OTORGA CONCESIÓN DE SERVICIO PÚBLICO DE TRANSMISIÓN DE DATOS A LA EMPRESA SPEEDGOOD SpA
Santiago, 23 de noviembre de 2023.- Con esta fecha se ha decretado lo que sigue:
Núm. 172.
Vistos:
a) El decreto ley Nº 1.762 de 1977, que creó la Subsecretaría de Telecomunicaciones, en adelante la Subsecretaría.
b) La Ley Nº 18.168, General de Telecomunicaciones, en adelante la ley.
c) La resolución Nº 7 de 2019, de la Contraloría General de la República, que Fija Normas sobre Exención del Trámite de Toma de Razón.
d) El decreto supremo Nº 103 de 2008, del Ministerio de Transportes y Telecomunicaciones.
Considerando:
a) Lo solicitado por la interesada mediante ingreso Subtel Nº 131.206 de 23.07.2021.
b) Que no se presentaron oposiciones a la publicación en extracto de la solicitud de concesión.
Decreto:
Otórgase una concesión de Servicio Público de Transmisión de Datos, a la empresa Speedgood SpA, RUT Nº 77.382.016-3, con domicilio Av. Providencia Nº 1208, oficina 207, comuna de Providencia, Región Metropolitana de Santiago, en adelante la concesionaria, en el sentido que se indica en los numerandos siguientes:
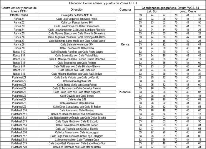
1. Autorízase a la concesionaria para instalar, operar y explotar un (1) Centro Emisor denominado Planta Renca y tendidos de Fibra Óptica, según se indica a continuación:


2. Ubicación de Centro emisor y puntos de Zonas FTTH.
Para la Región Metropolitana de Santiago:

Los medios de transmisión y/o conmutación, serán propios o de terceros debidamente autorizados.
3. La Zona de servicio comprende las comunas de Renca y Pudahuel, ambas de la Región Metropolitana de Santiago.
4. El período de vigencia de la concesión será de 30 años, contados desde la publicación en el Diario Oficial del decreto que la autorice.
5. Los plazos serán los que se indican a continuación:

6. Apruébase el proyecto técnico base de la solicitud presentada por la concesionaria, en lo relacionado con los sistemas y equipos de telecomunicaciones autorizados en el presente decreto, conforme a las disposiciones técnico-legales que rigen el servicio de telecomunicaciones concedido. La documentación respectiva quedará archivada en la Subsecretaría de Telecomunicaciones.
7. Es obligación de la concesionaria el conocimiento y cumplimiento de las disposiciones legales, reglamentarias y técnicas que regulan las telecomunicaciones, en lo que le sean aplicables.
Anótese, tómese razón, comuníquese, notifíquese a la interesada y publíquese en el Diario Oficial.- Por orden del Presidente de la República, Juan Carlos Muñoz Abogabir, Ministro de Transportes y Telecomunicaciones.
Lo que transcribe para su conocimiento.- Saluda atentamente a Ud., Claudio Araya San Martín, Subsecretario de Telecomunicaciones.