MODIFICA LA RESOLUCIÓN N° 324 EXENTA (V. Y U.), DE 2024, QUE LLAMA A PROCESO DE SELECCIÓN EN CONDICIONES ESPECIALES PARA EL OTORGAMIENTO DE SUBSIDIOS HABITACIONALES DEL FONDO SOLIDARIO DE ELECCIÓN DE VIVIENDA, REGULADO POR EL DS N° 49 (V. Y U.), DE 2011, EN LA ALTERNATIVA DE POSTULACIÓN INDIVIDUAL Y COLECTIVA PARA LAS TIPOLOGÍAS DE PEQUEÑO CONDOMINIO, DENSIFICACIÓN PREDIAL Y CONSTRUCCIÓN EN SITIO PROPIO, INCLUYENDO EL PROCEDIMIENTO DE AUTOCONSTRUCCIÓN ASISTIDA EN LOS CASOS QUE PROCEDE, Y APRUEBA NÓMINA DE PROYECTOS CALIFICADOS AL 6 DE AGOSTO DE 2024
Santiago, 6 de noviembre de 2024.- Hoy se resolvió lo que sigue:
Núm. 1.699 exenta.
Visto:
a) El DS N° 49 (V. y U.), de 2011, que reglamenta el Programa Habitacional Fondo Solidario de Elección de Vivienda;
b) La resolución exenta N° 2.142 (V. y U.), de fecha 20 de diciembre de 2023, que autoriza efectuar llamados a postulación y/o comprometer recursos durante el año 2024 en el otorgamiento de subsidios habitacionales y señala el monto de los recursos destinados, entre otros, a la atención a través del programa regulado por el DS N°49 (V. y U.) de 2011;
c) La resolución exenta N° 324 (V. y U.), de fecha 23 de febrero de 2024, que llama a proceso de selección en condiciones especiales para el otorgamiento de subsidios del Programa Habitacional Fondo Solidario de Elección de Vivienda, regulado por el DS N°49 (V. y U.), de 2011, en la alternativa de postulación individual y colectiva para las tipologías de Pequeño Condominio, Densificación Predial y Construcción en Sitio Propio, incluyendo el procedimiento de Autoconstrucción Asistida en los casos que procede;
d) La resolución exenta N° 994 (V. y U.), de fecha 4 de julio de 2024, que modifica la resolución exenta citada en el visto c), precedente, y aprueba nómina de proyectos calificados al 9 de abril de 2024, entre los que se encuentran el proyecto de la tipología Pequeño Condominio "Condominio Nidos de Huechuraba", código informático 177550;
e) La resolución exenta N° 1.875 (V. y U.), de 2015, que fija procedimiento para la prestación de servicios de asistencia técnica, jurídica y social para el programa Fondo Solidario de Elección de Vivienda;
f) El oficio ordinario N° 985, de fecha 14 de junio de 2023, del Jefe de la División Técnica de Estudio y Fomento Habitacional, en el que entrega lineamientos respecto de la Asistencia Técnica y Fiscalización Técnica de Obras;
g) La resolución exenta N° 490 (V. y U.), de fecha 23 de febrero de 2023, que fija regulación para la prestación del servicio de Fiscalización Técnica de Obras;
h) El Oficio Ordinario N° 3694, del Subdirector de Operaciones Habitacionales del Serviu Metropolitano, de fecha 4 de septiembre de 2024, mediante el cual se solicita modificar la resolución exenta citada en el visto d), precedente;
Considerando:
a) Que, mediante la resolución señalada en el visto c), se llamó a proceso de selección en condiciones especiales para el otorgamiento de subsidios del Programa Habitacional Fondo Solidario de Elección de Vivienda, en la alternativa de postulación individual y colectiva para las tipologías de Pequeño Condominio, Densificación Predial y Construcción en Sitio Propio, que contasen con Certificado de Proyecto Calificado, además de señalar que podrán practicarse redistribuciones y/o ajustes al marco presupuestario del llamado, los que serán aprobados mediante resolución.
b) Que, mediante la resolución exenta mencionada en el visto d), se aprobó la nómina de proyectos calificados al 9 de abril de 2024, entre los que se encuentran el proyecto de la tipología Pequeño Condominio "Condominio Nidos de Huechuraba", código informático 177550, por un financiamiento total de 11.195,36 Unidades de Fomento, donde se incluyen los subsidios para el proyecto de construcción, y los montos de Asistencia Técnica y Fiscalización Técnica de Obras.
c) Que, de acuerdo a lo informado por el Serviu Metropolitano mediante el oficio ordinario citado en el visto h), se detectó en forma posterior a la selección verificada mediante en la resolución referida en el visto d), que al proyecto de pequeño condominio citado precedentemente no le fue asignado el monto para atender los gastos que pudiere irrogar el traslado y/o albergue transitorio de las familias que lo integran, pese a que la evaluación del proyecto realizada en el sistema informático Umbral sí los consideraba; esto ocurrió porque el reporte base que se usa para la selección, el cual es emitido por el sistema informático, no informó este ítem. El siguiente es el monto que debe ser incrementado en el proyecto:

d) Que, el llamado citado en el visto c) dispuso la selección de los proyectos según el orden en que hubieran obtenido su calidad de Proyecto Calificado, sin necesidad de aplicar el orden de prelación y cálculo de puntajes establecido en los artículos 22 al 25 del reglamento del Programa.
e) Que, en cumplimiento de las selecciones programadas en el llamado referido en el visto c) se procederá a la selección de proyectos de las tipologías convocadas, que estén calificados hasta el día 6 de agosto de 2024, por lo que dicto la siguiente
Resolución:
1. Modifícase la resolución exenta N°994, (V. y U.), de 2024, en el siguiente sentido:
a) Reemplazar en la tabla inserta en su resuelvo 2., "PEQUEÑO CONDOMINIO ", en su fila N°1, en la columna "Total UF" para el proyecto Condominio Nidos de Huechuraba, Código 177550, el valor "11.195,36" por "11.987,36", y en la fila correspondiente a "TOTAL PEQUEÑO CONDOMINIO ", el valor "53.698,56", por "54.490,56", quedando la tabla actualizada de la siguiente forma:
PEQUEÑO CONDOMINIO

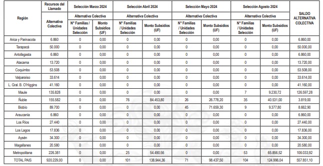
b) Reemplazar en la tabla "ALTERNATIVA COLECTIVA " inserta en su resuelvo 4., en la fila correspondiente a la Región Metropolitana, en la columna "Monto Subsidios (UF)" correspondiente a la "Selección Abril 2024", y en la columna "Saldo Alternativa Colectiva", los valores "53.698,56" y "172.682,44", por "54.490,56" y "171.890,44", respectivamente. Asimismo, reemplazar en la fila "TOTAL PAÍS", en la columna "Monto Subsidios (UF)" correspondiente a la "Selección Abril 2024" y en la columna "Saldo Alternativa Colectiva", los valores "138.152,36" y "689.847,64" por "138.944,36" y "689,055, 64", respectivamente, quedando la tabla actualizada de la siguiente forma:
ALTERNATIVA COLECTIVA


c) Reemplazar en la tabla ANEXO ÚNICO , correspondiente a PEQUEÑO CONDOMINIO , en su fila N°1, los valores en las columnas "Albergue Transitorio" y "Total Proyecto Habitacional según Familias Asociadas", para el proyecto CONDOMINIO NIDOS DE HUECHURABA , Código 177550, "0,00" por "792,00" y "10.459,56" por "11.251,56", respectivamente, quedando dicha tabla actualizada según se señala en el anexo único correspondiente adjunto a esta resolución, el cual se entiende formar parte integrante de la misma.
2. Modifícase la resolución exenta N°324 (V. y U.), de 2024, en el siguiente sentido:
a) Incorporar en su resuelvo 1., la frase "7 de noviembre," entre las expresiones "12 de septiembre," y "28 de noviembre" eliminando la letra "y" que se encuentra entre éstas; e incorporar la frase "y 17 de diciembre", después de "28 de noviembre", eliminando la coma que se encuentra a continuación de dicha frase.
b) Reemplazar la tabla inserta en su resuelvo 2. por la siguiente:

3. Apruébase la siguiente nómina de proyectos calificados al 6 de agosto de 2024, seleccionados para el otorgamiento de subsidios del Programa Habitacional Fondo Solidario de Elección de Vivienda, con su respectivo financiamiento total, incluyendo los servicios de asistencia técnica y fiscalización técnica de obras, correspondientes a 25 proyectos en la modalidad de Construcción en Sitio Propio, 14 de ellos postulados de manera individual en las regiones de Maule, y Biobío, y 11 postulados de manera colectiva en las regiones de Maule, Biobío, Metropolitana y Ñuble, todos correspondientes al proceso de selección del llamado efectuado por resolución exenta N°324 (V. y U.), de 2024:
CONSTRUCCIÓN EN SITIO PROPIOResolución 248 EXENTA,
VIVIENDA Y URBANISMO
N° 1, a
D.O. 24.02.2025
VIVIENDA Y URBANISMO
N° 1, a
D.O. 24.02.2025

El detalle de los recursos comprometidos por concepto de subsidio base y subsidios complementarios para cada uno de los proyectos seleccionados en el presente resuelvo, se informa en la nómina actualizada según se señala en el anexo único correspondiente adjunto a esta resolución, el cual se entiende formar parte integrante de la misma.
4. El monto total del subsidio asignado de conformidad con el cuadro del resuelvo 3 de esta resolución comprende los siguientes montos por concepto de Servicios de Asistencia Técnica, de Labores de Fiscalización Técnica de Obra y pago de Aranceles al Conservador de Bienes Raíces:
CONSTRUCCIÓN EN SITIO PROPIO

Dichos montos fueron calculados conforme a la resolución exenta N°1.875 (V. y U.), de 2015, mencionada en el visto e), de la presente resolución:
a) En el caso de los Servicios de Asistencia Técnica, los montos a pagar se determinan de acuerdo al número de familias que se benefician por esta resolución, conforme a lo establecido en el artículo 3, número 2 de la resolución exenta N°1.875. En dicho monto, en los casos que correspondía, se incluyó el incremento relativo al área de "Elaboración de proyectos técnicos y contratación de obras", que se señala en el resuelvo 7. de la resolución exenta N°324 (V. y U.), de 2024. Junto a ello, el monto total incluye los incrementos por concepto de Habilitación, Territorios Especiales y Localidades Aisladas, Discapacidad y Movilidad Reducida que determina la resolución exenta N°1.875 (V. y U.), de 2015. En el caso de aquellos proyectos que se acogieron a lo establecido en el numeral 8.1. de la resolución exenta N°324 (V. y U.), de 2024, si bien les fue otorgado el monto de asistencia técnica correspondiente, de acuerdo a lo señalado precedentemente, para el pago de los servicios, el Serviu deberá haber otorgado la calificación definitiva del o de los proyectos.
Mediante resolución del Director del Serviu respectivo, se determinarán los montos definitivos de Asistencia Técnica, cuando corresponda otorgar los incrementos que la resolución exenta N°1.875 (V. y U.), de 2015 establece en las letras g.1), g.2), j) y k) del número 3 de su artículo 3°.
b) Los montos a pagar por la Fiscalización Técnica de Obras se determinan de acuerdo a la totalidad de viviendas del Proyecto, según el mecanismo expresado en la resolución exenta N°490 (V. y U.), de 2023, citada en el visto g).
5. Los proyectos seleccionados señalados en el resuelvo 3., determinan un saldo que se resume en el siguiente cuadro para cada región del país, incluyendo la suma total de familias beneficiadas y Unidades de Fomento comprometidas, considerando los montos de subsidio de los proyectos, incluidos sus respectivos servicios de asistencia técnica y fiscalización técnica de obras, según alternativa de postulación, así como también, los ajustes de montos y saldos realizados en el resuelvo 1., de la presente resolución, respecto del proceso de selección verificado mediante la resolución exenta citada en el visto d):
ALTERNATIVA COLECTIVAResolución 248 EXENTA,
VIVIENDA Y URBANISMO
N° 1, b
D.O. 24.02.2025
VIVIENDA Y URBANISMO
N° 1, b
D.O. 24.02.2025

ALTERNATIVA INDIVIDUAL

Anótese, publíquese y archívese.- Carlos Montes Cisternas, Ministro de Vivienda y Urbanismo.
Lo que transcribo para su conocimiento.- Gabriela Elgueta Poblete, Subsecretaria de Vivienda y Urbanismo.
NÓMINA DE PROYECTOS DE CONSTRUCCIÓN EN SITIO PROPIO SELECCIONADOS LLAMADO EFECTUADO MEDIANTE RESOLUCIÓN EXENTA N°324 (V. Y U.), DE 2024 – CIERRE 06 AGOSTO DE 2024

ANEXO ÚNICO
NÓMINA DE PROYECTOS PARA CONSTRUCCIÓN EN SITIO PROPIO Y PEQUEÑO CONDOMINIO SELECCIONADOS – LLAMADO EFECTUADO MEDIANTE RESOLUCIÓN EXENTA N° 324 (V. Y U.), DE 2024 – CIERRE 17 DICIEMBRE DE 2024


