1. Rectifíquese la resolución Nº 2.086 de fecha 26.11.2024, que precede, en el siguiente sentido:
a) sustitúyase íntegramente el resuelvo Nº 12, por el siguiente:
"Los recursos involucrados para la selección ascienden a un total de 168.280,35 Unidades de Fomento, con cargo a los recursos asignados para el Programa de Habitabilidad Rural del año 2024."
b) sustitúyase íntegramente el resuelvo Nº 15, por el siguiente:
"Adicionalmente, tratándose de territorios insulares, en el que sea necesario el transporte terrestre marítimo o aéreo de materiales de construcción, se podrá asignar un monto máximo de 500 unidades de fomento para su financiamiento, el que deberá ser revisado u aprobado por Serviu en presupuesto separado, fundado y previa acreditación de los costos mediante cotizaciones o facturas del Servicio, pudiendo autorizarse su pago al momento de requerirse el servicio de transporte, de conformidad con las necesidades del proyecto. Tratándose de localidades no insulares con factor de aislamiento geográfico alto o superior, el monto para traslado marítimo, aéreo o terrestre podrá alcanzar un máximo de 250 UF corresponderá a la Seremi Región de Los Lagos asignar e imputar los recursos correspondientes a los postulantes que hayan sido seleccionados y cuenten con calificación definitiva, mediante resolución fundada, con cargo al Programa Habitacional Rural, que se encuentre vigente, una vez que tenga a la vista las autorizaciones del Serviu."
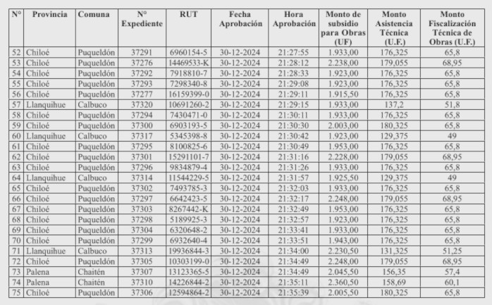
2. Apruébese la nómina de familias que han sido seleccionadas para el otorgamiento de subsidios habitacionales del Programa de Habitabilidad Rural en su Título II, regulado por el DS Nº 10 (V. y U.) de 2015, correspondiente al llamado a postulación regional en condiciones especiales, regulado por la resolución exenta Nº 2.086 citada en los vistos 16 de la presente resolución, la que se adjunta a la presente resolución y se entenderá formar parte integrante de esta.
3. Asígnanse los recursos disponibles para selección referida en el resuelvo 1 precedente, cuya distribución se detalla en el siguiente recuadro:

