APRUEBA ARANCEL DE LA MODALIDAD DE COBERTURA COMPLEMENTARIA DEL FONDO NACIONAL DE SALUD (MCC)
Núm. 174 exenta.- Santiago, 14 de febrero de 2025.
Visto:
El Ordinario Nº 3216 de 6 de febrero de 2025 del Director del Fondo Nacional de Salud; el Decreto con fuerza de ley N° 1 de 2005, del Ministerio de Salud, que fija el texto refundido, coordinado y sistematizado del Decreto Ley N° 2.763, de 1979 y de las leyes N° 18.933 y N° 18.469; la Ley N° 21.674, que Modifica el Decreto con fuerza de ley N° 1, de 2005, del Ministerio de Salud, en las materias que indica, crea un nuevo modelo de atención en el Fondo Nacional de Salud, otorga facultades a la Superintendencia de Salud, y modifica normas relativas a las Instituciones de Salud Previsional; la resolución exenta N° 1.134, de 21 de agosto de 2024, del Ministerio de Salud, que establece el Arancel MCC y la resolución N° 7, de 2019, de la Contraloría General de la República, que fija normas sobre exención del trámite de toma de razón.
Considerando:
1. Que, el nuevo artículo 144 ter inciso primero, del decreto con fuerza de ley N° 1, de 2005, del Ministerio de Salud, en adelante DFL N° 1, de 2005, introducido por el artículo 1° de la ley N° 21.674, establece una nueva modalidad de atención, denominada Modalidad de Cobertura Complementaria (en adelante MCC), en virtud de la cual, las personas afiliadas al Fonasa, que cumplan los requisitos que establece dicha ley y se inscriban para tales efectos, podrán obtener acceso y protección financiera para las prestaciones de salud aranceladas en una red de prestadores determinada, obligándose al pago de una prima complementaria.
2. Que, por mandato del inciso cuarto del señalado artículo 144 ter, será el Ministerio de Salud, a propuesta de Fonasa, el órgano encargado de establecer por resolución, el Arancel de la MCC, la que deberá ser suscrita, además, por el Ministerio de Hacienda.
3. El inciso tercero del citado artículo 144 ter, dispone que las prestaciones cubiertas en la MCC serán financiadas por Fonasa de conformidad con el Arancel que se fije al efecto y en la parte que le corresponda, por la cobertura financiera complementaria que otorgue la compañía de seguros en los términos que establece la póliza, y por el copago que corresponda al beneficiario. Tratándose de la cobertura financiera complementaria otorgada por las compañías de seguro, esta disposición legal establece la existencia de un tope anual de cobertura en los términos establecidos en la póliza. Una vez superado el tope anual la diferencia entre la cobertura que corresponderá a Fonasa y el valor de la prestación arancelada será enterada por la persona beneficiaria.
4. Que, en relación a las prestaciones que deberá contemplar el Arancel de la MCC, el artículo 144 ter citado dispone, que a lo menos, se deberán incorporar las contenidas en el Arancel vigente de la modalidad de libre elección (MLE), y podrá considerar otras prestaciones con pertinencia sanitaria no contenidas en este último arancel, para personas no beneficiarias del Libro II del citado DFL N° 1, de 2005, a que se refiere el artículo 24 de la ley N° 18.681, que establece normas complementarias de administración financiera de incidencia presupuestaria y personal.
5. Que, con fecha 14 de septiembre de 2024 se publicó en el Diario Oficial, el Arancel de la MCC, aprobado por la resolución exenta N° 1.314, de 21 agosto de 2024, del Ministerio de Salud.
6. Que, en lo que interesa, este primer arancel estableció algunos grupos específicos para la MCC; reformuló algunos códigos relacionados a test psicológicos; modificó los grupos del 11 al 12 y del 14 al 21 del Arancel de la MLE cuyas prestaciones pasaron a integrar dos nuevos grupos en la MCC que se denominan Grupo N° 31. "Procedimientos ambulatorios integrales" y Grupo N° 32. "Prestaciones de acceso a GRD o CMA" (Grupos Relacionados por Diagnóstico o Cirugía Mayor Ambulatoria); y finalmente introdujo cambios en el Grupo N° 13 "Procedimientos diagnósticos e intervenciones quirúrgicas de otorrinolaringología" y en el Grupo 22. "Anestesia".
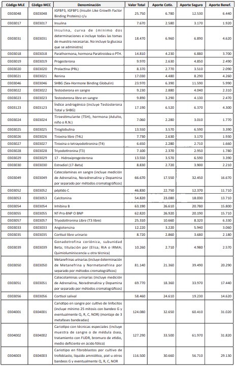
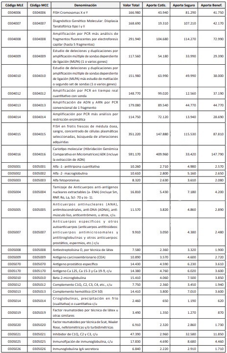
7. Que, para esta nueva versión del Arancel MCC se mantienen 23 prestaciones de salud, con pertinencia sanitaria, que se denominan "prestaciones adicionales" de las 25 que se incorporaron en el Arancel anterior. De las 23 prestaciones, 18 son ambulatorias y de procedimiento, en tanto que 5 de ellas corresponden a prestaciones hospitalarias CMA. Estas prestaciones pasan a integrar los grupos 03, 31 y 32 del Arancel de la MCC y se detallan en el Anexo I de la presente resolución.
8. Se incorporan además, 6 nuevas prestaciones que también han sido incluidas en el Arancel MLE, manteniendo su precio y aporte estatal para ambos Aranceles, las que se detallan en el Anexo II de la presente resolución.
9. Que, respecto de los procedimientos ambulatorios integrales esta propuesta considera todos los elementos que se requieren para la atención de salud que están incluidos en el valor arancelado, en tanto que las prestaciones de acceso a GRD o CMA definen las prestaciones que tienen cobertura en la MCC.
10. Que, sobre los mecanismos de financiamiento a que se refiere la citada ley N° 21.674, se mantiene para este Arancel, la distinción entre prestaciones ambulatorias y hospitalarias. Respecto de las primeras, Fonasa aplicará el mecanismo de "pago por prestación" que considera, para el grupo N° 31, en el valor total de cada prestación todos los componentes del proceso productivo. Respecto de las segundas, Fonasa aplicará como mecanismo de pago, el "Sistema GRD" o sistema de financiamiento en base a los Grupos Relacionados por Diagnóstico, esto es, pago por egreso hospitalario o CMA.
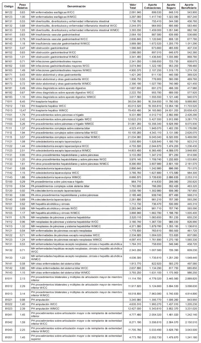
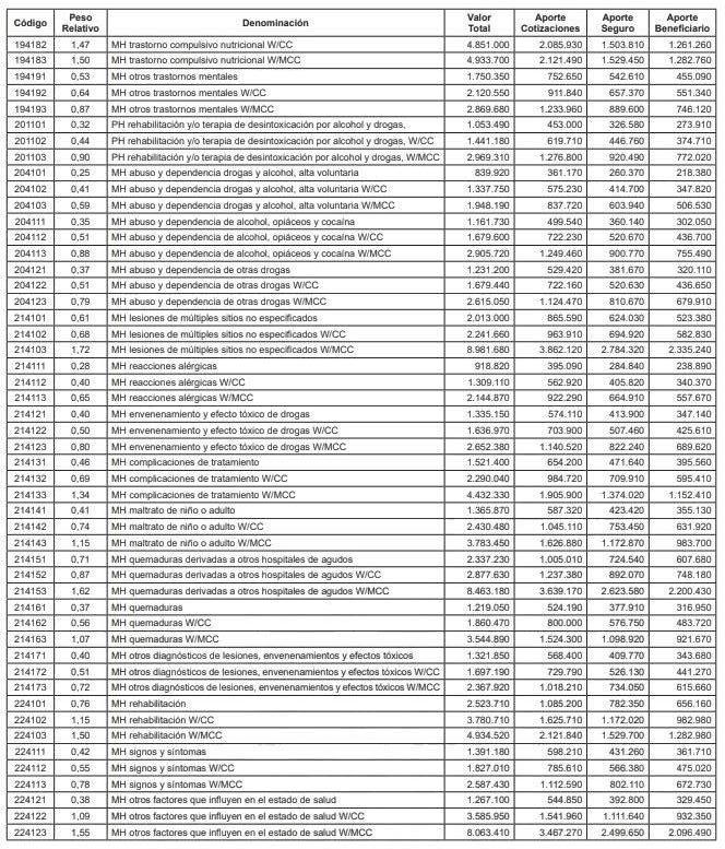
11. Que, dos componentes relevantes en el mecanismo de pago GRD son el precio o tarifa base de un egreso hospitalario y/o CMA, y el peso relativo de los IR-GRD. El precio o tarifa base corresponde a un monto predeterminado que sirve como punto de referencia para calcular el reembolso o compensación por servicios específicos que considera factores de complejidad, calidad del servicio y otros que puedan influir en el costo del tratamiento, en tanto que, el peso relativo de los IR-GRD es un coeficiente utilizado en el cálculo de reembolsos que refleja la complejidad y el costo esperado de un tratamiento asociado a un GRD específico en comparación con el costo medio de los tratamientos.
12. El pago por GRD mantendrá su aplicación para todos aquellos casos de hospitalización y CMA sean de resolución médica o médico quirúrgica.
La regla general de pago por GRD aplica en todos aquellos casos donde existan estadías inferiores al Punto de Corte Superior del GRD, conforme se establece en los estándares señalados en la resolución exenta N° 527, de 2022, de la Subsecretaría de Redes Asistenciales, que Aprueba Norma Minsal 2018-2019 Grupos Relacionados por Diagnóstico Refinados Internacionales (IR-GRD) que actualizó el reporte de casuística bajo elaboración Sigesa de la Norma NMIR v3.0 020182019, del Ministerio de Salud. De esta manera, corresponde al periodo comprendido entre el día cero o de inicio de la atención y el día correspondiente al día de Punto de Corte Superior.
El valor del GRD se obtiene de la multiplicación del Precio Base (1 o 2 según complejidad) por el peso relativo del GRD respectivo, de acuerdo con la siguiente expresión:
Valor del GRD = Precio Base * Peso Relativo GRD
Para los casos que sean resueltos utilizando prótesis u otros dispositivos, técnicas quirúrgicas y otras descritas como Ajustes de Tecnología, se pagará cada prótesis utilizada en la intervención como adicional al valor del GRD.
La regla de pago respecto de Outliers Superiores se aplica en casos donde existan estadías superiores al Punto de Corte Superior del GRD establecidas según Norma vigente del Ministerio de Salud.
Para estos casos Fonasa realizará una auditoría para la verificación de los antecedentes informados en la prefacturación en forma previa a la autorización de los pagos correspondientes.
Esta regla especial de pago considera la aplicación de un deducible al prestador, por aquellos costos originados con posterioridad al Punto de Corte Superior del GRD. Este deducible se manifiesta en un periodo de no pago (o carencia) por parte de Fonasa al prestador, al término del cual se reactiva el pago por cada día de estadía hasta el momento del egreso del paciente (post carencia).
El Valor del Outliers Superior se obtiene mediante la siguiente expresión:
Valor del GRD + [Días post carencia * Peso Relativo GRD * Precio Base 1] / Días Percentil 75
Donde:
Valor del GRD: Es el producto entre el Precio Base y el Peso Relativo del GRD correspondiente.
Precio Base referencia 1: Corresponderá Precio base 1.
Días post carencia: Corresponde al periodo comprendido entre el término del periodo de carencia y el momento del egreso del paciente. Durante este periodo se reactiva el pago por parte de Fonasa.
Periodo de carencia: Corresponde al período de tiempo comprendido entre el día del Punto de Corte Superior y que se extiende por el número de días establecido en el Percentil 50 del GRD respectivo según Norma vigente del Ministerio de Salud. Durante este periodo el prestador no recibe pago por parte de Fonasa.
Días Percentil 75: Corresponde al número de días establecido en el Percentil 75 del GRD respectivo según la vigente del Ministerio de Salud.
13. Que, para mayor conocimiento del mecanismo de pago GRD, este Arancel MCC mantiene la incorporación de los valores totales de los GRD más utilizados, conforme se reporta en la Norma aprobada por la resolución exenta N° 527, de 2022, de la Subsecretaría de Redes Asistenciales.
14. Los prestadores no podrán realizar cobros adicionales por insumos que son parte de la prestación de salud, excepto aquellos considerados explícitamente como Ajustes de Tecnología.
15. La Modalidad de Cobertura Complementaria tiene como fuentes de financiamiento el aporte de cotizaciones, aporte beneficiario y aporte del seguro. Las personas beneficiarias que incumplan el pago de la prima complementaria no se encontrarán amparados por la cobertura en el mes respectivo. Asimismo, en el caso que, durante dos meses continuos o tres meses discontinuos, dentro de un período de doce meses, dejen de dar cumplimiento al pago de la prima, dejarán de tener acceso a la MCC, lo que deberá ser notificado por la compañía de seguros, en conformidad lo establece el inciso séptimo, del artículo 144 quinquies, de la citada ley N° 21.674.
16. Que, en atención a lo expresado en los considerandos precedentes,
Resuelvo:
Artículo 1. Apruébese el Arancel de la Modalidad de Cobertura Complementaria, MCC, de Fonasa, a que se refiere el artículo 144 ter, del decreto con fuerza de ley N° 1, de 2005, del Ministerio de Salud.
Artículo 2. El Arancel que se aprueba por el presente acto, regirá única y exclusivamente para aquellos prestadores que hayan celebrado un convenio con Fonasa y sólo respecto de las prestaciones contenidas en dicho convenio.
Artículo 3. El Arancel de la MCC de Fonasa estará compuesto por:
a) Listado de 23 prestaciones adicionales (Anexo I).
b) Listado de 6 nuevas prestaciones (Anexo II).
c) Ajustes Resolución 1084 EXENTA,
SALUD
N° 1 a)
D.O. 18.10.2025de Tecnología, que considera prestaciones, dispositivos, fármacos, prótesis o insumos que son parte de una intervención sanitaria y se pagan adicional al pago otorgado por el mecanismo de pago GRD y respecto de los procedimientos CIE9-MC definidos (Anexo III). El pago de estos ajustes será financiado en un 50% con Aporte Cotización (FAM) y, el otro 50% con Aporte Seguro.
SALUD
N° 1 a)
D.O. 18.10.2025de Tecnología, que considera prestaciones, dispositivos, fármacos, prótesis o insumos que son parte de una intervención sanitaria y se pagan adicional al pago otorgado por el mecanismo de pago GRD y respecto de los procedimientos CIE9-MC definidos (Anexo III). El pago de estos ajustes será financiado en un 50% con Aporte Cotización (FAM) y, el otro 50% con Aporte Seguro.
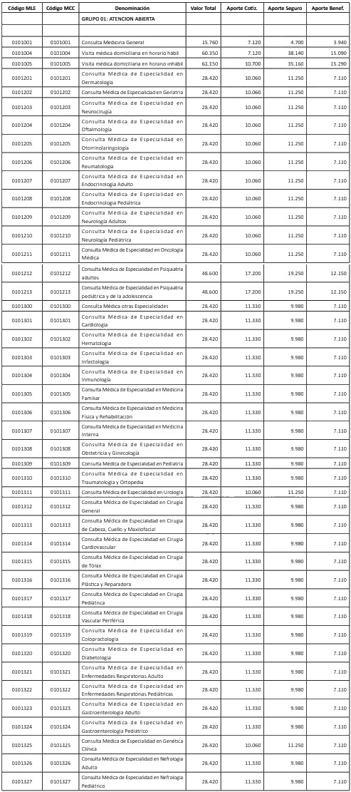
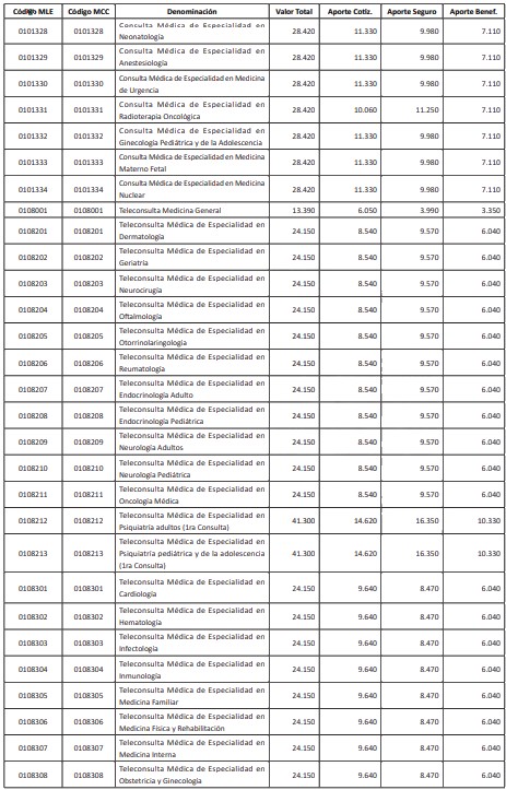
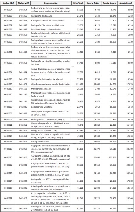
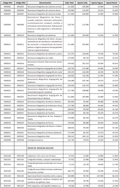
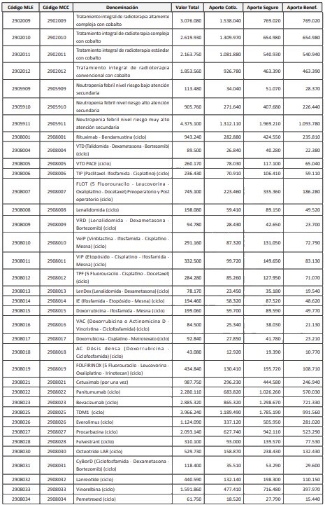
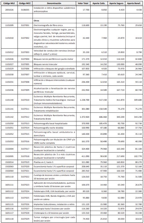
d) Prestaciones ambulatorias del Arancel MLE, que han sido reorganizadas en los siguientes grupos 01, 02 (códigos 0201405, 0201406, 0201407 y 0202501), 03, 04, 05, 06, 07, 08, 09, 13, 23, 24, 26, 29 y 31 (Anexo IV).
e) Prestaciones hospitalarias de los grupos 02 y 32 (Anexo V).
f) Listado IRGRD de los Egresos Hospitalarios y CMA (Anexo VI).
Artículo 4. Las prestaciones del presente Arancel se clasificarán en títulos, y en ellos, cada una contará con un código específico, los que estarán asociados a los primeros.
Los valores de las prestaciones de este Arancel se expresarán en pesos, moneda corriente y para efectos de la presente modalidad poseerán un valor único, distinguiendo entre prestaciones otorgadas en horario hábil y fuera de él.
Se entiende por horario hábil el comprendido entre las 8 y las 20 horas, de lunes a viernes de días no festivos y entre las 8 y las 13 horas de sábados no festivos.
Sólo tendrán derecho a recargo horario las prestaciones ambulatorias conforme a lo dispuesto en la resolución de Arancel de la MLE y el parto no programado de la atención cerrada.
Para tener derecho al recargo señalado en el inciso anterior, será necesario que las prestaciones se inicien fuera del horario hábil, sin perjuicio de que el término de ellas se produzca dentro del horario hábil.
Las prestaciones electivas o progra madas, así como las consultas de urgencia no recibirán recargo alguno, aunque se efectúen fuera del horario hábil.
Artículo 5. Resolución 1084 EXENTA,
SALUD
N° 1 c)
D.O. 18.10.2025Los precios base GRD y puntos de corte establecidos en el Arancel MCC son los siguientes:
SALUD
N° 1 c)
D.O. 18.10.2025Los precios base GRD y puntos de corte establecidos en el Arancel MCC son los siguientes:

Artículo 6. Los Resolución 1084 EXENTA,
SALUD
N° 1 d)
D.O. 18.10.2025valores señalados para las prestaciones que se consignan en el Grupo N° 23 (prótesis) del Anexo IV del Arancel, son solamente referenciales para determinar los aportes correspondientes.
SALUD
N° 1 d)
D.O. 18.10.2025valores señalados para las prestaciones que se consignan en el Grupo N° 23 (prótesis) del Anexo IV del Arancel, son solamente referenciales para determinar los aportes correspondientes.
Artículo 7. Déjese establecido que en todo lo expresamente regulado y que sea compatible con lo expuesto en los artículos 144 bis, 144 ter, 144 quáter, 144 quinquies, 144 sexies y 144 septies, de la citada ley N° 21.674, se aplicarán las normas de la MLE a la MCC.
Artículo 8. Déjese sin efecto la resolución exenta N° 1.134, de 21 agosto de 2024, del Ministerio de Salud.
Anótese, comuníquese y publíquese en el Diario Oficial.- Andrea Albagli Iruretagoyena, Ministra de Salud (S).- Nicolás Grau Veloso, Ministro de Hacienda (S).
Transcribo para su conocimiento resolución exenta N° 174, 14 de febrero 2025.- Por orden de la Subsecretaría de Salud Pública.- Saluda atentamente a Ud., Yasmina Viera Bernal, Jefa de la División Jurídica.
ANEXOS
Anexo I: Listado de prestaciones adicionales

Anexo II: Listado de nuevas prestaciones (MLE-MCC).

Anexo III: Listado de Ajustes de Tecnología.


Anexo IV: Arancel de Atenciones y Procedimientos Ambulatorios.










































Anexo V: Arancel de Prestaciones de Acceso a Egresos Hospitalarios y Cirugía Mayor Ambulatoria.













Anexo VI: Listado IRGRD de los Egresos Hospitalarios y Cirugía Mayor Ambulatoria













NOTA
El literal f) del numeral 1 de la Resolución 1084 Exenta, Salud, publicada el 18.10.2025, modifica la presente norma en el sentido de cambiar la ubicación de las prestaciones “Neutropenia febril nivel riesgo alto atención secundaria” y “Neutropenia febril nivel riesgo muy alto atención secundaria", incorporadas en el anexo IV, las que pasan a integrar el anexo V “Arancel de Prestaciones de Acceso a Egresos Hospitalarios y Cirugía Mayor Ambulatoria”, quedando de la manera que se indica en la citada resolución.
El literal f) del numeral 1 de la Resolución 1084 Exenta, Salud, publicada el 18.10.2025, modifica la presente norma en el sentido de cambiar la ubicación de las prestaciones “Neutropenia febril nivel riesgo alto atención secundaria” y “Neutropenia febril nivel riesgo muy alto atención secundaria", incorporadas en el anexo IV, las que pasan a integrar el anexo V “Arancel de Prestaciones de Acceso a Egresos Hospitalarios y Cirugía Mayor Ambulatoria”, quedando de la manera que se indica en la citada resolución.
NOTA 1
El literal g) del numeral 1 de la Resolución 1084 Exenta, Salud, publicada el 18.10.2025, modifica los porcentajes de contribución actual de las fuentes de financiamiento de la Atención Hospitalaria, referentes a aporte de cotizaciones (FAM), aporte seguro y aporte beneficiario (copago), señalados en el anexo V de la presente norma, de acuerdo con la "Nueva Contribución" ilustrada en la tabla inserta en la citada resolución.
El literal g) del numeral 1 de la Resolución 1084 Exenta, Salud, publicada el 18.10.2025, modifica los porcentajes de contribución actual de las fuentes de financiamiento de la Atención Hospitalaria, referentes a aporte de cotizaciones (FAM), aporte seguro y aporte beneficiario (copago), señalados en el anexo V de la presente norma, de acuerdo con la "Nueva Contribución" ilustrada en la tabla inserta en la citada resolución.



