RECONOCE, POR SOLICITUD MUNICIPAL, HUMEDAL URBANO RÍO MAIPO DE MELIPILLA
Núm. 6.104 exenta.- Santiago, 5 de septiembre de 2025.
Vistos:
Lo dispuesto en el artículo 70 letra z) de la ley Nº 19.300, sobre Bases Generales del Medio Ambiente; en la ley Nº 21.202, que modifica diversos cuerpos legales con el objetivo de proteger los humedales urbanos; en el decreto supremo Nº 15, de 2020, del Ministerio del Medio Ambiente, que establece Reglamento de la ley Nº 21.202, que modifica diversos cuerpos legales con el objetivo de proteger los humedales urbanos; en la solicitud de reconocimiento de humedal urbano contenido en el oficio alcaldicio Nº 1.026, de fecha 23 de agosto de 2022, de la Ilustre Municipalidad de Melipilla; en la resolución exenta Nº 176, de fecha 9 de septiembre de 2022, de la Secretaría Regional del Ministerio del Medio Ambiente de la Región Metropolitana, que declara admisible solicitud de reconocimiento de Humedal Urbano Río Maipo, presentada por la Ilustre Municipalidad de Melipilla; en el Memorándum Nº 9119/2025, de fecha 18 de junio de 2025, de la División de Recursos Naturales y Biodiversidad del Ministerio del Medio Ambiente, que remite expediente para la declaración del humedal urbano "Río Maipo de Melipilla", de la comuna de Melipilla; en la resolución Nº 36, de 2024, de la Contraloría General de la República, que fija normas sobre exención del trámite de toma de razón; en los demás antecedentes que constan en el expediente administrativo, y
Considerando:
1. Que, la ley Nº 21.202 –que "Modifica diversos cuerpos legales con el objetivo de proteger los humedales urbanos" ("ley Nº 21.202")– establece en su artículo 1º que ésta tiene por objeto, como su nombre lo indica, proteger los Humedales Urbanos declarados por el Ministerio del Medio Ambiente ("MMA" o "Ministerio"), de oficio o a petición del municipio respectivo, entendiendo por tales todas aquellas extensiones de marismas, pantanos y turberas, o superficies cubiertas de aguas, sean estas de régimen natural o artificial, permanentes o temporales, estancadas o corrientes, dulces, salobres o saladas, incluidas las extensiones de agua marina, cuya profundidad en marea baja no exceda los seis metros y que se encuentren total o parcialmente dentro del límite urbano.
2. Que, el procedimiento de declaración de Humedales Urbanos a solicitud de los municipios se encuentra regulado en el artículo 6 y siguientes del decreto supremo Nº 15, de 2020, del Ministerio del Medio Ambiente, que establece Reglamento de la ley Nº 21.202, que modifica diversos cuerpos legales con el objetivo de proteger los humedales urbanos ("Reglamento").
3. Que, de acuerdo con lo dispuesto en la ley Nº 21.202 y su Reglamento, los requisitos contemplados para la declaración de un Humedal Urbano consisten en que se trate de un humedal, y que éste se ubique total o parcialmente dentro del límite urbano.
4. Que, para la definición de los límites de un humedal urbano, se deberá verificar la presencia de alguno de los criterios de delimitación contemplados en el artículo 8º del Reglamento, así como luego verificar la consistencia de dicha delimitación con la aplicación de los criterios mínimos de sustentabilidad a su respecto, establecidos en el artículo 3º del mismo Reglamento.
5. Que, el artículo 8º del Reglamento dispone que la delimitación de los humedales deberá considerar al menos uno de los siguientes criterios: (i) la presencia de vegetación hidrófita ("vegetación hidrófita"); (ii) la presencia de suelos hídricos con mal drenaje o sin drenaje ("suelo hídrico"); y/o, (iii) un régimen hidrológico de saturación ya sea permanente o temporal que genera condiciones de inundación periódica ("régimen hidrológico").
6. Por otro lado, el artículo 3º del Reglamento señala que los criterios mínimos de sustentabilidad son aquellos que buscan resguardar las características ecológicas de los humedales urbanos y su funcionamiento, mantener su régimen hidrológico tanto superficial como subterráneo, y velar por su uso racional. Para lo anterior, dicho artículo establece: a) criterios mínimos que permiten resguardar las características ecológicas y el funcionamiento de los humedales urbanos; b) criterios mínimos que permiten mantener el régimen hidrológico superficial y subterráneo de los humedales urbanos; y c) criterios mínimos para el uso racional de los humedales urbanos.
7. Que, mediante el oficio alcaldicio Nº 1026, de fecha 23 de agosto de 2022, de la Ilustre Municipalidad de Melipilla, ingresado con fecha 24 de agosto de 2022 a la Oficina de Partes de la Secretaría Regional Ministerial del Medio Ambiente de la Región Metropolitana, el referido municipio requirió el reconocimiento del Humedal Urbano "Río Maipo de Melipilla", de la comuna de Melipilla, Región Metropolitana, con una superficie solicitada de 2.111,52 hectáreas.
8. Que, en la Ficha Técnica (Folio 0003-0026) de la solicitud de reconocimiento del Humedal, acompañada por la Ilustre Municipalidad de Melipilla ("Ficha Técnica Municipal") y sus adjuntos, se indica que "El Humedal Urbano Río Maipo se encuentra en la comuna de Melipilla, provincia de Melipilla, Región Metropolitana de Santiago. En su transcurso por el centro de la comuna en dirección este-oeste, pasa por unidad territorial de Melipilla, donde se encuentra parcialmente dentro de los límites de extensión urbana definidos por el Plan Regulador Metropolitano de Santiago (PRMS).". Dicha ficha, en síntesis, señala que:
a) En cuanto a la caracterización de la geología identificada, el humedal urbano Río Maipo se inserta dentro de las formaciones que se denominan "Qf", las cuales corresponden "a una serie de secuencias sedimentarias del periodo Cuaternario de la era Cenozoica, de la época del Pleistoceno-Holoceno. Estos sedimentos no están consolidados y son de flujos fluviales activos. Se caracteriza principalmente por estar compuesta de depósitos fluviales como gravas, arenas y limos del curso actual de los ríos mayores o de sus terrazas sub-actuales (de principios siglo XX hasta 1950) y llanuras de inundación. (...), los depósitos fluviales identificados como gravas, arenas y limos están localizados en el cauce histórico del Río Maipo. Si bien, las zonas más alejadas del cauce actual ya no poseen vegetación hidrófita ni tampoco agua en forma superficial, sí otorga un antecedente a tomar en cuenta acerca de la extensión histórica del humedal analizado.".
b) En cuanto a vegetación, se indica que "La comuna de Melipilla se encuentra en el piso vegetacional "Bosque esclerófilo mediterráneo costero de Lithraea caústica y Cryptocaria alba". Esto incluye diferentes especies de plantas, entre las cuales no se encuentran las presentes en humedales. Esta situación se debe a que los humedales son formaciones intrazonales, lo que quiere decir, que la vegetación que se encuentra allí es dependiente principalmente de condiciones edáficas locales, como por ejemplo suelos saturados de agua.
Las unidades intrazonales pertenecientes al piso de Bosque esclerófilo mediterráneo costero de Lithraea caústica y Cryptocaria alba son, según describen Luebert y Pliscoff (2017), vegetación acuática flotante, vegetación acuática natante, vegetación acuática sumergida, pastizales y herbazales semiacuáticos, vegetación herbácea de lagunas".
En el marco de lo anterior, el Municipio identifica, a partir de un contraste entre la Tabla Nº 2 y Figura Nº 3 de su Ficha Técnica, y conforme a visitas a terreno que habría efectuado, las especies presentes en el humedal Río Maipo en la comuna de Melipilla, y que comprenderían Potamogeton pusillus, Lemna gibba, Hydroocotyle ranunculoides, y Azolla filiculoides.
c) En lo que respecta a la fauna identificada por el Municipio, en folios 22 y 23 acompaña el listado de las especies que se identificarían. En especial, indica que conforme a visitas de terreno efectuadas, habría confirmado la presencia de Garza chica (Egretta thula), Garza cuca (Ardea cocoi), Colegial (Lessonia rufa) y Caracol de Agua dulce (Physa acuta).
d) En lo relativo a la hidrología y suelos hídricos del humedal, refiere que para "la determinación de la saturación de agua en los suelos, se utilizaron los indicadores descritos en el grupo A en la "Guía de Delimitación y Caracterización de Humedales Urbanos de Chile" del Ministerio de Medio Ambiente" (2022), debido a que son los indicadores más directos. También son los que, a través de la percepción remota, dan las mayores facilidades para determinar presencia de agua superficial.
La percepción remota ofreció, a través del trabajo de gabinete, una efectiva manera de determinar si existe agua en forma superficial, en el territorio que se espera declarar humedal urbano. Para determinar si existe agua superficial en el área de estudio, se calcularon varios (Índice de agua normalizada) NDWI. Éste se utiliza para resaltar masas de agua en imágenes satelitales. De esta forma se identificó la presencia de suelos saturados en el humedal, pero al realizar más de un NDWI, se percató que el río tiene gran dinamismo año tras año, por lo que se determinó que la generación de una cartografía que identificara agua superficial solo mostraría la realidad del río durante un periodo de tiempo, pasando por alto el dinamismo de este territorio.
La identificación de los suelos hidrológicos se determinó a través de la identificación de los depósitos fluviales como gravas, arenas y limos, los que se encuentran en las terrazas y llanuras de inundación del río. Estos sedimentos no consolidados son de flujos fluviales y evidencian las zonas por donde el río ha estado históricamente.
e) En cuanto a la identificación de los servicios ecosistémicos provistos por el Humedal, se indica que "El Humedal de Río Maipo en la comuna de Melipilla tiene un gran potencial de uso para la población como un espacio de recreación y área verde, aportando, así como infraestructura verde para los habitantes de la comuna. También destaca su importancia como controlador natural de inundaciones, refugio para la biodiversidad y como aporte en la mitigación del cambio climático. También según explica el Plan de Desarrollo Comunal, parte de la población rural se abastece a partir de pozos, los que tienen directa conexión con las aguas subterráneas del humedal.".
f) Por último, respecto a las amenazas, el municipio identifica y destaca los incendios forestales, señalando que "los sectores del humedal más amenazados (dado que en el periodo de tiempo 2014 a 2019 presentaron más incendios registrados) son los cercanos al límite sur de Plan Regulador Metropolitano en Melipilla. Siendo el único lugar donde el humedal presentó entre 3 y 5 incendios en ese periodo de tiempo" (folio 18). Luego, también identifica, "la contaminación de las aguas superficiales de los diferentes esteros y canales, se genera a través de vertimiento de aguas grises y basura de los hogares en los canales. Estos vertimientos de desechos derivados de la actividad industrial y residuos domiciliarios pueden afectar al Río Maipo. Por otro lado, existe preocupación por el exceso de uso de agroquímicos en plantaciones, lo que puede generar efectos sobre los acuíferos por la infiltración estos en el suelo" (folio 19). Por último, identifica la presencia de basura (acompañando imágenes c y d de la Figura Nº 5, Ficha Técnica Municipal), especies exóticas (perros callejeros), vehículos motorizados (acompañando imágenes A y B de la Figura Nº 5, Ficha Técnica Municipal).
9. Que, mediante la resolución exenta Nº 176, del 9 de septiembre de 2022, la Secretaría Regional Ministerial del Medio Ambiente de la Región Metropolitana, declaró admisible la solicitud de reconocimiento de Humedal Urbano Río Maipo de Melipilla, presentada por la Ilustre Municipalidad de Melipilla, de conformidad con lo dispuesto en el artículo 9º del Reglamento.
10. Que, en cumplimiento de lo dispuesto en el artículo 9º del Reglamento, con la publicación en el Diario Oficial del listado de solicitudes de reconocimiento de humedales urbanos declaradas admisibles, el 3 de octubre de 2022 comenzó el transcurso del plazo de 15 días hábiles para la recepción de antecedentes adicionales.
11. Que, durante la etapa señalada en el considerando precedente, se recibieron dentro de plazo las presentaciones de antecedentes adicionales, por parte de: i) María de la Luz Walker Vial (Folio 32-63); ii) Sociedad Administradora de las Aguas del Tercer Sector del Río Maipo (Folio 64-102); iii) Codigua SpA (Folio 103-181); iv) Agrícola La Junta Limitada (Folio 182-249); v) Agrícola Robledal (Folio 250-330); vi) Agrícola Ariztía (Folio 331-389); vii) Entretenciones Acuáticas Limitada (Folio 390-418); viii) Agrícola El Bosque de Cuncumén Limitada (Folio 419-451); ix) Agrícola El Jardín S.A. (Folio 452-485); x) Agrícola La Cascada Limitada (Folio 486-515); xi) Agrícola Las Lomas Limitada (Folio 516-546); xii) Agrícola Los Lilenes (Folio 547-579); xiii) Inversiones y Constructora ATTICA Limitada (Folio 580-608); xiv) Inmobiliaria HDP S.A. (Folio 609-658); xv) Inversiones Vicuña Fernández y Compañía Limitada (Folio 659-687); xvi) Viña Garcés Silva Limitada (Folio 688-724); xvii) Viña Undurraga S.A. (Folio 725-745); y xviii) la Dirección de Obras Hidráulicas del Ministerio de Obras Públicas (Folio 746-747). Cabe señalar que la información remitida por la Dirección de Obras Hidráulicas, fue complementada por correo de fecha 3 de junio de 2025 (Folios 894 a 1378).
12. Que, atendido lo establecido en el artículo 1º de la ley Nº 21.202, los antecedentes adicionales considerados como información pertinente son aquellos relacionados con las circunstancias que habilitan a este Ministerio para reconocer determinado humedal como humedal urbano, esto es, que corresponda efectivamente a un humedal, su delimitación, y que se encuentre, total o parcialmente, ubicado dentro del límite urbano.
13. Que, en efecto, el Segundo Tribunal Ambiental, en autos caratulados "Inmobiliaria de Deportes La Dehesa S.A. con Ministerio del Medio Ambiente (Res. Ex. Nº 1.267, de fecha 11 de noviembre 2021)", Rol R-319-2022, indicó en su fallo de fecha 19 de diciembre de 2022, que:
"(...) la clasificación de antecedentes como ‘pertinentes' o ‘no pertinentes' no es ilegal, toda vez que el artículo 38 de la ley Nº 19.880 previene que la Administración otorgará una respuesta razonada, en ‘lo pertinente'. Así, este Tribunal entiende que la información provista por terceros en los procedimientos de reconocimiento de humedal urbano será pertinente si se refieren al cumplimiento de los requisitos que contempla el artículo 1º de la ley Nº 21.202, pues la motivación del acto que reconoce un humedal urbano de oficio por el MMA se referirá únicamente a aquellos que contempla dicha norma y su Reglamento" (Considerando vigésimo tercero).
14. Que, para la debida consideración y respuesta de las presentaciones singularizadas en el considerando undécimo de la presente resolución, la Secretaría Regional Ministerial del Medio Ambiente de la Región Metropolitana efectuó una primera singularización y análisis de la información recibida, el cual consta en un informe a Folio Nº 748 a 767. Dicho análisis debió actualizarse y complementarse en el "Informe de análisis de antecedentes pertinentes para la declaratoria de humedales urbanos por solicitud municipal, Solicitud Humedal urbano Río Maipo de Melipilla, presentada por la Ilustre Municipalidad de Melipilla", de fecha 26 de mayo de 2025, elaborado por la División de Recursos Naturales y Biodiversidad del Ministerio del Medio Ambiente, que consta a Folio 1904-1962 ("Informe de Análisis de Antecedentes Pertinentes"), con el objeto de dar debida respuesta razonada, en lo pertinente, a las observaciones recibidas, y consecuentemente, reforzar la motivación de la decisión que se adopte en el presente acto terminal. Así, el Informe de Análisis de Antecedentes Pertinentes es el instrumento que debe considerarse como respuesta a las presentaciones singularizadas en el considerando 11 de la presente resolución, para los efectos de la aplicación supletoria del artículo 39 de la ley Nº 19.880. En este sentido, dicho Informe de Análisis de Antecedentes Pertinentes analiza en detalle los antecedentes presentados durante el proceso, dando las respuestas respectivas, e incluyendo la enviada por la Dirección de Obras Hidráulicas en el marco del principio de coordinación administrativa.
15. Que, con fecha 10 de noviembre de 2022, en reunión sostenida por la Secretaría Regional Ministerial del Medio Ambiente de la Región Metropolitana con la Municipalidad de Melipilla, se informó del estado del proceso así como de la realización de una actividad de terreno para el día jueves 15 de diciembre de 2022, según se expondrá en el apartado referido a trabajo de campo, y conforme consta en el Informe de Terreno Folio 774-792.
16. Que, siguiendo lo establecido en el artículo 10 del Reglamento, a través de Ord. Nº 2, del 3 de enero de 2023, y Nº 259, del 22 de marzo de 2023, la Secretaría Regional Ministerial del Medio Ambiente de la Región Metropolitana solicitó información técnica complementaria y rectificar etapa de análisis técnico de la solicitud de reconocimiento del Humedal Urbano Río Maipo de Melipilla, en particular en lo referido a los criterios de delimitación.
17. Que, en razón de lo anterior, la Ilustre Municipalidad de Melipilla, mediante oficio ordinario alcaldicio Nº 325-A, del 20 de febrero de 2023, y Nº 970, del 28 de abril de 2023, respondió lo solicitado por la Seremi del Medio Ambiente de la Región Metropolitana, presentando los antecedentes y complementaciones requeridas.
18. Que, con fecha 15 de mayo de 2025, mediante oficio ordinario Nº 3192, se solicitó a la Dirección General de Aguas información respecto de una obra hidráulica emplazada en la caja del río Maipo, sector de Chocalán, comuna de Melipilla (coordenadas aproximadas -33.741419º, -71.232429º). En dicho oficio se solicitó la realización de una reunión técnica con el objeto de considerar en el presente proceso la información de la Dirección General de Aguas, en el marco de un actuar coordinado de la Administración del Estado. Dicha reunión se efectuó el día 6 de junio de 2025, instancia en la que el Ministerio del Medio Ambiente expuso antecedentes del proceso de declaración del humedal urbano "Río Maipo" y la Dirección General de Aguas presentó información relativa a procesos de fiscalización en curso sobre la obra, identificando su carácter de tranque agrícola construido de manera ilegal en la caja del río. Como resultado de dicha reunión, se estableció que la Dirección General de Aguas remitiría los antecedentes respectivos mediante oficio ordinario, lo que se concretó con el oficio Nº 794, de fecha 17 de junio de 2025, de la Dirección Regional de Aguas de la Región Metropolitana.
19. Que, el artículo 20 del Reglamento establece que el MMA elaborará una guía metodológica que oriente técnicamente la delimitación y caracterización de humedales urbanos.
20. Que, para efectos de la delimitación de este humedal, se siguió la metodología propuesta a modo orientativo por la "Guía de delimitación y caracterización de humedales urbanos de Chile" ("Guía de Delimitación")¹, la que considera el desarrollo de tres fases: (i) trabajo de gabinete, (ii) una fase de trabajo de campo, para la aplicación en terreno de los criterios que definen un humedal; y, (iii) una fase posterior para el desarrollo de la cartografía de los límites del humedal estudiado. Los pasos metodológicos (i) y (ii) señalados precedentemente, pueden ser realizados de manera iterativa y no necesariamente como fases consecutivas, dado que para la rectificación cartográfica (trabajo en gabinete), se utilizan insumos levantados en terreno (fase de campo), por lo que normalmente estas fases se desarrollan en paralelo.
21. Que, el análisis técnico realizado por el Ministerio del Medio Ambiente fue efectuado tanto a nivel regional, por parte de la Secretaría Regional Ministerial Metropolitana, como por la División de Recursos Naturales y Biodiversidad del Ministerio, con información complementaria. En efecto, mediante el memorándum Nº 96, del 22 de agosto de 2023, la mencionada Secretaría Regional remitió el expediente de tramitación de la solicitud de reconocimiento como humedal urbano objeto del presente acto administrativo, adjuntando la respectiva ficha de análisis técnico ("Ficha Técnica Seremi"). Luego, con el objeto de dotar de la debida motivación a la resolución de término del presente proceso, y en el marco de las competencias de este Ministerio en tanto órgano centralizado de la Administración del Estado, la División de Recursos Naturales y Biodiversidad del Ministerio del Medio Ambiente, con información complementaria al análisis comprendido en la Ficha Técnica Seremi, elaboró una nueva Ficha Técnica Complementaria a Folio 1963 a 2052 ("Ficha Técnica MMA"). Todo lo anterior, permite a esta autoridad contar con la información necesaria para dotar de la debida motivación al presente acto terminal.
22. Que, según se desprende del análisis técnico contenido en la Ficha Técnica MMA, con la finalidad de verificar el cumplimiento de los criterios de delimitación, se efectuaron las siguientes actuaciones:
1. Trabajo de Gabinete: Esta fase se desarrolla de manera complementaria e iterativa con el trabajo de campo. La delimitación del humedal se realiza principalmente mediante fotointerpretación de imágenes satelitales disponibles en la plataforma Google Earth. Este proceso permite identificar elementos homogéneos que cumplan las características del humedal establecidas en el Reglamento. Para ello, se verifica la presencia de al menos uno de los tres criterios definidos en la normativa.
___________________
(¹) Disponible en: https://humedaleschile.mma.gob.cl/legislacion/guias-metodologicas/
La fotointerpretación implica un análisis integral del área de estudio y su entorno, identificando sus principales componentes, evaluando los fenómenos observados y complementando la información con fuentes secundarias para mejorar su interpretación. A partir de este proceso, se clasifica y determina la presencia del humedal y se establecen sus límites.
Para la elaboración del análisis de gabinete en el proceso de declaración del humedal urbano Río Maipo de Melipilla, se recopilaron diversas fuentes de información que permitieron caracterizar ambiental y territorialmente el área de estudio. En particular, se incorporaron coberturas georreferenciadas obtenidas desde distintas instituciones públicas, universidades, centros de investigación y actores privados. A continuación, se detalla toda la información técnica para el análisis de gabinete:

En especial para el proceso de declaración del humedal urbano Río Maipo de Melipilla, se trabajó en base a la identificación con sensores remotos, efectuando revisión de imágenes satelitales y un trabajo de fotointerpretación, debiendo el trabajo de delimitación considerar la precisión geométrica de las fuentes de información utilizadas, en particular, la exactitud de la georreferenciación de las imágenes satelitales y la escala de representación cartográfica. En este estudio, la escala de trabajo utilizada es 1:5.000, lo que implica que 1 cm en el mapa representa 50 metros en el terreno, mientras que 1 mm equivale a 5 metros. Bajo esta escala, la unidad mínima cartografiable es de 625 m². En este caso, el análisis se complementó con imágenes satelitales disponibles en Google Earth, revisando la evolución de la cobertura del humedal entre 2013-2025. Luego, mediante el proceso de fotointerpretación, se generó un polígono agregado que representa la extensión máxima identificada en dicho período. Esta información permitió identificar indicadores primarios y secundarios que cumplen con los criterios establecidos en el artículo 8º del Reglamento.
Con posterioridad, se procedió a la identificación de las zonas biogeográficas, determinando que el Humedal Urbano Río Maipo de Melipilla se localiza dentro de la zona biogeográfica semiárida según la clasificación de regímenes hídricos propuesta por Santibáñez et al. (2008). Esto permitió aclarar la metodología para identificar las Condiciones Ambientales Normales (CAN) del humedal urbano objeto del presente proceso, y con ello, la determinación de indicadores primarios y secundarios para el criterio de delimitación hidrología.
En efecto, conforme a la Guía de Delimitación, las CAN pueden estimarse a partir de registros de estaciones pluviométricas, fluviométricas o de observación de napas, siempre que estén disponibles en el Sistema Nacional de Información del Agua ("SNIA"), el Banco Nacional de Aguas de la Dirección General de Aguas ("DGA") o la Dirección Meteorológica de Chile. En casos donde la comuna de estudio no cuente con estaciones de monitoreo propias, se recurre a la estación más cercana dentro de la misma unidad meteorológica homogénea, permitiendo una extrapolación válida para la estimación de condiciones hídricas representativas del humedal. Para el caso del presente humedal urbano, se identificó la estación "Cuenca 5748001 - Río Maipo En Cabimbao", como la más cercana, ubicada en la comuna de Melipilla. A partir de la información analizada, se puede inferir que el mes de junio presenta el mayor promedio y mediana de caudal medio mensual para el humedal de Río Maipo en Melipilla, según los datos registrados en la estación Río Maipo En Cabimbao. El valor correspondiente se encuentra normalmente en el rango de 115,3 a 227,6 m³/s, con una probabilidad del 95%. Sobre la base de estos resultados, se concluye que el mes con mayor caudal es junio, por lo que en este periodo se observaría la expresión más amplia de las Condiciones Ambientales Normales (CAN) del humedal Río Maipo de Melipilla. No obstante, no se identificaron diferencias estadísticamente significativas entre los meses de mayo, julio, agosto, septiembre, noviembre y diciembre.
Para la delimitación del humedal Río Maipo de Melipilla en ciertos sectores se estimó oportuno realizar trabajo de campo, para complementar la verificación (o no) de la presencia de criterios de delimitación del artículo 8º del Reglamento, complementando así el trabajo de gabinete en la delimitación del humedal.
2. Trabajo de Campo: se desarrolló en una fase con el objetivo de validar la delimitación del humedal urbano mediante observaciones directas y la aplicación de criterios técnicos establecidos en la normativa vigente. Las evaluaciones de terreno se realizaron tanto de forma terrestre, siguiendo los lineamientos de la guía, como mediante levantamientos aéreos, considerando la gran extensión y diversidad de los sectores del humedal.
El Ministerio del Medio Ambiente, a través de la Seremi, realizó una visita a terreno. Estas inspecciones se llevaron a cabo el día 14 de diciembre de 2022, detallada en informe de Terreno Nº 1 (Folio 774-792).
El análisis del trabajo de campo se basó en la información georreferenciada obtenida el 15 de diciembre de 2022, durante la actividad de terreno. Esta campaña incluyó el levantamiento de datos a través de fotografías que respaldan los puntos revisados en terreno. Este análisis incluyó el uso de imágenes aéreas obtenidas mediante el uso de dron.
De forma resumida, se presentan los puntos revisados en las campañas de terreno:
a) Punto A: Se visitó el sector del puente Ingeniero Marambio (coordenadas UTM, Datum WGS84, Huso 19, Este 295.186 - Norte 6.267.281), con el objeto de registrar la presencia de indicadores de criterio de delimitación del artículo 8º del Reglamento. En la actividad se revisó la vegetación y la hidrología en el curso del río, confirmando que se mantienen las condiciones del ecosistema bajo el puente Ingeniero Marambio y el antiguo Puente La Vega, por lo que se constata que no hay fragmentación del ecosistema en este sector, lo que permite mantener la continuidad del polígono que representa el humedal. En este punto se identificaron los criterios Agua Superficial (A1) y suelos saturados (A3). (Ficha Técnica MMA, Figuras Nº 21 y 22).
b) Punto B: Se realizó registro fotográfico y vuelo dron a las zonas aledañas del Punto B (coordenadas UTM, Datum WGS84, Huso 19, Este 297.058 - Norte 6.268.893). Se aprecia las características del cauce y la vegetación existente a lo largo del río, como chépica, brea, chilca, entre otras, las cuales se repiten a lo largo de los puntos A, B y C. Además, en varios tramos al costado del cauce es posible ver áreas destinadas principalmente al cultivo agrícola, identificándose en este punto el criterio hídrico Grietas Superficiales (B6). (Ficha técnica MMA, Figuras Nº 24 y 25).
c) Punto C: Se revisó el sector del río aguas arriba de la ciudad de Melipilla, cercano a la antigua ruta 78, camino a Melipilla (coordenada UTM, Datum WGS84, Huso 19, Este 299.891 - Norte 6.270.155). Para la revisión de este sector se accedió por las faenas de una empresa de extracción de áridos, que se encuentra operando en la ribera norte del río, y la cual permitió el acceso por el área de proceso de los productos extraídos. Al igual que en los tramos anteriores, se pudo apreciar la composición del río en cuanto a la vegetación existente y la forma serpenteada del río formada por una diversidad de meandros, manteniendo áreas de inundación con agua corriente y otros sectores de islas con abundante vegetación y de inundación periódica la que posibilita la existencia de la vegetación. (Ficha técnica MMA, Figuras Nº 27, 28 y 29).
3. Desarrollo de cartografía rectificada: En base al análisis efectuado por el Ministerio del Medio Ambiente, tanto por su Secretaría Regional Ministerial como por su División de Recursos Naturales y Biodiversidad del nivel central, que comprende una evaluación a partir del trabajo de gabinete y campo, incluyendo el análisis de los antecedentes adicionales aportados durante el proceso, así como de antecedentes remitidos por otros órganos de la Administración del Estado, y según se expone en la Ficha Técnica MMA, fue posible definir los límites oficiales del humedal urbano acorde al cumplimiento del criterio hidrología, justificándose técnicamente modificar la cartografía presentada por el municipio, acorde al cumplimiento del artículo 8º del Reglamento.
Debido a que el humedal urbano objeto del presente proceso se trata de un ecosistema fluvial, el análisis espacial adquiere especial relevancia para comprender su dinamismo histórico y su expresión territorial actual. Para ello, se utilizaron imágenes satelitales de alta resolución de libre acceso, considerando como línea base las imágenes más antiguas disponibles en Google Earth (fechadas el 03/07/2004, 22/01/2005 y 07/04/2006); y contrastándolas con imágenes recientes correspondientes a los días 11/03/2024 y 25/02/2025. Estas imágenes reflejan condiciones hidrológicas excepcionales, producto de los eventos de inundación ocurridos durante los inviernos de 2023 y 2024.
Este análisis permitió identificar sectores donde el río ha recuperado superficie fluvial, activando antiguos cauces y áreas de inundación natural que, si bien fueron ocupadas en años anteriores por actividades antrópicas -principalmente agrícolas y de extracción de áridos-, presentan actualmente condiciones compatibles con el humedal, tales como suelos saturados y presencia de vegetación hidrófita. En dichos sectores, el polígono fue precisado, ampliándolo levemente respecto de la solicitud municipal, sobre la base de evidencia técnico-espacial, lo cual se ilustra mediante las imágenes de la figura Nº 30 de la Ficha Técnica MMA.
Cabe añadir, que se identificó la presencia de infraestructura antrópica y obras hidráulicas dentro o en las proximidades del área delimitada como humedal. En especial, respecto a dicha infraestructura se revisó su inclusión a partir tanto de la verificación de los criterios de delimitación del artículo 8º del Reglamento, así como si su inclusión es coherente con los criterios mínimos de sustentabilidad del humedal objeto del proceso, en especial, con la mantención del régimen hidrológico del mismo, todo lo cual se expone en la Ficha Técnica MMA, y se grafica en las Figuras 14, 15 y 16 de la misma.
Lo razonado anteriormente es coherente con la jurisprudencia de la Excma. Corte Suprema, la que, en autos sobre recurso de queja Rol 18509-2024, resolvió que "resulta del todo improcedente fundar una respuesta negativa a la pregunta anterior en la falta de continuidad del humedal por factores antrópicos, como la existencia de praderas o rellenos, pues son, precisamente, aquellas consecuencias las que se busca evitar con la inclusión del sector en un régimen de protección especial" (Considerando décimo noveno). De esta manera, la inclusión de las intervenciones antrópicas descritas en la Ficha Técnica MMA para la declaratoria del humedal urbano Río Maipo de Melipilla tienen asiento en la mantención del régimen hidrológico del mismo, y en el reconocimiento de su superficie para su debido resguardo.
Por el contrario, se excluyeron de la delimitación aquellos sectores que han sido objeto de intervenciones antrópicas irreversibles –como urbanización, o uso intensivo del suelo–, y que se aprecian en la Ficha Técnica MMA, y se grafica en la Figura Nº 31. Estos sectores no presentan actualmente rasgos ecológicos propios de un humedal ni evidencia funcional de conexión al cauce principal del río en el periodo de referencia más largo disponible, por lo que su exclusión no presenta una afectación a la sustentabilidad actual del humedal, conforme a los criterios del artículo 3º del Reglamento.
Por otro lado, se destaca que a lo largo del humedal existen diversas obras de control hidráulico, como defensas fluviales y estructuras tipo gavión, que han contenido y estabilizado el cauce del río en determinados tramos. En estos sectores, los límites del cauce se han mantenido relativamente constantes en el tiempo, coincidiendo con la cartografía originalmente propuesta por el municipio, razón por la cual dicha delimitación fue respetada en la propuesta final, no sólo por su delimitación conforme al criterio de delimitación hidrología del artículo 8º del Reglamento, sino que también por su conformidad con la mantención del régimen hidrológico superficial del mismo, conforme al criterio mínimo de sustentabilidad del artículo 3º literal b) del Reglamento, así como por el uso racional del mismo, en tanto dichas obras permiten el debido encauzamiento y resguardo de población y predios aledaños, conforme al artículo 3º literal c) del Reglamento.
En conclusión, de la etapa de análisis técnico del polígono original, se requirió técnicamente modificar la cartografía propuesta por la Ilustre Municipalidad de Melipilla, ajustando los vértices y coordenadas del polígono propuesto, descartando zonas que no cumplían con al menos uno de los tres criterios de delimitación del artículo 8º del Reglamento, y mejorando la precisión de ciertos sectores, que incluyeron leves ampliaciones.
23. Que, y según consta en la Ficha Técnica MMA, se verificó la existencia del criterio de delimitación "hidrología" para la delimitación del humedal urbano Río Maipo de Melipilla, de conformidad a lo preceptuado en el artículo 8º del Reglamento. En síntesis, respecto de la concurrencia de este criterio, se delimitó a través de la identificación de los indicadores de hidrología descritos en el punto 3.1.1.2. de la Guía de Delimitación, conforme el siguiente recuadro:

24. Que, como se describe en la Ficha Técnica MMA, la delimitación definida para el Humedal Urbano Río Maipo de Melipilla en el presente proceso es consistente con los criterios de sustentabilidad establecidos en el artículo 3º del Reglamento, pues permite resguardar las características ecológicas, el régimen y conectividad hidrológica, su funcionamiento, y el uso racional del mismo, acorde a los antecedentes revisados durante el proceso de reconocimiento, tanto los presentados por la I. Municipalidad de Melipilla, los presentados como antecedentes adicionales, así como la información recopilada por el propio Ministerio del Medio Ambiente en su trabajo de gabinete y de campo.
En efecto, fue posible concluir que la delimitación propuesta por el Ministerio del Medio Ambiente para el humedal urbano permite la mantención de las características ecológicas y funcionamiento del humedal urbano, evitando su fragmentación, resguardando la mantención de su superficie y conectividad biológica. Esto se aprecia en la continuidad del polígono reconocido, así como de los sectores que se han incluido en la superficie reconocida, y la inclusión y exclusión de ciertas actividades antrópicas, según lo descrito en la Ficha Técnica MMA y en el considerando 22 de la presente resolución.
Asimismo, la delimitación propuesta para el humedal urbano Río Maipo de Melipilla por el Ministerio del Medio Ambiente es consistente con la mantención del régimen y conectividad hidrológico superficial, en concordancia con la superficie solicitada por la I. Municipalidad de Melipilla y los antecedentes que constan en el proceso. En especial, debe destacarse que el análisis espacial identificó y consideró las crecidas que el cauce del río Maipo experimentó en eventos de crecida, lo que en ciertos sectores implicó una leve ampliación respecto a los límites del polígono originalmente propuesto por la Ilustre Municipalidad de Melipilla. Estas expansiones se observaron principalmente en zonas de planicie aluvial baja, donde el río reactivó antiguos brazos y canales secundarios que históricamente conformaron parte de su red de drenaje, Estos hallazgos sustentaron la decisión técnica de incorporar dichas áreas al polígono de delimitación del humedal, más allá de los límites inicialmente considerados, siguiendo un enfoque preventivo, y basado en criterios ecológicos e hidrológicos, conforme a los literales a) y b) del artículo 3º del Reglamento. Además, esto permite identificar su extensión para responder a los eventos extremos en el período analizado en gabinete, buscando mantener la conectividad hídrica y ecológica, vital para la resiliencia del ecosistema.
Es relevante considerar que los humedales constituyen elementos clave para el funcionamiento y desarrollo de los sistemas urbanos, por lo que su regulación posterior deberá velar por el desarrollo sustentable acorde al uso racional del ecosistema, considerando la aplicación de los criterios de sustentabilidad en el ámbito de la gestión del humedal. En ese contexto, aquellos proyectos, actividades y obras que se emplacen en el área del humedal o su entorno, deberán ser coherentes con el resguardo de los criterios mínimos de sustentabilidad establecidos en el artículo 3º del Reglamento, y en especial, los referidos a la mantención del régimen y conectividad hidrológica de los humedales urbanos, y al enfoque de manejo integrado de recursos hídricos.
Cabe indicar que el humedal se encuentra en interacción directa con áreas urbanas de la ciudad de Melipilla, donde confluyen diversos flujos de aguas lluvia provenientes del sector nororiente, centro y sur de la ciudad. En este sentido, el Plan Maestro de Aguas Lluvias de la Dirección de Obras Hidráulicas identifica al río Maipo como el principal colector natural de drenaje urbano para la ciudad, lo cual refuerza su importancia para el manejo de crecidas y la evacuación de aguas lluvias, especialmente en escenarios de urbanización creciente y cambio climático. Esta interacción entre el drenaje urbano y el sistema natural refuerza la necesidad de resguardar su continuidad y funcionalidad hidrológica.
Conforme a lo anterior, es relevante considerar que los humedales constituyen elementos claves para el funcionamiento y desarrollo de los sistemas urbanos, por lo que su regulación posterior deberá velar por el desarrollo sustentable acorde al uso racional del ecosistema, considerando la aplicación de los criterios de sustentabilidad en el ámbito de la gestión del humedal. En ese contexto, aquellos proyectos, actividades y obras que se emplacen en el área del humedal o su entorno, deberán ser coherentes con el resguardo de los criterios mínimos de sustentabilidad establecidos en el artículo 3º del Reglamento, y en especial, los referidos a la mantención del régimen y conectividad hidrológica de los humedales urbanos, y al enfoque de manejo integrado de recursos hídricos.
Es importante recordar desde ya, que la declaración de un humedal urbano no afecta las competencias de la Dirección de Obras Hidráulicas, o de otro Órgano de la Administración del Estado, en la aplicación de instrumentos para prevenir, justamente, los riesgos asociados a crecidas de ríos, así como tampoco la ejecución de acciones destinadas a abordar contingencias asociadas a dichos fenómenos, siempre que cumplan con la normativa sectorial y ambiental respectiva, y en especial, los criterios mínimos de sustentabilidad del artículo 3º del Reglamento. Por otro lado, la declaración del humedal urbano no impedirá la ejecución de proyectos, obras o actividades destinadas a prevenir efectos en zonas pobladas, terrenos ribereños e infraestructura vial existente y proyectada.
Por último, y en línea con lo anterior, el aprovechamiento del recurso hídrico es parte de los servicios ecosistémicos que brindan los humedales ribereños, entendiendo que su aprovechamiento sustentable es compatible con el ecosistema reconocido. De la misma forma, las actividades agrícolas aledañas, o incluso desarrolladas dentro del humedal, pero en forma sostenible, son compatibles en tanto no afecten la sustentabilidad del mismo, conforme al artículo 3º del Reglamento.
25. Que, se verificó que el humedal objeto del presente procedimiento, se encuentra parcialmente dentro del límite urbano definido en el Plan Regulador Metropolitano de Santiago, lo anterior de acuerdo con lo señalado por la Ilustre Municipalidad de Melipilla, mediante su ordinario Nº 1076, del 23 de agosto de 2022, y los documentos anexados.
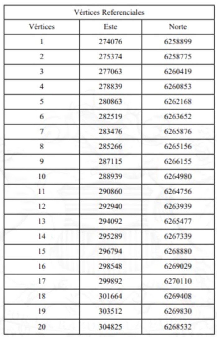
26. Que, por todo lo anterior, se debe proceder a reconocer el Humedal Urbano Río Maipo de Melipilla conforme al artículo 1º de la ley Nº 21.202, el cual, según consta en la Ficha Técnica MMA, corresponde a un humedal urbano del tipo continental ribereño, con una superficie total de 2.321 hectáreas, representadas por 1889 vértices totales y 20 vértices referenciales, y que se ubica parcialmente dentro del límite urbano, en la comuna de Melipilla, Región Metropolitana.
27. Que, en virtud de lo anterior, mediante memorándum Nº 09119/2025, de fecha 18 de junio de 2025, la División de Recursos Naturales y Biodiversidad de este Ministerio solicitó la declaración del Humedal Urbano.
28. Que, todos aquellos antecedentes que se han tenido en consideración para la presente declaración se encuentran contenidos en el expediente respectivo, publicado en la página del Ministerio: https://humedaleschile.mma.gob.cl/procesos-desde-municipios/.
Resuelvo:
1° Declárese como Humedal Urbano, para efectos de lo dispuesto en la ley Nº 21.202, el humedal denominado Humedal Urbano Río Maipo de Melipilla, cuya superficie aproximada es de 2.321 hectáreas, ubicado en la comuna de Melipilla, Región Metropolitana.
2° Establézcanse los límites del Humedal Urbano Río Maipo de Melipilla, representados conforme se indica en el considerando 26 detallado en la cartografía oficial, y cuyas coordenadas referenciales UTM según Datum WGS 84, Huso 19 Sur y son las siguientes:

Para todos los efectos legales, la cartografía oficial, autorizada por el Subsecretario del Medio Ambiente como ministro de fe, forma parte integrante de la presente resolución y puede ser consultada en las dependencias del Ministerio del Medio Ambiente, así como en el siguiente enlace: https://humedaleschile.mma.gob.cl/wp-content/uploads/2025/08/Folio-2044.-Mapa_Firmado.pdf
3° Infórmese que la presente resolución es reclamable ante el Tribunal Ambiental competente de conformidad a lo dispuesto en el artículo 12 del Reglamento, dentro del plazo de 30 días contado desde su publicación en el Diario Oficial.
4° Publíquese la presente resolución en el Diario Oficial y en la página electrónica del Ministerio del Medio Ambiente.
Anótese, comuníquese, publíquese y archívese.- María Heloísa Juana Rojas Corradi, Ministra del Medio Ambiente.