MODIFICA LAS RESOLUCIONES Nº 1.699 (V. Y U.), DE 2024 Y Nº 324 (V. Y U.) EXENTAS, DE 2024, Y SUS MODIFICACIONES, QUE LLAMA A PROCESO DE SELECCIÓN EN CONDICIONES ESPECIALES PARA EL OTORGAMIENTO DE SUBSIDIOS HABITACIONALES DEL FONDO SOLIDARIO DE ELECCIÓN DE VIVIENDA, REGULADO POR EL DS Nº49 (V. Y U.), DE 2011, EN LA ALTERNATIVA DE POSTULACIÓN INDIVIDUAL Y COLECTIVA PARA LAS TIPOLOGÍAS DE PEQUEÑO CONDOMINIO, DENSIFICACIÓN PREDIAL Y CONSTRUCCIÓN EN SITIO PROPIO, INCLUYENDO EL PROCEDIMIENTO DE AUTOCONSTRUCCIÓN ASISTIDA EN LOS CASOS QUE PROCEDE, Y APRUEBA NÓMINA DE PROYECTOS CALIFICADOS AL 17 DE DICIEMBRE DE 2024
Santiago, 14 de febrero de 2025.- Hoy se resolvió lo que sigue:
Núm. 248 exenta.
Visto:
a) El DS Nº 49 (V. y U.), de 2011, y sus modificaciones, que reglamenta el Programa Habitacional Fondo Solidario de Elección de Vivienda;
b) La resolución exenta Nº 2.142 (V. y U.), de fecha 20 de diciembre de 2023, y su modificación, que autoriza efectuar llamados a postulación y/o comprometer recursos durante el año 2024 en el otorgamiento de subsidios habitacionales y señala el monto de los recursos destinados, entre otros, a la atención a través del programa regulado por el DS Nº 49 (V. y U.) de 2011;
c) La resolución exenta Nº 324 (V. y U.), de fecha 23 de febrero de 2024, y sus modificaciones, que llama a proceso de selección en condiciones especiales para el otorgamiento de subsidios del Programa Habitacional Fondo Solidario de Elección de Vivienda, regulado por el DS Nº 49 (V. y U.), de 2011 y sus modificaciones, en la alternativa de postulación individual y colectiva para las tipologías de Pequeño Condominio, Densificación Predial y Construcción en Sitio Propio, incluyendo el procedimiento de Autoconstrucción Asistida en los casos que procede;
d) La resolución exenta Nº 1.699 (V. y U.), de fecha 6 de noviembre de 2024, que modifica la resolución exenta citada en el visto c), precedente, y aprueba nómina de proyectos calificados al 6 de agosto de 2024, entre los cuales se encuentra el proyecto "Palafitos Paya", código informático 175474, de la tipología Construcción en Sitio Propio;
e) La resolución exenta Nº 1.875 (V. y U.), de 2015, y sus modificaciones, que fija procedimiento para la prestación de servicios de asistencia técnica, jurídica y social para el programa Fondo Solidario de Elección de Vivienda, y el oficio ordinario Nº 985, de fecha 14 de junio de 2023, del Jefe de la División Técnica de Estudio y Fomento Habitacional, en el que entrega lineamientos respecto de la Asistencia Técnica y Fiscalización Técnica de Obras;
f) La resolución exenta Nº 490 (V. y U.), de fecha 23 de febrero de 2023, que fija regulación para la prestación del servicio de fiscalización técnica de obras;
g) El oficio ordinario Nº 5.574, del Subdirector de Operaciones Habitacionales del Serviu Metropolitano, de fecha 27 de diciembre de 2024, mediante el cual se solicita modificar la resolución exenta citada en el visto d), precedente, y
Considerando:
a) Que, mediante la resolución señalada en el visto c), se llamó a proceso de selección en condiciones especiales para el otorgamiento de subsidios del Programa Habitacional Fondo Solidario de Elección de Vivienda, en la alternativa de postulación individual y colectiva para las tipologías de Pequeño Condominio, Densificación Predial y Construcción en Sitio Propio, que contasen con Certificado de Proyecto Calificado, además de señalar que podrán practicarse redistribuciones y/o ajustes al marco presupuestario del llamado, los que serán aprobados mediante resolución.
b) Que, mediante la resolución mencionada en el visto d), se aprobó la nómina de proyectos calificados al 6 de agosto de 2024, entre los que se encuentran el proyecto de la tipología Construcción en Sitio Propio "Palafitos Paya", código informático 175474, por un financiamiento total de 3.838,38 Unidades de Fomento, donde se incluyen los subsidios para el proyecto de construcción, y los montos de Asistencia Técnica y Fiscalización Técnica de Obras.
c) Que, de acuerdo a lo informado por el Serviu Metropolitano mediante el oficio ordinario citado en el visto g), se detectó en forma posterior a la selección verificada mediante la resolución referida en el visto d), que al proyecto citado precedentemente no le fue asignado el total del monto para atender los gastos que pudiere irrogar el traslado y/o albergue transitorio de las familias que lo integran. Si bien el sistema informático Umbral sí los consideraba, el Serviu omitió información en la consulta practicada en el proceso de revisión de la selección a cargo de la División de Política Habitacional, respecto de las personas beneficiadas que participaban del proyecto. En la presentación del oficio ordinario indicado, Serviu acredita además las condiciones de residencia en cada uno de los lotes donde se ejecutarán los proyectos, y que dan cumplimiento a lo indicado en el marco normativo respectivo. El siguiente es el monto que debe ser incrementado en el proyecto:

d) Que, el Llamado dispuesto mediante la resolución citada en el visto c), dispuso la selección de los proyectos según el orden en que hubieran obtenido su calidad de Proyecto Calificado, sin necesidad de aplicar el orden de prelación y cálculo de puntajes establecido en los artículos 22 al 25 del reglamento del Programa.
e) Que, en base a lo descrito, se procede a la selección de proyectos de las tipologías convocadas, que estén calificados hasta el día 17 de diciembre de 2024.
Resuelvo:
1. Modifícase la resolución exenta Nº 1.699 (V. y U.), de 2024, en el siguiente sentido:
a. Reemplazar en la tabla inserta en su resuelvo 3., Construcción en Sitio Propio, su fila Nº 19, el valor "Total UF" para el proyecto Palafitos Paya, Código 175474, de 3.838,38 por 6.610,38, quedando la tabla actualizada de la siguiente forma:
CONSTRUCCIÓN EN SITIO PROPIO

b. Reemplazar en la tabla Alternativa Colectiva inserta en su resuelvo 5., en la fila correspondiente a la Región Metropolitana, en la columna "Monto Subsidios (UF)" correspondiente a la "Selección Agosto 2024", y en la columna "Saldo Alternativa Colectiva", los valores 63.084,52 y 108.805,92, por 65.856,52 y 106.033,92, respectivamente. Asimismo, reemplazar en la fila "Total País", en las columnas "Monto Subsidios (UF)" correspondiente a la "Selección Agosto 2024" y en la columna "Saldo Alternativa Colectiva", los valores 122.224,04 y 560.623,10 por 124.996,04 y 557.851,10, respectivamente, quedando la tabla actualizada de la siguiente forma:

c. Reemplazar en la tabla Anexo Único, correspondiente a Construcción en Sitio Propio, en su fila Nº 19, los valores en las columnas "Albergue Transitorio" y "Total Proyecto Habitacional según Familias Asociadas", para el proyecto Palafitos Paya, Código 175474, "396,00" por "3.168,00" y "3.549,78" por "6.321,78", respectivamente, quedando dicha tabla actualizada según se señala en el anexo único correspondiente adjunto a esta resolución, el cual se entiende formar parte integrante de la misma.
2. Modifícase la resolución exenta Nº 324 (V. y U.), de 2024, en el sentido de reemplazar la tabla inserta en su resuelvo 2. por la siguiente:

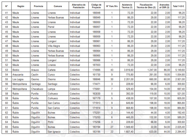
3. Apruébase la siguiente nómina de proyectos calificados al 17 de diciembre de 2024, seleccionados para el otorgamiento de subsidios del Programa Habitacional Fondo Solidario de Elección de Vivienda, con su respectivo financiamiento total, incluyendo los servicios de asistencia técnica y fiscalización técnica de obras, correspondientes a 66 proyectos en la modalidad de Construcción en Sitio Propio, 38 de ellos postulados de manera individual en la Región del Maule, y 28 postulados de manera colectiva en las regiones de Maule, Biobío, Araucanía, Los Lagos, RM, y Ñuble, además de 5 proyectos en la tipología Pequeño Condominio, postulado de manera colectiva en las regiones de Valparaíso, O'Higgins, Biobío y Metropolitana, todos correspondientes al proceso de selección del llamado efectuado por resolución exenta Nº 324 (V. y U.), de 2024:
CONSTRUCCIÓN EN SITIO PROPIO

PEQUEÑO CONDOMINIO

El detalle de los recursos comprometidos por concepto de subsidio base y subsidios complementarios para cada uno de los proyectos seleccionados en el presente resuelvo y que por este acto se asignan, se informa en la nómina que se adjunta como anexo y forma parte integrante de la presente resolución.
4. El monto del subsidio asignado de conformidad con el cuadro del resuelvo 3. de esta resolución comprende los siguientes montos por concepto de Servicios de Asistencia Técnica, de Labores de Fiscalización Técnica de Obra y pago de Aranceles al Conservador de Bienes Raíces:
CONSTRUCCIÓN EN SITIO PROPIO


PEQUEÑO CONDOMINIO

Dichos montos fueron calculados conforme a la resolución exenta Nº 1.875 (V. y U.), de 2015, y sus modificaciones, mencionada en el visto e), de la presente resolución:
a) En el caso de los Servicios de Asistencia Técnica, los montos a pagar se determinan de acuerdo al número de familias que se benefician por esta resolución, conforme a lo establecido en el artículo 3, número 2 de la resolución exenta Nº 1.875. En dicho monto, en los casos que correspondía, se incluyeron los incrementos por concepto de Habilitación, Territorios Especiales y Localidades Aisladas, Discapacidad y Movilidad Reducida que determina la resolución exenta Nº 1.875 (V. y U.), de 2015, y sus modificaciones. En el caso de aquellos proyectos que se acogieron a lo establecido en el numeral 8.1. de la resolución exenta Nº 324 (V. y U.), de 2024, si bien les fue otorgado el monto de asistencia técnica correspondiente, de acuerdo a lo señalado precedentemente, para el pago de los servicios, el Serviu deberá haber otorgado la calificación definitiva del o los proyectos.
Mediante resolución del Director del Serviu respectivo, se determinarán los montos definitivos de Asistencia Técnica, cuando corresponda otorgar los incrementos que la resolución exenta Nº 1.875 (V. y U.), de 2015, y sus modificaciones, que establece en las letras g.1), g.2), j) y k) del número 3 de su artículo 3º.
b) Los montos a pagar por la Fiscalización Técnica de Obras se determinan de acuerdo a la totalidad de viviendas del proyecto, según el mecanismo expresado en la resolución exenta Nº 490 (V. y U.), de 2023, citada en el visto f).
5. Los proyectos seleccionados en el llamado dispuesto en la resolución exenta Nº 324, correspondientes a los señalados en el resuelvo 3., determinan un saldo que se resume en el siguiente cuadro para cada región del país, incluyendo la suma total de familias beneficiadas y Unidades de Fomento comprometidas, considerando los montos de subsidio de los proyectos, incluidos sus respectivos servicios de asistencia técnica y fiscalización técnica de obras, según alternativa de postulación, además de los ajustes de montos y saldos realizados al proceso de selección, de la resolución citada en el visto d), en el resuelvo 1.: Resolución 699 EXENTA,
VIVIENDA
N° 2
D.O. 28.05.2025
VIVIENDA
N° 2
D.O. 28.05.2025


ALTERNATIVA INDIVIDUAL

Anótese, publíquese y archívese.- Gabriela Elgueta Poblete, Ministra de Vivienda y Urbanismo (S). Lo que transcribo para su conocimiento.- Carlos Araya Salazar, Subsecretario de Vivienda y Urbanismo (S).
ANEXO ÚNICO
NÓMINA DE PROYECTOS DE CONSTRUCCIÓN EN SITIO PROPIO SELECCIONADOS LLAMADO EFECTUADO MEDIANTE RESOLUCIÓN EXENTA N°324 (V. Y U.), DE 2024 – CIERRE 06 AGOSTO DE 2024

ANEXO ÚNICO
NÓMINA DE PROYECTOS PARA CONSTRUCCIÓN EN SITIO PROPIO Y PEQUEÑO CONDOMINIO SELECCIONADOS – LLAMADO EFECTUADO MEDIANTE RESOLUCIÓN EXENTA N° 324 (V. Y U.), DE 2024 – CIERRE 17 DICIEMBRE DE 2024


