FIJA ESTRUCTURA, NIVEL Y MECANISMO DE INDEXACIÓN DE LAS TARIFAS DE LOS SERVICIOS SUMINISTRADOS A TRAVÉS DE LAS INTERCONEXIONES POR ENTEL PCS TELECOMUNICACIONES S.A.
Santiago, 26 de enero de 2024.- Con esta fecha se ha decretado lo que sigue:
Núm. 4.
Vistos:
a) Lo dispuesto en el artículo 32º Nº 6 de la Constitución Política de la República;
b) La Ley Nº 18.168, General de Telecomunicaciones, y sus modificaciones, en adelante e indistintamente la ley; particularmente, lo previsto en los artículos 24º bis, 25º y en su Título V;
c) La ley Nº 20.599, que regula la Instalación de Antenas Emisoras y Transmisoras de Servicios de Telecomunicaciones;
d) La ley Nº 20.285, sobre Acceso a la Información Pública;
e) El decreto supremo Nº 4, de 2003, de los Ministerios de Transportes y Telecomunicaciones y de Economía, Fomento y Reconstrucción, que aprueba Reglamento que regula el Procedimiento, Publicidad y Participación del Proceso de Fijación Tarifaria Establecido en el Título V de la Ley Nº 18.168, General de Telecomunicaciones;
f) El decreto supremo Nº 381, de 1998, de los Ministerios de Transportes y Telecomunicaciones y de Economía, Fomento y Reconstrucción, que aprueba Reglamento para las Comisiones de Peritos constituidas de conformidad al Título V de la ley Nº 18.168, y sus modificaciones;
g) El decreto supremo Nº 50, de 1988, del Ministerio de Transportes y Telecomunicaciones, que aprueba el Plan Técnico Fundamental de Señalización Telefónica, y sus modificaciones;
h) El decreto supremo Nº 45, de 1988, del Ministerio de Transportes y Telecomunicaciones, que aprueba el Plan Técnico Fundamental de Transmisión Telefónica, y sus modificaciones;
i) El decreto supremo Nº 746, de 1999, del Ministerio de Transportes y Telecomunicaciones, que aprueba el Plan Técnico Fundamental de Encaminamiento Telefónico y sus modificaciones;
j) El decreto supremo Nº 747, de 1999, del Ministerio de Transportes y Telecomunicaciones, que aprueba el Plan Técnico Fundamental de Numeración Telefónica, y sus modificaciones;
k) Lo dispuesto en el decreto supremo Nº 189, de 1994, de los Ministerios de Transportes y Telecomunicaciones y de Economía, Fomento y Reconstrucción, que aprueba Reglamento para el Sistema de Multiportador Discado y Contratado del Servicio Telefónico de Larga Distancia Nacional e Internacional y sus modificaciones;
l) Lo dispuesto en el decreto supremo Nº 18, de 2014, del Ministerio de Transportes y Telecomunicaciones, que aprueba Reglamento de Servicios de Telecomunicaciones que indica;
m) Lo dispuesto en el decreto supremo Nº 510, de 2004, de los Ministerios de Transportes y Telecomunicaciones y de Economía, Fomento y Reconstrucción, que establece el Contenido Mínimo y otros Elementos de la Cuenta Única Telefónica, y modifica Reglamento del Servicio Público Telefónico, y Reglamento para el Sistema Multiportador Discado y Contratado del Servicio Telefónico de Larga Distancia Nacional e Internacional, y sus modificaciones;
n) Lo dispuesto en el decreto supremo Nº 379, de 2010, del Ministerio de Transportes y Telecomunicaciones, que aprueba Reglamento que establece las Obligaciones para el Adecuado Funcionamiento del Sistema de Portabilidad de Números Telefónicos y sus modificaciones;
o) Lo dispuesto en el decreto Nº 157, de 2011, de los Ministerios de Transportes y Telecomunicaciones y de Interior y Seguridad Pública, que establece el procedimiento que regula el Bloqueo de Equipos Terminales Robados, Hurtados y Extraviados;
p) Lo dispuesto en el decreto supremo Nº 60, de 2012, del Ministerio de Transportes y Telecomunicaciones, que aprueba Reglamento para la Interoperación y Difusión de la Mensajería de Alerta, Declaración y Resguardo de la Infraestructura Crítica de Telecomunicaciones e Información sobre Fallas Significativas en los Sistemas de Telecomunicaciones;
q) Lo dispuesto en el decreto supremo Nº 194, de 2012, del Ministerio de Transportes y Telecomunicaciones, que aprueba Reglamento sobre Tramitación y Resolución de Reclamos de Servicios de Telecomunicaciones;
r) Lo dispuesto en las resoluciones exentas Nº 1.007, de 1995, Nº 188, de 1999, Nº 817, de 2000, Nº 29, de 2005, Nº 159, de 2006 cuyo texto refundido, coordinado y sistematizado fue fijado mediante resolución exenta Nº 2.099, de 2016, Nº 1.667, de 2006, Nº 1.686, de 2006, Nº 471, de 2007, Nº 770, de 2007, Nº 4.477, de 2010, Nº 1.825, de 2011, Nº 6.028, de 2011, Nº 2.539, de 2012, Nº 3.103, de 2012, Nº 3.261, de 2012 cuyo texto refundido fue fijado por resolución exenta Nº 1.474, de 2016, Nº 3.685, de 2012, Nº 4.264, de 2012, Nº 1.463, de 2016, y sus respectivas modificaciones, todas de la Subsecretaría de Telecomunicaciones, y demás normas técnicas que sean aplicables de acuerdo a la naturaleza del servicio regulado;
s) Los decretos supremos Nºs. 145 y 146, de 1997, del Ministerio de Transportes y Telecomunicaciones, y sus modificaciones posteriores, que otorgaron concesiones de servicio público de telefonía móvil digital 1900 a Entel PCS Telecomunicaciones S.A. y a Entel Telefonía Móvil S.A., respectivamente, de titularidad hoy de Entel PCS Telecomunicaciones S.A., en adelante e indistintamente la Concesionaria, así como todos aquellos decretos concesionales móviles dictados posteriormente en favor de la Concesionaria y sus respectivas modificaciones; y
t) El decreto supremo Nº 20, de 2019, de los Ministerios de Transportes y Telecomunicaciones y de Economía, Fomento y Turismo, que fija estructura, nivel y mecanismo de indexación de las tarifas de los servicios suministrados a través de las interconexiones por Entel PCS Telecomunicaciones S.A.
u) La resolución Nº 7, de 2019, de la Contraloría General de la República, que fijó normas sobre exención del trámite de toma de razón.
Considerando:
a) Que, corresponde a los Ministerios de Transportes y Telecomunicaciones y de Economía, Fomento y Turismo, fijar, de conformidad a lo dispuesto en los artículos 30º a 30º J de la ley, la estructura, nivel y mecanismo de indexación tarifaria de los servicios señalados en los artículos 24º bis y 25º, inciso final, de la ley;
b) El Informe Nº 2, de 2009, del Honorable Tribunal de Defensa de la Libre Competencia, dictado en causa Rol NC 246-08, y las Instrucciones de Carácter General Nº 2, de 2012, del mismo Tribunal, dictadas en causa Rol NC 386-10, Procedimiento para la Dictación de Instrucción General sobre los Efectos en la Libre Competencia de la Diferenciación de Precios en los Servicios Públicos de Telefonía "Tarifas On-Net / Off-Net" y de las Ofertas Conjuntas de Servicios de Telecomunicaciones, y sus modificaciones;
c) La resolución de la Fiscalía Nacional Económica dictada en Autos Rol 2699-22, con fecha 31 de enero de 2023;
d) La proposición de Bases Técnico Económicas presentada por la Concesionaria, recibida en la casilla electrónica tarifas@subtel.gob.cl, el día 21 de enero de 2023;
e) Las Bases Técnico Económicas Preliminares evacuadas por la Subsecretaría de Telecomunicaciones, remitidas mediante correo electrónico, el día 19 de febrero de 2023;
f) El escrito de controversias a las Bases Técnico Económicas Preliminares enviado a la casilla electrónica tarifas@subtel.gob.cl, el día 24 de febrero de 2023;
g) Las Bases Técnico Económicas Definitivas que fueron establecidas por la Subsecretaría de Telecomunicaciones, mediante la resolución exenta Nº 394, de 1 de marzo de 2023;
h) La proposición tarifaria y el Estudio que la fundamenta, presentada por la Concesionaria, recibida en la casilla electrónica tarifas@subtel.gob.cl, el día 30 de julio de 2023;
i) El Informe de Objeciones y Contraproposiciones evacuado por los Ministerios de Transportes y Telecomunicaciones y de Economía, Fomento y Turismo, remitido mediante correo electrónico de 27 de noviembre de 2023;
j) La solicitud de constitución de Comisión Pericial presentada por la Concesionaria, recibido en la casilla electrónica tarifas@subtel.gob.cl, el día 2 de diciembre de 2023;
k) El escrito de controversias al Informe de Objeciones y Contraproposiciones presentado por la Concesionaria, recibido en la casilla electrónica tarifas@subtel.gob.cl, el día 2 de diciembre de 2023;
l) El Informe de los Ministerios de Transportes y Telecomunicaciones y de Economía, Fomento y Turismo respecto de las controversias planteadas por la concesionaria al Informe de Objeciones y Contraproposiciones, enviado vía electrónica a la Comisión Pericial, el día 19 de diciembre de 2023;
m) El Informe de la Comisión Pericial recibido en la casilla electrónica tarifas@subtel.gob.cl, el día 22 de diciembre de 2023; y
n) El Informe de Modificaciones e Insistencias presentado por la Concesionaria respecto de las tarifas propuestas, acompañando Informe de la Comisión Pericial, recibido en la casilla electrónica tarifas@subtel.gob.cl el día 27 de diciembre de 2023, y en uso de mis atribuciones.
Decreto:
1.- Fíjese a Entel PCS Telecomunicaciones S.A., la estructura de cobro, niveles tarifarios y mecanismos de indexación tarifaria que deberá aplicar a los siguientes servicios y prestaciones para los próximos 5 años, a contar del 27 de enero de 2024, de conformidad a lo previsto en el artículo 30º J de la ley.
Para todos los efectos de este decreto, establécese una única área tarifaria conforme a la zona de servicio autorizada a la Concesionaria.
1.1. Servicios de Uso de Red
1.1.1 Servicio de Acceso de Comunicaciones a la Red Móvil
El servicio de acceso de comunicaciones a la red móvil (también conocido como "Cargo de Acceso Móvil") corresponde a la utilización de los distintos elementos de la red de la Concesionaria, por parte de otras concesionarias de servicio público de telecomunicaciones que correspondan para terminar comunicaciones; y de concesionarias de servicios intermedios de larga distancia, para terminar y originar comunicaciones de larga distancia.
Los Cargos de Acceso se aplican sólo a comunicaciones completadas. No se podrán efectuar cobros por establecimiento de comunicaciones.
a) Estructura de Cobro
La estructura de cobro para el Cargo de Acceso, aplicado a concesionarias, y/o terceros que provean servicios de telecomunicaciones en los casos particulares que se señalan a continuación, será la siguiente:

b) Nivel Tarifario
El nivel de la tarifa de Cargo de Acceso, expresado en valores netos, es el siguiente:

1.1.2 Servicio de Tránsito de Comunicaciones
El servicio de tránsito de comunicaciones, cuya obligación de encaminamiento se encuentra establecida en los artículos 21º y 22º del decreto supremo Nº 746, de 1999, Plan Técnico Fundamental de Encaminamiento Telefónico, corresponde a:
a) Servicio de Tránsito de Comunicaciones a través de un Punto de Terminación de Red de la Red Móvil
Corresponde a la utilización de los distintos elementos de un nodo de conmutación de la red móvil de la Concesionaria establecido como punto de terminación de red, en adelante PTR o PTRs, según corresponda, sin que exista transmisión alguna de la comunicación por la Concesionaria, por parte de otras concesionarias de servicio público de telecomunicaciones que correspondan y portadores interconectados, para establecer comunicaciones con una tercera concesionaria, con el objeto de cumplir cabalmente con lo dispuesto en el artículo 25º inciso 1º de la ley.
Los Cargos de Acceso que se generen por acceder a redes de terceras concesionarias producto del Servicio de Tránsito deberán ser pagados a éstas por la concesionaria en cuya red se originan las comunicaciones.
El nivel de la tarifa del cargo del servicio tránsito de comunicaciones a través de un PTR de la Red Móvil, expresado en valores netos, es el siguiente:

b) Servicio de Tránsito de Comunicaciones entre PTRs de la Red Móvil
Corresponde a la utilización de los distintos elementos de conmutación y transmisión entre dos puntos de terminación de red de la Concesionaria, por parte de otras concesionarias de servicio público de telecomunicaciones que correspondan y portadores interconectados, para establecer comunicaciones con una tercera concesionaria, con el objeto de cumplir cabalmente con lo dispuesto en el artículo 25º inciso 1º de la ley.
Los Cargos de Acceso que se generen por acceder a redes de terceras concesionarias producto del Servicio de Tránsito deberán ser pagados a éstas por la concesionaria en cuya red se originan las comunicaciones.
El nivel de la tarifa del cargo del servicio tránsito de comunicaciones entre PTRs de la Red Móvil, expresado en valores netos, es el siguiente:

1.1.3 Servicio de Terminación de Servicios de Mensajería Corta
Corresponde a la utilización de los distintos elementos de la red de la Concesionaria, para terminar el Servicio de Mensajería Corta, en adelante, SMS, y también para originar SMS con destino o salida internacional.
Este servicio incluye mensajes del tipo P2P, A2P y cualquier otra denominación asociada a mensajería corta. Es decir, quedan dentro del alcance de esta definición cualquier otra denominación de SMS que descanse en atributos diferenciadores, tales como: Calidad de servicio, tipo de clientes que hacen uso del servicio, numeración utilizada (especial o de suscriptor), etc.
El servicio de terminación de SMS deberá proveerse bajo condiciones equivalentes sin discriminar según quien esté haciendo uso del servicio, y deberá incluir todos los aspectos técnicos necesarios para asegurar su adecuada entrega. Se considera obligatorio informar inmediatamente al operador de origen la respuesta o confirmación del mensaje debidamente entregado (Delivery Report). Todos los aspectos de calidad de servicio y priorización deben otorgarse sin diferenciar entre concesionarias.
El nivel de la tarifa del Servicio de Terminación de SMS por cada mensaje terminado y debidamente entregado, expresado en valores netos, es el siguiente:

1.2. Servicio de Interconexión en los PTRs y Facilidades Asociadas
De acuerdo a lo establecido en los artículos 24º bis inciso 2º y 25º de la ley, y el artículo 29º del Reglamento para el Sistema Multiportador Discado y Contratado del Servicio Telefónico de Larga Distancia, en adelante Reglamento Multiportador, la Concesionaria debe ofrecer, dar y proporcionar a todas las concesionarias de servicio público de telecomunicaciones que correspondan y portadores, igual clase de accesos y conexiones en los PTRs.
El servicio de interconexión en los PTRs y sus facilidades asociadas corresponden a todas las prestaciones requeridas por las concesionarias para que las interconexiones sean plenamente operativas. Dentro de estas prestaciones, se distinguen las siguientes:
a) Conexión al PTR
Consiste en la conexión a través de puertas Gigabit Ethernet (GbE) mediante sesiones con protocolo SIP, de conformidad a la normativa vigente o aquella que la modifique en lo sucesivo, en un Punto de Terminación de Red de un nodo de conmutación de la Concesionaria y facilidades necesarias para su habilitación, al cual acceden las concesionarias de servicios públicos de telecomunicaciones interconectadas, con sus propios medios físicos o de terceros. Lo anterior, también aplica para las interconexiones con portadores, en cuyo caso, la capacidad mínima de conexión será de 1 Gbps (GbE).
Lo dispuesto en el párrafo anterior, no obsta a que la Concesionaria pueda proponer una capacidad superior y otras modalidades de interconexión, conforme a lo que pudieran convenir las partes y de acuerdo a lo indicado en la normativa pertinente.
El servicio consiste en la conexión de la concesionaria solicitante a la red de la Concesionaria en el nodo de conmutación establecido como PTR y considera:
- Asignar, habilitar, operar, supervisar y mantener los equipos de conmutación y transmisión en el PTR.
- La tarjeta interfaz de conmutación o bien la puerta de comunicación IP, los elementos de la red de conexión, la unidad de procesamiento y todas las bases de datos y sistemas.
- El equipo terminal de transmisión.
- Todo el cableado pertinente (incluye cruzadas de jumper).
- La deshabilitación y desconexión de equipos producto de una disminución en la capacidad requerida.
- Otras prestaciones necesarias para suministrar el servicio.
El servicio se proveerá en dos opciones, la agregada y la desagregada. En el caso de la opción agregada, la Concesionaria proveerá todas las actividades, prestaciones y equipos necesarios enumerados arriba, es decir, la Concesionaria proveerá los equipos de conmutación y de transmisión.
En el caso de la opción desagregada, la Concesionaria proveerá todas las actividades, prestaciones y equipos necesarios descritos precedentemente, a excepción del equipo terminal de transmisión, que será provisto por la solicitante.
Además, en la opción desagregada, la solicitante deberá contratar el servicio de uso de espacio físico y seguridad para albergar y conectar el equipo terminal de transmisión.
El nivel de las tarifas del Servicio de Conexión al PTR, expresadas en valores netos, es el siguiente:

b) Adecuación de Obras Civiles
Consiste en la construcción y/o habilitación de una cámara de entrada, ductos y túneles de cables necesarios para la interconexión en el PTR.
El servicio comprende la conexión de los medios físicos de interconexión a solicitud de otra concesionaria o de terceros que suministren servicios de telecomunicaciones, correspondientes a pares de cobre o cables de fibra óptica, a la red de la Concesionaria. La conexión se produce en la cámara de entrada al edificio donde se emplaza el nodo de conmutación de la Concesionaria establecido como PTR, y se extiende hasta la regleta del tablero de distribución principal, ya sea un MDF para la conexión mediante pares de cobre o un FDF para la conexión mediante fibra óptica.
Eventualmente, en el caso que la concesionaria solicitante opte por el servicio de conexión al PTR en opción desagregada para su conexión a la red de la Concesionaria, el servicio se extenderá hasta el espacio asignado para la instalación de su equipo de transmisión en el respectivo PTR.
Este servicio involucra:
- Ocupación de boquillas de ingreso a la cámara de entrada al edificio donde se emplaza el nodo de conmutación establecido como PTR, para que la empresa solicitante conecte su canalización.
- Ocupación de espacio en la citada cámara de entrada y en la canalización entre esta cámara de entrada y el túnel de cables del edificio donde se emplaza el PTR.
- Ocupación de infraestructura de soporte de cables entre ese túnel de cables y el tablero de distribución principal, MDF o FDF, según sea el caso.
- Tendido del cable, que es provisto por la empresa solicitante, entre la cámara de entrada y el tablero de distribución principal, MDF o FDF, según corresponda.
- Terminación del cable provisto por la concesionaria solicitante:
- En el caso de un cable de pares de cobre, esto involucra:
. Modularidad de 100 pares.
. Terminación modulada en el MDF en block de 100 pares.
- En el caso de un cable de fibra óptica, esto involucra:
. Modularidad de 32 fibras.
. Terminación modulada en el FDF en bandejas de 8 fibras.
- Provisión y asignación de elementos y materiales (escalerillas, bandejas de cable, cabezal de fibra óptica, block terminal de protectores, conectores, mufas, cables de forma, repartidor, etc.) para la conexión del cable en el terminal correspondiente.
- Operación y mantenimiento de todos los elementos de esta conexión.
- Otras prestaciones necesarias para suministrar el servicio.
El nivel de las tarifas del Servicio Adecuación Obras Civiles, expresadas en valores netos, es el siguiente:

c) Uso de Espacio Físico y Seguridad, Uso de Energía Eléctrica y Climatización
Consiste en la habilitación y arriendo en el PTR de un espacio físico, debidamente resguardado, necesario para la instalación de repartidores, blocks y otros equipos de interconexión del operador que se interconecta, uso de energía eléctrica rectificada y respaldada de los equipos terminales de los enlaces del operador y uso de la climatización necesaria para disipar energía producida por dichos equipos terminales.
El servicio contempla:
- El espacio físico en la sala de equipos del PTR.
- El cierre del espacio asignado.
- La seguridad respectiva.
- La provisión de climatización.
- Los cables de energía desde un tablero general hasta el punto donde se instalará el equipo terminal del contratante, terminados en un tablero con protecciones.
- La provisión de energía rectificada e ininterrumpida al equipo terminal de transmisión de la concesionaria que haya contratado el servicio.
- Los trabajos de cableado pertinente hasta el tablero de distribución principal para la conexión con la tarjeta interfaz de conmutación.
El nivel de las tarifas del Servicio Uso de Espacio Físico y Seguridad, Uso de Energía Eléctrica y Climatización, expresadas en valores netos, es el siguiente:

d) Enrutamiento de Tráfico de las Concesionarias Interconectadas
Consiste en el servicio de reconfiguración del nodo de control y señalización móvil y de la red de la Concesionaria, cuando corresponda según la tecnología de la empresa eficiente, para modificar el enrutamiento del tráfico de la concesionaria interconectada.
El servicio comprende:
- La realización de todos los trabajos de planificación, diseño, ejecución y pruebas en la red, necesarios para la provisión del servicio, así como también para la configuración de rutas de encaminamiento hacia el PTR.
El nivel de las tarifas del Servicio Enrutamiento de Tráfico de las Concesionarias Interconectadas, expresadas en valores netos, es el siguiente:

e) Adecuación de la Red para Incorporar y Habilitar el Código Portador
Corresponde a las modificaciones necesarias del nodo de control y señalización móvil y de la red de la Concesionaria, cuando corresponda según la tecnología de la empresa eficiente, para incorporar y habilitar el código del portador.
El servicio requiere la asignación de capacidades de hardware y software y acciones de explotación del nodo de control y señalización móvil, plataformas de servicio y sistemas de gestión de la red de la Concesionaria, según la tecnología de la empresa eficiente. Además, esta numeración deberá incorporarse en las bases de datos de los sistemas informáticos administrativos y en todos los procesos pertinentes para que sean debidamente reconocidos.
El servicio comprende:
- La realización del análisis de los códigos o indicativos de numeración para los distintos tipos de comunicaciones, asignados a portadores en los sistemas de la Concesionaria (nodo de control y señalización móvil, plataformas de servicios, sistemas de gestión de la red, sistemas informáticos, etc.). Esto para reconocer, validar, encaminar y atender en la red móvil de la Concesionaria las comunicaciones asociadas a dichos operadores, y procesar los registros de estas comunicaciones en los sistemas de gestión de la red y en los sistemas informáticos.
- La realización en el nodo de control y señalización móvil, del análisis de las definiciones de traducción existentes, del diseño de la incorporación del nuevo código de numeración (profundidad de análisis; cantidad de cifras esperadas; cifras a enviar al nodo de conmutación siguiente; etc.), de la reconfiguración de las definiciones de traducción incorporando el nuevo código, y la ejecución de las pruebas de validación y aceptación correspondientes.
- La operación y la mantención de este servicio con el fin de asegurar el correcto encaminamiento de las comunicaciones hacia y desde la concesionaria interconectada.
El nivel de las tarifas del Servicio Adecuación de la Red para Incorporar y Habilitar el Código Portador, expresadas en valores netos, es el siguiente:

f) Renta Mensual por Capacidad por cada 10 SMS/s requerido para el Servicio de Terminación de SMS
Consiste en la habilitación, operación, supervisión y mantención de licencias de capacidad en la red de la Concesionaria para la terminación de SMS, al cual acceden las concesionarias de servicios públicos de telecomunicaciones interconectadas, con sus propios medios físicos o de terceros.
La estructura de cobro será mediante una renta mensual que dará derecho a la concesionaria solicitante a una capacidad de 10 SMS/s para enviar mensajes en todo momento, pudiendo ésta contratar capacidad en bloques de a 10 SMS/s según requiera.
El nivel de la tarifa de la Renta Mensual por Capacidad por cada 10 SMS/s requerido para el Servicio de Terminación de SMS, expresadas en valores netos, es el siguiente:

1.3 Funciones Administrativas Suministradas a Portadores por Comunicaciones correspondientes al Servicio Telefónico de Larga Distancia
De acuerdo a lo establecido en el artículo 24º bis de la ley y el artículo 23º del Reglamento Multiportador, la Concesionaria deberá ofrecer, dar y proporcionar a todos los concesionarios de servicios intermedios que presten servicios de larga distancia, en igualdad de condiciones económicas, comerciales, técnicas y de información, las facilidades que sean necesarias para establecer y operar el sistema multiportador discado y contratado.
Además, en atención a lo establecido por el artículo 24º bis inciso 5º y por el artículo 42º del Reglamento Multiportador, la Concesionaria deberá prestar las funciones de medición, tasación, facturación y cobranza por el servicio de larga distancia a aquellos portadores que así lo requieran, contratando todas o parte de tales funciones. La contratación integrada de las funciones administrativas corresponderá a la agregación de los servicios individuales necesarios para el cumplimiento de la normativa indicada.
1.3.1 Funciones administrativas suministradas a portadores por comunicaciones correspondientes al servicio telefónico de larga distancia


1.3.2 Facilidades Necesarias para Establecer y Operar el Sistema Multiportador


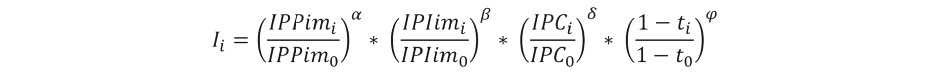
1.4 Indexadores
Los índices a utilizar en los indexadores corresponden a:
IPlim : Índice de Precios Importados Industria
Manufacturera, informado por el Instituto
Nacional de Estadísticas (INE), Valor base
IPIim 0 = 172,31 (Base: noviembre 2007=100)
IPPim : Índice de Precios de Productor Industria
Manufacturera, informado por el Instituto
Nacional de Estadísticas (INE), Valor base
IPPim 0 = 167,15 (Base: Año 2014=100)
IPC : Índice de precios al consumidor (IPC)
informado por el Instituto Nacional de
Estadísticas, Valor base IPC 0 = 129,02
(Base: Año 2018 = 100)
t : Tasa de impuesto a las empresas,
Valor base t 0 = 27 %
La función utilizada para el cálculo de los indexadores es la siguiente:

Ii : Indexador en el período "i";
i = 0 : Mes base de referencia de los respectivos
índices y tasas;
IPPimi : Índice de Precios de Productor Industria
Manufacturera en el período "i";
IPlimi : Índice de Precios Importados Industria
Manufacturera en el período "i";
IPCi : Índice de Precios al Consumidor en el
período "i";
ti : Tasa de tributación de las utilidades en
el período "i";
α , β , δ, φ : Elasticidades del índice general respecto
a los índices parciales.
Para ello, los indexadores del año base corresponden a los de diciembre de 2022.
Los indexadores de cada uno de los servicios son los siguientes:



2.- Las tarifas fijadas en los números anteriores, están expresadas en valores netos, en pesos ($) al 31 de diciembre de 2022, y tienen el carácter de máximas, no pudiendo discriminarse entre usuarios de una misma categoría en su aplicación, en conformidad a lo dispuesto en el artículo 30º H de la ley.
3.- Las tarifas expresadas en pesos por unidad de tiempo sólo podrán ser aplicadas a comunicaciones completadas.
4.- Las tarifas máximas señaladas en el presente decreto supremo están sujetas a reajustabilidad, de acuerdo a las fórmulas de indexación establecidas en el punto 1.4, previa comunicación escrita a la Subsecretaría de Telecomunicaciones.
5.- La Concesionaria comunicará cada dos meses a la Subsecretaría de Telecomunicaciones el valor resultante de aplicar a las tarifas máximas autorizadas la variación del índice respectivo, y este valor constituirá siempre el precio máximo que la concesionaria podrá cobrar por el suministro de los servicios regulados.
6. Cada vez que la Concesionaria realice un reajuste de sus tarifas, previamente deberá publicarlas en un diario de circulación nacional y comunicarlas a la Subsecretaría de Telecomunicaciones. En todo caso, estas tarifas no podrán variar antes de los 30 días contados desde la última fijación o reajuste de tarifas, salvo el caso en que las tarifas vigentes excedan a las tarifas máximas autorizadas, en cuyo caso deberán ajustarse a estas últimas.
7.- Las tarifas precedentes prevalecerán sobre cualquier otra establecida, convenida o autorizada a percibir por la Concesionaria, respecto de los servicios regulados. La concesionaria no podrá cobrar tarifas adicionales por los servicios y prestaciones detallados en el presente decreto.
Anótese, regístrese, tómese razón, comuníquese y publíquese en el Diario Oficial.- GABRIEL BORIC FONT, Presidente de la República.- Juan Carlos Muñoz Abogabir, Ministro de Transportes y Telecomunicaciones.- Nicolás Grau Veloso, Ministro de Economía, Fomento y Turismo.
Lo que transcribo para su conocimiento.- Saluda atentamente a usted, Claudio Araya San Martín, Subsecretario de Telecomunicaciones.