MODIFICA LA RESOLUCIÓN EXENTA N° 981 (V. Y U.), DE FECHA 28 DE JUNIO DE 2024, QUE LLAMA A POSTULACIÓN NACIONAL EN CONDICIONES ESPECIALES, PARA EL OTORGAMIENTO DE SUBSIDIOS HABITACIONALES DEL TÍTULO II, EN LA MODALIDAD EQUIPAMIENTO COMUNITARIO CON PROYECTO DESARROLLADO, DEL PROGRAMA DE HABITABILIDAD RURAL, REGULADO POR EL DS N° 10 (V. Y U.), DE 2015 Y SUS MODIFICACIONES, A LAS REGIONES QUE INDICA, EN LA ALTERNATIVA DE POSTULACIÓN COLECTIVA, PARA LA CONSTRUCCIÓN DE CENTROS COMUNITARIOS DE CUIDADOS Y PROTECCIÓN, Y APRUEBA NÓMINA DE POSTULANTES SELECCIONADOS
Santiago, 21 de enero de 2025.- Hoy se resolvió lo que sigue:
Núm. 83 exenta.
Visto:
a) El DS N° 10 (V. y U.), de 2015, que reglamenta el Programa de Habitabilidad Rural, en especial sus artículos 36 y 38;
b) La resolución exenta N° 2.142 (V. y U.), de fecha 20 de diciembre de 2023, que autoriza efectuar llamados a postulación y/o comprometer recursos durante el año 2024, en el otorgamiento de subsidios habitacionales y señala el monto de los recursos destinados, entre otros, a la atención a través del programa regulado por el DS N° 10 (V. y U.), de 2015;
c) La circular N° 01, de fecha 17 de enero de 2024, de la Subsecretaría de Vivienda y Urbanismo, que comunica metas regionales del Programa Habitacional 2024, e indica el presupuesto disponible para asignar subsidios, entre otros, del Programa de Habitabilidad Rural;
d) La resolución exenta N° 981 (V. y U.), de fecha 28 de junio de 2024, que llama a postulación nacional en condiciones especiales para el otorgamiento de subsidios habitacionales del Título II, en la modalidad Equipamiento Comunitario, con proyecto desarrollado, del Programa de Habitabilidad Rural, regulado por el DS N° 10 (V. y U.) de 2015 y sus modificaciones, a las regiones que indica, en la alternativa de postulación colectiva, para la construcción de Centros Comunitarios de Cuidados y Protección, fija condiciones para su aplicación, el monto de recursos disponibles y su distribución;
e) El oficio ordinario N° 2.327, del Jefe de la División de Política Habitacional del Ministerio de Vivienda y Urbanismo, de fecha 12 de noviembre de 2024, que informa fecha de cierre del Llamado a postulación en condiciones especiales para el otorgamiento de subsidios habitacionales del Título II en la Modalidad Equipamiento Comunitario, con proyecto desarrollado, del Programa Habitabilidad Rural, regulado por el DS N° 10 (V. y U.), de 2015, regulado por la resolución exenta N° 981 (V. y U.), de 2024;
f) El oficio ordinario N° 2.510, del Jefe de la División de Política Habitacional del Ministerio de Vivienda y Urbanismo, de fecha 09 de diciembre de 2024, que complementa el oficio ordinario N° 2327, de fecha 12 de noviembre de 2024, del Jefe de División de Política Habitacional, y modifica plazo de cierre de llamado para Centros Comunitarios de Cuidados 2024, regulado por la resolución exenta N° 981 (V. y U.), de 2024;
g) La resolución exenta N° 1.907 (V. y U.), de fecha 17 de diciembre de 2024, que modifica la resolución exenta N° 981 citada en el visto d) precedente; y
Considerando:
a) Que, mediante la resolución exenta N° 981 citada en el visto d) de la presente resolución, se llamó a proceso de postulación nacional en condiciones especiales con proyecto desarrollado, en la alternativa colectiva, para la Construcción de Centros Comunitarios de Cuidados y Protección, en la modalidad de Equipamiento Comunitario, que cuenten con proyecto Aprobado o Aprobado Condicional;
b) Que, la modificación al llamado a postulación realizado mediante la resolución exenta N° 1.907 citada en el visto g) de la presente resolución, reemplazó el resuelvo 7, permitiendo participar a proyectos de cualquier comuna del país, excepto aquellas que cuenten con proyectos de Centros Comunitarios de Cuidado y Protección asignados entre los años 2022 y 2023;
c) Que, el resuelvo 17 de la resolución exenta N° 981 (V. y U.), de fecha 28 de junio de 2024, que llama a postulación nacional en condiciones especiales para el otorgamiento de subsidios habitacionales del Título II, en la modalidad Equipamiento Comunitario, con proyecto desarrollado, del Programa de Habitabilidad Rural, regulado por el DS N° 10 (V. y U.) de 2015, establece un proceso de selección mediante un orden de prelación de acuerdo con factores de puntajes de las comunas pertenecientes al programa Chile Cuida del Ministerio de Desarrollo Social y Familia, el cual, en coherencia con lo establecido en el considerando b) precedente, no es posible de aplicar en aquellas comunas que no se encuentren en el Anexo 2 de la citada resolución;
d) Que, existen aspectos de la resolución exenta N° 981, citada en el visto d) de la presente resolución, que deben ser complementados o modificados para un mejor desarrollo del proceso de postulación, en especial respecto a la selección de las familias y la asignación de los subsidios; por lo que dicto la siguiente
Resolución:
1. Modifícase la resolución exenta N° 981 (V. y U.), de fecha 28 de junio de 2024, citada en el Visto d) precedente, en el siguiente sentido:
5.1 Reemplazar el cuadro inserto en el resuelvo 16, por el siguiente:

5.2 Reemplazar el resuelvo 17, por el siguiente:
"17. El total de proyectos que se encuentren en estado Aprobado o Aprobado Condicional al momento del cierre del llamado, serán ordenados según la fecha y hora de la calificación otorgada por SERVIU, a fin de seleccionar a las familias conforme dicha prelación hasta agotar los recursos disponibles."
5.3 Eliminar el Anexo 2 y la mención al Anexo 2 las veces que allí aparece.
2. Apruébase el listado de proyectos calificados por SERVIU, que se encuentran en estado Aprobado o Aprobado Condicional, a que se refieren los resuelvos 2 y 17 de la resolución exenta N° 981 citada en el visto d) de la presente resolución, los que se detallan en la siguiente tabla:


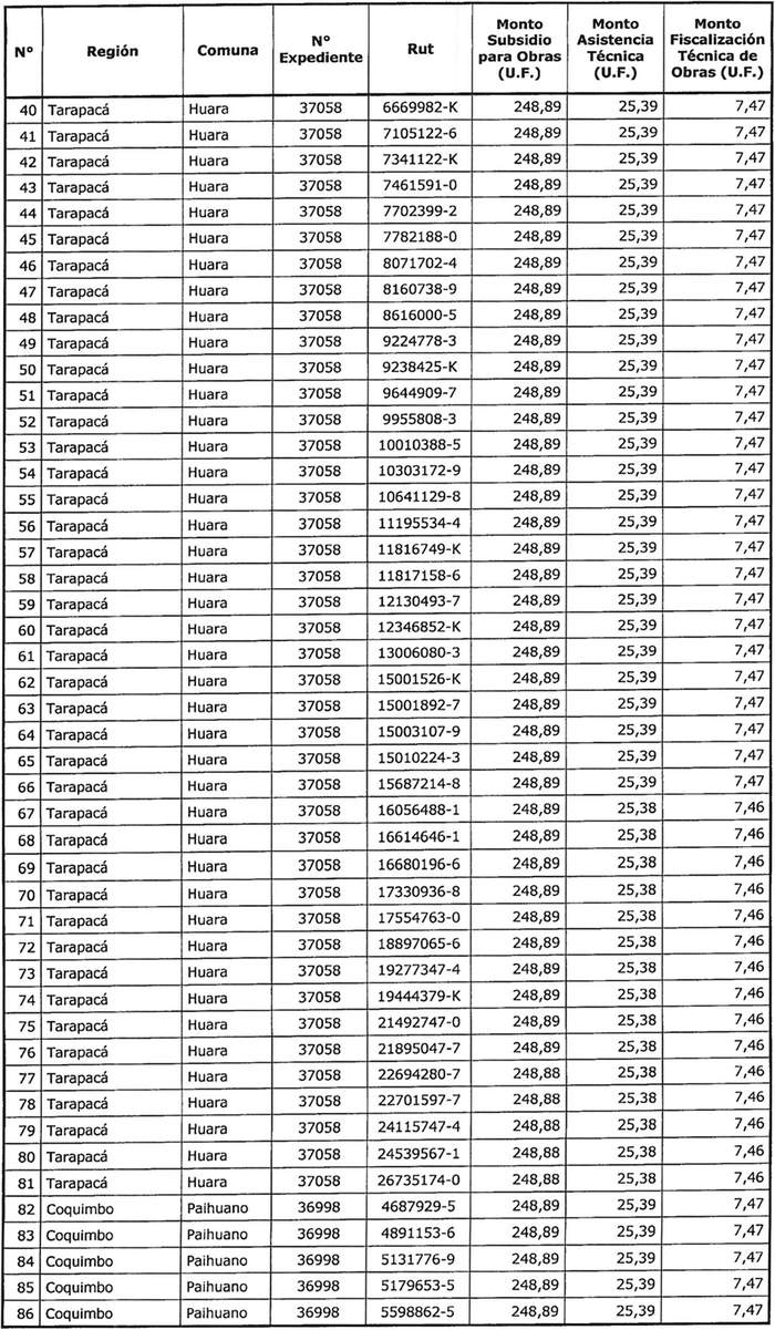
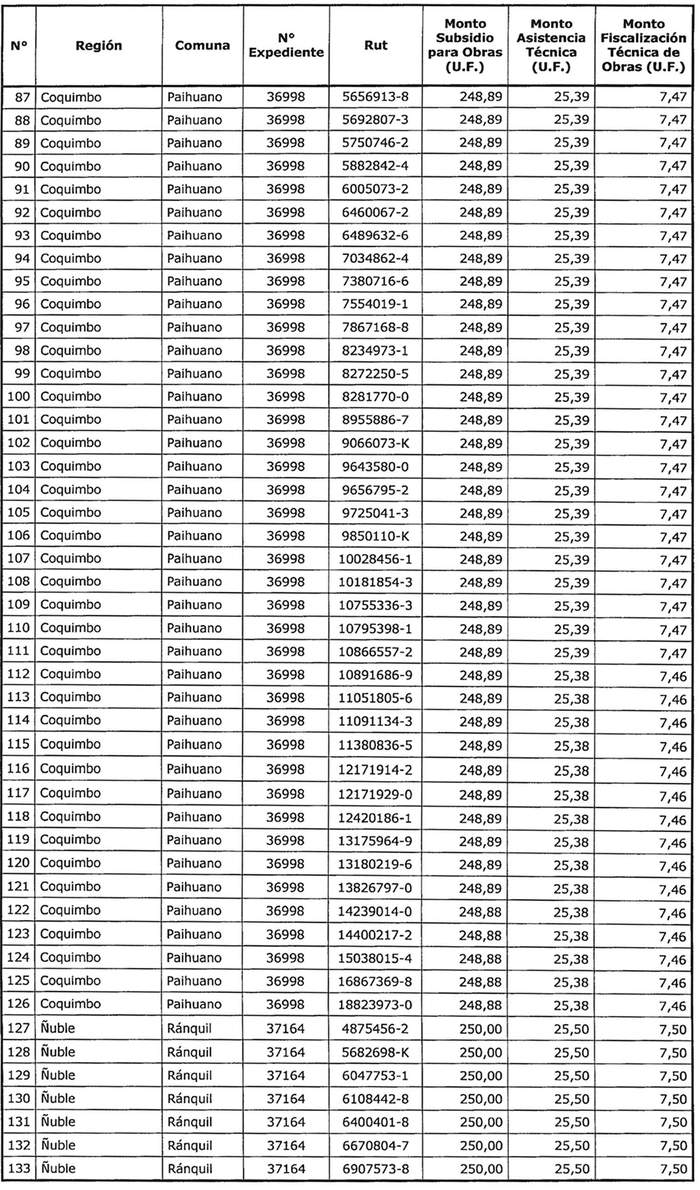
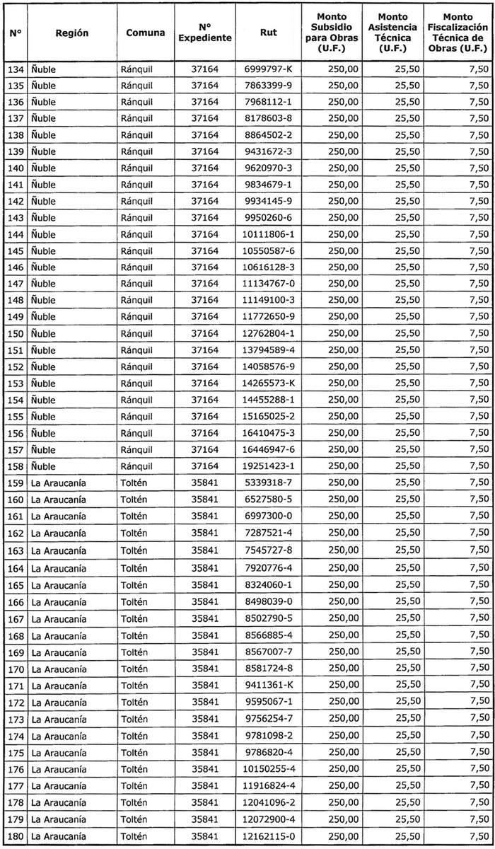
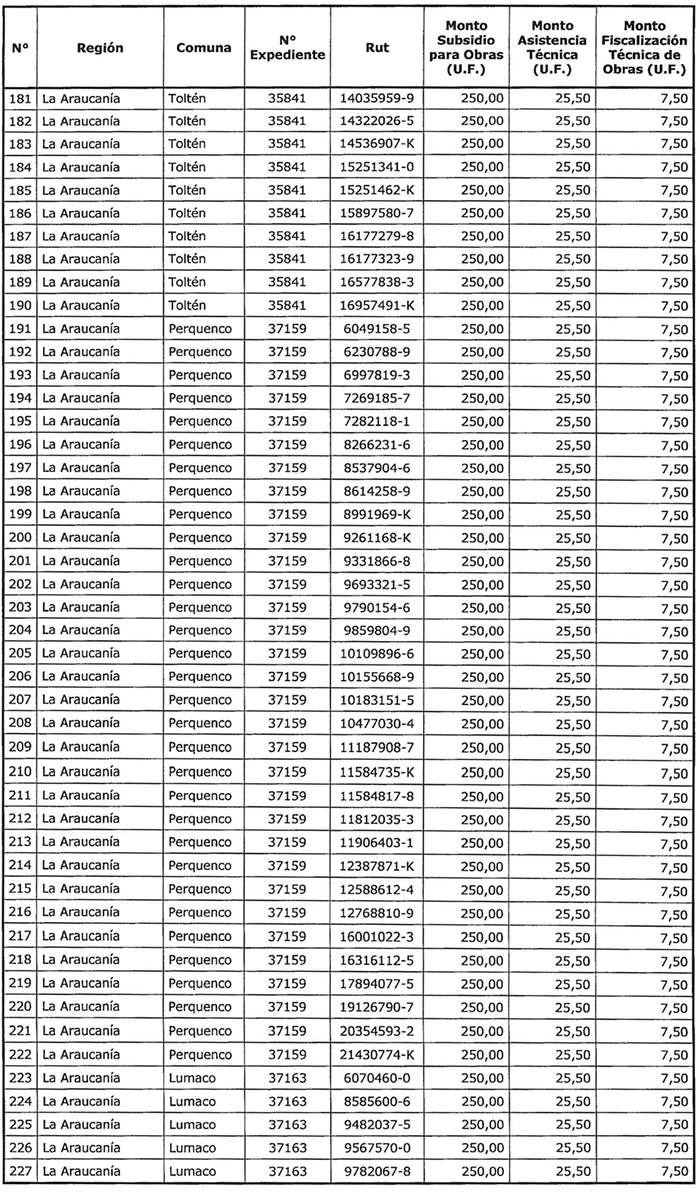
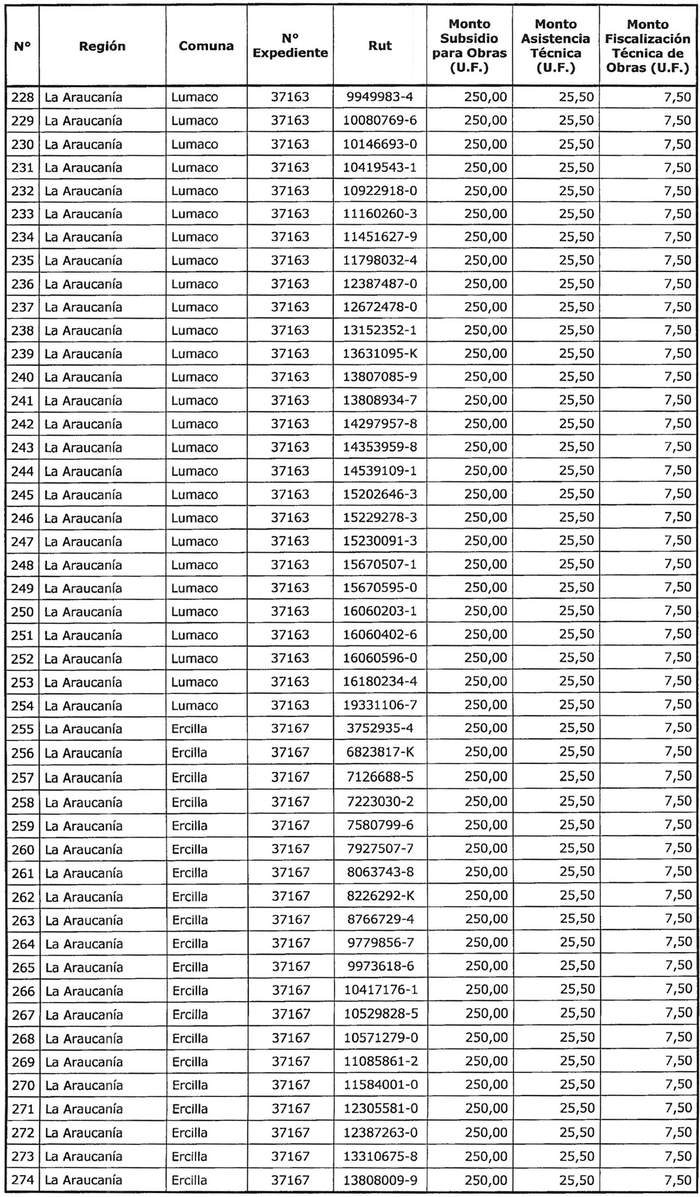
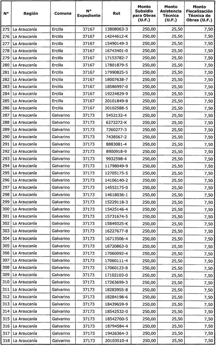
3. Apruébase la nómina de familias que han sido seleccionadas para el otorgamiento de subsidios habitacionales del Programa de Habitabilidad Rural en su Título II, regulado por el DS N° 10 (V. y U.), de 2015, correspondientes al llamado a postulación nacional en condiciones especiales, regulado por la resolución exenta N° 981 citada en el visto d) de la presente resolución, la que se adjunta a la presente resolución y se entenderá como parte integrante de ésta.
4. Asígnanse los recursos disponibles para la selección referida en el resuelvo 3 precedente, cuya distribución por región se detalla en la siguiente tabla:

5. Impútase el monto total de 91.409,66 Unidades de Fomento señaladas en el cuadro inserto en el resuelvo 4 precedente, a los recursos disponibles para las Regiones de Arica y Parinacota, Tarapacá, Coquimbo, Ñuble y La Araucanía, en el Programa de Habitabilidad Rural correspondiente al año 2024.
6. Facúltase a las Seremi MINVU de las Regiones de Arica y Parinacota, Tarapacá, Coquimbo, Ñuble y La Araucanía para rectificar errores de digitación en el proceso del llamado a postulación nacional en condiciones especiales, regulado por la resolución exenta N° 981 citada en el visto d) de la presente resolución, pudiendo la Seremi, corregir nombres y números de cédula de identidad de los postulantes/beneficiarios, número de expediente y rectificar los montos de subsidios asignados.
Si la rectificación del subsidio supone un aumento del monto del proyecto, sólo podrá asignarse hasta el valor máximo establecido en el llamado regulado mediante la resolución exenta N° 981 citada en el visto d) de la presente resolución y será imputado a la región respectiva en el año del programa habitacional vigente. En tales casos, y previo a la emisión de la resolución de asignación de recursos, la Seremi MINVU deberá contar con la confirmación de disponibilidad de programa, que será otorgada por la División de Política Habitacional.
Anótese, publíquese y archívese.- Carlos Montes Cisternas, Ministro de Vivienda y Urbanismo.
Lo que transcribo para su conocimiento.- Gabriela Elgueta Poblete, Subsecretaria de Vivienda y Urbanismo.
ANEXO FAMILIAS SELECCIONADAS
LLAMADO A POSTULACIÓN PARA CENTROS COMUNITARIOS DE CUIDADOS Y PROTECCIÓN AÑO 2024 REGULADO POR LA RESOLUCIÓN EXENTA N° 981 (V. Y U.), DE 2024 PROGRAMA HABITABILIDAD RURAL DS N° 10 (V. Y U.), DE 2015






