MODIFICA RESOLUCIÓN Nº 325 EXENTA (V. Y U.), DE 2024, QUE LLAMA A PROCESO DE SELECCIÓN EN CONDICIONES ESPECIALES PARA EL OTORGAMIENTO DE SUBSIDIOS DEL PROGRAMA HABITACIONAL FONDO SOLIDARIO DE ELECCIÓN DE VIVIENDA, REGULADO POR EL DS Nº 49 (V. Y U.), DE 2011, Y SUS MODIFICACIONES, EN LA ALTERNATIVA DE POSTULACIÓN COLECTIVA PARA PROYECTOS DE CONSTRUCCIÓN EN NUEVOS TERRENOS EN LAS COMUNAS DE LAS REGIONES QUE INDICA, MODIFICA LAS RESOLUCIONES EXENTAS Nº 1.138, Nº 1.450, Y Nº 1.601, TODAS DE (V. Y U.), DE 2024 Y APRUEBA NÓMINA DE PROYECTOS CALIFICADOS AL 21 DE NOVIEMBRE DE 2024
Santiago, 30 de diciembre de 2024.- Hoy se resolvió lo que sigue:
Núm. 2.024 exenta.
Visto:
a) El DS Nº 49 (V. y U.), de 2011 y sus modificaciones, que reglamenta el Programa Habitacional Fondo Solidario de Elección de Vivienda;
b) La resolución exenta Nº 2.142 (V. y U.), de fecha 20 de diciembre de 2023, que autoriza efectuar llamados a postulación y/o comprometer recursos durante el año 2024 en el otorgamiento de subsidios habitacionales y señala el monto de los recursos destinados, entre otros, a la atención a través del programa regulado por el DS Nº 49 (V. y U.) de 2011;
c) La resolución exenta Nº 325 (V. y U.), de fecha 23 de febrero de 2024, y sus modificaciones, que llama a proceso de selección en condiciones especiales para el otorgamiento de subsidios del programa habitacional Fondo Solidario de Elección de Vivienda, regulado por el DS Nº 49 (V. y U.), de 2011 y sus modificaciones, en la alternativa de postulación colectiva para proyectos de construcción en nuevos terrenos en las comunas de las regiones que indica;
d) La resolución exenta Nº 1.138 (V. y U.), de fecha 26 de julio de 2024, que modifica resolución exenta Nº 325 (V. y U.), de 2024, que llama a proceso de selección en condiciones especiales para el otorgamiento de subsidios del programa habitacional Fondo Solidario de Elección de Vivienda, regulado por el DS Nº 49 (V. y U.), de 2011 y sus modificaciones, en la alternativa de postulación colectiva para proyectos de construcción en nuevos terrenos en las comunas de las regiones que indica, modifica la resolución exenta Nº 763 (V. y U.), de 2024 y aprueba nómina de proyectos calificados al 16 de mayo de 2024;
e) La resolución exenta Nº 1.450 (V. y U.), de fecha 23 de septiembre de 2024, que modifica resolución exenta Nº 325 (V. y U.), de 2024, que llama a proceso de selección en condiciones especiales para el otorgamiento de subsidios del programa habitacional Fondo Solidario de Elección de Vivienda, regulado por el DS Nº 49 (V. y U.), de 2011, y sus modificaciones, en la alternativa de postulación colectiva para proyectos de construcción en nuevos terrenos en las comunas de las regiones que indica, modifica las resoluciones exentas Nº 1.138 y 1.315, ambas de (V. y U.), de 2024 y aprueba nómina de proyectos calificados al 6 de agosto de 2024;
f) La resolución exenta Nº 1.601 (V. y U.), de fecha 21 de octubre de 2024, que modifica resolución exenta Nº 325 (V. y U.), de 2024, que llama a proceso de selección en condiciones especiales para el otorgamiento de subsidios del programa habitacional Fondo Solidario de Elección de Vivienda, regulado por el DS Nº 49 (V. y U.), de 2011, y sus modificaciones, en la alternativa de postulación colectiva para proyectos de construcción en nuevos terrenos en las comunas de las regiones que indica y aprueba nómina de proyectos calificados al 12 de septiembre de 2024;
g) El oficio ordinario Nº 3.658, de fecha 2 de octubre de 2024, del Serviu de la Región de Arica y Parinacota, que solicita incorporar montos recomendados por DITEC, para la habilitación de terreno de los proyectos Portal Costanera, Wila Masi y Villa Bellavista;
h) El oficio ordinario Nº 1.399, de fecha 4 de diciembre de 2024, del Serviu de Región de Los Lagos, que solicita la modificación de la resolución exenta Nº 1.601 (V. y U.) de fecha 21 de octubre de 2024;
i) El oficio ordinario Nº 1442, de fecha 6 de diciembre de 2024, del Serviu de la Región de Los Lagos, que solicita la modificación de montos de localización en la resolución exenta Nº 1.138 (V. y U.), de fecha 26.07.2024, asociado a terrenos adquiridos por empresas y sociedades del Estado;
j) La resolución exenta Nº 1.875 (V. y U.), de 2015, y sus modificaciones, que fija procedimiento para la prestación de servicios de asistencia técnica, jurídica y social para el programa Fondo Solidario de Elección de Vivienda;
k) La resolución exenta Nº 490 (V. y U.), de fecha 23 de febrero de 2023, que fija regulación para la prestación del servicio de Fiscalización Técnica de Obras, y
Considerando:
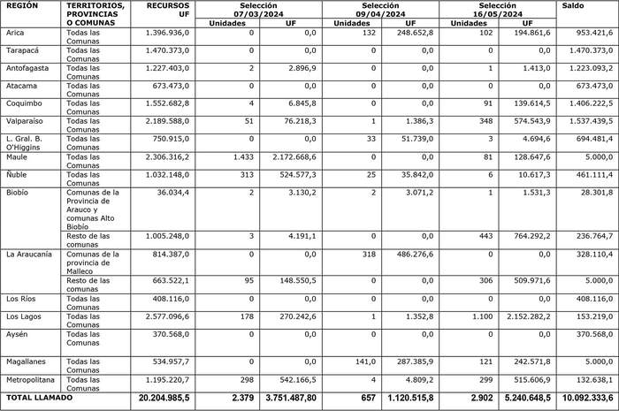
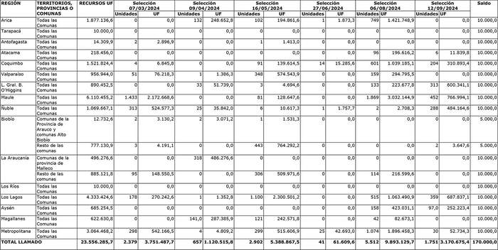
a) Que, mediante la resolución señalada en el visto c), se llamó a concurso en condiciones especiales, a las regiones de Arica y Parinacota, Tarapacá, Antofagasta, Atacama, Coquimbo, Valparaíso, Libertador General Bernardo O'Higgins, Maule, Ñuble, Biobío, Araucanía, Los Ríos, Los Lagos, Aysén del General Carlos Ibáñez del Campo, Magallanes y la Antártica Chilena, y Metropolitana, para el otorgamiento de subsidios del Programa Habitacional Fondo Solidario de Elección de Vivienda, regulado por el DS Nº 49 (V. y U.), de 2011, en la alternativa de Postulación Colectiva a proyectos de Construcción en Nuevos Terrenos, con fechas de cierre los días 7 de marzo, 9 de abril, 16 de mayo, 27 de junio, 6 de agosto, 12 de septiembre, 21 de noviembre y 17 de diciembre, todos de 2024.
b) Que, conforme al procedimiento establecido en el DS Nº 49 (V. y U.), de 2011, corresponde aprobar la selección de las postulaciones presentadas hasta el cierre del día 21 de noviembre, en el llamado a que se convocó mediante la resolución exenta indicada en el visto c) precedente, siendo necesario ajustar los recursos del mismo.
c) Que las regiones que participan del presente cierre confirmaron mediante correo electrónico los montos de financiamiento de cada uno de los proyectos que se presentaron, según se describe en la siguiente tabla:

d) Que, para el presente proceso de selección, los distintos Servicios participantes dieron cumplimiento a lo señalado en el inciso tercero del resuelvo l. de la resolución citada en el visto c), relativo a presentar acta de calificación condicional o definitiva, según corresponda.
e) Que, los proyectos Portal Costanera (código 184128), Wila Masi (código 184549) y Villa Bellavista (código 184550), ubicados en la Región de Arica, debieron haber recibido un mayor monto de subsidio por concepto de habilitación, en razón a que la División Técnica de Estudio y Fomento Habitacional, en base a lo dispuesto en la letra f) del resuelvo 4.2 de la resolución exenta 325 (V. y U.), de 2025, así lo recomendó, según lo informa el Serviu de la Región de Arica y Parinacota, en el oficio señalado en el visto g).
f) Que la resolución citada en visto d) indica montos de localización que deben modificarse pues se deben rebajar los recursos asignados al subsidio de localización de los proyectos Condominio Lomas de Ovejería II, código 179203 y Alberto Fuchslocher, código 183897, de la Región de Los Lagos, dado el cambió en su fuente de financiamiento.
g) Que es necesario corregir la resolución citada en visto f), ya que como se señala en el Ord. Nº 1399 del Director del Serviu de Los Lagos, la región informó erróneamente los montos de los subsidios complementarios de movilidad reducida y de discapacidad del proyecto Comité Brisas del Lago.
Resuelvo:
1. Modifícase la resolución exenta Nº 325 (V. y U.), de fecha 23 de febrero de 2024, en el sentido de reemplazar la tabla inserta en su resuelvo 2. por la siguiente:

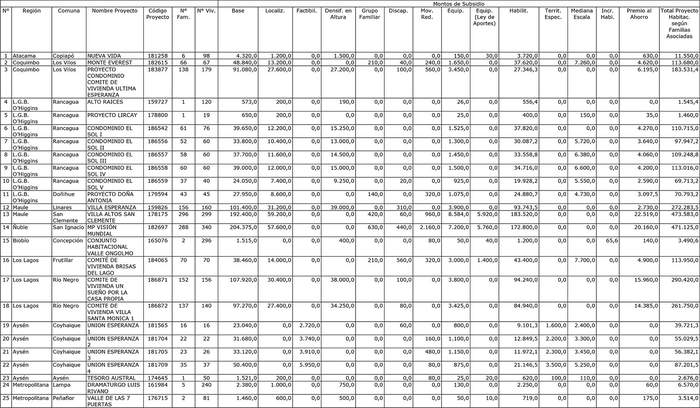
2. Modifícase la resolución exenta Nº 1.138 (V. y U.), de 2024, en el siguiente sentido:
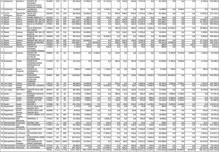
a) Reemplázase la tabla inserta en el resuelvo 3., por la siguiente:

b) Reemplázase la tabla inserta en el resuelvo 5., por la siguiente:

c) Reemplázase la tabla inserta en su Anexo Único, por la siguiente:

3. Modifícase la resolución exenta Nº 1.450 (V. y U.), de 2024, en el siguiente sentido:
a) Reemplázase la tabla inserta en el resuelvo 4., por la siguiente:


b) Reemplázase la tabla inserta en el resuelvo 6., por la siguiente:

c) Reemplázase la tabla inserta en su Anexo Único, por la siguiente:


4. Modifícase la resolución exenta Nº 1.601 (V. y U.), de 2024, en el siguiente sentido:
a) Reemplázase la tabla inserta en el resuelvo 2., por la siguiente:

b) Reemplázase la tabla inserta en el resuelvo 3., por la siguiente:


c) Reemplázase la tabla inserta en el resuelvo 4., por la siguiente:

d) Reemplázase la tabla inserta en su Anexo Único, por la siguiente:


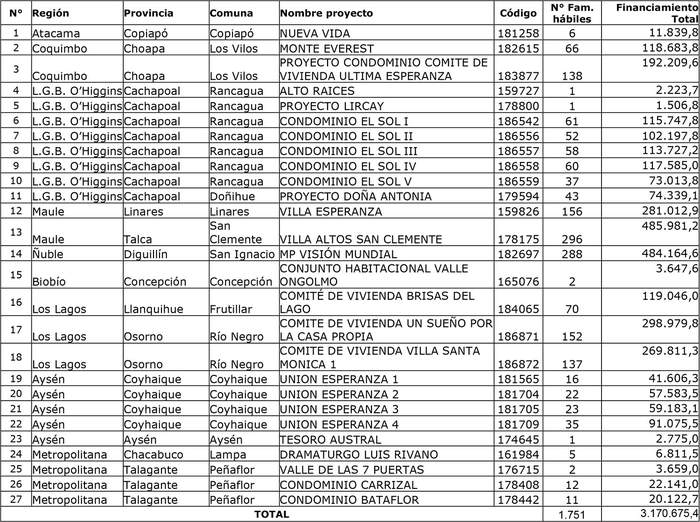
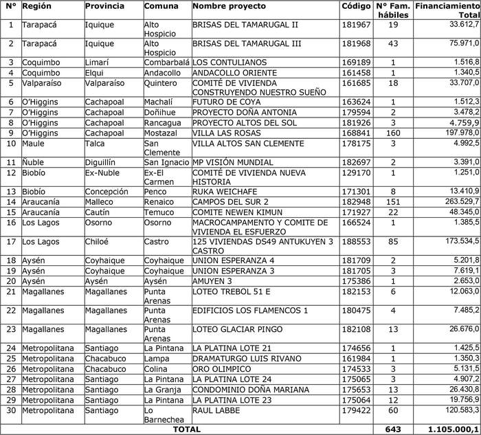
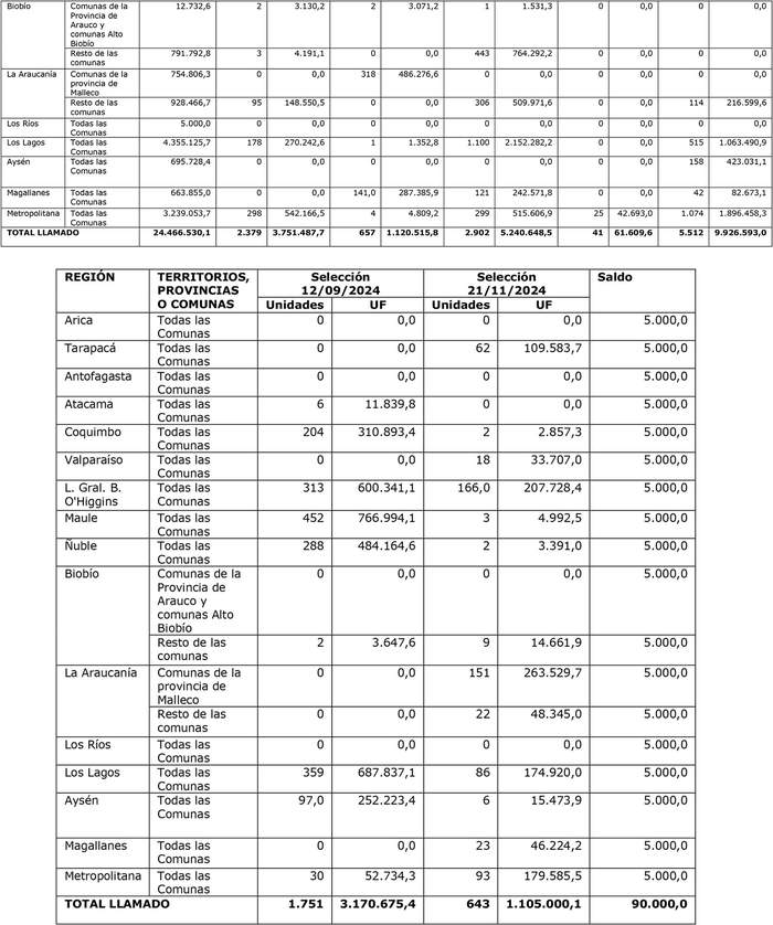
5. Apruébase la siguiente nómina de proyectos seleccionados, con su respectivo financiamiento total, para el otorgamiento de subsidios del Programa Habitacional Fondo Solidario de Elección de Vivienda en la alternativa de postulación colectiva, para los proyectos de Construcción en Nuevos Terrenos, en las Regiones de Tarapacá, Coquimbo, Valparaíso, O'Higgins, Maule, Ñuble, Biobío, Araucanía, Los Lagos, Aysén, Magallanes y Metropolitana, correspondiente al proceso de selección cuyo cierre de postulación se verificó el día 21 de noviembre de 2024, del llamado efectuado por resolución exenta Nº 325 (V. y U.), de 2024:
El detalle de los recursos comprometidos por concepto de subsidio base y subsidios complementarios para los proyectos seleccionados en el presente resuelvo y que por este acto se asignan, se informa en la nómina que se adjunta como anexo y forma parte integrante de la presente resolución.
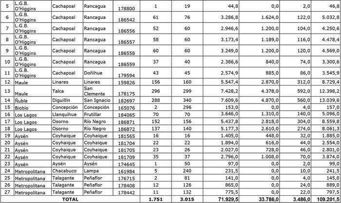
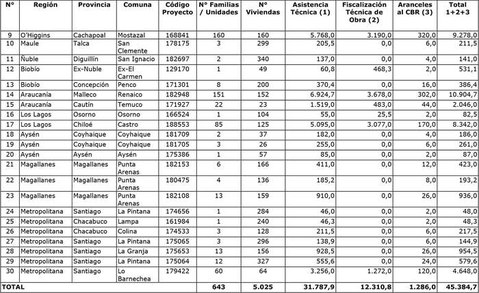
6. El monto del subsidio asignado de conformidad con el cuadro del resuelvo 4. precedente comprende los siguientes valores por concepto de Servicios de Asistencia Técnica, de Labores de Fiscalización Técnica de Obra y pago de Aranceles al Conservador de Bienes Raíces:

En el caso de los Servicios de Asistencia Técnica, dichos montos fueron calculados conforme a la resolución exenta Nº 1.875 (V. y U.), de 2015, y, de acuerdo con el número de familias postulantes que se beneficiarán por esta resolución, considerando los recursos para Asistencia Técnica descritos en las tablas insertas en los números 1.1 y 1.2 del numeral 1 del artículo 3º de la citada resolución. Se adiciona además 1,5 UF por familia, considerando lo señalado en el segundo inciso, del número 1.1. del numeral 1 del citado artículo. Este monto también incorpora los incrementos señalados en las letras a), b), c) y d) del numeral 3 del mismo artículo, referidos a Densificación en Altura o Habilitación, Factibilización, Discapacidad, Territorios Especiales y Localidades Aisladas, conforme lo define la referida resolución.
Mediante resolución del Director del Serviu respectivo, se determinarán los montos definitivos de Asistencia Técnica, cuando corresponda otorgar los incrementos que la resolución exenta Nº 1.875 (V. y U.), de 2015, establece en las letras e), g), h), i), j) y k) del número 3 de su artículo 3º, o cuando corresponda aplicar lo señalado en el inciso 2 del número 8 de su artículo 2º.
En el caso de la Fiscalización Técnica de Obras, de acuerdo a la totalidad de viviendas del proyecto y según mecanismo expresado en el artículo 4º número 17 de la resolución exenta Nº 1.875 ya citada y lo señalado en el resuelvo 2. de la resolución exenta Nº 325 (V. y U.), de 2024, para los proyectos señalados en las filas 1, 2, 3, 4, 6, 8, 12, 13, 16, 22, 24, 25, 27 y 29 de la tabla inserta en el presente resuelvo. Así mismo, de acuerdo con la totalidad de viviendas y según el mecanismo expresado en la resolución exenta Nº 490 (V. y U.), de 2023, citada en el visto f), fueron calculados los proyectos señalados en las filas 5, 7, 9, 10, 11, 14, 15, 17, 18, 19, 20, 21, 23, 26, 28 y 30.
7. Los recursos comprometidos en el resuelvo 4. de la presente resolución, para los proyectos seleccionados en el cierre de postulación efectuado el día 21 de noviembre de 2024, del concurso a que se llamó por resolución exenta Nº 325 (V. y U.), de 2024, se resumen en el siguiente cuadro para cada región del país, incluyendo la suma total de familias beneficiadas y las Unidades de Fomento comprometidas, considerando los montos de subsidio de los proyectos, incluidos sus respectivos servicios de asistencia técnica y fiscalización técnica de obras:

8. Establécese que la resolución exenta Nº 325 de (V. y U.) de 2024, la resolución exenta Nº 1.138 de (V. y U.) de 2024, la resolución exenta Nº 1.450 de (V. y U.) de 2024 y la resolución exenta Nº 1.601 de (V. y U.) de 2024 se mantendrán vigentes en todo aquello que no ha sido modificado por la presente resolución.
NOTA
Los literales a), b) y c) del numeral 2 de la Resolución 128 Exenta, Vivienda, publicada el 02.02.2026, dispone modificar las filas N° 12 en las tablas insertas en el resuelvo 5 y 6 de la presente norma, como asimismo, las filas correspondientes a las regiones del Biobío y de Ñuble en la tabla inserta en el resulevo 7, de acuerdo a lo que la citada norma indica.
Los literales a), b) y c) del numeral 2 de la Resolución 128 Exenta, Vivienda, publicada el 02.02.2026, dispone modificar las filas N° 12 en las tablas insertas en el resuelvo 5 y 6 de la presente norma, como asimismo, las filas correspondientes a las regiones del Biobío y de Ñuble en la tabla inserta en el resulevo 7, de acuerdo a lo que la citada norma indica.
Anótese, publíquese y archívese.- Carlos Montes Cisternas, Ministro de Vivienda y Urbanismo.
Lo que transcribo para su conocimiento.- Gabriela Elgueta Poblete, Subsecretaria de Vivienda y Urbanismo.
ANEXO ÚNICO
FINANCIAMIENTO APROBADO PARA PROYECTOS SELECCIONADOS - LLAMADO EFECTUADO MEDIANTE RESOLUCIÓN EXENTA Nº 325 (V. Y U.), DE 2024 - SELECCIÓN CIERRE DEL 21/11/2024



