen cobertura en la MCC.
d) Respecto del Grupo N° 13, se introducen las siguientes modificaciones al subgrupo fonoaudiología: los códigos 1303001, 1303002 y 1303003 y 1303007, se transforman en una prestación de "evaluación integral" con código 1303010, mientras que las prestaciones relacionadas a la rehabilitación, códigos 1303004 1303005 y 1303006, se transforman en una prestación de "rehabilitación integral" con código 1303011. En cuanto a las prestaciones de telerrehabilitación de fonoaudiología, los códigos 1308301, 1308302, 1308303, 1308304 y 1308305 pasan a ser los nuevos códigos 1308010 y 1308011.
Los procedimientos diagnósticos e intervenciones quirúrgicas de otorrinolaringología del grupo N° 13, pasan a integrar los grupos N° 31 y N° 32 respectivamente.
El grupo N° 22 de Anestesia, será parte de la atención integral de los grupos N°s. 31 y 32, según corresponda.
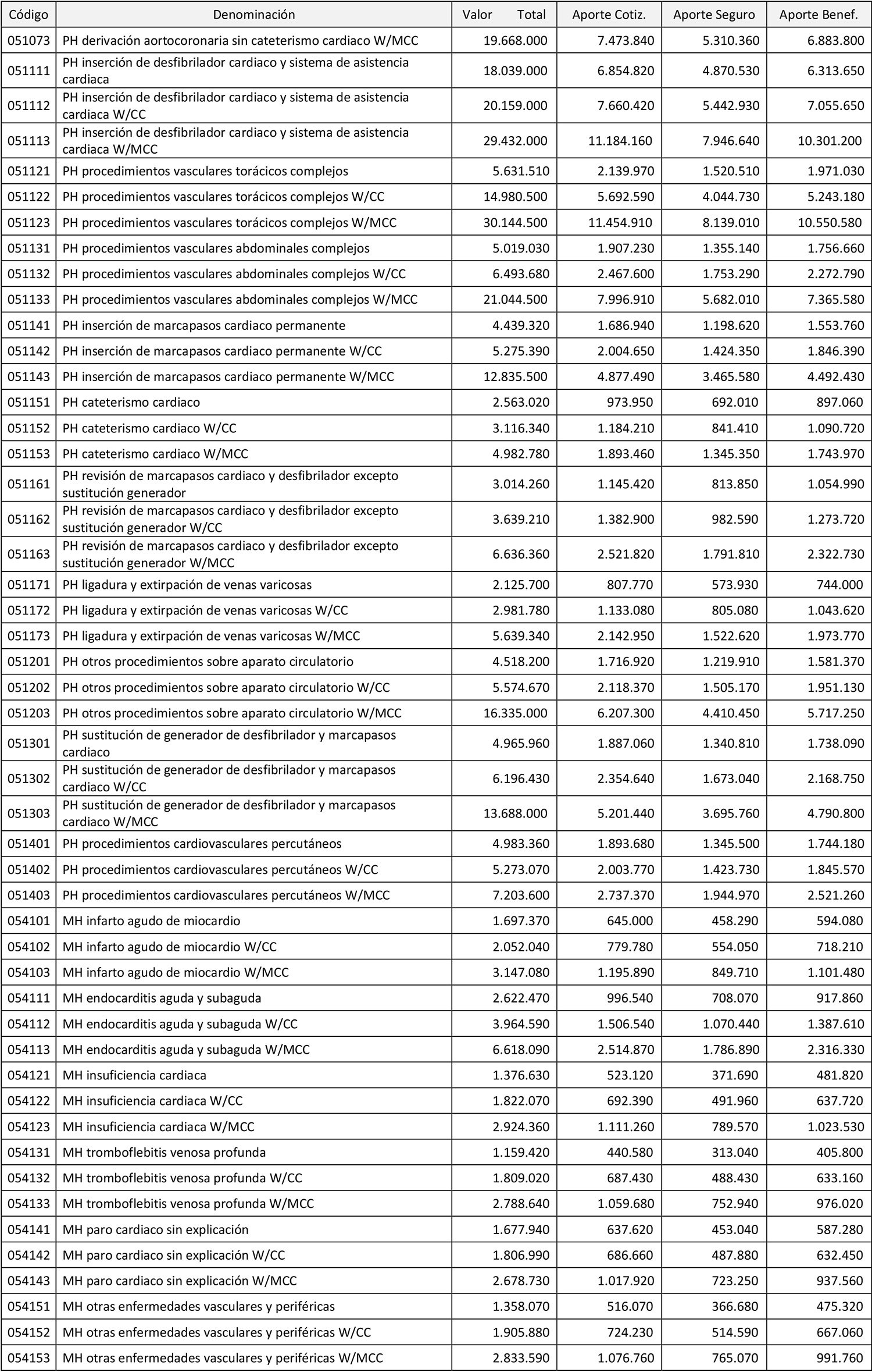
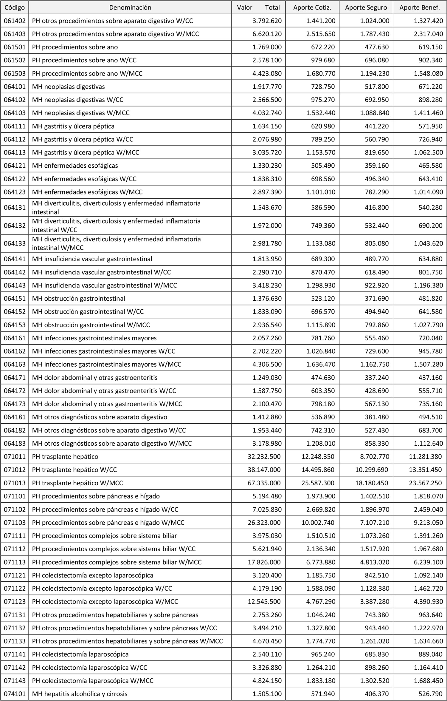
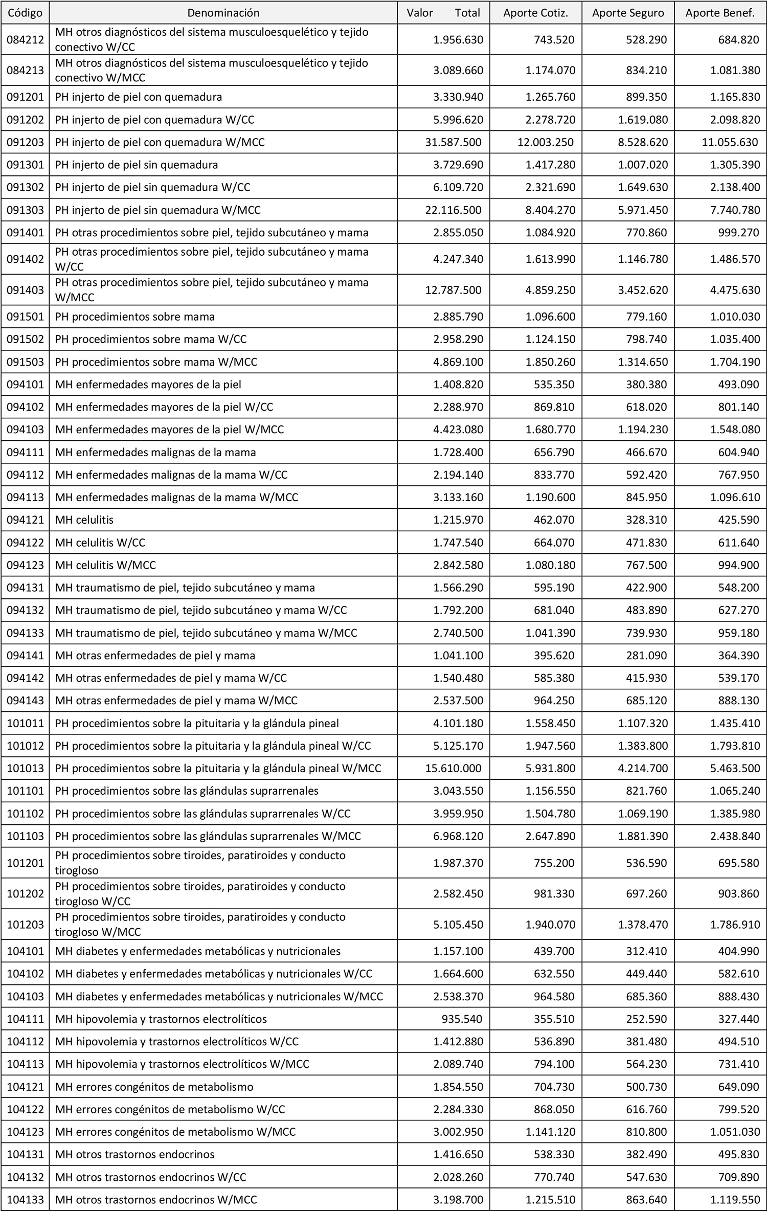
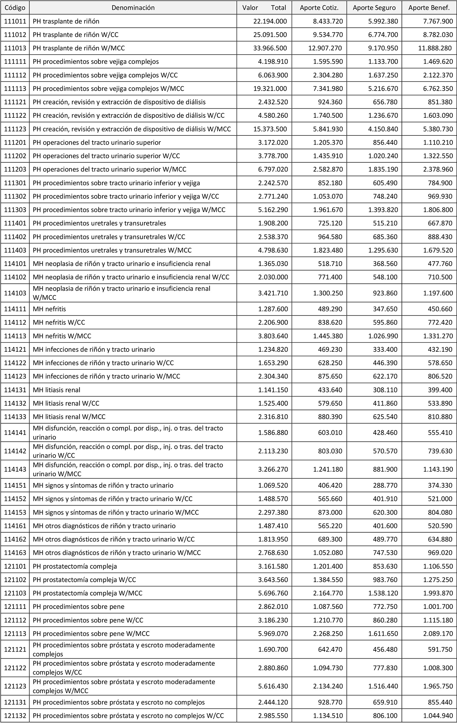
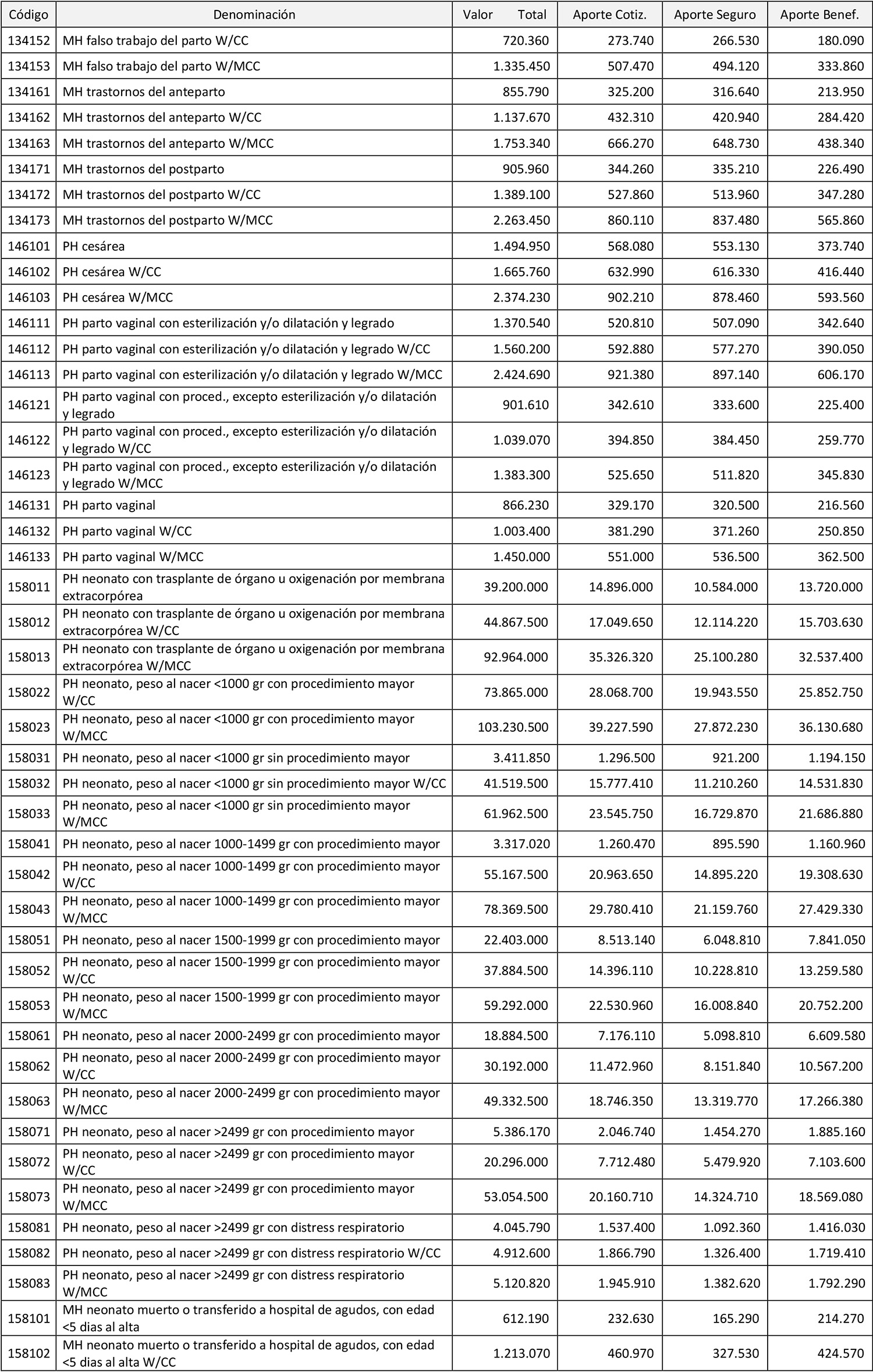
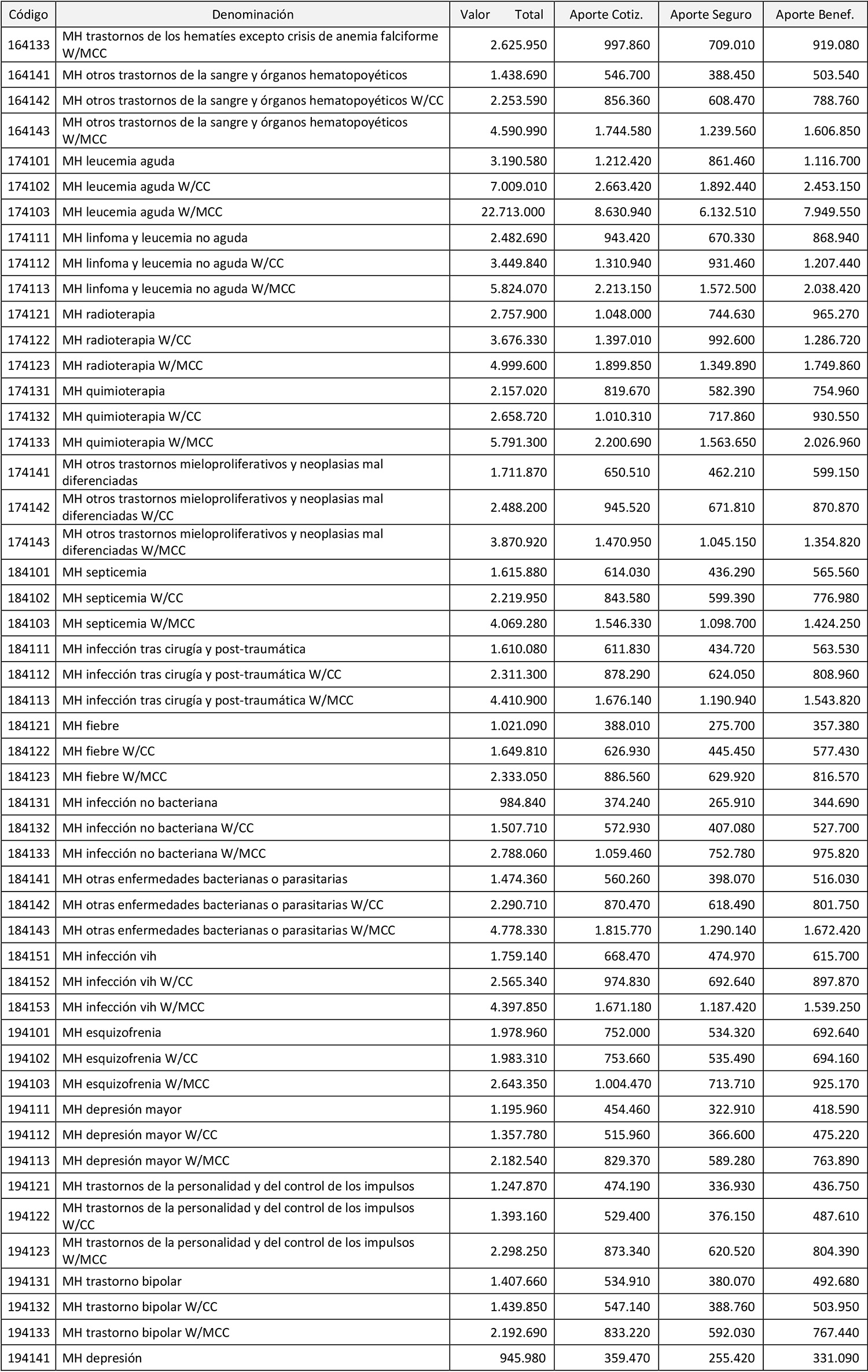
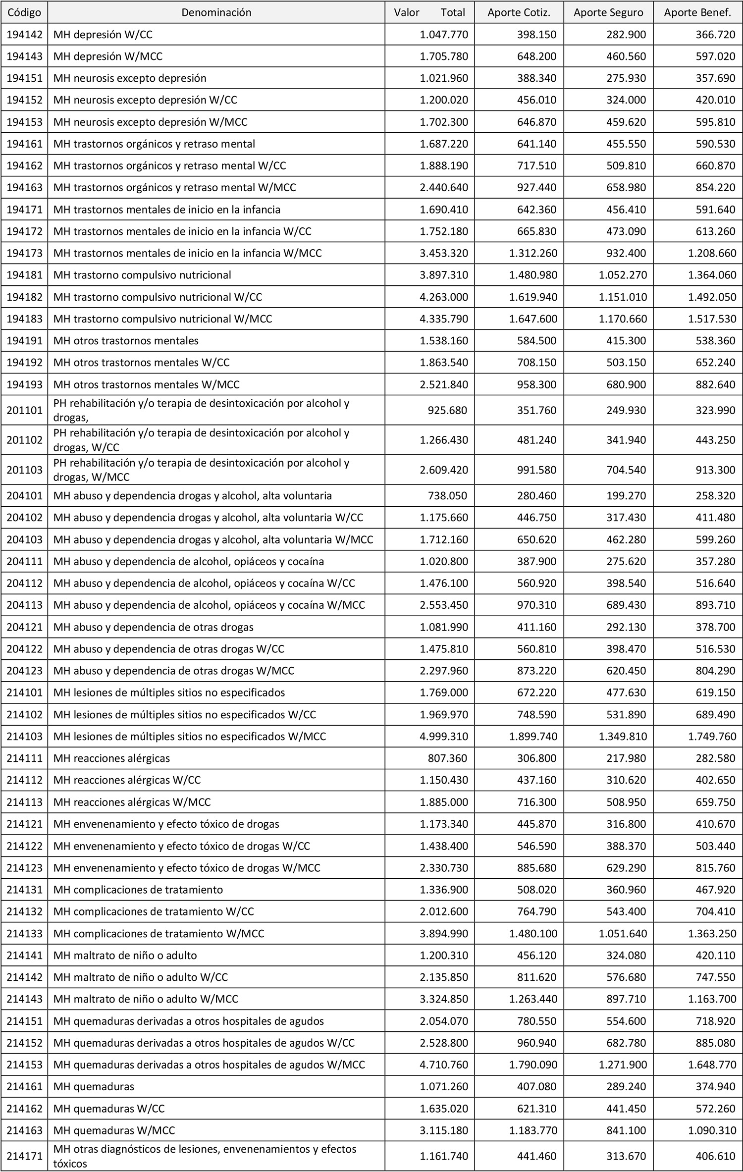
9. Se incorporan en el Arancel MCC 25 prestaciones de salud nuevas, con pertinencia sanitaria, que se denominan "prestaciones adicionales" de las cuales 21 son ambulatorias y de procedimiento, en tanto que 4 de ellas corresponden a prestaciones hospitalarias CMA. Estas prestaciones pasan a integrar los grupos 03, 31 y 32 del Arancel de la MCC y se detallan en el anexo I de la presente resolución.
10. Que, respecto del valor de las prestaciones de salud que componen la MCC se ha considerado, en general, el precio estipulado en los convenios suscritos por Fonasa con prestadores privados, la cantidad y tipo de convenios existentes y el valor promedio del precio de los convenios celebrados con privados.
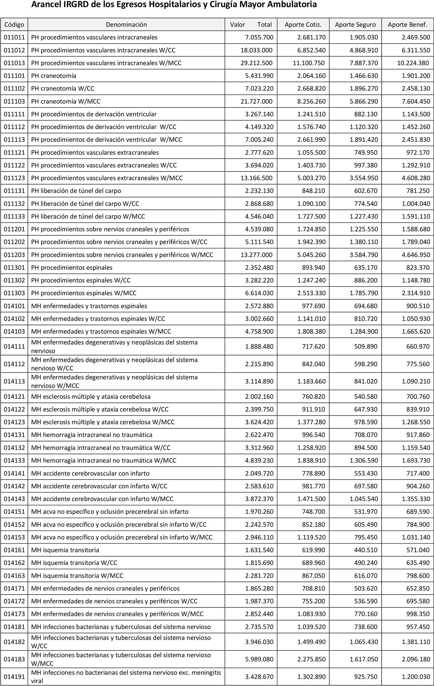
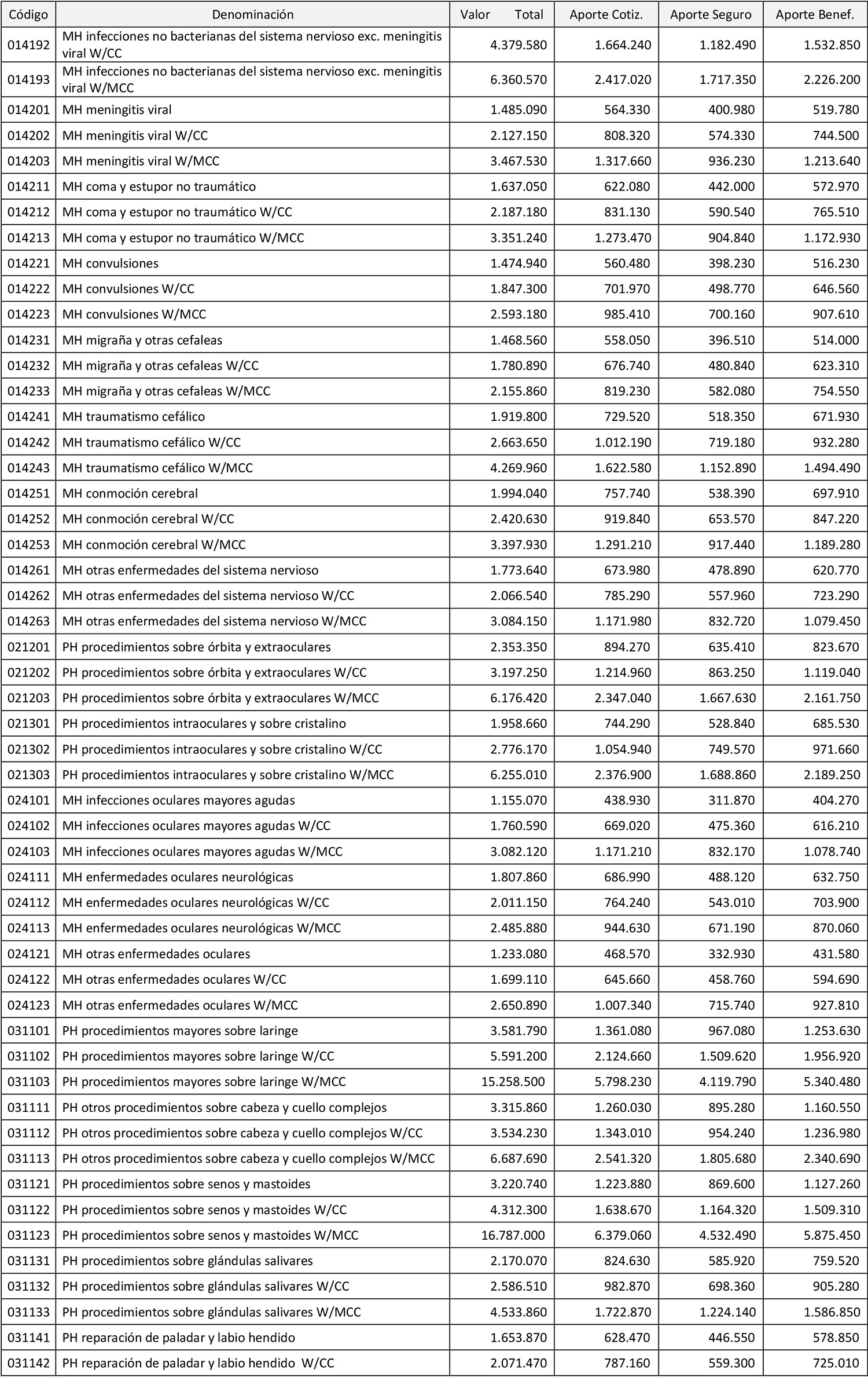
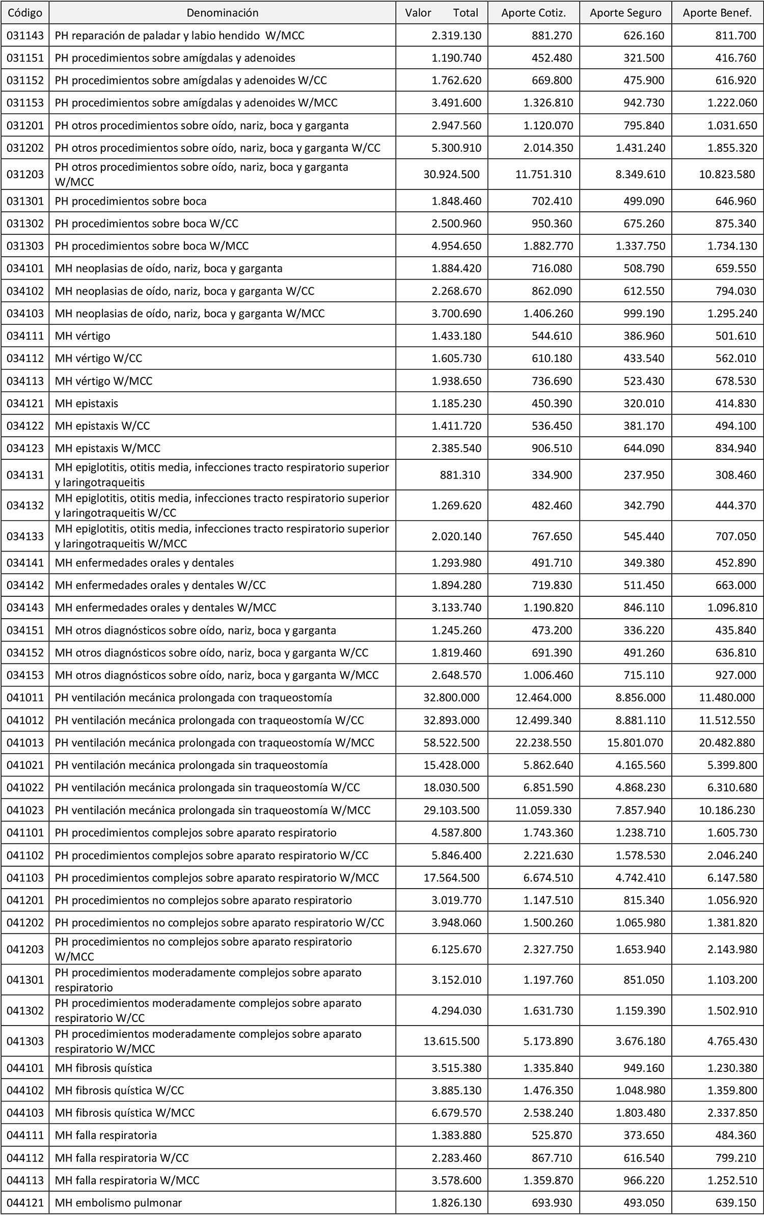
11. Que, respecto de los mecanismos de financiamiento que estipula la citada normativa, se debe distinguir entre prestaciones ambulatorias y hospitalarias. Respecto de las primeras, Fonasa aplicará el mecanismo de "pago por prestación" que considera, para el grupo N° 31, en el valor total de cada prestación todos los componentes del proceso productivo. Respecto de las segundas, Fonasa aplicará como mecanismo de pago el "Sistema GRD" o sistema de financiamiento en base a los Grupos Relacionados por Diagnóstico, esto es, pago por egreso hospitalario o CMA.
12. Que, dos componentes relevantes en el mecanismo de pago GRD son el precio o tarifa base de un egreso hospitalario y/o CMA, y el peso relativo de los IR-GRD. El precio o tarifa base corresponde a un monto predeterminado que sirve como punto de referencia para calcular el reembolso o compensación por servicios específicos que considera factores de complejidad, calidad del servicio y otros que puedan influir en el costo del tratamiento, en tanto que, el peso relativo de los IR-GRD es un coeficiente utilizado en el cálculo de reembolsos que refleja la complejidad y el costo esperado de un tratamiento asociado a un GRD específico en comparación con el costo medio de los tratamientos.
13. El pago por GRD se aplicará para todos aquellos casos de hospitalización y CMA sean de resolución médica o médico-quirúrgica.
La regla general de pago por GRD aplica en todos aquellos casos donde existan estadías inferiores al Punto de Corte Superior del GRD, conforme se establece en los estándares señalados en la resolución exenta 527/2022, de la Subsecretaría de Redes Asistenciales, que Aprueba Norma Minsal 2018-2019 Grupos Relacionados por Diagnóstico Refinados Internacionales (IR-GRD) que actualizó el reporte de casuística bajo elaboración Sigesa de la Norma NMIR v3.020182019, del Ministerio de Salud. De esta manera, corresponde al periodo comprendido entre el día cero o de inicio de la atención y el día correspondiente al día de Punto de Corte Superior.
El valor del GRD se obtiene de la multiplicación del Precio Base (1 o 2 según complejidad) por el peso relativo del GRD respectivo, de acuerdo con la siguiente expresión:
Valor del GRD = Precio Base * Peso Relativo GRD
Para los casos que sean resueltos utilizando prótesis descritas como Ajustes de Tecnología, se pagará cada prótesis utilizada en la intervención como adicional al valor del GRD.
La regla de pago respecto de Outliers Superiores se aplica en casos donde existan estadías superiores al Punto de Corte Superior del GRD establecidas según Norma vigente del Ministerio de Salud.
En todos estos casos, Fonasa realizará una auditoría para la verificación de los antecedentes informados en la prefacturación en forma previa a la autorización de los pagos correspondientes.
Esta regla especial de pago considera la aplicación de un deducible al prestador, por aquellos costos originados con posterioridad al Punto de Corte Superior del GRD. Este deducible se manifiesta en un periodo de no pago (o carencia) por parte de Fonasa al prestador al término del cual se reactiva el pago por cada día de estadía hasta el momento del egreso del paciente (post carencia).
El Valor del Outliers Superior se obtiene mediante la siguiente expresión:
Valor del GRD + [Días post carencia * Peso Relativo GRD * Precio Base 1] m/ Días Percentil 75
Donde:
Valor del GRD: Es el producto entre el Precio Base y el Peso Relativo del GRD correspondiente.
Precio Base referencia 1: Corresponderá Precio base 1.
Días post carencia: Corresponde al periodo comprendido entre el término del periodo de carencia y el momento del egreso del paciente. Durante este periodo se reactiva el pago por parte de Fonasa.
Periodo de carencia: Corresponde al período de tiempo comprendido entre el día del Punto de Corte Superior y que se extiende por el número de días establecido en el Percentil 50 del GRD respectivo según Norma vigente del Ministerio de Salud. Durante este periodo el prestador no recibe pago por parte de Fonasa.
Días Percentil 75: Corresponde al número de días establecido en el Percentil 75 del GRD respectivo según la vigente del Ministerio de Salud.
14. Que, para mayor conocimiento del mecanismo de pago GRD, el Arancel MCC incorpora los valores totales de los GRD más utilizados, conforme se reporta en la Norma aprobada por la resolución exenta 527/2022 de la Subsecretaría de Redes Asistenciales. Los prestadores no podrán realizar cobros adicionales por insumos que son parte de la prestación de salud, excepto aquellos considerados explícitamente como Ajustes de Tecnología.
15. Que, en atención a lo expresado, dicto la siguiente:
Resolución:
Artículo 1. Apruébese el Arancel de la Modalidad de Cobertura Complementaria, MCC, del Fonasa, a que se refiere el artículo 144 ter, del DFL N° 1, de 2005, del Ministerio de Salud.
Artículo 2. El Arancel que se aprueba por el presente acto, regirá única y exclusivamente para aquellos prestadores que hayan celebrado un convenio con Fonasa y sólo respecto de las prestaciones contenidas en dicho convenio.
Artículo 3. El Arancel de la MCC de Fonasa estará compuesto por:
a) Prestaciones ambulatorias del Arancel MLE, que han sido reorganizadas en los siguientes grupos 01, 02 (códigos 0201405, 0201406, 0201407 y 0202501), 03, 04, 05, 06, 07, 08, 09, 13, 23, 24, 26, 29 y 31.
b) Prestaciones hospitalarias de los grupos 02 y 32.
c) Prestaciones adicionales (Anexo I).
d) Ajustes de Tecnología, que considera prestaciones, dispositivos, fármacos, prótesis o insumos que son parte de una intervención sanitaria y se pagan adicional al pago otorgado por el mecanismo de pago GRD y respecto de los procedimientos CIE9-MC definidos. (Anexo II). El pago de estos ajustes será de cargo de la prima complementaria.
Artículo 4. Las prestaciones del presente Arancel que se detallan en Anexo III se clasificarán en títulos, y en ellos cada una contará con un código específico, los que estarán asociados a los primeros.
Los valores de las prestaciones de este Arancel se expresarán en pesos, moneda corriente y para efectos de la presente modalidad poseerán un valor único, distinguiendo entre prestaciones otorgadas en horario hábil y fuera de él.
Se entiende por horario hábil el comprendido entre las 8 y las 20 horas, de lunes a viernes de días no festivos y entre las 8 y las 13 horas de sábados no festivos. Para la prestación código 3205255, el horario hábil de lunes a viernes de días no festivos será el comprendido entre las 8 y las 22 horas.
Para tener derecho al recargo señalado en el inciso anterior, será necesario que las prestaciones se inicien fuera del horario hábil, sin perjuicio de que el término de ellas se produzca dentro del horario hábil.
Las prestaciones electivas o programadas no recibirán recargo alguno, aunque se efectúen fuera del horario hábil.
Tampoco tendrán recargo las consultas de urgencia iniciadas dentro del horario hábil.
Artículo 5. Los precios base GRD establecidos en el Arancel MCC son los siguientes:

Artículo 6. Los valores señalados para las prestaciones que se consignan en el Grupo N° 23 (prótesis) del Anexo III del Arancel, son solamente referenciales para la aplicación del porcentaje de bonificación que corresponde, el cual será de un 50% del valor de cada prestación.
Anótese, comuníquese y publíquese en el Diario Oficial.- Ximena Aguilera Sanhueza, Ministra de Salud.- Mario Marcel Cullell, Ministro de Hacienda.
Transcribo para su conocimiento Res. exenta N° 1.134 - 21 de agosto de 2024.- Por orden de la Subsecretaría de Salud Pública.- Saluda atentamente a Ud., Marcelo Olivares Pacheco, Jefe de la División Jurídica (S), Ministerio de Salud.











































































