FIJA MONTO DE COMPENSACIÓN COMUNA DE ISLA DE PASCUA, COMUNAS CON FLUJO SIGNIFICATIVO DE POBLACIÓN FLOTANTE POR RAZONES DE TURISMO, COEFICIENTES DE DISTRIBUCIÓN Y MONTOS DE COMPENSACIÓN ANUAL DEL FONDO COMÚN MUNICIPAL PARA EL PERÍODO 1º DE ENERO DE 2024 - 31 DE DICIEMBRE DE 2024
Núm. 388.- Santiago, 28 de diciembre de 2023.
Vistos:
Lo dispuesto en el artículo 38 del decreto ley Nº 3.063 de 1979; el decreto supremo Nº 1.293, de 2007, del Ministerio del Interior, sobre Reglamento para la aplicación del artículo 38 del decreto ley Nº 3.063, de 1979, modificado por el artículo 1º de la ley Nº 20.237, el decreto supremo Nº 1.684, de fecha 9 de octubre de 2014, del Ministerio del Interior y Seguridad Pública, y las facultades que me confiere el artículo 32, Nº 6 de la Constitución Política de la República.
Decreto:
Artículo 1º.- Fíjase la suma de $19.216.532.000.-, como compensación a los menores ingresos que la Municipalidad de Isla de Pascua deja de percibir por la aplicación del artículo 41 de la ley Nº 16.441, por los conceptos de Impuesto Territorial, Permisos de Circulación, Patentes Municipales y demás Impuestos y Contribuciones.
Artículo 2º.- Para el solo efecto de lo indicado en el inciso cuarto del artículo 38 del decreto ley Nº 3.063, de 1979, en relación con lo dispuesto en el artículo 4°, letra a) puntos i) y ii) del decreto del Ministerio del Interior Nº 1.293, de 2007, se entenderán como comunas con flujo significativo de población flotante por razones de turismo, las que siguen:
Alto Hospicio, Pozo Almonte, Camiña, Colchane, Huara, Pica, Antofagasta, Mejillones, Taltal, Calama, Ollagüe, San Pedro de Atacama, Tocopilla, María Elena, Copiapó, Caldera, Chañaral, Diego de Almagro, Vallenar, Alto del Carmen, Freirina, Huasco, Coquimbo, Andacollo, La Higuera, Paiguano, Vicuña, Illapel, Canela, Los Vilos, Salamanca, Ovalle, Combarbalá, Monte Patria, Punitaqui, Río Hurtado, Valparaíso, Juan Fernández, Quintero, Isla de Pascua, Los Andes, Calle Larga, La Ligua, Cabildo, Petorca, Quillota, Calera, Hijuelas, La Cruz, Nogales, San Antonio, Cartagena, El Quisco, El Tabo, San Felipe, Llaillay, Putaendo, Santa María, Quilpué, Limache, Villa Alemana, Rancagua, Coinco, Coltauco, Doñihue, Graneros, Malloa, Peumo, Pichidegua, Quinta de Tilcoco, Rengo, San Vicente, San Fernando, Chépica, Chimbarongo, Nancagua, Peralillo, Santa Cruz, Talca, Constitución, Curepto, Empedrado, Maule, San Clemente, San Rafael, Cauquenes, Chanco, Pelluhue, Curicó, Hualañé, Licantén, Molina, Rauco, Linares, Colbún, Longaví, Parral, San Javier, Villa Alegre, Yerbas Buenas, Coronel, Chiguayante, Florida, Hualqui, Lota, Penco, San Pedro de la Paz, Santa Juana, Talcahuano, Tomé, Hualpén, Lebu, Arauco, Cañete, Contulmo, Curanilahue, Los Álamos, Tirúa, Los Ángeles, Antuco, Cabrero, Laja, Nacimiento, Negrete, San Rosendo, Tucapel, Yumbel, Alto Biobío, Temuco, Carahue, Cunco, Curarrehue, Freire, Galvarino, Gorbea, Lautaro, Loncoche, Melipeuco, Nueva Imperial, Padre Las Casas, Perquenco, Pitrufquén, Saavedra, Teodoro Schmidt, Toltén, Vilcún, Cholchol, Angol, Collipulli, Curacautín, Ercilla, Lonquimay, Los Sauces, Lumaco, Purén, Renaico, Traiguén, Victoria, Puerto Montt, Calbuco, Maullín, Castro, Ancud, Chonchi, Curaco de Vélez, Dalcahue, Puqueldón, Queilén, Quellón, Quemchi, Quinchao, Osorno, Purranque, San Juan de la Costa, Chaitén, Futaleufú, Hualaihué, Palena, Coyhaique, Aysén, Cisnes, Guaitecas, Cochrane, O'Higgins, Tortel, Chile Chico, Río Ibáñez, Punta Arenas, Cabo de Hornos, Porvenir, Primavera, Timaukel, Natales, Cerrillos, Cerro Navia, Conchalí, El Bosque, Estación Central, Independencia, La Cisterna, La Granja, La Pintana, Lo Espejo, Lo Prado, Maipú, Pedro Aguirre Cerda, Quilicura, Quinta Normal, Recoleta, Renca, San Joaquín, San Ramón, Puente Alto, San Bernardo, Melipilla, Talagante, El Monte, Padre Hurtado, Peñaflor, Valdivia, Corral, Lanco, Mariquina, Paillaco, La Unión, Río Bueno, Arica, Camarones, Putre, General Lagos, Chillán, Bulnes, Chillán Viejo, El Carmen, Quillón, San Ignacio, Yungay, Quirihue, Cobquecura, Coelemu, Ninhue, Portezuelo, Trehuaco, San Carlos, Ñiquén, San Nicolás.
Artículo 3º.- Para los efectos de ponderar el número de habitantes que se asigna a las comunas anteriormente individualizadas, se considera la población flotante informada por el Servicio Nacional de Turismo dividida por 12.
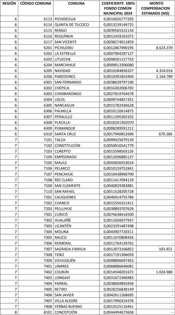
Artículo 4º.- Fíjase para las comunas del país, durante el período que corresponde entre el 1º de enero y el 31 de diciembre del año 2024, los coeficientes de distribución del Fondo Común Municipal que se indican y el monto total de M$112.171.626.- a percibir por las comunas que se indican por aplicación del mecanismo de estabilización:







Anótese, tómese razón, publíquese y comuníquese.- GABRIEL BORIC FONT, Presidente de la República.- Manuel Monsalve Benavides, Ministro del Interior y Seguridad Pública (S).- Javiera Martínez Fariña, Ministra de Hacienda (S).
Lo que transcribo a usted para su conocimiento.- Atentamente, Francisca Perales Flores, Subsecretaria de Desarrollo Regional y Administrativo.