1. Modifícase la resolución exenta N° 324 (V. y U.), de 2024, en el sentido de reemplazar la tabla inserta en su resuelvo 2. por la siguiente:

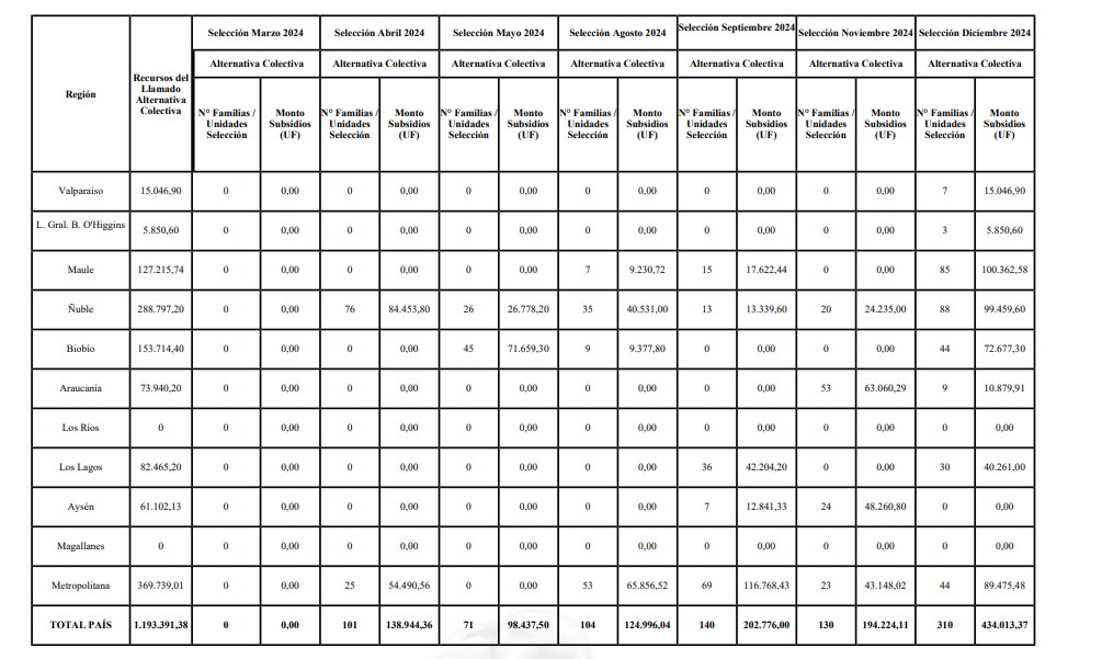
2. Modifícase la resolución exenta N° 248 (V. y U.), de 2025, en el sentido de reemplazar en la tabla Alternativa Colectiva inserta en su Resuelvo 5., en las filas correspondientes a la Región del L. Gral. B. O'Higgins, y a la Región Metropolitana, y en la fila "TOTAL PAÍS", todas de la columna "Recursos del Llamado Alternativa Colectiva", los valores 5.661,60, 366.967,01 y 1.190.430,38, por 5.850,60, 369.739,01 y 1.193.739,01, respectivamente, quedando la tabla actualizada de la siguiente forma:


3. Establécese que las resoluciones exentas citadas en los vistos c) y d), se mantendrán vigentes en todo aquello que no ha sido modificado por la presente resolución.