MODIFICA RESOLUCIÓN Nº 176 EXENTA DE 1999, DEL MINISTERIO DE SALUD, QUE APRUEBA EL ARANCEL DE PRESTACIONES DE SALUD, DEL D.F.L. Nº 1, DE 2005, DEL MINISTERIO DE SALUD
Núm. 173 exenta.- Santiago, 14 de febrero de 2025.
Visto:
Lo propuesto por el Director del Fondo Nacional de Salud, en Ordinario N° 3219 de 6 de febrero 2025 y lo establecido en el artículo Nº 159 del Libro II del decreto con fuerza de ley Nº 1, 2005 del Ministerio de Salud y, lo dispuesto por dicha normativa para la determinación del valor de las prestaciones del Régimen de Salud que se otorguen por la Modalidad de Atención Institucional y de Libre Elección que ella regula; los artículos 4 Nº 2, 7 y 50 letra b), todos del Libro I del decreto con fuerza de ley Nº 1 de 2005, del citado Ministerio, el decreto supremo N°251, de 6 de septiembre de 2022, del Ministerio del Interior y Seguridad Pública, que nombra a la Ministra de Salud, y la resolución N°7 de 2019, de la Contraloría General de la República.
Considerando:
1. Que, al Ministerio de Salud, en adelante MINSAL, le corresponde formular, fijar y controlar las políticas de salud y, para ello, debe dictar normas generales sobre materias técnicas, administrativas y financieras a las que deberán ceñirse los organismos y entidades del Sistema, para ejecutar actividades de prevención, promoción, fomento, protección y recuperación de la salud y de rehabilitación de las personas.
2. Que, la cartera de salud debe valorizar las prestaciones que componen el régimen general de prestaciones, mediante la aprobación de un Arancel el cual es fijado previa proposición del Fondo Nacional de Salud (FONASA), en cumplimiento a lo establecido en el Art. 159 del decreto con fuerza de ley N°1, de 2005 del Ministerio de Salud, en adelante DFL N° 1, de 2005.
3. Que, para tales efectos FONASA considera criterios técnicos, sanitarios y epidemiológicos, así como la disponibilidad presupuestaria, contemplada en la Ley anual que aprueba el Presupuesto de Ingresos y Gastos del Sector Público.
4. Que, el Arancel de la Modalidad Libre Elección, en adelante Arancel MLE, se encuentra sometido a una constante revisión con el objetivo de incorporar nuevas prestaciones de salud, adecuando su estructura al desarrollo tecnológico del sistema sanitario; modernizando y mejorando lo actualmente definido.
5. Que, en ese sentido se ha estimado necesario actualizar los valores de las prestaciones del arancel para el año en curso, para lo cual se ha aplicado un inflactor único del 4,2%. El referido inflactor resulta de la razón entre los montos establecidos en la Ley de Presupuestos del Sector Público para este año, en moneda 2025, respecto del mismo monto en moneda 2024. Esta actualización se traduce en un reajuste a los valores de las prestaciones que componen el Arancel MLE, atendiendo el resultado de la eliminación, modificación, incorporación o reestructuración de las intervenciones sanitarias que lo integran.
6. Que, para esto último se ha llevado a cabo un proceso de priorización que consiste en elaborar un conjunto de proyectos, los que son caracterizados en función de variables relevantes para la toma de decisiones. Algunos instrumentos utilizados en la construcción de este conjunto de proyectos son las listas de espera del sector; los programas de gobierno; las solicitudes ciudadanas; el análisis y los estudios internos de la institución, las solicitudes de actores externos, tales como prestadores de salud, MINSAL, la comisión de salud del Congreso Nacional y la Superintendencia de Salud, entre otros.
7. Que, el conjunto de proyectos es analizado tomando en consideración los ejes estratégicos del sector salud, tales como el compartir riesgo y mejorar mecanismos de transferencias; disminuir el gasto de bolsillo de los beneficiarios; avanzar en la inclusión de sectores postergados de la población y responder a las prioridades de salud pública.
8. Que, fruto de lo anterior, se seleccionaron distintos proyectos para este año entre los que destacan la incorporación de 3 PAD, esto es, de prestaciones de tipo integral, que apuntan al riesgo compartido, disminución del gasto de bolsillo del beneficiario, mayor eficiencia en el gasto, y aportar a la resolución de las listas de espera del sector. En segundo lugar, se han reformulado las intervenciones asociadas a tratamiento quirúrgico de las Hernias Abdominales, con el objetivo de dar una mayor precisión en la definición en función de la condición clínica de las personas, finalmente se ha decidido incorporar 6 nuevas prestaciones y reformular el grupo de Quimioterapia, que define 113 esquemas y 3 prestaciones de Neutropenia, entre otros ajustes.
9. Que, estos proyectos fueron analizados y trabajados tomando en cuenta a distintos actores del sector, tales como sociedades científicas, colegios profesionales y expertos de diversas especialidades, tanto del ámbito privado como público.
10. Que, luego de ello, el universo de proyectos fue sometido a la priorización y toma de decisiones, en función de criterios establecidos para ello, como son la magnitud de los recursos de expansión necesarios para la implementación de cada proyecto; los recursos equivalentes a la contribución estatal que ello significa, considerando los topes máximos de expansión, en un contexto de restricciones presupuestarias; criterios sanitarios, entre otros.
11. Que, el producto del proceso descrito se materializa en una propuesta que efectúa el Fondo Nacional de Salud a los Ministerios de Salud y Hacienda, quienes dictan el correspondiente acto administrativo que fija los aranceles para el conocimiento y determinación de pagos y copagos a prestadores inscritos en el rol y los beneficiarios del Fondo, respectivamente.
12. Que, todas estas mejoras justifican modificar el Arancel MLE vigente, en los términos descritos, lo que debe formalizarse mediante la emisión del respectivo acto administrativo.
13. Que, en atención a lo expresado en los considerandos que anteceden,
Resuelvo:
1. Modifíquese la resolución exenta Nº 176, de 28 de enero de 1999, publicada en el Diario Oficial de 8 de febrero de 1999, que aprobó el Arancel del Régimen de Prestaciones de Salud del Libro II del DFL N° 1, de 2005, del Ministerio de Salud, en adelante resolución exenta N° 176, de 1999, con el objeto de reajustar el valor de las prestaciones que figuran en dicho Arancel e incorporar las modificaciones indicadas en los considerandos precedentes, según el siguiente detalle:
a) Reemplácese, en el inciso segundo del artículo 3º, la tabla de valores de los códigos adicionales por la siguiente:

b) Sustitúyase en el artículo 7º el inciso tercero, por el siguiente:
"Tendrán un recargo del 50% las prestaciones que, de acuerdo a calificación médica, se efectúen fuera de horario hábil, con excepción de las prestaciones del Grupo 02 (Día Cama y Día Cama de Hospitalización en todas sus variedades); Derechos de Pabellón o Quirófano, Sala de Partos o Sala de Procedimientos; las prestaciones del Grupo 01 sub-grupo 01 códigos 01-01-001, 01-01-004, 01-01-005, 01-01-008, 01-01-010, desde código 01-01-201 al 01-01-213, desde el código 01-01-300 al 01-01-334, y aquellas del Grupo 01 sub-grupo 08; las prestaciones del Grupo 04 sub-grupo 05; las prestaciones del Grupo 05 Medicina Nuclear; las prestaciones del Grupo 06 sub-grupo 02 y 08; las prestaciones del Grupo 07 Medicina Transfusional, Banco de Tejidos y Precursores Hematopoyéticos; las prestaciones del Grupo 09 sub-grupo 02 y 08; las prestaciones códigos 11-01-140, 11-01-141 y 11 -01-142; la prestación 12-01-027 y 12-01-045; las prestaciones del Grupo 13 sub-grupo 03 y 08; las prestaciones códigos 19-01-025, 19-01-026, 19-01-028, 19-01-029 y 19-01-036; las prestaciones código 20-01-025 y 20-04-008; las prestaciones del Grupo 23 correspondientes a Prótesis; las prestaciones del Grupo 24 correspondientes a Traslados; las prestaciones del Grupo 25 correspondientes a Pago Asociado a Diagnóstico (PAD); las prestaciones del Grupo 26, Atenciones Integrales, otros Profesionales y Técnicos; las prestaciones del Grupo 28, Pago Asociado a Emergencia y, las prestaciones del Grupo 29, Tratamientos Integrales de Braquiterapia, Radioterapia, Neutropenia Oncológica y Farmacológico Oncológico.
c) Sustitúyase el artículo 10º, por el siguiente:
"Artículo 10º.- En la medida que las prestaciones sean efectivamente otorgadas, de acuerdo con las exigencias técnicas y administrativas que regulan la Modalidad de Libre Elección, se generará el derecho a percibir por parte de los profesionales, establecimientos y entidades asistenciales de salud, de conformidad con el Libro II del DFL Nº 01/2005, una orden de atención por los siguientes valores:
Los inscritos en el Grupo 1 o básico del Rol de esta Modalidad, por el valor señalado en el Arancel reajustado.
Los inscritos en el Grupo 2 del Rol de esta Modalidad, por el valor señalado en el Arancel reajustado, aumentado en un 30%, excepto para la prestación código 01-01-001 y 01-08-001 que tendrán un recargo del 7,05%, la prestación código 01-01-010 que tendrá un recargo del 6,66%, la prestación código 01-01-005 que tendrá un recargo del 45,26% y las prestaciones códigos 01-01-004, 01-01-008 y 01-01-009 en que corresponderá un recargo del 45,07%.
Sin embargo, los precios resultantes después de aplicado el porcentaje de recargo se aproximarán a la decena superior cuando la unidad sea igual o superior a 5 (cinco) y a la decena más próxima cuando la unidad sea inferior a 5 (cinco).
Los inscritos en el Grupo 3 del Rol de esta Modalidad, por el valor señalado en el Arancel reajustado, aumentado en un 60%, excepto para la prestación código 01-01-001 y 01-08-001 que tendrán un recargo del 25,26%, la prestación código 01-01-010 que tendrá un recargo del 25,15%; para la prestación código 01-01-005 que tendrá un recargo del 93,77% y para las prestaciones código 01-01- 004, 01-01-008 y 01-01-009 en que corresponderá un recargo del 93,43%.
Sin embargo, los precios resultantes después de aplicado el porcentaje de recargo se aproximarán a la decena superior cuando la unidad sea igual o superior a 5 (cinco) y a la decena más próxima cuando la unidad sea inferior a 5 (cinco).
No obstante lo anterior, no tendrán derecho a recargo en los Grupos 2 y 3 del Rol las siguientes prestaciones: las Consultas Médicas de Especialidades códigos 01-01-300 al 01-01-310, del 01-01-312 al 01-01-324, del 01-01-326 al 01-01-330, del 01-01-332 al 01-01-334, las Teleconsultas de Especialidades códigos 01-08-301 al 01-08-310, del 01-08-312 al 01-08-324, del 01-08-326 al 01-08-327, del 01-08-332 al 01-08-334 y el código 01-08-329; 03-01-096 al 03-01-114; 03-02-083 al 03-02-086; 03-02-095; 03-02-097; 03-02-098; 03-02-099; 03-02-102; 03-03-052 al 03-03-057; 03-03-058; 03-04-008 al 03-04-010; 03-04-012 al 03-04-016; 03-05-093 al 03-05-099; 03-05-104 al 03-05-108; 03-05-110 al 03-05-124; 03-06-082 al 03-06-088; del 03-06-097 al 03-06-102; 03-06-106 y 03-06-107; 03-06-109 al 03-06-113; 03-06-118 al 03-06-122; 03-06-146; 03-06-182; 03-06-271; 03-08-007 (Elastasa fecal); 03-08-047 y 03-08-049; 03-08-062 y 03-08-063; 03-09-034 (Arsénico en orina); 03-09-036 (Cobre en orina); 03-09-044 y 03-09-046; 04-01-073; 04-04-218; 05-01-135 (PET-CT); 08-01-011 al 08-01-013; 09-02-021; 10-01-013 (Prueba de estimulación con glucagón); 11-01-140 (Tratamiento médico EMRR); 11-01-141 (Tratamiento Rehabilitación EMRR);11-01-142 (Tratamiento Brote EMRR); 12-01-027 (Examen optométrico c/s Prescripción de Lentes); 12-01-044 (Tomografía de Coherencia óptica) y 12-01-045 (Paquimetría); 13-01-045 y 13-01-046; 13-01-050 (Audiometría campo libre niños y adultos); 13-02-074 (Intervención quirúrgica implante coclear); 17-01-056 (Ecocardiograma Fetal); 17-07-056 (Endosonografía bronquial); 17-07-063 (Poligrafía cardiorrespiratoria del sueño ambulatorio); 19-01-025 (Peritoneodiálisis); 19-01-026 (Peritoneodiálisis continua en paciente crónico); 19-01-028 (Hemodiálisis con bicarbonato, con insumos por sesión); 19-01-029 (Hemodiálisis con bicarbonato con insumos, tratamiento mensual); 19-01-035 (Biopsia estereotáxica digital de la próstata); 19-01-036 (Instilación vesical (incluye colocación de sonda y Micobacterium Bovis para instilación intravesical proc. aut.)); 20-01-023 (Biopsia estereotáxica de mama); 20-01-025 (Toma de biopsia con aguja bajo visión ecográfica de la Mama (Biopsia Core)); 20-01-026 (Instalación o retiro de dispositivo subdérmico anticonceptivo); del Grupo 02 (Atención Cerra da); del Grupo 04, sub-grupo 05 ( Resonancias); del Grupo 07 (Medicina Transfusional y Banco de Tejidos); del Gru po 23 (Prótesis); del Grupo 24 (Traslados); del Grupo 25 (Pago Asociado a Diagnóstico-PAD); del Grupo 26 (Atenciones Integrales, otros Profesionales y Técnicos), a excepción del código 26-09-001 definido en tres niveles; del Grupo 28 (Pago Asociado a Emergencia); y las prestaciones del Grupo 29 (Tratamientos Integrales de Braquiterapia, Radioterapia), sub-grupos 01 y 02; como asimismo los Derechos de Pabellón o Quirófano , Sala de Partos y Sala de Procedimientos (Códigos adicionales 1 al 14).
No se podrán cobrar órdenes de atención de un Grupo diferente del Rol al que corresponda según inscripción y convenio, salvo las excepciones que contempla esta resolución."
d) Modifíquese el inciso segundo del artículo 16º, reemplazando el valor, "$380" por "$400".
e) Elimínese el artículo 22.
2. Los valores indicados en el artículo 19º de la resolución exenta Nº176 de 1999, se reajustarán en la forma que a continuación se indica:
2.1 De acuerdo con el reajuste específico que se señala en anexo adjunto para cada Grupo, Subgrupo o prestación, anexo que forma parte de la presente resolución.
2.2 El porcentaje de reajuste se calcula sobre los valores de las prestaciones del Arancel vigente en nivel 1 o básico.
2.3 Aplicado el porcentaje de reajuste, los precios se aproximan a la decena superior, cuando la unidad es igual o superior a 5 (cinco) y a la decena más próxima cuando la unidad es inferior a 5 (cinco).
3. Apruébese el anexo Modalidad Libre Elección, en el que se describen otras modificaciones arancelarias las que forman parte integrante de la presente resolución.
4. La presente resolución entrará en vigencia el primer día hábil siguiente a la fecha de su publicación en el Diario Oficial.
5. El Fondo Nacional de Salud, pondrá a disposición de los usuarios (prestadores públicos y privados, beneficiarios, entidades en general), el Arancel del Régimen de Prestaciones de Salud del Libro II del D.F.L. Nº 1, de 2005 Modalidad de Atención de Libre Elección actualizado, con todas las modificaciones que la presente resolución le introduce y con sus valores en pesos, en conjunto con las resoluciones que aprueban las Normas Técnicas y Administrativas respectivas para la aplicación del arancel, a través de su página web "www.fonasa.cl".
Anótese, comuníquese y publíquese en el Diario Oficial.- Andrea Albagli Iruretagoyena, Ministra de Salud (S).- Nicolás Grau Veloso, Ministro de Hacienda (S).
Transcribo para su conocimiento resolución exenta N° 173, 14 de febrero 2025.- Por orden de la Subsecretaría de Salud Pública.- Saluda atentamente a Ud., Yasmina Viera Bernal, Jefa de la División Jurídica, Ministerio de Salud. .
ANEXO
I.- MODALIDAD LIBRE ELECCIÓN
I.1. Reajuste Arancel MLE 2025


(*) Códigos: 0304013, 2501058, 2501059 y 2502024, códigos de prestaciones de Hernias y, grupo 29 subgrupo 04, son revalorizadas y/o reformuladas y su nueva estructura y/o valores se presenta en esta resolución.
I.2. Incorporación de nuevas prestaciones (valores en $2025).
Se incorporan las siguientes nuevas prestaciones en los grupos correspondientes del arancel.
I.2.1. Incorpórese 6 nuevas prestaciones asociadas a laboratorio, dispositivos y procedimientos. Todas estas prestaciones en nivel único ($2025).

I.2.2. Incorporación 3 nuevos PAD en grupo 25 y en nivel único ($2025).

I.3. Reformulación Grupo 09, Subgrupo 02, "Psicología Clínica".
Se reformula el grupo 09, subgrupo 02 "Psicología Clínica, integrando los tests y/o evaluaciones, a las consultas y psicoterapias (presenciales y telerrehabilitación).
- Arancel Vigente 2024 ($2024)

- Arancel Vigente 2025 ($2025)

I.4. Reformulación Grupo 13, Subgrupo 03, "Fonoaudiología".
Se reformula el grupo 13, subgrupo 03 "Fonoaudiología", integrando las evaluaciones y las rehabilitaciones según se indica en siguiente tabla:
En lo que corresponde a los valores vigentes y reformulados, las siguientes ilustraciones los describen:
- Arancel Vigente 2024 ($2024)

- Arancel Vigente 2025 ($2025)

I.5. Eliminación de prestaciones.
Se elimina del arancel las siguientes 44 prestaciones.

I.6. Modifica Precio y Glosa para arancel MLE 2025.
Se modifica glosa y precio a las siguientes 4 prestaciones.
- Arancel Vigente 2024 ($2024)

- Arancel 2025 ($2025)

I.7. Modifica Precio por Revalorización para arancel MLE 2025.
Se modifica precio a las siguientes 3 prestaciones PAD que forman parte del grupo 25.
- Arancel Vigente 2024 ($2024)

- Arancel 2025 ($2025)

I.8. Modifica Código y Glosa para arancel MLE 2025.
Se modifica código y glosa de la siguiente prestación, por quedar mejor representada en grupo 03. Prestación conserva valores en tres niveles.
- Arancel Vigente 2024
- Arancel 2025
I.9. Inclusión, Modificación y Eliminación de textos para Arancel MLE 2025.

I.10. Reformulación prestaciones grupo 29, Subgrupo 04.
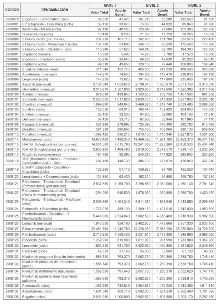
Se reformula el Grupo 29, Subgrupo 04, Quimioterapia, cambiando a Grupo 29, Subgrupo 08 Tratamiento farmacológico oncológico. Se actualizan sus valores y se desagregan los 17 "Mix de Esquemas" en 113 "Esquemas".
Adicionalmente se incorporan 3 nuevas prestaciones asociadas a complicaciones de los tratamientos oncológicos, definiéndose en el Grupo 29 el subgrupo 05, denominado "Neutropenia Oncológica".
- Arancel Vigente 2024 ($2024)
Grupo 29 - Subgrupo 04: QUIMIOTERAPIA

- Arancel 2025 ($2025)
Grupo 29 - Subgrupo 08: TRATAMIENTO FARMACOLÓGICO ONCOLÓGICO



Grupo 29 - Subgrupo 05: NEUTROPENIA ONCOLÓGICA

I.11. Reformulación prestaciones Cirugía Abdominal, (Hernias, Tratamiento Quirúrgico).
- Arancel Vigente 2024 ($2024)

- Arancel 2025 ($2025)

I.12. Cambio de glosas en prestaciones para arancel MLE 2025.
Modifíquese la siguiente glosa a 6 prestaciones, cuyo propósito es mejorar su definición logrando mayor objetividad y comprensión:

I.13. Definición de código adicional y equipo médico.
Se agrega guarismo de sala de procedimiento y equipo médico a los siguientes códigos:


II.- MODALIDAD ATENCIÓN INSTITUCIONAL
II.1. Reajuste Arancel MAI 2025

(*) Código 0304013, códigos de prestaciones de Hernias y, prestaciones de grupo 29 subgrupo 04, son revalorizadas y/o reformuladas y, su nueva estructura y/o valores se presenta en esta resolución.
II.2. Incorporación nuevas prestaciones al arancel MAI 2025 (valores en $2025)
Incorpórese las siguientes 3 nuevas prestaciones de salud a la versión año 2025 del arancel Modalidad Atención Institucional.

II.3. Reformulación Grupo 13, Subgrupo 03, "Fonoaudiología"
Se reformula el grupo 13, subgrupo 03 "Fonoaudiología", integrando las evaluaciones y las rehabilitaciones según se indica en siguiente tabla:

En lo que corresponde a los valores vigentes 2024 y reformulados 2025, las siguientes tablas los describen:
- Arancel Vigente 2024 ($2024)

- Arancel 2025 ($2025)

II.4. Eliminación de prestaciones de salud para Arancel MAI 2025.
Se eliminan 32 prestaciones de salud en la versión MAI año 2025, según causales señaladas en siguiente ilustración.


II.5. Modifica Glosa y Precio para arancel MAI 2025.
Se modifica glosa y precio a las siguientes prestaciones.
- Arancel Vigente 2024 ($2024)

- Arancel 2025 ($2025)

II.6. Modifica Código y Glosa para arancel MAI 2025
- Arancel Vigente 2024

- Arancel 2025

II.7. Inclusión y Modificación de textos para Arancel MAI 2 025.
II.8. Reformulación prestaciones grupo 29, Subgrupo 04, para Arancel MAI 2025.
Se reformula el Grupo 29, Subgrupo 04, Quimioterapia, cambiando a Grupo 29, Subgrupo 08 Tratamiento farmacológico oncológico. Se actualizan sus valores y se desagregan los 17 "Mix de Esquemas" en 113 "Esquemas".
Adicionalmente se incorporan 3 nuevas prestaciones asociadas a complicaciones de los tratamientos oncológicos, definiéndose en el Grupo 29 el subgrupo 05, denominado "Neutropenia Oncológica".
Grupo 29 - Subgrupo 04: QUIMIOTERAPIA
- Arancel Vigente 2024 ($2024)


- Arancel 2025 ($2025)
Grupo 29 – Subgrupo 08: TRATAMIENTO FARMACOLÓGICO ONCOLÓGICO



Grupo 29 - Subgrupo 05: NEUTROPENIA ONCOLÓGICA

II.9. Reformulación prestaciones Cirugía Abdominal (Hernias, Tratamiento Quirúrgico) para Arancel MAI 2025
- Arancel Vigente 2024 ($2024)

- Arancel 2025 ($2025)

II.10. Cambio de glosas en prestaciones para arancel MAI 2025.
Modifíquese la siguiente glosa a 3 prestaciones, cuyo propósito es mejorar su definición logrando mayor objetividad y comprensión:

II.11. Definición de código adicional para arancel MAI 2025.
Se agrega guarismo de sala de procedimiento a los siguientes códigos:

