MODIFICA RESOLUCIÓN Nº 762 EXENTA (V. Y U.), DE FECHA 28 DE MAYO DE 2024, QUE LLAMA A PROCESO DE SELECCIÓN NACIONAL EN CONDICIONES ESPECIALES PARA EL OTORGAMIENTO DE SUBSIDIOS HABITACIONALES DEL TÍTULO II EN LAS MODALIDADES MEJORAMIENTO Y AMPLIACIÓN DE VIVIENDAS EXISTENTES Y MEJORAMIENTO DEL ENTORNO Y EQUIPAMIENTO COMUNITARIO CON PROYECTO DESARROLLADO, DEL PROGRAMA DE HABITABILIDAD RURAL, REGULADO POR EL DS Nº 10 (V. Y U.), DE 2015, Y SUS MODIFICACIONES, A LAS REGIONES QUE INDICA, EN LA ALTERNATIVA DE POSTULACIÓN INDIVIDUAL O COLECTIVA, Y APRUEBA NÓMINA DE POSTULANTES SELECCIONADOS
Santiago, 11 de abril de 2025.- Hoy se resolvió lo que sigue:
Núm. 515 exenta.
Visto:
a) El DS Nº 10 (V. y U.), de 2015, que reglamenta el Programa de Habitabilidad Rural, en especial sus artículos 36 y 38;
b) La resolución exenta Nº 2.142 (V. y U.), de fecha 20 de diciembre de 2023, que autoriza llamados a postulación y/o comprometer recursos durante el año 2024, en el otorgamiento de subsidios habitacionales y señala el monto de los recursos destinados, entre otros, a la atención a través del programa regulado por el DS Nº 10 (V. y U.), de 2015;
c) La Circular Nº 01, de fecha 17 de enero de 2024, de la Subsecretaría de Vivienda y Urbanismo, que comunica metas regionales del Programa Habitacional 2024, e indica el presupuesto disponible para asignar subsidios, entre otros, del Programa de Habitabilidad Rural;
d) La resolución exenta Nº 762 (V. y U.), de fecha 28 de mayo de 2024, que llama a proceso de selección en condiciones especiales para el otorgamiento de subsidios habitacionales del Título II en las modalidades Mejoramiento y Ampliación de Viviendas Existentes y Mejoramiento del Entorno y Equipamiento Comunitario con proyecto desarrollado, del Programa de Habitabilidad Rural, regulado por el DS Nº 10 (V. y U.), de 2015, y sus modificaciones, a las regiones que indica, en la alternativa de postulación individual o colectiva; y
Considerando:
a) Que, mediante la resolución exenta Nº 762 citada en el visto d), se llamó a proceso de selección nacional en condiciones especiales para el otorgamiento de subsidios habitacionales del Título II del Programa de Habitabilidad Rural, regulado por el DS Nº 10 (V. y U.), de 2015, y sus modificaciones, en la Modalidad de Mejoramiento y Ampliación de Viviendas Existentes y Mejoramiento del Entorno y Equipamiento Comunitario, que cuenten con proyecto Aprobado o Aprobado Condicional;
b) Que, el llamado a postulación realizado mediante la resolución exenta Nº 762 citada en el visto d), en sus resuelvos 2 y 31 estableció un proceso de selección según el orden de fecha y hora de la calificación de los proyectos otorgada por Serviu, a fin de seleccionar a las familias hasta agotar los recursos disponibles, sin que sea necesario aplicar los factores y cálculo de puntajes establecidos en los artículos 42 y 43 del DS Nº 10 (V. y U.), de 2015;
c) Que, existen contenidos de la resolución exenta Nº 762 (V. y U.), de fecha 28 de mayo de 2024, que deben ser complementados o modificados para un mejor desarrollo del proceso de postulación, en especial respecto a la selección de las familias y la asignación de los subsidios; por lo que dicto la siguiente:
Resolución:
1. Modifícase la resolución exenta Nº 762 (V. y U.), de fecha 28 de mayo de 2024, en el siguiente sentido:
1.1 Reemplazar el párrafo final del resuelvo 30, por el siguiente:
"Adicionalm ente, se podrá asignar un monto máximo de hasta 250 Unidades de Fomento, para el financiamiento de transporte terrestre, marítimo o aéreo de materiales de construcción, en zonas con factor multiplicador de aislamiento 1.4 o superior, de acuerdo con lo establecido en la resolución exenta Nº 3.130, citada en el visto d) de la presente resolución, el que deberá ser revisado y aprobado por el Serviu respectivo en presupuesto separado, pudiendo autorizarse su pago, de conformidad con las necesidades del proyecto. Corresponderá a la Seremi Minvu de la región respectiva asignar e imputar los recursos correspondientes a los postulantes que hayan sido seleccionados y cuenten con Calificación Definitiva, mediante resolución fundada, con cargo al Programa de Habitabilidad Rural que se encuentre vigente, una vez que se tenga a la vista las autorizaciones del Serviu."
1.2 Modificar el primer párrafo del resuelvo 31, reemplazando el guarismo "500.000" por "925.807,58".
1.3 Reemplazar la tabla del resuelvo 31, por la siguiente:

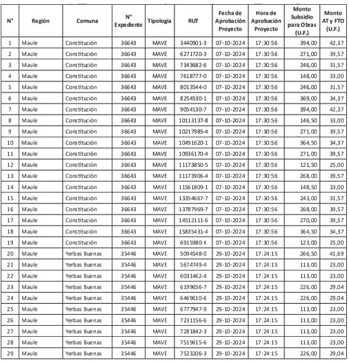
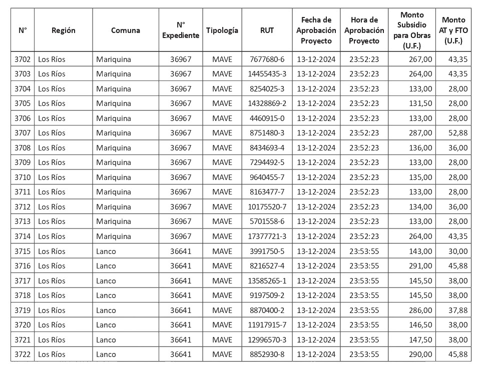
2. Apruébase la nómina de familias que han sido seleccionadas para el otorgamiento de subsidios habitacionales del Programa de Habitabilidad Rural en su título II, regulado por el DS Nº 10 (V. y U.), de 2015, correspondientes al llamado a postulación nacional en condiciones especiales, regulado por la resolución exenta citada en el visto d), la que se adjunta a la presente resolución y se entenderá como parte integrante de ésta.
3. Asignánse los recursos disponibles para la selección referida en el resuelvo 2. precedente, cuya distribución por región se detalla en la siguiente tabla:

4. Impútase el monto total de 925.807,58 Unidades de Fomento señaladas en el cuadro inserto en el resuelvo 3. precedente, a los recursos disponibles para las regiones de Arica y Parinacota, Valparaíso, Metropolitana, Maule, Ñuble, Biobío, La Araucanía, Los Ríos, Los Lagos y Aysén, en el Programa de Habitabilidad Rural correspondiente al año 2024.
5. Facúltase a las Seremi Minvu de las regiones de Arica y Parinacota, Valparaíso, Metropolitana, Maule, Ñuble, Biobío, La Araucanía, Los Ríos, Los Lagos y Aysén, para rectificar errores de digitación en el proceso del llamado a postulación nacional en condiciones especiales, regulado por la resolución exenta citada en el visto d), pudiendo la Seremi, corregir nombres y números de cédula de identidad de los postulantes/beneficiarios, número de expediente y rectificar los montos de subsidios asignados.
Si la rectificación del subsidio supone un aumento del monto del proyecto, sólo podrá asignarse hasta el valor máximo esta blecido en el llamado regulado mediante la resolución exe nta Nº 762 (V. y U.), de fecha 28 de mayo de 2024 y será imputado a la región respectiva en el año del programa habitacional vigente. En tales casos, y previo a la emisión de la resolución de asignación de recursos, la Seremi Minvu deberá contar con la confirmación de disponibilidad de programa, que será otorgada por la División de Política Habitacional.
Anótese, publíquese y archívese.- Carlos Montes Cisternas, Ministro de Vivienda y Urbanismo.
Lo que transcribo para su conocimiento.- Gabriela Elgueta Poblete, Subsecretaria de Vivienda y Urbanismo.
ANEXO FAMILIAS SELECCIONADAS
LLAMADO A POSTULACIÓN PARA MEJORAMIENTO Y AMPLIACIÓN DE VIVIENDAS EXISTENTES Y MEJORAMIENTO DEL ENTORNO Y EQUIPAMIENTO COMUNITARIO, REGULADO POR LA RESOLUCIÓN EXENTA N°762, (V. Y U.), DE 2024 PROGRAMA HABITABILIDAD RURAL D.S. N°10, (V. Y U.), DE 2015









































































