1. Modifícase la resolución exenta N° 325 (V. y U.), de fecha 23 de febrero de 2024, en el siguiente sentido:
a) Reemplazar la tabla inserta en su Resuelvo 2. por la siguiente:


b) Agregar en el párrafo final de su Resuelvo 2, la siguiente frase a continuación de su punto final, pasando éste a ser punto seguido: "En el caso de proyectos que consideren la adscripción de beneficiarios de un subsidio individual, se considerará que disponen para la Fiscalización Técnica de Obras de 11 Unidades de Fomento. Con todo, siempre se pagará lo que corresponda según lo indique la normativa aplicable, sea por lo indicado en la resolución indicada en el visto h), o en la resolución indicada en el visto l) o por lo establecido en la presente resolución, según corresponda".
2. Modifícase la resolución exenta N° 1.138 (V. y U.), de 2024, en el siguiente sentido:
a) Reemplázase en la tabla inserta en el Resuelvo 3., los montos en las columnas que se indican a continuación:
I. En su fila N° 17, correspondiente a la Región del Biobío, proyecto Lugar de Encuentro, código 175518, el siguiente monto, solo en la columna que se identifica a continuación:

II. En su fila correspondiente a Total, el siguiente monto, solo en la columna que se identifica a continuación:

b) Reemplázase en la tabla inserta en el Resuelvo 4., los montos en las columnas que se indican a continuación:
I. En su fila N° 17, correspondiente a la Región del Biobío, proyecto Lugar de Encuentro, código 175518, el siguiente monto, solo en la columna que se identifica a continuación:

II. En su fila correspondiente a Total, los siguientes montos, solo en las columnas que se identifican a continuación:

c) Reemplázase en el cuadro del Resuelvo 5., los siguientes montos en las columnas que se indican a continuación:
I. En la fila correspondiente a la Región del Biobío, los siguientes montos, solo en las columnas que se identifican a continuación:

II. En la fila correspondiente a Total Llamado, los siguientes montos, solo en las columnas que se identifican a continuación:

d) Reemplázase en la tabla inserta en su Anexo Único, los montos en las columnas que se indican a continuación:
I. En su fila N° 17, correspondiente a la Región del Biobío, proyecto Lugar de Encuentro, código 175518, el siguiente monto, solo en la columna que se identifica a continuación:

II. En su fila correspondiente a Total, los siguientes montos, solo en las columnas que se identifican a continuación:

3. Modifícase la resolución exenta N° 1.315 (V. y U.), de 2024, en el siguiente sentido:
a) Reemplázase en la tabla inserta en el Resuelvo 1., los montos en las columnas que se indican a continuación:
I. En su fila N° 1, correspondiente a la Región de Arica, proyecto Villa El Sol, código 160577, el siguiente monto, solo en la columna que se identifica a continuación:

II. En su fila correspondiente a Total, el siguiente monto, solo en la columna que se identifica a continuación:

b) Reemplázase en la tabla inserta en el Resuelvo 2., los montos en las columnas que se indican a continuación:
I. En su fila N° 1, correspondiente a la Región de Arica, proyecto Villa El Sol, código 160577, el siguiente monto, solo en la columna que se identifica a continuación:

II. En su fila correspondiente a Total, los siguientes montos, solo en las columnas que se identifican a continuación:

c) Reemplázase en el cuadro del Resuelvo 3., los siguientes montos en las columnas que se indican a continuación:
I. En la fila correspondiente a la Región de Arica, los siguientes montos, solo en las columnas que se identifican a continuación:

II. En la fila correspondiente a Total Llamado, los siguientes montos, solo en las columnas que se identifican a continuación:

d) Reemplázase en la tabla inserta en su Anexo Único, los montos en las columnas que se indican a continuación:
I. En su fila N° 1, correspondiente a la Región de Arica, proyecto Villa El Sol, código 160577, el siguiente monto, solo en la columna que se identifica a continuación:

II. En su fila correspondiente a Total, los siguientes montos, solo en las columnas que se identifican a continuación:

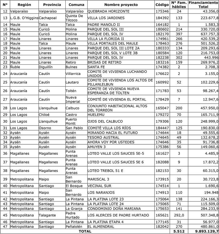
4. Apruébase la siguiente nómina de proyectos seleccionados, con su respectivo financiamiento total, para el otorgamiento de subsidios del Programa Habitacional Fondo Solidario de Elección de Vivienda en la alternativa de postulación colectiva, para los proyectos de Construcción en Nuevos Terrenos, en las regiones de Arica, Atacama, Coquimbo, Valparaíso, O'Higgins, Maule, Ñuble, Araucanía, Los Lagos, Aysén, Magallanes y Metropolitana, correspondiente al proceso de selección cuyo cierre de postulación se verificó el día 6 de agosto de 2024, del llamado efectuado por resolución exenta Nº 325 (V. y U.), de 2024:


El detalle de los recursos comprometidos por concepto de subsidio base y subsidios complementarios para los proyectos seleccionados en el presente resuelvo y que por este acto se asignan, se informa en la nómina que se adjunta como anexo y forma parte integrante de la presente resolución.
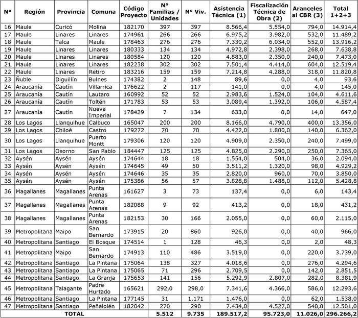
5. El monto del subsidio asignado de conformidad con el cuadro del resuelvo 4. precedente comprende los siguientes valores por concepto de Servicios de Asistencia Técnica, de Labores de Fiscalización Técnica de Obra y Pago de Aranceles al Conservador de Bienes Raíces:


En el caso de los Servicios de Asistencia Técnica, dichos montos fueron calculados conforme a la resolución exenta N° 1.875 (V. y U.), de 2015, y, de acuerdo con el número de familias postulantes que se beneficiarán por esta resolución, considerando los recursos para Asistencia Técnica descritos en las tablas insertas en los números 1.1 y 1.2 del numeral 1 del artículo 3° de la citada resolución. Se adiciona además 1,5 UF por familia, considerando lo señalado en el segundo inciso, del número 1.1. del numeral 1 del citado artículo. Este monto también incorpora los incrementos señalados en las letras a), b), c) y d) del numeral 3 del mismo artículo, referidos a Densificación en Altura o Habilitación, Factibilización, Discapacidad, Territorios Especiales y Localidades Aisladas, conforme lo define la referida resolución;
Mediante resolución del Director del Serviu respectivo, se determinarán los montos definitivos de Asistencia Técnica, cuando corresponda otorgar los incrementos que la resolución exenta N° 1.875 (V. y U.), de 2015, establece en las letras e), g), h), i), j) y k) del número 3 de su artículo 3°, o cuando corresponda aplicar lo señalado en el inciso 2 del número 8 de su artículo 2°.
En el caso de la Fiscalización Técnica de Obras, de acuerdo a la totalidad de viviendas del proyecto y según mecanismo expresado en el artículo 4° número 17 de la resolución exenta N° 1.875 ya citada y lo señalado en el resuelvo 2. de la resolución exenta N° 325 (V. y U), de 2024, para los proyectos señalados en las filas 7, 14, 23, 36, 37, 40, 41, 42, 43, 44 y 46 de la tabla inserta en el presente resuelvo. Así mismo, de acuerdo con la totalidad de viviendas y según el mecanismo expresado en la resolución exenta N° 490 (V. y U.), de 2023, citada en el visto f), fueron calculados los proyectos señalados en las filas 1, 2, 3, 4, 5, 6, 8, 9, 10, 11, 12, 13, 15, 16, 17, 18, 19, 20, 21, 22, 24, 25, 26, 27, 28, 29, 30, 31, 32, 33, 34, 35, 38, 39, 45 y 47.
6. Los recursos comprometidos en el Resuelvo 4. de la presente resolución, para los proyectos seleccionados en el cierre de postulación efectuado el día 6 de agosto de 2024, del concurso a que se llamó por resolución exenta N° 325 (V. y U.), de 2024, se resumen en el siguiente cuadro para cada región del país, incluyendo la suma total de familias beneficiadas y las Unidades de Fomento comprometidas, considerando los montos de subsidio de los proyectos, incluidos sus respectivos servicios de asistencia técnica y fiscalización técnica de obras:

7. Establécese que la resolución exenta N° 325 de (V. y U.), de 2024, la resolución exenta N° 1.138 de (V. y U.), de 2024 y la resolución exenta N° 1.315 de (V. y U.), de 2024 se mantendrán vigentes en todo aquello que no ha sido modificado por la presente resolución.