MODIFICA RESOLUCIÓN N° 325 EXENTA (V. Y U.), DE 2024, QUE LLAMA A PROCESO DE SELECCIÓN EN CONDICIONES ESPECIALES PARA EL OTORGAMIENTO DE SUBSIDIOS DEL PROGRAMA HABITACIONAL FONDO SOLIDARIO DE ELECCIÓN DE VIVIENDA, REGULADO POR EL DS N° 49 (V. Y U.), DE 2011, Y SUS MODIFICACIONES, EN LA ALTERNATIVA DE POSTULACIÓN COLECTIVA PARA PROYECTOS DE CONSTRUCCIÓN EN NUEVOS TERRENOS EN LAS COMUNAS DE LAS REGIONES QUE INDICA; Y APRUEBA NÓMINA DE PROYECTOS CALIFICADOS AL 17 DE DICIEMBRE DE 2024
Santiago, 19 de febrero de 2025.- Hoy se resolvió lo que sigue:
Núm. 272 exenta.
Visto:
a) El DS N° 49 (V. y U.), de 2011, que reglamenta el Programa Habitacional Fondo Solidario de Elección de Vivienda;
b) La resolución exenta N° 2.142 (V. y U.), de fecha 20 de diciembre de 2023, que autoriza efectuar llamados a postulación y/o comprometer recursos durante el año 2024 en el otorgamiento de subsidios habitacionales y señala el monto de los recursos destinados, entre otros, a la atención a través del programa regulado por el DS N° 49 (V. y U.) de 2011;
c) La resolución exenta N° 325 (V. y U.), de fecha 23 de febrero de 2024, y sus modificaciones, que llama a proceso de selección en condiciones especiales para el otorgamiento de subsidios del programa habitacional Fondo Solidario de Elección de Vivienda, regulado por el DS N° 49 (V. y U.), de 2011 y sus modificaciones, en la alternativa de postulación colectiva para proyectos de construcción en nuevos terrenos en las comunas de las regiones que indica;
d) La resolución exenta N° 1.875 (V. y U.), de 2015 y sus modificaciones, que fija procedimiento para la prestación de servicios de asistencia técnica, jurídica y social para el programa Fondo Solidario de Elección de Vivienda;
e) La resolución exenta N° 490 (V. y U.), de fecha 23 de febrero de 2023, que fija regulación para la prestación del servicio de Fiscalización Técnica de Obras, y
Considerando:
a) Que, mediante la resolución exenta señalada en el visto c), se llamó a concurso en condiciones especiales, a las regiones de Arica y Parinacota, de Tarapacá, de Antofagasta, de Atacama, de Coquimbo, de Valparaíso, del Libertador General Bernardo O'Higgins, del Maule, de Ñuble, del Biobío, de La Araucanía, de Los Ríos, de Los Lagos, de Aysén del General Carlos Ibáñez del Campo, de Magallanes y la Antártica Chilena, y Metropolitana de Santiago, para el otorgamiento de subsidios del Programa Habitacional Fondo Solidario de Elección de Vivienda, regulado por el DS N° 49 (V. y U.), de 2011, en la alternativa de Postulación Colectiva a proyectos de Construcción en Nuevos Terrenos, con fechas de cierre los días 7 de marzo, 9 de abril, 16 de mayo, 27 de junio, 6 de agosto, 12 de septiembre, 21 de noviembre y 17 de diciembre, todos de 2024.
b) Que, conforme al procedimiento establecido en el DS N° 49 (V. y U.), de 2011, corresponde aprobar la selección de las postulaciones presentadas hasta el cierre del día 17 de diciembre de 2024, en el llamado a que se convocó mediante la resolución exenta indicada en el visto c), siendo necesario ajustar los recursos de este.
c) Que, las regiones que participan del presente cierre confirmaron mediante correo electrónico los montos de financiamiento de cada uno de los proyectos que se presentaron, según se describe en la siguiente tabla:

d) Que, para el presente proceso de selección, los distintos Servicios participantes dieron cumplimiento a lo señalado en el inciso tercero del resuelvo 1. de la resolución citada en el visto c), relativo a presentar acta de calificación condicional o definitiva, según corresponda, por lo que dicto la siguiente
Resolución:
1. Modifícase la resolución exenta N° 325 (V. y U.), de fecha 23 de febrero de 2024, en el sentido de reemplazar la tabla inserta en su Resuelvo 2. por la siguiente:

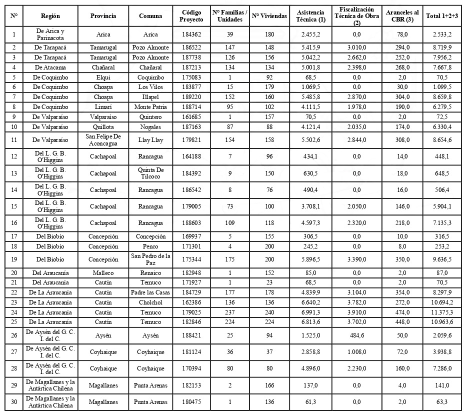
2. Apruébase la siguiente nómina de proyectos seleccionados, con su respectivo financiamiento total, para el otorgamiento de subsidios del Programa Habitacional Fondo Solidario de Elección de Vivienda en la alternativa de postulación colectiva, para los proyectos de Construcción en Nuevos Terrenos, en las Regiones de Arica y Parinacota, de Tarapacá, de Atacama, de Coquimbo, de Valparaíso, Libertador General Bernardo O'Higgins, del Biobío, de La Araucanía, de Aysén del General Carlos Ibáñez del Campo, de Magallanes y la Antártica Chilena, y Metropolitana de Santiago, correspondiente al proceso de selección cuyo cierre de postulación se verificó el día 17 de diciembre de 2024, del llamado efectuado por resolución exenta N° 325 (V. y U.), de 2024:

El detalle de los recursos comprometidos por concepto de subsidio base y subsidios complementarios para los proyectos seleccionados en el presente resuelvo y que por este acto se asignan, se informa en la nómina que se adjunta como anexo y forma parte integrante de la presente resolución.
3. El monto del subsidio asignado de conformidad con el cuadro del resuelvo 2. precedente comprende los siguientes valores por concepto de Servicios de Asistencia Técnica, de Labores de Fiscalización Técnica de Obra y pago de Aranceles al Conservador de Bienes Raíces:

En el caso de los Servicios de Asistencia Técnica, dichos montos fueron calculados conforme a la resolución exenta N° 1.875 (V. y U.), de 2015, y, de acuerdo con el número de familias postulantes que se beneficiarán por esta Resolución, considerando los recursos para Asistencia Técnica descritos en las tablas Insertas en los números 1.1 y 1.2 del numeral 1 del artículo 3° de la citada resolución. Se adiciona además 1,5 Unidades de Fomento por familia, considerando lo señalado en el segundo inciso, del número 1.1. del numeral 1 del citado artículo. Este monto también incorpora los incrementos señalados en las letras a), b), c) y d) del numeral 3 del mismo artículo, referidos a Densificación en Altura o Habilitación, Factibilización, Discapacidad, Territorios Especiales y Localidades Aisladas, conforme lo define la referida resolución.
Mediante resolución del Director del Servicio de Vivienda y Urbanización respectivo, se determinarán los montos definitivos de Asistencia Técnica, cuando corresponda otorgar los incrementos que la resolución exenta N° 1.875 (V. y U.), de 2015, establece en las letras e), g), h), i), j) y k) del número 3 de su artículo 3°, o cuando corresponda aplicar lo señalado en el inciso 2 del número 8 de su artículo 2°.
En el caso de la Fiscalización Técnica de Obras, de acuerdo a la totalidad de viviendas del proyecto y según mecanismo expresado en el artículo 4° número 17 de la resolución exenta N° 1.875 (V. y U.), de 2015 y lo señalado en el Resuelvo 2. de la resolución exenta N° 325 (V. y U.), de 2024, para los proyectos señalados en las filas 12, 14, 17, 18, 26, 30 y 32 de la tabla inserta en el presente resuelvo. Así mismo, de acuerdo con la totalidad de viviendas y según el mecanismo expresado en la resolución exenta N° 490 (V. y U.), de 2023, citada en el visto e), fueron calculados los proyectos señalados en las filas 1, 2, 3, 4, 5, 6, 7, 8, 9, 10, 11, 13, 15, 16, 19, 20, 21, 22, 23, 24, 25, 27, 28, 29, 31 y 33.
4. Los recursos comprometidos en el Resuelvo 2. de la presente resolución, para los proyectos seleccionados en el cierre de postulación efectuado el día 17 de diciembre de 2024, del concurso a que se llamó por resolución exenta N° 325 (V. y U.), de 2024, se resumen en el siguiente cuadro para cada región del país, incluyendo la suma total de familias beneficiadas y las Unidades de Fomento comprometidas, considerando los montos de subsidio de los proyectos, incluidos sus respectivos servicios de asistencia técnica y fiscalización técnica de obras:
5. Establécese que la resolución exenta N° 325 (V. y U.), de 2024, se mantendrá vigente en todo aquello que no ha sido modificado por la presente resolución.
Anótese, publíquese y archívese.- Carlos Montes Cisternas, Ministro de Vivienda y Urbanismo.
Lo que transcribo para su conocimiento.- Carlos Araya Salazar, Subsecretario de Vivienda y Urbanismo (S).




