FIJA PRECIOS A NIVEL DE GENERACIÓN Y TRANSMISIÓN EN SISTEMAS MEDIANOS DE PUNTA ARENAS, PUERTO NATALES, PORVENIR Y PUERTO WILLIAMS, Y ESTABLECE SU PLAN DE EXPANSIÓN
Santiago, 1 de julio de 2024.- Con esta fecha se ha decretado lo que sigue:
Núm. 8T.
Vistos:
Lo dispuesto en el artículo 35 del decreto supremo N° 100, de 2005, del Ministerio Secretaría General de la Presidencia, que fija el texto refundido, coordinado y sistematizado de la Constitución Política de la República; en los artículos 173° y siguientes del decreto con fuerza de ley N° 4/20.018, que fija el texto refundido, coordinado y sistematizado del decreto con fuerza de ley N° 1, de Minería, de 1982, Ley General de Servicios Eléctricos, en materia de energía eléctrica, en adelante "Ley"; en el decreto ley N° 2.224, de 1978, del Ministerio de Minería, que crea el Ministerio de Energía y la Comisión Nacional de Energía; en el decreto supremo N° 229, de 2005, del Ministerio de Economía, Fomento y Reconstrucción, que aprueba el reglamento de valorización y expansión de los Sistemas Medianos establecidos en la Ley General de Servicios Eléctricos; en el decreto supremo N° 23, de 2015, del Ministerio de Energía, que aprueba el reglamento de operación y administración de los Sistemas Medianos establecidos en la Ley General de Servicios Eléctricos; en el decreto supremo N° 4T, de 2018, del Ministerio de Energía, que fija peajes de distribución aplicables al servicio de transporte que presten las empresas concesionarias de servicio público de distribución de electricidad que se indican, en adelante "DS 4T/2018"; en el decreto supremo N° 5T, de 2024, del Ministerio de Energía, que fija fórmulas tarifarias aplicables a los suministros sujetos a precios regulados que se señalan, efectuados por las empresas concesionarias de distribución que se indican, en adelante "DS 5T/2024"; en la resolución exenta N° 120, de 3 de marzo de 2022, de la Comisión Nacional de Energía, en adelante "Comisión", que aprueba las bases definitivas para la realización de los estudios de los Sistemas Medianos de Aysén, Palena, General Carrera, Punta Arenas, Puerto Natales, Porvenir, Puerto Williams, Cochamó, Hornopirén y Puerto Cisnes, en adelante "resolución exenta N° 120"; en la resolución exenta N° 429, de 13 de junio de 2022, de la Comisión, que establece catastro de proyectos de generación y transmisión a que se refieren las bases definitivas para la realización de los estudios de los Sistemas Medianos de Aysén, Palena, General Carrera, Punta Arenas, Puerto Natales, Porvenir, Puerto Williams, Cochamó, Hornopirén y Puerto Cisnes, en adelante "resolución exenta N° 429"; en la carta EEMG N° 404/2022-G, de 28 de abril de 2022, mediante la cual Empresa Eléctrica de Magallanes S.A., Pecket Energy S.A. y Vientos Patagónicos SpA, en adelante "Empresas", remitieron a la Comisión el Informe Final de Estudio de Planificación y Tarificación de los Sistemas Medianos de Punta Arenas, Puerto Natales, Porvenir y Puerto Williams, realizado por la consultora Systep Ingeniería y Diseños S.A.; en el oficio CNE Of. Ord. N° 323, de 12 de mayo de 2022, de la Comisión, que comunica observaciones al Informe Final de los estudios de valorización y expansión de los Sistemas Medianos de Punta Arenas, Puerto Natales, Porvenir y Puerto Williams; en la carta EEMG N° 476/2022-G, de 18 de mayo de 2022, mediante la cual las Empresas remitieron a la Comisión una nueva versión del Informe Final del Estudio de Planificación y Tarificación de los Sistemas Medianos de Punta Arenas, Puerto Natales, Porvenir y Puerto Williams; en el oficio CNE Of. Ord. N° 346, de 25 de mayo de 2022, de la Comisión, que comunica recepción del Informe Final de los Estudios de Valorización y Expansión de los Sistemas Medianos de Punta Arenas, Puerto Natales, Porvenir y Puerto Williams; en la carta EEMG N° 667/2022-G, de 5 de julio de 2022, mediante la cual las Empresas remitieron a la Comisión una tercera y última versión del Informe Final del Estudio de Planificación y Tarificación de los Sistemas Medianos de Punta Arenas, Puerto Natales, Porvenir y Puerto Williams; en el oficio CNE Of. Ord. N° 457, de 13 de julio de 2022, de la Comisión, que comunica nueva recepción del Informe Técnico Final del Estudio de Planificación y Tarificación de los Sistemas Medianos de Punta Arenas, Puerto Natales, Porvenir y Puerto Williams y solicita lo que indica; en la resolución exenta N° 883, de 7 de diciembre de 2022, de la Comisión, que aprueba Informe Técnico del Estudio de Planificación y Tarificación de los Sistemas Medianos de Punta Arenas, Puerto Natales, Porvenir y Puerto Williams, Cuadrienio 2022 - 2026, en adelante "Resolución Exenta N° 883"; en el oficio CNE Of. Ord. N° 760, de 7 de diciembre de 2022, de la Comisión, que comunica Informe Técnico del Estudio de Planificación y Tarificación de los Sistemas Medianos de Punta Arenas, Puerto Natales, Porvenir y Puerto Williams, cuadrienio 2022 – 2026; en la cartas EEMG N°s. 1296/2022-G, CAR-PE-023-2022, de Empresa Eléctrica de Magallanes S.A y de Pecket Energy S.A., respectivamente, ambas de 29 de diciembre de 2023, y en los correos electrónicos de Vientos Patagónicos SpA, Innovación Energía S.A. y Empresa Nacional del Petróleo, todos de 29 de diciembre de 2022, mediante los cuales comunicaron sus observaciones al Informe Técnico aprobado por la resolución exenta N° 883; en la resolución exenta N° 364, de 11 de agosto de 2023, de la Comisión, que aprueba Informe Técnico Final del Estudio de Planificación y Tarificación de los Sistemas Medianos de Punta Arenas, Puerto Natales, Porvenir y Puerto Williams, cuadrienio 2022 – 2026, en adelante "resolución exenta N° 364"; en la cartas CAR-PE-019-2023, de Pecket Energy S.A., EEMG N° 831/2023-G, de Empresa Eléctrica de Magallanes S.A., y S/N de Vientos Patagónicos SpA, todas de 4 de septiembre de 2023, mediante las cuales las Empresas plantearon su desacuerdo respecto al Informe Técnico aprobado mediante resolución exenta N° 364; en el oficio CNE Of. Ord. N° 597, de 6 de septiembre de 2023, de la Comisión, que remite antecedentes y comunica al H. Panel de Expertos las materias en las cuales no se lograron acuerdos con las Empresas, respecto del Informe Técnico aprobado mediante resolución exenta N° 364; en el comunicado del H. Panel de Expertos, de 23 de octubre de 2023, mediante el cual se tuvo por desistida la discrepancia N° 48-2023; en el comunicado del H. Panel de Expertos, de 25 de octubre de 2023, el cual ordenó el archivo de los antecedentes y dio por terminada la discrepancia N° 49-2023; en el Dictamen N° 47-2023, de 28 de noviembre de 2023, del H. Panel de Expertos, respecto de la discrepancia presentada por la Empresa Eléctrica de Magallanes S.A. en relación con el Informe Técnico aprobado por la resolución exenta N° 364; en la resolución exenta N° 16, de 12 de enero de 2024, de la Comisión, que aprueba Informe Técnico Definitivo del Estudio de Planificación y Tarificación de los Sistemas Medianos de Punta Arenas, Puerto Natales, Porvenir y Puerto Williams, cuadrienio 2022-2026, en adelante "resolución exenta N° 16"; en el oficio C NE Of. Ord. N° 42/2024, de 12 de enero de 2024, de la Comisión, que remite el Informe Técnico Definitivo de "Estudio de Planificación y Tarificación de los Sistemas Medianos de Punta Arenas, Puerto Natales, Porvenir y Puerto Williams, cuadrienio 2022-2026"; en la resolución N° 7, de 2019, de la Contraloría General de la República; y
Considerando:
1. Que, en virtud de lo dispuesto en el artículo 174° de la Ley, los planes de expansión de las instalaciones de generación y de transmisión y los precios regulados a nivel de generación y de transmisión de cada sistema mediano, se determinarán, conjuntamente, cada cuatro años.
2. Que, mediante la resolución exenta N° 120, la Comisión aprobó las bases definitivas para la realización de los estudios de los Sistemas Medianos de Aysén, Palena, General Carrera, Punta Arenas, Puerto Natales, Porvenir, Puerto Williams, Cochamó, Hornopirén y Puerto Cisnes.
3. Que, de conformidad a lo señalado precedentemente, la Comisión con fecha 3 de marzo de 2022, mediante la antedicha resolución exenta N° 120, dio inicio al proceso de realización de los estudios de expansión y de costos de los Sistemas Medianos de Aysén, Palena, General Carrera, Punta Arenas, Puerto Natales, Porvenir, Puerto Williams, Cochamó, Hornopirén y Puerto Cisnes.
4. Que, mediante la carta EEMG N° 404/2022-G, de 28 de abril de 2022, las Empresas remitieron a la Comisión el Informe Final del Estudio de Planificación y Tarificación de los Sistemas Medianos de Punta Arenas, Puerto Natales, Porvenir y Puerto Williams, realizado por la consultora Systep Ingeniería y Diseños S.A.
5. Que, mediante oficio CNE Of. Ord. N° 323, de 12 de mayo de 2022, la Comisión comunicó observaciones al informe referido en el considerando precedente.
6. Que, en atención a lo señalado en el considerando precedente, mediante carta EEMG N° 476/ 2022-G, de 18 de mayo de 2022, las Empresas remitieron a la Comisión una nueva versión del Informe Final del Estudio de Planificación y Tarificación de los Sistemas Medianos de Punta Arenas, Puerto Natales, Porvenir y Pu erto Williams y adjuntaron antecedentes complementarios.
7. Que, mediante oficio CNE Of. Ord. N° 346, de 25 de mayo de 2022, la Comisión comunicó la recepción conforme del Informe Final del Estudio de Planificación y Tarificación de los Sistemas Medianos de Punta Arenas, Puerto Natales, Porvenir y Puerto Williams.
8. Que, sin perjuicio de la recepción conforme referida en el considerando precedente, a raíz de un proceso de revisión por parte del consultor Systep Ingeniería y Diseños S.A. relativo a los Costos Variables No Combustibles (CVNC) de algunas de las unidades de generación, y del hallazgo de pequeñas inconsistencias, las Empresas remitieron a la Comisión, mediante carta EEMG N° 667/2022-G, de 5 de julio de 2022, una versión actualizada del Informe Final del Estudio de Planificación y Tarificación de los Sistemas Medianos de Punta Arenas, Puerto Natales, Porvenir y Puerto Williams, junto con sus respectivos antecedentes complementarios.
9. Que, mediante el oficio CNE Of. Ord. N° 457, de 13 de julio de 2022, la Comisión comunicó la recepción conforme de la última versión del informe referido en el considerando precedente, a efectos de lo señalado en el artículo 177° de la Ley.
10. Que, mediante resolución exenta N° 833, la Comisión aprobó el Informe Técnico Preliminar del "Estudio de Planificación y Tarificación de los Sistemas Medianos de Punta Arenas, Puerto Natales, Porvenir y Puerto Williams, Cuadrienio 2022 – 2026", comunicándolo a las Empresas mediante oficio CNE Of. Ord. N° 760, de 7 de diciembre de 2022 .
11. Que, la Empresa Eléctrica de Magallanes S.A y Pecket Energy S.A. presentaron observaciones al Informe Técnico aprobado por resolución exenta N° 833, mediante cartas EEMG N° 1296/2022-G y N° CAR-PE-023-2022, respectivamente, todas de 29 de diciembre de 2022. Asimismo, en la misma fecha, las empresas Vientos Patagónicos SpA, Innovación Energía S.A. y Empresa Nacional del Petróleo presentaron observaciones al referido informe mediante correos electrónicos.
12. Que, mediante resolución exenta N° 364, la Comisión aprobó el Informe Técnico Final del Estudio de Planificación y Tarificación de los Sistemas Medianos de Punta Arenas, Puerto Natales, Porvenir y Puerto Williams, Cuadrienio 2022 – 2026, comunicándolo a las Empresas mediante el oficio CNE Of. Ord. N° 527, de 11 de agosto de 2023 .
13. Que, mediante las cartas CAR-PE-019-2023 de Pecket Energy S.A., EEMG N° 831/2023-G de Empresa Eléctrica de Magallanes S.A., y presentación S/N de Vientos Patagónicos SpA, todas de 4 de septiembre de 2023, las Empresas plantearon su desacuerdo respecto al Informe Técnico Final del Estudio de Planificación y Tarificación de los Sistemas Medianos de Punta Arenas, Puerto Natales, Porvenir y Puerto Williams, Cuadrienio 2022 – 2026.
14. Que, mediante oficio CNE Of. Ord. N° 597, de 6 de septiembre de 2023, la Comisión remitió al H. Panel de Expertos las materias en que no se había logrado acuerdo con las Empresas respecto del Informe Técnico Final del Estudio de Planificación y Tarificación de los Sistemas Medianos de Punta Arenas, Puerto Natales, Porvenir y Puerto Williams, Cuadrienio 2022 – 2026, aprobado mediante la resolución exenta N° 364, junto a los antecedentes respectivos.
15. Que, el H. Panel de Expertos a través de comunicado de 23 de octubre de 2023, tuvo por desistida la discrepancia ingresada al Sistema de Tramitación de Discrepancias con el N° 48-2023, planteada por la empresa Pecket Energy S.A. respecto del Informe Técnico Final del Estudio de Planificación y Tarificación de los Sistemas Medianos de Punta Arenas, Puerto Natales, Porvenir y Puerto Williams, Cuadrienio 2022 - 2026. Además, con la misma fecha, el H. Panel de Expertos, mediante comunicado ordenó el archivo y dio por terminada la discrepancia N° 49-2023, planteada por Vientos Patagónicos SpA respecto del referido Informe Técnico Final, en virtud del allanamiento de la Comisión a la totalidad de las materias discrepadas por esas empresas.
16. Que, el H. Panel de Expertos, a través del Dictamen N° 47-2023, de fecha 28 de noviembre de 2023, resolvió la discrepancia presentada por la Empresa Eléctrica de Magallanes S.A. en relación con el Informe Técnico Final del Estudio de Planificación y Tarificación de los Sistemas Medianos de Punta Arenas, Puerto Natales, Porvenir y Puerto Williams, cuadrienio 2022 - 2026.
17. Que, mediante oficio CNE Of. Ord N° 42/2024, de 12 de enero de 2024, de la Comisión, dicha entidad remitió a este Ministerio la resolución exenta N° 16, mediante la cual fue aprobado el Informe Técnico Definitivo del "Estudio de Planificación y Tarificación de los Sistemas Medianos de Punta Arenas, Puerto Nata les, Porvenir y Puerto Williams, Cuadrienio 2022-2026.
18. Que, se han cumplido todas las etapas y actuaciones previstas en la Ley para que se dicte el presente decreto.
Decreto:
Artículo primero: Fíjanse los siguientes precios a nivel de generación y transmisión, en adelante "precios de nudo", sus fórmulas de indexación y las condiciones de aplicación de los mismos, para los suministros de electricidad a que se refieren los artículos 174° y siguientes de la Ley, que se efectúen en los Sistemas Medianos de Punta Arenas, Puerto Natales, Porvenir y Puerto Williams. Estos precios se aplicarán desde la publicación del presente decreto en el Diario Oficial, sin perjuicio de su entrada en vigencia a contar del 1 de noviembre de 2022, conforme a lo dispuesto en el artículo 178° de la Ley, para efectos de las reliquidaciones señaladas en el inciso cuarto del mismo artículo.
1. PRECIOS DE NUDO
1.1 Precios de Nudo en Barras de Retiro
A continuación, se detallan los precios de nudo de energía y potencia de punta que se aplicarán a los suministros servidos en las barras de retiro para el nivel de tensión que se indica:
a) Sistema Punta Arenas:

b) Sistema Puerto Natales:

c) Sistema Porvenir:

d) Sistema Puerto Williams:

1.2 Fórmulas de Indexación
Las fórmulas de indexación aplicables a los precios de nudo en las barras de retiro de los Sistemas Medianos de Punta Arenas, Puerto Natales, Porvenir y Puerto Williams, son las siguientes:
1.2.1 Precio de Nudo de la Potencia

Donde:
IPCi: Índice de Precios al Consumidor, publicado por el Instituto Nacional de Estadísticas, correspondiente al segundo mes anterior a aquel en que se aplique la indexación.
IPC0: Índice de Precios al Consumidor, publicado por el Instituto Nacional de Estadísticas, correspondiente al mes de septiembre de 2022 (126,75).
CPIi: Consumer Price Index, publicado por el Bureau of Labor Statistics (BLS) del gobierno de los Estados Unidos de América, cuyo valor se encuentra en el sitio web: http://data.bls.gov/cgi-bin/srgat, Código BLS: CUUR0000SA0, identificación: "CONSUMER PRICE INDEX-ALL URBAN CONSUMERS (CPI)", o en su defecto, una nueva publicación que reemplace a la mencionada para efectos de la publicación de este índice, correspondiente al segundo mes anterior al mes en el cual se aplique la fórmula de indexación.
CPI0: Consumer Price Index, publicado por Bureau of Labor Statistics (BLS) del gobierno de los Estados Unidos de América, correspondiente al mes de septiembre de 2022 (296,808).
DOLi: Valor promedio del tipo de cambio observado para el dólar de los Estados Unidos de América, publicado por el Banco Central de Chile, correspondiente al segundo mes anterior a aquel mes en que se aplique la indexación en $/US$.
DOL0: Valor promedio del tipo de cambio observado del dólar de Estado Unidos de América , publicado en el Banco Central de Chile, correspondiente al mes de septiembre de 2022 (921,01 $/US$).
Los ponderadores de cada uno de los índices que componen la fórmula de indexación del precio de nudo de la potencia, son los que a continuación se indican:
i) Sistema Mediano de Punta Arenas:

ii) Si stema Mediano de Puerto Natales:

iii) Sistema Mediano de Porvenir:

iv) Sistema Mediano de Puerto Williams:

1.2.2 Precio de Nudo de la Energía
La fórmula de indexación del precio de nudo de la energía, así como la fuente y convención de cálculo de los índices se presenta a continuación:

Donde:
ΧE : Ponderador de la componente de costos variables y fijos asociado al precio de la energía.
ΧP : Ponderador de la componente de inversión asociado al precio de la energía.
IPCi : Índice de Precios al Consumidor, publicado por el Instituto Nacional de Estadísticas, correspondiente al segundo mes anterior a aquel en que se aplique la indexación.
IPC0 : Índice de Precios al Consumidor, publicado por el Instituto Nacional de Estadísticas, correspondiente al mes de septiembre de 2022 (126,75).
PGASi : Promedio del precio vigente del gas natural en Punta Arenas, Puerto Natales y Porvenir, y de gas licuado para el caso de Puerto Williams, en $/m3, ponderado por días de vigencia, de los últimos tres meses anteriores a aquel mes en que se aplique la indexación.
PGAS0 : Precio del gas natural en Punta Arenas, Puerto Natales y Porvenir, correspondiente al promedio del periodo agosto a octubre de 2022 (103,753 $/m3). Para el caso de Puerto Williams, corresponde al precio promedio del gas licuado del periodo agosto a octubre de 2022 (427.880 $/m3).
PDIESELi: Promedio del precio vigente del petróleo diésel en el Sistema Mediano correspondiente, en $/m3, ponderado por días de vigencia, de los últimos seis meses anteriores a aquel mes en que se aplique la indexación.
PDIESEL0: Precio del petróleo diésel en Punta Arenas, Puerto Natales, Porvenir y Puerto Williams, correspondiente al promedio del periodo mayo a octubre de 2022 (1.044.441 $/m3, 1.059.437 $/m3, 1.076.870 $/m3 y 822.578 $/m3, respectivamente).
CPIi : Consumer Price Index, publicado por el Bureau of Labor Statistics (BLS) del gobierno de los Estados Unidos de América, cuyo valor se encuentra en el sitio web: http://data.bls.gov/cgi-bin/srgat, Código BLS: CUUR0000SA0, identificación: "CONSUMER PRICE INDEX-ALL URBAN CONSUMERS (CPI)", o en su defecto, una nueva publicación que reemplace a la mencionada para efectos de la publicación de este índice, correspondiente al segundo mes anterior al mes en el cual se aplique la fórmula de indexación.
CPI0 :Consumer Price Index, publicado por Bureau of Labor Statistics (BLS) del gobierno de los Estados Unidos de América, correspondiente al mes de septiembre de 2022 (296,808).
DOLi : Valor promedio del tipo de cambio observado para el dólar de los Estados Unidos de América, publicado por el Banco Central de Chile, correspondiente al segundo mes anterior a aquel mes en que se aplique la indexación en $/US$.
DOL0 : Valor promedio del tipo de cambio observado del dólar de Estado Unidos de América, publicado por el Banco Central de Chile, correspondiente al mes de septiembre de 2022 (921,01 $/US$).
Los precios de combustibles aplicables en las fórmulas de indexación del precio de nudo de la energía serán los costos que informen Empresa Eléctrica de Magallanes S.A. e Innovación Energía S.A. a la Comisión, sin IVA.
Los ponderadores de cada uno de los índices que componen la fórmula de indexación del precio de nudo de la energía, son los que a continuación se indican:
i) Sistema Mediano de Punta Arenas:

ii) Sistema Mediano de Puerto Natales:

iii) Sistema Mediano de Porvenir:

iv) Sistema Mediano de Puerto Williams:

1.2.3 Factor de ajuste en caso de situaciones de restricción de gas natural
En caso de presentarse situaciones de restricción de gas natural en los Sistemas Medianos, será necesario aplicar un factor de corrección para el cálculo del precio de la energía a través del parámetro αrg que multiplique el precio de la energía base. Este parámetro será calculado en forma individual para cada uno de los Sistemas Medianos, y será comunicado por la Comisión una vez que sea instruido a ello por el Ministerio de Energía. Asimismo, la Comisión comunicará los nuevos valores resultantes de los costos variables medios totales de cada una de las empresas que operen las instalaciones de generación, y que serán aplicables durante el periodo de vigencia del factor αrg.
El parámetro αrg se define como el coeficiente que multiplica el precio de la energía base para incorporar la desviación que se haya presentado en los costos eficientes de generación debido al despacho de centrales diésel, gatillado por una restricción en el suministro de gas natural.

Donde:
costo diesel eficiente : Corresponde a la estimación de los costos eficientes por utilización de diésel, calculados a partir del parque generador determinado en el CTLP, generando el volumen de energía efectivamente producido con diésel debido a restricciones en la disponibilidad de gas natural durante los meses en que exista restricción de gas natural.
costo gas eficiente : Corresponde a la estimación de los costos eficientes por utilización de gas, calculados a partir del parque generador determinado en el CTLP, con el volumen de energía efectivamente generado durante los meses en que exista restricción de gas natural.
Pnindex : Corresponde al precio de energía indexado aplicable durante el siguiente período de indexación semestral, sin el factor αrg.
EProy : Corresponde a la energía proyectada para el período de vigencia del factor αrg.
Una vez que el Ministerio de Energía instruya el cálculo del factor αrg , este se determinará por la Comisión y tendrá un periodo de aplicación de 6 meses contados desde el inicio del siguiente periodo de indexación semestral de precio de nudo.
Para el período comprendido entre el 1 de noviembre de 2022 y el 30 de abril de 2023, el valor del factor αrg será igual a 1.
El factor αrg se deberá recalcular en cada indexación semestral siempre que se identifiquen meses con restricción de gas natural que no hayan sido considerados en el cálculo de factores αrg anteriores.
En el caso de que la restricción de gas se produzca con posterioridad al mes del último cálculo de indexación semestral del presente proceso tarifario, los mayores costos eficientes serán incluidos en el siguiente proceso tarifario.
Corresponderá a la Comisión establecer y comunicar periódicamente el valor de los índices contenidos en las fórmulas de indexación señaladas, así como el valor del αrg, para que Empresa Eléctrica de Magallanes S.A. o el Comité Coordinador, según corresponda, determine los valores de los precios de nudo de energía y de potencia de punta a ser aplicados. Para tal efecto, la Comisión informará la actualización de los índices antes mencionados, durante los meses de abril y octubre de cada año. En aquellos casos en que alguno de los índices dejase de estar vigente, la Comisión propondrá, mediante un informe técnico dirigido al Ministerio de Energía, el nuevo índice que mejor lo reemplace.
Sin perjuicio de lo anterior, las fórmulas de indexación se aplicarán según lo dispuesto en el artículo 172° de la Ley. En caso de presentarse una indexación extraordinaria durante el periodo de vigencia del Pnindex, se debe actualizar el valor del factor αrg solo por la variación de dicho precio de nudo, sin afectarse el periodo de vigencia original del factor αrg.
Finalmente, cada vez que Empresa Eléctrica de Magallanes S.A. o el Comité Coordinador, según corresponda, modifique sus tarifas, deberá comunicar los nuevos valores a la Comisión y a la Superintendencia de Electricidad y Combustibles, en adelante la "Superintendencia", y publicarlos en un diario de circulación nacional.
1.3 Seguridad y Calidad de Servicio
Las exigencias de Seguridad y Calidad de Servicio asociadas a los niveles tarifarios que establece el presente decreto corresponderán a las que estén contenidas en la norma técnica dictada para tal efecto.
2. CONDICIONES DE APLICACIÓN
2.1 Cliente
Se considerará cliente a toda empresa de servicio público de distribución que esté recibiendo suministro eléctrico de una empresa generadora, aunque no esté vigente un contrato entre las partes para ese objeto.
2.2 Entrega y medida
Cuando la medida se efectúe en un nivel de tensión o en un punto diferente al de entrega, ésta se afectará por un coeficiente que, tomando en consideración las pérdidas, las refiera a la tensión y punto de entrega. Si el suministro se entrega a través de líneas de terceros, serán de cargo del cliente los pagos en que se incurra por este concepto.
Si un mismo cliente recibe suministro en dos o más puntos de entrega, cada uno será facturado por separado, a los precios de nudo en la barra de retiro correspondiente.
2.3 Horas de punta y fuera de punta del sistema eléctrico
En los Sistemas Medianos de Punta Arenas, Puerto Natales, Porvenir y Puerto Williams, para los efectos de las disposiciones establecidas en el presente artículo, se entenderá por horas de punta el período del día comprendido entre las 17:00 y las 22:00 horas durante los meses de mayo, junio, julio, agosto y septiembre, exceptuándose los domingos, festivos y sábados inmediatamente siguientes a un día viernes festivo o anterior a un día lunes festivo de dichos meses. El resto de las horas del año serán fuera de punta.
En los Sistemas Medianos de Punta Arenas, Puerto Natales, Porvenir y Puerto Williams, para los efectos de las disposiciones establecidas en el correspondiente decreto que fije las fórmulas tarifarias aplicables a suministros de precio regulado efectuados por las empresas concesionarias de distribución, se entenderá por horas de punta el período del día comprendido entre las 17:00 y las 22:00 horas durante los meses de mayo, junio, julio, agosto y septiembre, exceptuándose, a solicitud del cliente, los días domingos, festivos y sábados inmediatamente siguientes a un día viernes festivo o anterior a un día lunes festivo de dichos meses, siempre y cuando y de ser necesario, el usuario asuma los costos de inversión correspondientes. El resto de las horas del año serán fuera de punta.
2.4 Determinación de la demanda máxima y del cargo por demanda máxima
Los clientes podrán optar por cualquiera de los sistemas de facturación que se indican a continuación:
1. Demanda máxima leída.
2. Potencia contratada.
En el caso que un cliente no opte por uno de los sistemas de facturación mencionados, la empresa vendedora le aplicará el sistema de facturación de demanda máxima leída. En todo caso, para los efectos de calcular la demanda de facturación que se señala en el numeral 2.4.1 siguiente, la empresa vendedora considerará el promedio de las dos más altas demandas máximas leídas, en horas de punta o fuera de punta, según corresponda, en los últimos 12 meses, incluido el mes que se factura, independientemente de que en algunos de estos meses el cliente hubiere tenido otro suministrador. Si el cliente tuviere simultáneamente potencias contratadas con otros suministradores, estas potencias se restarán de la demanda de facturación calculada como se indicó anteriormente. Si el cliente estuviere acogido al sistema de demanda máxima leída con varios suministradores simultáneamente, la demanda de facturación será prorrateada entre todos ellos en función de las potencias que tuvieren disponibles para abastecerlo.
Si un mismo cliente recibe energía en dos o más puntos de entrega, cuyos precios de nudo se calculan sobre la base de los precios de nudo en la misma barra de retiro, los clientes podrán solicitar al vendedor, o a los vendedores, que para los fines de facturación, se consideren las demandas máximas de cada punto afectadas por un coeficiente, para compensar el posible efecto de diversidad. El valor de dicho coeficiente se determinará conforme el aporte de cada punto de entrega a la demanda máxima del cliente, determinada ésta como la suma de las demandas individuales de cada punto de entrega. Las demás normas de aplicación a este respecto se establecerán de común acuerdo entre el vendedor, o los vendedores, y el cliente.
Los clientes tendrán el derecho de instalar a su cargo los equipos necesarios de medición y registro de demanda, en los grupos de puntos de suministro cuyos precios de nudo se calculen sobre la base de precios en la misma barra de retiro, para establecer mensualmente el factor de diversidad del grupo correspondiente. En este caso, la demanda máxima en horas de punta a considerar en cada punto de entrega, para fines de facturación, será su aporte a la demanda máxima conjunta del grupo. Asimismo, la demanda máxima en horas fuera de punta a considerar en cada punto de entrega, para fines de facturación, será su aporte a la demanda máxima conjunta en horas fuera de punta del grupo. La empresa vendedora tendrá acceso a los equipos para su control e inspección. Lo anterior será igualmente aplicable en el caso de más de un sum inistrador.
2.4.1 Demanda máxima leída
En esta modalidad de facturación se toman como referencia las demandas máximas leídas en horas de punta y en horas fuera de punta, aplicándose para el kW de demanda máxima leída en horas de punta el precio de nudo de la potencia de punta en el punto de entrega. Adicionalmente, la empresa compradora deberá convenir una potencia máxima conectada con la empresa vendedora.
En el caso que no existan o no hayan existido instrumentos que permitan obtener dichas demandas máximas directamente, la empresa vendedora las determinará mediante algún método adecuado.
Para los efectos de facturación se consideran los siguientes dos casos:
Caso a) : Empresas distribuidoras cuya mayor demanda máxima leída se produce en horas de punta.
Caso b) : Empresas distribuidoras cuya mayor demanda máxima leída se produce en horas fuera de punta.
Para la clasificación de las empresas distribuidoras en los casos a) o b) señalados anteriormente, se considerarán las demandas máximas leídas en los últimos 12 meses de consumo, incluido el mes que se factura.
Se entenderá por demanda máxima leída el más alto valor de las demandas integradas en períodos sucesivos de 15 minutos.
Para las empresas distribuidoras clasificadas en el caso a), la demanda de facturación, en la cual se basa el cargo mensual por demanda máxima, será el promedio de las dos más altas demandas máximas leídas en las horas de punta de los últimos 12 meses, incluido el propio mes que se factura.
Para las empresas distribuidoras clasificadas en el caso b), la facturación mensual de la demanda máxima incluirá los siguientes dos elementos que se sumarán en la factura:
1. Cargo por demanda máxima de punta, y
2. Cargo por demanda máxima fuera de punta.
La demanda de facturación, en la cual se basa el cargo por demanda máxima de punta, será el promedio de las dos más altas demandas máximas leídas en las horas de punta de los últimos 12 meses, incluido el propio mes que se factura.
La demanda de facturación, en la cual se basa el cargo por demanda máxima fuera de punta, será el promedio de las dos más altas demandas máximas leídas en las horas fuera de punta de los últimos 12 meses, incluido el propio mes que se factura.
El cargo por demanda máxima fuera de punta se aplicará a la diferencia entre la demanda de facturación fuera de punta y la demanda de facturación de punta. El precio que se aplicará a esta diferencia de demandas máximas será establecido de común acuerdo entre la empresa vendedora y la empresa compradora, y se basará en los costos adicionales en que incurra la empresa vendedora para suministrarla.
Para cualquier empresa, ya sea clasificada en el caso a) o en el caso b), si la demanda de facturación, dentro o fuera de punta, sobrepasa la potencia conectada, cada kW de exceso sobre dicha potencia se cobrará al doble del precio establecido.
Adicionalmente, si la potencia conectada es excedida en más de 2 días, en el período de un año, la empresa vendedora podrá obligar a la empresa compradora a redefinir la potencia conectada en forma inmediata por un monto igual a la suma de la potencia conectada vigente y del máximo exceso registrado, y cobrar los aportes reembolsables correspondientes.
Si la empresa compradora no contara con un dispositivo de medida de demanda en horas de punta, se considerará como demanda máxima leída en horas de punta, la registrada en cualquiera de las horas de cada uno de los mes es establecidos en el punto 2.3 referido a horas de punta y fuera de punta.
2.4.2 Potencia contratada
En esta modalidad de facturación, las empresas compradoras deberán contratar las demandas máximas que tendrán derecho a tomar en horas de punta y/o fuera de punta. La contratación de las potencias regirá por un período mínimo de un año y se realizará bajo las siguientes condiciones generales:
. Aquellas empresas cuya demanda máxima anual se produce durante las horas de punta, deberán contratar una potencia de punta.
. Aquellas empresas cuya demanda máxima anual se produce fuera de las horas de punta deberán contratar una potencia fuera de punta y una potencia de punta.
. La potencia de punta contratada se facturará mensualmente al precio de nudo de la potencia de punta en el punto de entrega.
. A las empresas que contraten potencia fuera de punta, por aquella parte en que la potencia fuera de punta excede de la potencia de punta, se les aplicará un precio establecido de común acuerdo entre la empresa vendedora y la empresa compradora. Dicho precio se basará en los costos adicionales en que incurra la empresa vendedora para suministrar la diferencia entre la potencia fuera de punta y la potencia de punta.
. Si en cualquier mes las demandas máximas registradas sobrepasan las potencias de contrato respectivas, por aquella parte que las demandas máximas excedan la potencia de contrato, la empresa vendedora podrá aplicar en ese mes un precio igual al doble del estipulado.
. De manera similar, si en cualquier mes la demanda máxima registrada de una empresa compradora, excede las sumas de las potencias contratadas con diferentes suministradores, este exceso de potencia será prorrateado entre las empresas vendedoras, en proporción a las potencias contratadas que el cliente tenga con cada una de ellas, quienes podrán aplicar en ese mes, a la proporción del exceso que les corresponda, un precio igual al doble del estipulado.
. Adicionalmente, si la potencia de contrato es excedida en más de 2 días, en el período de vigencia de la potencia contratada, la empresa vendedora podrá obligar a la empresa compradora a recontratar potencia en forma inmediata por un monto igual a la suma de la potencia contratada vigente, del exceso registrado y del crecimiento de la demanda máxima correspondiente verificada en el último año, siempre que este crecimiento sea positivo.
. Igualmente, si la suma de las potencias contratadas por una empresa compradora con los diferentes suministradores, es excedida en más de 2 días en el período de vigencia de las potencias contratadas, la empresa compradora estará obligada a recontratar potencia en forma inmediata por un monto igual a la suma de las potencias contratadas vigentes con los diferentes suministradores, del exceso registrado y del crecimiento de la demanda máxima verificada en el último año, siempre que este crecimiento sea positivo.
. En todo caso, la empresa vendedora no estará obligada a suministrar más potencia que las contratadas.
. Se entenderá por exceso registrado, a la diferencia entre la mayor demanda máxima leída, ocurrida en el período de vigencia hasta el momento en que se efectúa la recontratación obligada, y la potencia de contrato. El crecimiento registrado se obtendrá como la diferencia entre dicha demanda máxima leída y la mayor demanda máxima leída ocurrida en el período de vigencia anterior. El período máximo de vigencia de la potencia recontratada será de 12 meses. Los clientes podrán recontratar una nueva potencia con la respectiva empresa suministradora, la que regirá por un plazo mínimo de un año. Durante dicho período los clientes no podrán disminuir su potencia contratada sin el acuerdo de la empresa suministradora. Al término de la vigencia anual del contrato los clientes podrán recontratar la potencia.
3. ENERGÍA REACTIVA
3.1 Cargo por factor de potencia
En cada uno de los puntos de compra de toda empresa distribuidora de servicio público que esté recibiendo energía eléctrica de una empresa generadora, se deberá aplicar de manera horaria el siguiente procedimiento:
a) Medir y registrar energía activa, reactiva inductiva y reactiva capacitiva.
b) Calcular el cociente entre energía reactiva inductiva y energía activa.
c) Conforme al cociente anterior y de acuerdo al nivel de tensión del punto de compra, aplicar los cargos por energía reactiva inductiva correspondientes. Los valores de cargos por energía reactiva inductiva a emplear corresponderán a los establecidos en el punto referido a energía reactiva para el SEN-SING del Decreto de Precios de Nudo que se encuentre vigente.
Se exceptúa la aplicación de los cargos por energía reactiva inductiva para:
1. Las horas del período comprendido entre las 00:00 y 08:00 hrs. de cada día, y
2. Todas las horas de los días domingos o festivos.
3.2 Cargo por factor de potencia medio mensual
La facturación por consumos efectuados en instalaciones de clientes cuyo factor de potencia medio mensual sea inferior a 0,93, se cargará en un 1% por cada 0,01 en que dicho factor baje de 0,93.
La facturación por consumos efectuados en instalaciones de los clientes definidos en el DS 5T/2024, o el que lo reemplace, y en el DS 4T/2018, o el que lo reemplace, cuyo factor de potencia medio mensual sea inferior a 0,93, se cargará en un 1% por cada 0,01 en que dicho factor baje de 0,93. En el caso de los clientes en baja tensión cuyas tarifas correspondan a aquellas destinadas a usuarios residenciales definidos en el DS 5T/2024, o el que lo reemplace, la facturación se cargará en un 0%. La metodología de medición y cálculo del factor de potencia será la establecida en la normativa técnica aplicable al segmento de distribución.
3.3 Facturación de la energía reactiva
El cargo por energía reactiva que se aplique a la facturación de un mes cualquiera, será el más alto que resulte de comparar los cargos calculados de acuerdo con los numerales 3.1 y 3.2 precedentes.
4. PRECIOS DE NUDO APLICABLES A CLIENTES REGULADOS EN ZONAS DE CONCESIÓN DE EMPRESAS DISTRIBUIDORAS
Para efecto de la determinación de los precios de nudo a utilizar en las fórmulas tarifarias de concesionarios de servicio público de distribución, según lo establecido en el DS 5T/2024, o el que lo reemplace, se considerarán los precios que resultan de aplicar las siguientes fórmulas para cada concesionario y sector de nudo en donde se ubica el cliente de la empresa concesionaria, considerando la siguiente clasificación:

Para cada concesionario y sector de nudo los precios de nudo de energía y potencia se calcularán de la siguiente forma:

En que:
Pe : Precio de nudo de la energía correspondiente al cliente de acuerdo al sector en que éste se ubica, [$/kWh].
Pp : Precio de nudo de la potencia correspondiente al cliente de acuerdo al sector en que éste se ubica, [$/kW/mes].
PNEi : Precio de nudo de la energía para la barra de retiro i, explicitado en el artículo primero, numeral 1.1 del presente decreto [$/kWh].
PNPi : Precio de nudo de la potencia de punta para la barra de retiro i, explicitado en el artículo primero, numeral 1.1 del presente decreto [$/kW/mes].
Ni : Proporción del aporte de electricidad considerado para la barra de retiro i.
n : Número de barras de retiro consideradas en la determinación de los precios Pe y Pp correspondientes al cliente de acuerdo al sector en que éste se encuentra.
A continuación se indican los valores del parámetro Ni en cada una de las barras de retiro consideradas para efectos de representar los costos de generación-transporte en su estructura de precios a nivel de distribución.

El parámetro Ni será actualizado por la Comisión, en abril de cada año, con ocasión de la actualización de índices a que se refiere el artículo primero, numeral 1.2 del presente decreto.
5. PAGO DE LAS FACTURAS
Los clientes deberán pagar las facturas dentro del plazo de 20 días a contar de la fecha de su emisión, en las oficinas que se acuerden con la entidad suministradora.
6. GRAVÁMENES E IMPUESTOS
Las tarifas del presente decreto son netas y no incluyen el impuesto al valor agregado ni otros impuestos o tributos que sean de cargo de los clientes.
Artículo segundo: Determínase la construcción de las obras de generación y transmisión que se indican a continuación y fíjanse las siguientes condiciones para su ejecución.
1. EXPANSIÓN SISTEMA MEDIANO DE PUNTA ARENAS
Para el Sistema Mediano de Punta Arenas, la siguiente empresa será responsable de la ejecución y construcción de la obra de transmisión que a continuación se indica:

2. EXPANSIÓN SISTEMA MEDIANO DE PUERTO NATALES
Para el Sistema Mediano de Puerto Natales, la siguiente empresa será responsable de la ejecución y construcción de las obras de generación que a continuación se indican:

(*) = La capacidad instalada de generación deberá ser a lo menos la indicada en la presente tabla.
3. EXPANSIÓN SISTEMA MEDIANO DE PORVENIR
Para el Sistema Mediano de Porvenir, la siguiente empresa será responsable de la ejecución y construcción de las obras de gener ación que a continuación se indican:

(*) = La capacidad instalada de generación deberá ser a lo menos la indicada en la presente tabla.
4. EXPANSIÓN SISTEMA MEDIANO DE PUERTO WILLIAMS
Para el Sistema Mediano de Puerto Williams, la siguiente empresa será responsable de la ejecución y construcción de la obra de generación que a continuación se indica:

(*) = La capacidad instalada de generación deberá ser a lo menos la indicada en la presente tabla.
5. INICIO DE CONSTRUCCIÓN
Las obras de generación que deben comenzar su operación a partir del año 2025, deberán dar inicio a su construcción a lo menos seis meses antes de la fecha de entrada en operación que establece el presente decreto.
6. AUDITORÍA DE LA EJECUCIÓN Y CONSTRUCCIÓN
A más tardar 30 días después de que entre en operación cada uno de los proyectos identificados en el presente artículo, Empresa Nacional del Petróleo, Empresa Eléctrica de Magallanes S.A. e Innovación Energía S.A., según corresponda, deberán informar a la Comisión y a la Superintendencia, los resultados de la auditoría técnica que éstas contraten, para certificar el cabal cumplimiento de las exigencias del plan de expansión que establece el presente decreto.
Artículo tercero: Aplícanse los siguientes factores para efectos de la repartición de la recaudación por ventas de energía y potencia:
1. COSTOS VARIABLES MEDIOS TOTALES
Para efectos de la repartición de la recaudación por venta de energía y potencia a clientes regulados, el costo variable medio total de cada empresa generadora de los Sistemas Medianos de Punta Arenas, Puerto Natales, Porvenir y Puerto Williams, correspondiente al promedio ponderado por generación esperada de los costos variables unitarios de generación, combustibles y no combustibles, considerados en la determinación de tarifas de aquellas unidades de generación asignables a cada empresa, son los que se detallan a continuación:
I. Sistema Mediano de Punta Arenas

II. Sistema Mediano de Puerto Natales

III. Sistema Mediano de Porvenir

IV. Sistema Mediano de Puerto Williams

La fórmula de indexación del costo variable combustible medio, así como la fuente y convención de cálculo de los índices se presenta a continuación:

Donde:
PGASi: Promedio del precio vigente del gas natural en Punta Arenas, Puerto Natales y Porvenir, y de gas licuado para el caso de Puerto Williams, en $/m3, ponderado por días de vigencia, de los últimos tres meses anteriores a aquel mes en que se aplique la indexación.
PGAS0: Precio del gas natural en Punta Arenas, Puerto Natales y Porvenir, correspondiente al promedio del periodo agosto a octubre de 2022 (103,753 $/m3). Para el caso de Puerto Williams, corresponde al precio promedio del gas licuado del periodo agosto a octubre de 2022 (427.880 $/m3).
PDIESELi: Promedio del precio vigente del petróleo diésel en el Sistema Mediano correspondiente, en $/m3, ponderado por días de vigencia, de los últimos seis meses anteriores a aquel mes en que se aplique la indexación.
PDIESEL0: Precio del petróleo diésel en Punta Arenas, Puerto Natales, Porvenir y Puerto Williams, correspondiente al promedio del periodo mayo a octubre de 2022 (1.044.441 $/m3, 1.059.437 $/m3, 1.076.870 $/m3 y 822.578 $/m3, respectivamente).
Los precios de combustibles aplicables en las fórmulas de indexación de los costos variables combustibles serán los costos que informen Empresa Eléctrica de Magallanes S.A. e Innovación Energía S.A. a la Comisión, sin IVA.
Los ponderadores de cada uno de los índices que componen la fórmula de indexación del costo variable combustible medio, son los que a continuación se indican:

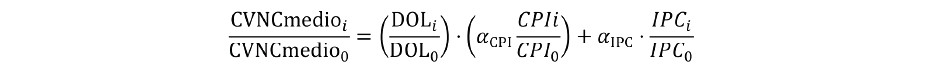
Asimismo, la fórmula de indexación del costo variable no combustible medio, así como la fuente y convención de cálculo de los índices se presenta a continuación:

Donde:
IPCi: Índice de Precios al Consumidor, publicado por el Instituto Nacional de Estadísticas, correspondiente al segundo mes anterior a aquel en que se aplique la indexación.
IPC0: Índice de Precios al Consumidor, publicado por el Instituto Nacional de Estadísticas, correspondiente al mes de septiembre de 2022 (126,75).
CPIi: Consumer Price Index, publicado por el Bureau of Labor Statistics (BLS) del gobierno de los Estados Unidos de América, cuyo valor se encuentra en el sitio web: http://data.bls.gov/cgi-bin/srgat, Código BLS: CUUR0000SA0, identificación: "CONSUMER PRICE INDEX-ALL URBAN CONSUMERS (CPI)", o en su defecto, una nueva publicación que reemplace a la mencionada para efectos de la publicación de este índice, correspondiente al segundo mes anterior al mes en el cual se aplique la fórmula de indexación.
CPI0: Consumer Price Index, publicado por Bureau of Labor Statistics (BLS) del gobierno de los Estados Unidos de América, correspondiente al mes de septiembre de 2022 (296,808).
DOLi: Valor promedio del tipo de cambio observado para el dólar de los Estados Unidos de América, publicado por el Banco Central de Chile, correspondiente al segundo mes anterior a aquel mes en que se aplique la indexación en $/US$.
DOL0: Valor promedio del tipo de cambio del dólar de los Estados Unidos de América, publicado por el Banco Central de Chile, correspondiente al mes de septiembre de 2022 (921,01$/US$).
Los ponderadores de cada uno de los índices que componen la fórmula de indexación del costo variable no combustible medio, para los Sistemas Medianos de Punta Arenas, Puerto Natales, Porvenir y Puerto Williams, son los que a continuación se indican:

2. FACTORES DE COSTOS DE INVERSIÓN Y ADMINISTRACIÓN
El factor de costos de inversión y administración de cada empresa generadora, que corresponde a la proporción que le resulta asignable a cada empresa de generación respecto del total de costos actualizados de inversiones en instalaciones de generación e infraestructura asociada al segmento de generación y de los costos de administración considerados en la determinación de la tarifa y que no se encuentren contemplados dentro de los costos variables medios, corresponden a los que se detallan a continuación:
I. Sistema Mediano de Punta Arenas

II. Sistema Mediano de Puerto Williams

(*) = Factor de Costos de Inversión y Administración con posterioridad a entrada en operación de la obra de generación referida en el artículo segundo numeral cuarto del presente decreto.
Por último, los costos de transmisión determinados a partir de la anualidad de la inversión y de los costos de operación, mantenimiento y administración de las empresas propietarias de instalaciones de transmisión que operan el Sistema Mediano de Punta Arenas, considerados en la determinación de la tarifa, son los que se presentan a continuación:
(*) = El costo de transmisión de Empresa Nacional de Petróleo, estará vigente una vez que entre en operación el proyecto individualizado en el artículo segundo, numeral primero, del presente decreto. Previo a ello, los costos de transmisión corresponden a aquellos individualizados para Empresa Eléctrica de Magallanes S.A. y Pecket Energy S.A.
La fórmula de indexación de los costos de transmisión del Sistema Mediano de Punta Arenas, así como la fuente y convención de cálculo de los índices se presenta a continuación:

Donde:
IPCi:Índice de Precios al Consumidor, publicado por el Instituto Nacional de Estadísticas, correspondiente al segundo mes anterior a aquel en que se aplique la indexación.
IPC0:Índice de Precios al Consumidor, publicado por el Instituto Nacional de Estadísticas, correspondiente al mes de septiembre de 2022 (126,75).
CPIi:Consumer Price Index, publicado por el Bureau of Labor Statistics (BLS) del gobierno de los Estados Unidos de América, cuyo valor se encuentra en el sitio web: http://data.bls.gov/cgi-bin/srgat, Código BLS: CUUR0000SA0, identificación: "CONSUMER PRICE INDEX-ALL URBAN CONSUMERS (CPI)", o en su defecto, una nueva publicación que reemplace a la mencionada para efectos de la publicación de este índice, correspondiente al segundo mes anterior al mes en el cual se aplique la fórmula de indexación.
CPI0:Consumer Price Index, publicado por Bureau of Labor Statistics (BLS) del gobierno de los Estados Unidos de América, correspondiente al mes de septiembre de 2022 (296,808).
DOLi:Valor promedio del tipo de cambio observado para el dólar de los Estados Unidos de América, publicado por el Banco Central de Chile, correspondiente al segundo mes anterior a aquel mes en que se aplique la indexación en $/US$.
DOL0:Valor promedio del tipo de cambio observado del dólar de Estados Unidos de América, publicado por el Banco Central de Chile, correspondiente al mes de septiembre de 2022 (921,01$/US$).
Los ponderadores de cada uno de los índices que componen la fórmula de indexación del costo de transmisión, son los que a continuación se indican:

Anótese, tómese razón y publíquese.- Por orden del Presidente de la República, Diego Pardow Lorenzo, Ministro de Energía.
Lo que transcribo a Ud. para su conocimiento.- Saluda Atte. a Ud., María Fernanda Riveros Inostroza, Jefa División Jurídica, Subsecretaría de Energía.