EXTRACTO
Extracto de resolución exenta del Servicio de Impuestos Internos N°127, de fecha 23 de diciembre de 2024, que: "fija nómina de bienes afectos, según lo establecido en el artículo 9 de la ley N° 21.420, modificada por el artículo 5° de la ley N° 21.713".
El texto íntegro de esta resolución está publicado en la Oficina Virtual del Servicio de Impuestos Internos en internet (www.sii.cl).-
Javier Etcheberry Celhay, Director.
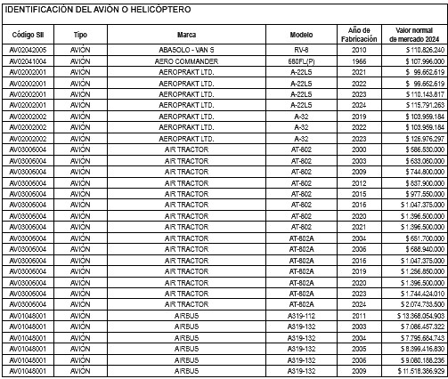
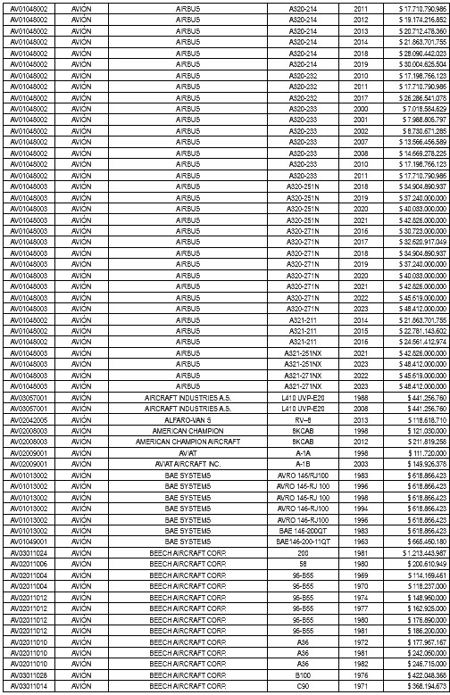
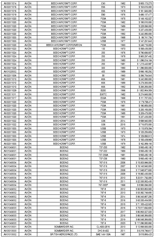
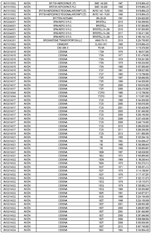
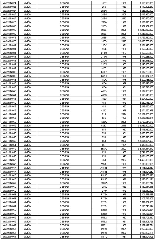
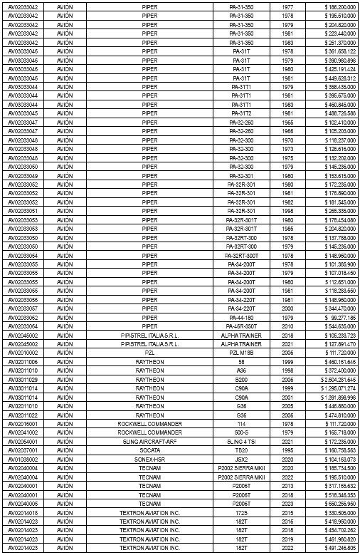
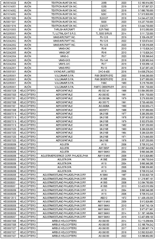
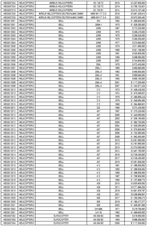
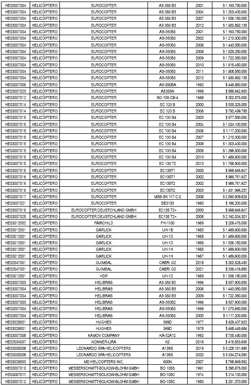
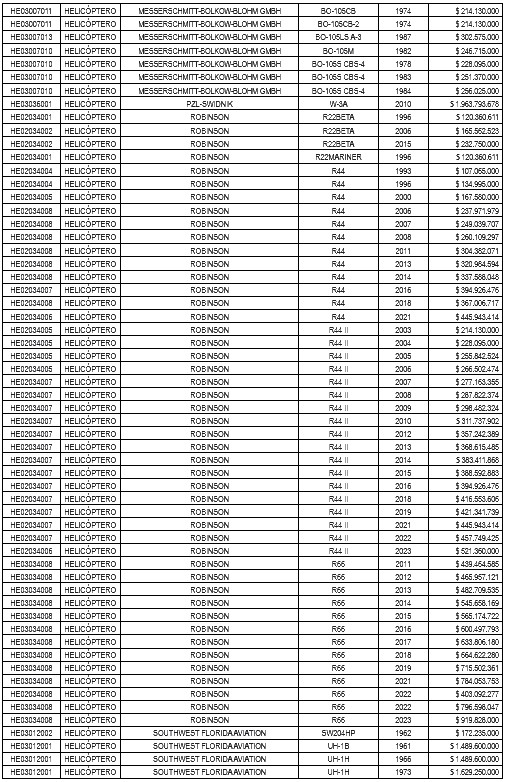
NÓMINA DE HELICÓPTEROS Y AVIONES
Resolución exenta SII N°127 del 23 de diciembre de 2024.












NÓMINA DE YATES
Resolución exenta SII N°127 del 23 de diciembre de 2024






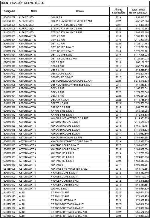
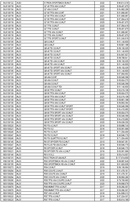
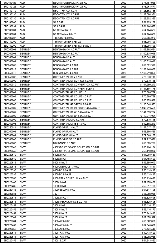
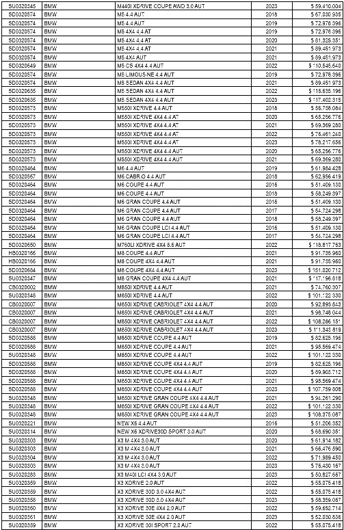
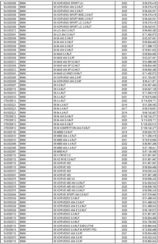
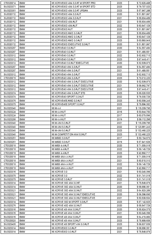
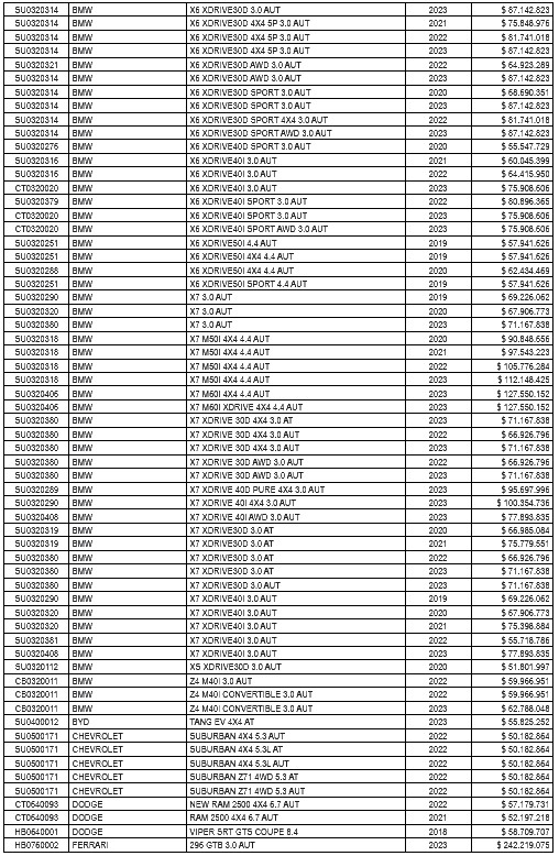
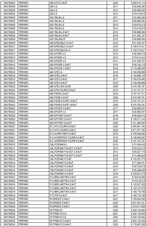
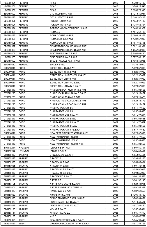
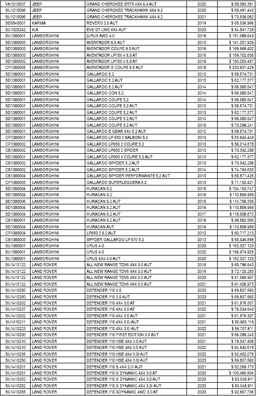
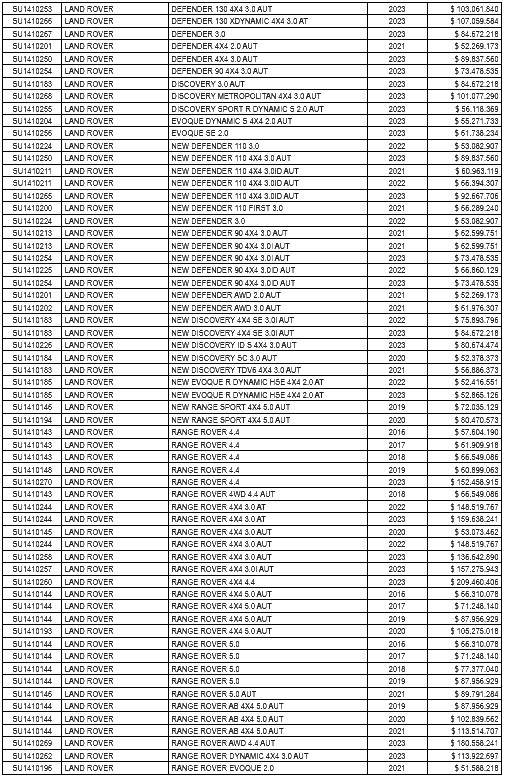
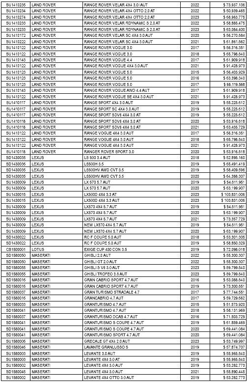
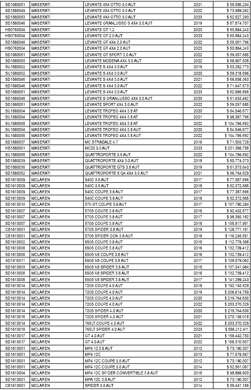
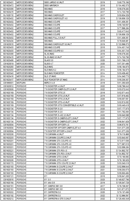
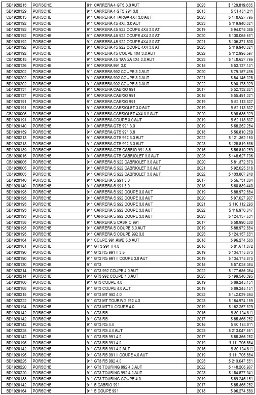
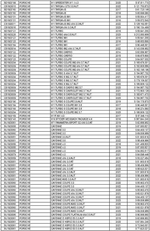
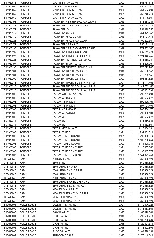
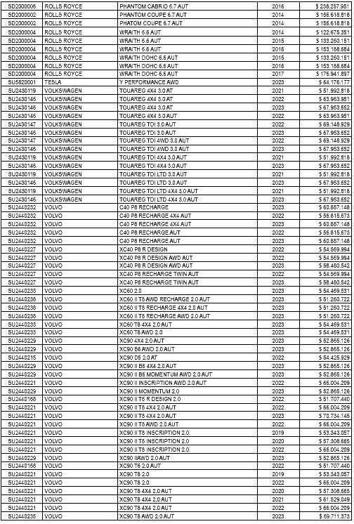
NÓMINA DE AUTOMÓVILES, STATION WAGONS Y VEHÍCULOS SIMILARES
Resolución exenta SII N°127 del 23 de diciembre de 2024

























