1. Modifícase la resolución exenta N°994, (V. y U.), de 2024, en el siguiente sentido:
a) Reemplazar en la tabla inserta en su resuelvo 2., "PEQUEÑO CONDOMINIO ", en su fila N°1, en la columna "Total UF" para el proyecto Condominio Nidos de Huechuraba, Código 177550, el valor "11.195,36" por "11.987,36", y en la fila correspondiente a "TOTAL PEQUEÑO CONDOMINIO ", el valor "53.698,56", por "54.490,56", quedando la tabla actualizada de la siguiente forma:
PEQUEÑO CONDOMINIO

b) Reemplazar en la tabla "ALTERNATIVA COLECTIVA " inserta en su resuelvo 4., en la fila correspondiente a la Región Metropolitana, en la columna "Monto Subsidios (UF)" correspondiente a la "Selección Abril 2024", y en la columna "Saldo Alternativa Colectiva", los valores "53.698,56" y "172.682,44", por "54.490,56" y "171.890,44", respectivamente. Asimismo, reemplazar en la fila "TOTAL PAÍS", en la columna "Monto Subsidios (UF)" correspondiente a la "Selección Abril 2024" y en la columna "Saldo Alternativa Colectiva", los valores "138.152,36" y "689.847,64" por "138.944,36" y "689,055, 64", respectivamente, quedando la tabla actualizada de la siguiente forma:
ALTERNATIVA COLECTIVA


c) Reemplazar en la tabla ANEXO ÚNICO , correspondiente a PEQUEÑO CONDOMINIO , en su fila N°1, los valores en las columnas "Albergue Transitorio" y "Total Proyecto Habitacional según Familias Asociadas", para el proyecto CONDOMINIO NIDOS DE HUECHURABA , Código 177550, "0,00" por "792,00" y "10.459,56" por "11.251,56", respectivamente, quedando dicha tabla actualizada según se señala en el anexo único correspondiente adjunto a esta resolución, el cual se entiende formar parte integrante de la misma.
2. Modifícase la resolución exenta N°324 (V. y U.), de 2024, en el siguiente sentido:
a) Incorporar en su resuelvo 1., la frase "7 de noviembre," entre las expresiones "12 de septiembre," y "28 de noviembre" eliminando la letra "y" que se encuentra entre éstas; e incorporar la frase "y 17 de diciembre", después de "28 de noviembre", eliminando la coma que se encuentra a continuación de dicha frase.
b) Reemplazar la tabla inserta en su resuelvo 2. por la siguiente:

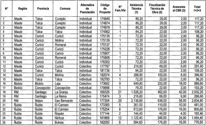
3. Apruébase la siguiente nómina de proyectos calificados al 6 de agosto de 2024, seleccionados para el otorgamiento de subsidios del Programa Habitacional Fondo Solidario de Elección de Vivienda, con su respectivo financiamiento total, incluyendo los servicios de asistencia técnica y fiscalización técnica de obras, correspondientes a 25 proyectos en la modalidad de Construcción en Sitio Propio, 14 de ellos postulados de manera individual en las regiones de Maule, y Biobío, y 11 postulados de manera colectiva en las regiones de Maule, Biobío, Metropolitana y Ñuble, todos correspondientes al proceso de selección del llamado efectuado por resolución exenta N°324 (V. y U.), de 2024:
CONSTRUCCIÓN EN SITIO PROPIO

El detalle de los recursos comprometidos por concepto de subsidio base y subsidios complementarios para cada uno de los proyectos seleccionados en el presente resuelvo, se informa en la nómina actualizada según se señala en el anexo único correspondiente adjunto a esta resolución, el cual se entiende formar parte integrante de la misma.
4. El monto total del subsidio asignado de conformidad con el cuadro del resuelvo 3 de esta resolución comprende los siguientes montos por concepto de Servicios de Asistencia Técnica, de Labores de Fiscalización Técnica de Obra y pago de Aranceles al Conservador de Bienes Raíces:
CONSTRUCCIÓN EN SITIO PROPIO

Dichos montos fueron calculados conforme a la resolución exenta N°1.875 (V. y U.), de 2015, mencionada en el visto e), de la presente resolución:
a) En el caso de los Servicios de Asistencia Técnica, los montos a pagar se determinan de acuerdo al número de familias que se benefician por esta resolución, conforme a lo establecido en el artículo 3, número 2 de la resolución exenta N°1.875. En dicho monto, en los casos que correspondía, se incluyó el incremento relativo al área de "Elaboración de proyectos técnicos y contratación de obras", que se señala en el resuelvo 7. de la resolución exenta N°324 (V. y U.), de 2024. Junto a ello, el monto total incluye los incrementos por concepto de Habilitación, Territorios Especiales y Localidades Aisladas, Discapacidad y Movilidad Reducida que determina la resolución exenta N°1.875 (V. y U.), de 2015. En el caso de aquellos proyectos que se acogieron a lo establecido en el numeral 8.1. de la resolución exenta N°324 (V. y U.), de 2024, si bien les fue otorgado el monto de asistencia técnica correspondiente, de acuerdo a lo señalado precedentemente, para el pago de los servicios, el Serviu deberá haber otorgado la calificación definitiva del o de los proyectos.
Mediante resolución del Director del Serviu respectivo, se determinarán los montos definitivos de Asistencia Técnica, cuando corresponda otorgar los incrementos que la resolución exenta N°1.875 (V. y U.), de 2015 establece en las letras g.1), g.2), j) y k) del número 3 de su artículo 3°.
b) Los montos a pagar por la Fiscalización Técnica de Obras se determinan de acuerdo a la totalidad de viviendas del Proyecto, según el mecanismo expresado en la resolución exenta N°490 (V. y U.), de 2023, citada en el visto g).
5. Los proyectos seleccionados señalados en el resuelvo 3., determinan un saldo que se resume en el siguiente cuadro para cada región del país, incluyendo la suma total de familias beneficiadas y Unidades de Fomento comprometidas, considerando los montos de subsidio de los proyectos, incluidos sus respectivos servicios de asistencia técnica y fiscalización técnica de obras, según alternativa de postulación, así como también, los ajustes de montos y saldos realizados en el resuelvo 1., de la presente resolución, respecto del proceso de selección verificado mediante la resolución exenta citada en el visto d):
ALTERNATIVA COLECTIVA

ALTERNATIVA INDIVIDUAL

