SUSPENDE DE OFICIO EL COBRO DE PATENTES POR NO UTILIZACIÓN DE LAS AGUAS RESPECTO DE LOS NUMERALES Y RESOLUCIONES QUE INDICA
Núm. 1.686 exenta.- Santiago, 13 de mayo de 2025.
Vistos:
1. La resolución DGA (exenta) N° 3.592, de fecha 29 de diciembre de 2021, que fija el listado de derechos de aprovechamiento de aguas afectos a pago de patentes por no uso, proceso de cobro 2022;
2. La resolución DGA (exenta) N° 3.847, de fecha 29 de diciembre de 2022, que fija el listado de derechos de aprovechamiento de aguas afectos a pago de patentes por no uso, proceso de cobro 2023;
3. La resolución DGA (exenta) N° 3.978, de fecha 28 de diciembre de 2023, que fija el listado de derechos de aprovechamiento de aguas afectos a pago de patentes por no uso, proceso de cobro 2024;
4. La resolución DGA (exenta) N° 4.155, de 30 de diciembre de 2024, que fija el listado de derechos de aprovechamiento de aguas afectos a pago de patentes por no uso, proceso de cobro 2025;
5. La resolución DGA (exenta) N° 2.252, de 8 de agosto de 2024, que suspende de oficio la ejecución de la resolución DGA (exenta) N° 3.978 de 28 de diciembre de 2023, proceso de cobro 2024;
6. Lo dispuesto en el artículo 137 del Código de Aguas;
7. Lo dispuesto en el artículo 57 de la ley N° 19.880, que Establece Bases de los Procedimientos Administrativos que rigen los Actos de los Órganos de la Administración del Estado;
8. El dictamen de la Contraloría General de la República N° 836 de 2012;
9. Lo dispuesto en el artículo 8 inciso primero de la ley 18.575, de Bases Generales de la Administración del Estado, en relación al artículo 62 de la ley 19.880 que establece Bases de los Procedimientos Administrativos que rigen los Actos de los Órganos de la Administración del Estado;
10. La resolución DGA (exenta) N° 276, de 22 de febrero de 2021, que Aprueba Convenio de Cooperación Institucional entre la Tesorería General de la República y la Dirección General de Aguas;
11. El oficio Ord. N° 132, de fecha 22 de octubre de 2024, que remite antecedentes de patentes canceladas por Juez Civil, evacuado por la Tesorería General de la República;
12. La resolución DGA (exenta) N° 121, de 20 de enero de 2023;
13. La resolución DGA (exenta) N° 337 de 30 de enero de 2025;
14. La resolución DGA (exenta) RA 116/46/2025 de 27 de enero de 2025;
15. La resolución C.G.R. N° 36, de 19 de diciembre de 2024, que fija normas sobre exención del trámite de toma de razón;
16. Lo dispuesto en los artículos 129 bis 4 y siguientes, 136, 139 y 299, todos del Código de Aguas;
17. La atribución que me confiere el artículo 300 literal c) del Código de Aguas, y
Considerando:
1. Que, mediante la resolución DGA (exenta) N° 4.155 de 30 de diciembre de 2024, se fijó el listado de derechos de aprovechamiento de aguas afectos a pago de patentes por no utilización de las aguas, para el proceso de cobro 2025.
2. Que, a su vez, el artículo 129 bis 7 del Código de Aguas dispone, que el pago de la patente se efectuará dentro del mes de marzo de cada año, y que la Dirección General de Aguas publicará el 15 de enero de cada anualidad o el primer día hábil inmediato si aquél fuere feriado, en el Diario Oficial y en los otros medios que indica, la resolución que contenga el listado de los derechos afectos a esta obligación, en las proporciones que correspondan, con la información que detalla, y que esa publicación se considerará como notificación suficiente para los efectos de lo dispuesto en el artículo 129 bis 10 del mismo Código, relativo a los recursos que se indican.
3. Que, enseguida, el artículo 129 bis 11 previene que si el titular del derecho de aprovechamiento no pagare la patente dentro del plazo establecido en el artículo 129 bis 7 -esto es, dentro del mes de marzo de cada año-, se iniciará un procedimiento judicial para efectuar su remate público.
4. Que, en el mismo sentido, el artículo 129 bis 12 preceptúa que antes del 1° de junio de cada año, el Tesorero General de la República enviará a los juzgados competentes la nómina de los derechos de aprovechamiento de aguas cuyas patentes no hayan sido pagadas, especificando su titular y el monto adeudado, para efectos de iniciar el procedimiento de cobranza, añadiendo que dicha nómina tendrá mérito ejecutivo y deberá indicar, a lo menos, las menciones que detalla.
5. Que, es importante tener a la vista que, durante el mes de junio del año 2022, 2023 y 2024, se dio inicio al procedimiento de cobranza judicial, ante los Juzgados de Letras y de Garantía por la Tesorería General de la República, a nivel nacional, para dar cumplimiento a lo señalado en el artículo 129 bis 12 previamente individualizado, respecto a los numerales impagos de la resolución DGA (exenta) N° 3.592, de 29 de diciembre de 2021, rectificada mediante resolución DGA N° 17, de 5 de enero de 2022; por resolución DGA (exenta) N° 3.847, de 29 de diciembre de 2022, rectificada mediante resolución DGA N° 19, de 6 de enero de 2023; y por resolución DGA (exenta) N° 3.978, de fecha 28 de diciembre de 2023, respecto a los procesos de pago 2022, 2023 y 2024, respectivamente.
6. Que, cabe tener en consideración que el artículo 129 bis 13°, en su inciso tercero señala que: "Si el adjudicatario no enterare el precio de la subasta dentro del plazo de quince días contado desde la fecha del remate, la adjudicación quedará sin efecto por el solo ministerio de la ley y el juez hará efectiva la garantía a beneficio fiscal. En ese mismo acto, el juez ordenará cancelar total o parcialmente las correspondientes inscripciones del Registro de Propiedad de Aguas del Conservador de Bienes Raíces competente y enviará copia de dicha resolución a la Dirección General de Aguas. La deuda se entenderá extinta una vez inscrita la cancelación ordenada por el juez. Por el solo ministerio de la ley quedarán libres las aguas para ser reservadas de conformidad con el artículo 5 ter o disponibles para la constitución de nuevos derechos de aprovechamiento de conformidad con las normas generales, priorizando los usos de subsistencia y preservación eco-sistémica.".
7. Que, adicionalmente, el mismo artículo 129 bis 13 del Código de Aguas, en relación con las subastas sin postores, hace extensible la sanción descrita en el anterior considerando al preceptuar que "En aquellos casos en que no se presentaren postores el día señalado para el remate, el juez deberá proceder de conformidad con lo dispuesto en el inciso tercero. En aquellos casos en que el Fisco se adjudique el derecho de aprovechamiento de aguas y su representante manifieste que lo hace en favor de un servicio público para el desarrollo de un proyecto específico o para los fines contemplados en el artículo 5 bis, el derecho de aprovechamiento de las aguas podrá asignarse a dicho servicio a excepción de la Dirección General de Aguas. En caso contrario, se procederá de conformidad con lo dispuesto en el inciso tercero".
8. Que, tal como se señala en los considerandos anteriores, para que produzca efecto la cancelación, necesariamente debe inscribirse en el Registro de Propiedad de Aguas del Conservador de Bienes Raíces competente.
9. Que, conforme a los antecedentes que se tuvieron a la vista, el Servicio determinó la existencia de 952 numerales que habían sido rematados en el proceso de patentes 2022, los cuales se encontraban en la hipótesis de cancelación sin inscripción conservatoria por haber sido rechazas por el Conservador de Bienes Raíces competente, dictándose en su mérito la resolución DGA (exenta) N° 2.252, de 8 de agosto de 2024, que suspende de oficio la ejecución de la resolución DGA (exenta) N° 3.978 de 28 de diciembre de 2023, proceso de cobro 2024, respecto de los numerales en ella reseñados.
10. Que, posteriormente, mediante oficio ord. N° 132, de fecha 22 de octubre de 2024, remitido por la Tesorería General de la República, se informó de la existencia de nuevos numerales cancelados a dicha fecha, que habían sido rechazados por el Conservador de Bienes Raíces competente por problemas en la inscripción conservatoria informada.
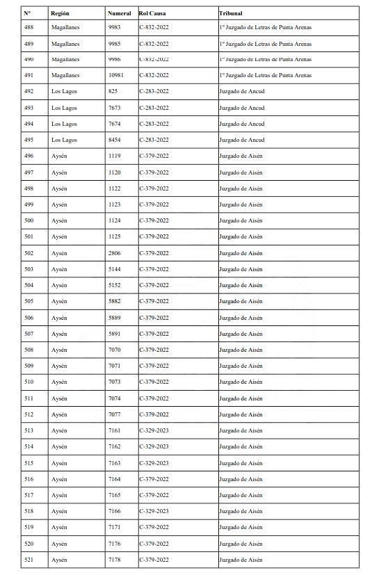
11. Que, tras el exhaustivo análisis de los antecedentes con los que cuenta la Dirección General de Aguas, lo informado por la Tesorería General de la República, y aquella documentación aportada por los administrados mediante sus presentaciones de recursos de reconsideración en contra de la resolución DGA (exenta) N° 3.978, de 28 de diciembre de 2023, que fijó el listado de derechos de aprovechamiento de aguas afectos a pago de patente por no uso, proceso de cobro 2024, fue posible establecer que respecto de los siguientes derechos de aprovechamiento de aguas, los Tribunales Ordinarios de Justicia han ordenado la cancelación de sus inscripciones conservatorias en los procesos de cobros 2022, 2023 y 2024, pero aquella no se ha materializado en los Conservadores de Bienes Raíces competentes por problemas en su registro o inexistencia del dato correspondiente, detallándose a continuación en la siguiente tabla que contiene la región, numeral, rol de la causa y tribunal competente:





























12. Que, este Servicio no ha tenido a la vista antecedente alguno que acredite que la actuación mencionada en el considerando octavo de la presente resolución se hubiese materializado para cancelar la inscripción de los derechos de aprovechamientos en el Registro de Propiedad de Aguas de los Conservadores de Bienes Raíces pertinentes, individualizados en la nómina antes señalada, en los términos del inciso 3° del artículo 129 bis 13 del Código de Aguas.
13. Que, la Dirección General de Aguas, al no tener la competente inscripción de las respectivas cancelaciones en el Registro de Propiedad de Aguas del Conservador de Bienes Raíces competente, está impedida de eliminar del listado de derechos de aprovechamiento de aguas afectos a pago de patente, debiendo incluirlas en futuros listados, a pesar de la orden de los Tribunales de Justicia, afectando a aquellas personas incluidas como titulares de los derechos de aprovechamiento afectos a pago de patente, a la Tesorería General de la República que debe volver a iniciar un proceso de cobranza sobre derechos previamente cancelados por orden de un Tribunal de la República y a la propia Dirección General de Aguas, que debe volver a incluirlas en futuros listados.
14. Que, el artículo 137, inciso final, del Código de Aguas, establece que: "Los recursos de reconsideración y reclamación no suspenderán el cumplimiento de la resolución, salvo orden expresa que disponga la suspensión".
15. Que, por otra parte, el inciso segundo del artículo 57 de la ley 19.880, dispone: "Con todo, la autoridad llamada a resolver el recurso, a petición fundada del interesado, podrá suspender la ejecución cuando el cumplimiento del acto recurrido pudiere causar daño irreparable o hacer imposible el cumplimiento de lo que se resolviere, en caso de acogerse el recurso".
16. Que, a su vez, conforme el Dictamen de la Contraloría General de República N° 836 de 2012, "Es posible advertir que la interposición de un recurso administrativo suspende los efectos del acto impugnado únicamente si así lo dispone la autoridad que conoce de aquél, en el evento que concurra alguno de los supuestos previstos en el citado inciso segundo del artículo 57 de la ley N° 19.880, suspensión que, según lo precisado por el dictamen N° 60.656, de 2011, no sólo podrá ser ordenada a petición fundada del interesado, conforme a lo señalado en el mismo precepto, sino también de oficio, por cuanto el artículo 8°, inciso primero, de la ley N° 18.575, establece que los órganos de la Administración del Estado actuarán por propia iniciativa o a solicitud de parte, y porque el artículo 32, inciso primero, de la citada ley N° 19.880, previene que el órgano administrativo podrá adoptar las medidas provisionales que estime oportunas para asegurar la eficacia de la decisión que pudiera recaer, si existiesen elementos de juicio suficientes para ello".
17. Que, en virtud a todas las consideraciones expuestas en el cuerpo de la presente resolución, este Servicio ha tomado la determinación de suspender de oficio el cobro de patente de los numerales mencionados en el considerando octavo, respecto de la resolución DGA (exenta) N° 4.155, de fecha 30 de diciembre de 2024, proceso de cobro 2025, atendiendo a lo dispuesto en el artículo 32, inciso primero, de la ley N° 19.880 que Establece Bases de los Procedimientos Administrativos que Rigen los Actos de los Órganos de la Administración del Estado.
Resuelvo:
1. Suspéndase de oficio los efectos de la resolución DGA (exenta) N° 4.155, de fecha 30 de diciembre de 2024, que fijó el listado de derechos de aprovechamiento de aguas afectos al pago de patente a beneficio fiscal por no utilización de las aguas, proceso 2025, en el sentido de suspender el cobro de los siguientes numerales: 240, 3898, 3952, 3954, 3955, 3957, 3976, 3982, 5997, 5998, 6041, 6047, 6574, 6575, 6577, 6579, 6580, 6581, 6582, 6583, 6584, 6585, 6586, 8041, 9240, 11080, 11081, 272, 280, 326, 341, 381, 2599, 2628, 3021, 4273, 4280, 5229, 6331, 6514, 6529, 6874, 7350, 8047, 8049, 8095, 8098, 9035, 10099, 10669, 6449, 7382, 9048, 422, 425, 2304, 4178, 4321, 4322, 6885, 6886, 6887, 6888, 6889, 7445, 8191, 8192, 8197, 8198, 8199, 8200, 8649, 8650, 9077, 9078, 9785, 9786, 9787, 9792, 9793, 9802, 9808, 9809, 9840, 9858, 9859, 9868, 9957, 9969, 10130, 10704, 10705, 10826, 10827, 11423, 11453, 11555, 478, 493, 527, 6923, 7592, 10583, 611, 4358, 4392, 4401, 6431, 7471, 7477, 8763, 8764, 8765, 8766, 8767, 8777, 621, 642, 648, 664, 667, 668, 669, 680, 690, 720, 726, 727, 733, 734, 766, 3574, 3784, 3794, 3795, 3977, 3978, 4013, 4052, 4095, 4105, 4106, 4107, 4109, 4469, 4478, 4481, 4482, 4488, 4493, 4500, 4501, 4502, 4670, 4671, 4672, 4673, 4674, 4675, 4685, 4702, 4720, 4731, 4734, 4735, 4740, 4741, 4752, 4753, 4756, 4759, 4772, 4774, 4779, 4807, 4810, 4815, 4824, 4826, 4829, 4842, 4865, 4889, 4892, 4916, 4932, 4934, 5242, 5248, 5251, 5252, 5254, 5256, 5257, 5258, 5621, 5622, 5623, 5624, 5690, 5800, 5804, 5806, 6554, 8867, 8868, 10055, 10626, 10629, 10630, 11218, 11303, 11580, 936, 941, 945, 946, 947, 948, 951, 953, 971, 972, 973, 976, 977, 978, 989, 990, 991, 992, 996, 997, 998, 999, 1000, 1001, 1004, 1007, 1022, 1023, 1031, 1054, 1058, 1064, 1083, 1093, 1095, 1102, 1103, 1104, 1105, 1106, 1110, 1111, 2222, 2223, 2224, 2230, 2259, 2260, 2261, 2262, 3069, 3070, 3071, 3076, 3077, 3078, 3079, 3102, 3108, 3109, 3129, 3383, 3393, 3414, 3423, 3438, 3440, 3468, 3476, 3493, 3508, 3532, 3540, 3964, 3994, 4189, 4225, 4980, 5039, 5040, 5052, 5062, 5063, 5086, 5092, 5285, 5286, 5287, 5288, 5289, 5290, 5291, 5292, 5820, 5822, 5823, 5825, 5826, 6601, 6609, 6620, 6621, 6633, 6644, 6679, 6680, 6687, 6700, 6939, 6940, 6942, 6944, 6945, 8912, 8915, 8925, 8928, 8929, 8937, 8938, 9176, 9177, 9219, 9220, 9399, 9407, 9408, 9413, 9497, 9498, 9705, 9708, 9709, 9717, 9718, 9719, 9720, 9721, 9722, 9723, 9734, 9735, 9736, 9737, 9831, 9834, 10009, 10010, 10303, 10453, 10454, 10455, 10456, 10640, 10641, 10642, 10643, 10759, 10760, 10761, 10762, 10772, 10773, 10775, 10776, 10781, 10782, 10783, 10784, 10785, 10786, 10787, 10788, 10789, 10790, 10901, 10902, 10903, 10916, 10917, 10918, 10919, 10936, 11484, 11487, 11577, 881, 896, 909, 2216, 2394, 3180, 3194, 3201, 3207, 3216, 3223, 3233, 3238, 3247, 3249, 3251, 3258, 3260, 3262, 3269, 3271, 3279, 3286, 3294, 3334, 5231, 5232, 5247, 5847, 5865, 6879, 7034, 7035, 7043, 7047, 7145, 7148, 7149, 7710, 7717, 7721, 7738, 7739, 7756, 7757, 7758, 7759, 7760, 8448, 8455, 8460, 8871, 8877, 8886, 8893, 9164, 9165, 9386, 9652, 9672, 9673, 9674, 9699, 9702, 10319, 10333, 10334, 10335, 10417, 10794, 10795, 10948, 10953, 10997, 10998, 11030, 11031, 11036, 11037, 11321, 7212, 8359, 8373, 10368, 11290, 11291, 1143, 1144, 9983, 9985, 9986, 10981, 825, 7673, 7674, 8454, 1119, 1120, 1122, 1123, 1124, 1125, 2806, 5144, 5152, 5882, 5889, 5891, 7070, 7071, 7073, 7074, 7077, 7161, 7162, 7163, 7164, 7165, 7166, 7171, 7176, 7178, 7179, 7180, 7181, 7187, 7189, 7192, 7193, 7768, 7769, 7771, 7918, 7919, 7982, 7983, 8353, 8354, 9514, 9901, 9902, 10808, 10809, 10963, 10964, 11202, 11343, 11378, 11379, 11382, 11383, 11408, 11446, 11447, 11448, 295, 359, 384, 2360, 2611, 7391, 8591, 7669, 7670, 11826, 11827, 7032, 7033, 7040, 7749, 7751, 7763, 7764, 8462, 8463, 10317, 10318, 10326, 10995, 10996, 11050, 11051, 11332, 11334, 11337, 11338, 11339, 11341, 11433, 11435, 11436, 11437, 11438, 11439, 11440, 11450, 11466, 11467, 11891, 11892, 11893, 11894, 11895, 11896, 11897, 11898, 11903, 11904, 11905, 11906, 11907, 11908, 11909, 11910, 11911, 5178, 5179, 7099, 8350, 8356, 8369, 8370, 8371, 8372, 10976, 10977, 8724, 8725, 3321, 3343, 7668, 7072, 7080, 7081, 7207, 7773, 8347, 9903, 10810, 10811, 10812, 10813, 10965, 11449, 11462, 7104, 7105, 7106, 7112, 7113, 7790, 7791, 7792, 8341, 8342, 8345, 8362, 8363, 8364, 8365, 8366, 8367, 8368, 8383, 8384, 8385, 8386, 8387, 8388, 1131, 1133, 1134, 1135, 1136, 2808, 5171, 5875, 7089, 7090, 7091, 7092, 7093, 7096, 7197, 7203, 7204, 7205, 7208, 7213, 7215, 7217, 7780, 8357, 9982, 10376, 10377, 10378, 10379, 10380, 10469, 10477, 10479, 10480, 10490, 10491, 10493, 10494, 10495, 10496, 10497, 10498, 11360, 9050, 10742, 10743, 4213, 7555, 7556, 7559, 7560, 7561, 7562, 7564, 7575, 7576, 7581, 7584, 7604, 7612, 7613, 7614, 7617, 7637, 7638, 7639, 7640, 7652, 8697, 8698, 9312, 9738, 9739, 9755, 820, 7671, 7672, 10806, 10807, 6877, 7031, 7045, 7049, 7050, 7051, 7156, 7761, 11044, 11045, 11046, 11047, 11327, 11421, 2213, 4974, 9395, 10972, 10973, 5537, 7483, 7484, 7485, 8768, 8769, 10740, 10741, 346, 2542, 7880, 8092, 8195, 8196, 9800, 9801, 11452, 11454, 5588, 8778, 8779, 10744, 10745, 10746, 10747, 4323, 449, 496, 5529, 6301, 7553, 7554, 7565, 7566, 7572, 7615, 7616, 7618, 7619, 10709, 10346, 10363, 895, 897, 904, 914, 2252, 3234, 3248, 3250, 3266, 3273, 3281, 3301, 3357, 3362, 4982, 5126, 5138, 5837, 5848, 5864, 7719, 7720, 7727, 7730, 7731, 228, 7735, 229, 7740, 230, 7741, 245, 7742, 246, 1519, 6004, 7744, 6007, 7745, 6064, 7747, 6065, 9647, 7905, 9648, 7906, 7907, 7908, 7909, 7910, 7911, 7912, 7916, 8409, 8410, 8411, 8412, 8413, 8414, 10024, 10414, 10415, 10416, 11316, 11333, 7441, 7446, 4180, 4476, 7746, 8406, 8872, 10993, 10994, 10799, 10800, 826, 827, 7676, 342, 7359, 11298, 10341, 10817, 10818, 10819, 10820, 11344, 11377, 7610, 7611, 8300, 8305, 8306, 8307, 8308, 8696, 1357, 6836, 8131, 9061, 11107, 5585, 5586, 9638, 911, 913, 10941, 10942, 10422, 10423, 482, 3690, 4115, 4751, 8987, 8988, 8989, 8990, 8991, 10362, 2181, 11209, 11370, 4936, 4937, 7917, 5173, 5175, 8087, 8088, 11986, 11989, 11990, 11991 y 1992.
2. Téngase presente, que la suspensión establecida en la presente resolución podrá dejarse sin efecto por razones de oportunidad, mérito o conveniencia, en la medida que nuevos antecedentes o circunstancias lo hagan aconsejable.
3. Publíquese la presente resolución, por una sola vez en el Diario Oficial.
4. Comuníquese lo resuelto a la Tesorería General de la República (TGR) por parte del Departamento de Fiscalización de la Dirección General de Aguas, en los términos suscritos en el Convenio de Cooperación Institucional entre la Tesorería General de la República y la Dirección General de Aguas de fecha 14 de diciembre de 2020, aprobado por la Dirección General de Aguas según consta en la resolución DGA (exenta) N° 276, de 22 de febrero de 2021.
5. Comuníquese la presente resolución a las Direcciones Regionales de la Dirección General de Aguas; al Departamento de Información de Recursos Hídricos; a la División Legal; al Departamento de Fiscalización, y demás oficinas de la Dirección General de Aguas que corresponda.
Anótese, publíquese y comuníquese.- María Inés Cartes Martínez, Jefatura (S), Departamento de Fiscalización.