LLAMA A POSTULACIÓN NACIONAL EN CONDICIONES ESPECIALES AÑO 2025, PARA EL DESARROLLO DE PROYECTOS DEL PROGRAMA MEJORAMIENTO DE VIVIENDAS Y BARRIOS CORRESPONDIENTES AL CAPÍTULO CUARTO, DESTINADOS A PROYECTOS DE EFICIENCIA ENERGÉTICA Y A PROYECTOS DE ACONDICIONAMIENTO TÉRMICO DE LA VIVIENDA, TANTO EN LA LÍNEA GENERAL COMO EN EL MARCO DE LOS PLANES DE DESCONTAMINACIÓN ATMOSFÉRICA, ADEMÁS FIJA LA CANTIDAD DE RECURSOS QUE SE DESTINARÁN AL FINANCIAMIENTO DE CADA UNA DE LAS LÍNEAS DE ATENCIÓN DEL PROGRAMA Y APRUEBA ANEXOS DEL LLAMADO
Santiago, 3 de septiembre de 2025.- Hoy se resolvió lo que sigue:
Núm. 1.229 exenta.
Visto:
1. El decreto ley Nº 910, del Ministerio de Hacienda, de 1975, que modifica los Decretos Leyes 619, 824, 826, 827 y 830; otras disposiciones de orden tributario;
2. El DS Nº 58, del Ministerio del Interior; de 1997, que fija texto refundido, coordinado y sistematizado de la Ley Nº 19.418, sobre juntas de vecinos y demás organizaciones comunitarias;
3. El DS Nº 255, (V. y U.), de 2006, y sus modificaciones, que regula el Programa de Protección al Patrimonio Familiar;
4. El DS Nº 27, (V. y U.), de 2016, y sus modificaciones, que regula el Programa de Mejoramiento de Viviendas y Barrios;
5. El decreto supremo Nº 39, de 2011, del Ministerio del Medio Ambiente, que establece Norma de Emisión de Material Particulado, para los artefactos que combustionen o puedan combustionar leña y pellets de madera;
6. El decreto supremo Nº 47, de 2015, del Ministerio del Medio Ambiente, que establece Plan de Descontaminación Atmosférica para la comuna de Osorno;
7. El decreto supremo Nº 48, de 2015, del Ministerio del Medio Ambiente, que establece Plan de Prevención y Descontaminación Atmosférica para las comunas de Chillán y Chillán Viejo;
8. El decreto supremo Nº 49, de 2015, del Ministerio del Medio Ambiente, que establece Plan de Descontaminación Atmosférica para las comunas de Talca y Maule;
9. El decreto supremo Nº 25, de 2016, del Ministerio del Medio Ambiente, que establece Plan de Descontaminación Atmosférica para la comuna de Valdivia;
10. El decreto supremo Nº 31, de 2016, del Ministerio del Medio Ambiente que establece el Plan de Prevención y Descontaminación Atmosférica para la Región Metropolitana;
11. El decreto supremo Nº 4, de 2017, del Ministerio del Medio Ambiente, que establece Plan de Descontaminación Atmosférica para la comuna Los Ángeles;
12. El decreto supremo Nº 44, de 2017, del Ministerio del Medio Ambiente, que establece Plan de Descontaminación Atmosférica para el Valle Central de la Provincia de Curicó;
13. El decreto supremo Nº 6, de 2018, del Ministerio del Medio Ambiente, que establece Plan de Prevención y de Descontaminación Atmosférica para las comunas de Concepción Metropolitano;
14. El decreto supremo Nº 7, de 2018, del Ministerio del Medio Ambiente, que establece Plan de Prevención y de Descontaminación Atmosférica para la ciudad de Coyhaique y su zona circundante;
15. El decreto supremo Nº 1, de 2021, del Ministerio del Medio Ambiente, que establece Plan de Descontaminación Atmosférica para el Valle Central de la Región del Libertador General Bernardo O'Higgins;
16. El decreto supremo Nº 8, de 2023, del Ministerio del Medio Ambiente, que establece la actualización del Plan de Descontaminación Atmosférica por MP2,5 y MP10 para las comunas de Temuco y Padre Las Casas;
17. La resolución exenta Nº 720, (V. y U.), de 2019, que establece el Itemizado Técnico para Proyectos de Sistemas Solares Térmicos - MINVU, Sistemas Individuales para Viviendas;
18. El listado de Localidades urbanas con población superior a 5 mil habitantes, de conformidad con los datos del censo 2017, contenidos en el estudio "Ciudades, Pueblos, Aldeas y Caseríos año 2019", del Instituto Nacional de Estadísticas;
19. La resolución exenta Nº 1.237, (V. y U.), de 2019, que fija procedimiento para la prestación de Servicios de Asistencia Técnica y Fiscalización Técnica de Obras a Programa de Mejoramiento de Viviendas y Barrios, aprobado por el DS Nº 27 (V. y U.), de 2016;
20. La resolución exenta Nº 490, (V. y U.), de 2023, que fija regulación para la Prestación del Servicio de Fiscalización Técnica de Obras;
21. El oficio Nº 352, de 2020, de la División Técnica de Estudio y Fomento Habitacional MINVU, que informa el Contrato Tipo de Construcción y de Asistencia Técnica para el Programa de Mejoramiento de Viviendas y Barrios, regulado por el DS Nº 27 de 2016;
22. La resolución exenta Nº 852, (V. y U.), de 2020 que aprueba el Itemizado Técnico de Obras para Proyectos asociados al Capítulo Segundo: Proyectos para la vivienda, del Programa de Mejoramiento de Viviendas y Barrios regulado por el DS Nº 27 (V. y U.), de 2016;
23. La Ley Nº 21.442, que aprueba nueva ley de Copropiedad Inmobiliaria;
24. El decreto supremo Nº 40, (V. y U.), de 2024, que aprueba el Plan Sectorial de Mitigación y Actualización del Plan de Adaptación al Cambio Climático para Ciudades;
25. La resolución exenta Nº 815, (V. y U.), de 07 de junio de 2024 y sus modificaciones, que reguló el llamado a postulación en condiciones especiales para el desarrollo de Proyectos del Programa de Protección del Patrimonio Familiar correspondiente al Título II, Mejoramiento de la Vivienda, destinado a obras de innovación de eficiencia energética y de acondicionamiento térmico de viviendas, mediante el DS Nº 255 (V. y U.), del 2006;
26. La resolución exenta Nº 1.993, (V. y U.), de 2024, que autoriza efectuar llamados a postulación y/o comprometer recursos durante el año 2025, en el otorgamiento de subsidios habitacionales y señala el monto de los recursos destinados, entre otros, a la atención a través del Programa de Mejoramiento de Viviendas y Barrios regulado por el DS Nº 27 (V. y U.), de 2016;
27. El oficio ordinario Nº 478, del Director del Servicio de Vivienda y Urbanización de la Región del Biobío, de fecha 20 de enero del 2025;
28. El oficio ordinario Nº 77, de la Secretaria Regional Ministerial de la Región de Aysén del General Carlos Ibáñez del Campo, de fecha 31 de enero del 2025;
29. El oficio ordinario Nº 2205, del Director del Servicio de Vivienda y Urbanización de la Región de La Araucanía, de fecha 19 de junio del 2025;
30. El oficio ordinario Nº 391, del Secretario Regional Ministerial de la Región de Ñuble, de fecha 25 de junio del 2025;
31. El oficio ordinario Nº 721, de la Secretaría Regional Ministerial de la Región de Los Lagos, de fecha 25 de junio del 2025; y,
32. La resolución exenta Nº 655, (V. y U.), de fecha 22 de mayo del 2025, que modifica la resolución exenta Nº 815, (V. y U.), de 2024, y aprueba primera nómina de postulantes seleccionados, en el llamado nacional en condiciones especiales del año 2024 para proyectos del título II, Mejoramiento de la vivienda, del Programa de Protección del Patrimonio Familiar, destinados a proyectos de obras de innovación de eficiencia energética, de acondicionamiento térmico de viviendas tanto en su línea general como en el marco de los planes de descontaminación atmosférica;
33. La ley Nº 20.898, que establece unResolución 1538 EXENTA,
VIVIENDA
N° 1, 1.1
D.O. 24.10.2025 procedimiento simplificado para la regularización de viviendas de autoconstrucción.
VIVIENDA
N° 1, 1.1
D.O. 24.10.2025 procedimiento simplificado para la regularización de viviendas de autoconstrucción.
Considerando:
1. Lo dispuesto en los artículos 3 y 24 del DS Nº 27, de 2016, que facultan al Ministerio de Vivienda y Urbanismo para regular mediante resoluciones las operaciones y actos vinculados a la aplicación práctica del programa de Mejoramiento de Viviendas y Barrios, así como realizar llamados a procesos de selección en condiciones especiales, estableciendo requisitos, impedimentos y condiciones según corresponda;
2. Que, a partir del presente año 2025 los subsidios para proyectos de Eficiencia Energética y Acondicionamiento Térmico de viviendas en zonas y localidades urbanas sobre 5.000 habitantes se asignarán únicamente a través del Programa de Mejoramiento de Viviendas y Barrios, regulado por el DS Nº 27, (V. y U.), de 2016, dejándose de aplicar el Programa de Protección del Patrimonio Familiar, regulado por el DS Nº 255, (V. y U.), de 2006;
3. Que, en atención al precedente considerando, solo serán atendidas las viviendas que se encuentren dentro del Límite Urbano Censal (L.U.C.), en conformidad, con los datos del censo 2017, contenidos en el estudio "Ciudades, Pueblos, Aldeas y Caseríos año 2019", del Instituto Nacional de Estadísticas (INE);
4. Que, en virtud de lo señalado en el considerando 2., resulta necesario implementar una fase de transición durante el año 2025 entre los llamados que se realizaban mediante el DS Nº 255 (V. y U.), de 2006 y el presente llamado para el desarrollo de Proyectos de Eficiencia Energética e Hídrica y Proyectos de Acondicionamiento Térmico, para lo cual se requiere de la aplicación de condiciones especiales ;
5 . Que, dentro de las medidas de transición contempladas para el presente llamado, figura la presentación de un Informe Técnico en reemplazo del Diagnóstico Técnico Constructivo exigido por el DS Nº 27, (V. y U.), de 2016, razón por la cual es necesario ajustar el valor que se pagará por el Servicio "Desarrollo del Proyecto Técnico";
6. Que, es necesario resguardar el medioambiente a través de la optimización de energías renovables y la implementación de sistemas de eficiencia energética e hídrica en las viviendas del parque habitacional construido, mediante la ejecución de obras que fomenten el ahorro energético y económico, permitiendo que las viviendas cumplan con los estándares normativos actuales en las viviendas de sectores más vulnerables;
7. Que, resulta necesario atender a las familias que requieren acondicionar térmicamente sus viviendas para mejorar su estándar de confort térmico, en especial aquellas que residen en zonas que cuentan con Planes de Descontaminación Atmosférica, para lo cual se requiere establecer condiciones especiales para el otorgamiento de subsidios de Acondicionamiento Térmico y Eficiencia Energética;
8. Que, la alta contaminación atmosférica presente en las zonas y comunas definidas en los Planes de Descontaminación Atmosférica señaladas en los vistos 6, 7, 8, 9, 10, 11, 12, 13, 14, 15 y 16, hace necesario mejorar el acondicionamiento térmico de las viviendas con el fin de contribuir a la descontaminación de las zonas y comunas señaladas, mediante la reducción del consumo de combustibles, y a la rebaja de los gastos fijos de las familias;
9. La necesidad de potenciar el desarrollo de proyectos de Acondicionamiento Térmico de las viviendas de acuerdo al estándar térmico y constructivo ya exigido en las zonas con Planes de Descontaminación Atmosférica, en las regiones del Libertador General Bernardo O'Higgins, del Maule, de Ñuble, del Biobío, de La Araucanía, de Los Ríos, de Los Lagos, de Aysén del General Carlos Ibáñez del Campo y de Magallanes y la Antártica Chilena; que son objeto del DS Nº 27 (V. y U.), de 2016, sin limitar las viviendas objeto de este programa a las zonas circunscritas por los Planes de Descontaminación Atmosférica;
10. Que, dadas las condiciones climáticas extremas que se verifican en las regiones Aysén del General Carlos Ibáñez del Campo y de Magallanes y la Antártica Chilena, se requiere la consideración de condiciones extraordinarias para el buen desempeño del proceso de postulación y ejecución de los proyectos que el presente llamado financia;
11. Que, es necesario contribuir al cumplimiento de las metas del Plan Sectorial de Mitigación y Actualización del Plan de Adaptación al Cambio Climático para Ciudades, aprobado mediante el decreto supremo Nº 40 (V. y U.), de 2024, específicamente en lo relativo a las medidas de mitigación al cambio climático;
12. Que, de conformidad con lo establecido en la resolución exenta Nº 655 (V. y U.), de 2025, y su modificación, en las líneas de Acondicionamiento Térmico Regular y PDA existen postulantes con proyectos calificados por el Servicio de Vivienda y Urbanización que no resultaron seleccionados en el proceso de postulación del año 2024 debido a que quedaron bajo el corte de los recursos disponibles, quienes conforman una cartera de proyectos de arrastre significativa para este ministerio, en adelante, "Cartera 2024", razón por la cual en el presente llamado se aplican condiciones especiales y recursos específicos para atender esta cartera de proyectos;
13. Que es necesario establecer condiciones especiales para los proyectos indicados en el resuelvo 3 de la resolución exenta Nº 655, (V. y U.), de 2025, y su modificación;
14. Que, el artículo 41 del decreto supremo Nº 58, de 1997, del Ministerio del Interior; que aprueba el texto refundido, coordinado y sistematizado de la Ley Nº 19.418, sobre Juntas de Vecinos y demás Organizaciones Comunitarias, establece en lo pertinente, que "Para su mejor funcionamiento, las juntas de vecinos podrán delegar el ejercicio de algunas de sus atribuciones en comités de vecinos y encomendar el estudio o la atención de asuntos específicos a comisiones formadas de su propio seno.
Los comités de vecinos y las comisiones a que se refiere el inciso anterior no podrán obtener personalidad jurídica y, en todo caso, su acción quedará sometida y limitada a la junta de vecinos respectiva".
15. Que, asimismo, el artículo 42 del decreto supremo ya referido establece, en lo pertinente, que "Las juntas de vecinos tienen por objetivo promover la integración, la participación y el desarrollo de los habitantes de la unidad vecinal. En particular, les corresponderá: 1.- Representar a los vecinos ante cualesquiera autoridades, instituciones o personas, para celebrar o realizar actos, contratos, convenios o gestiones conducentes al desarrollo integral de la unidad vecinal; razón por la que dicto la siguiente
Resolución:
1. Llámase a postulación en condiciones especiales a Proyectos de Eficiencia Energética e Hídrica para la Vivienda, correspondientes al Capítulo Cuarto, del Programa de Mejoramiento de Viviendas y Barrios regulado por el DS Nº 27, (V. y U.), de 2016, para la atención de las localidades urbanas de más de 5.000 habitantes situadas a lo largo del territorio nacional. Los tipos de proyectos a postular en el presente llamado son: Acondicionamiento Térmico Regular; Acondicionamiento Térmico de viviendas emplazadas en zonas con Planes de Descontaminación Atmosférica (PDA); Sistemas Solares Térmicos (SST) y Sistemas Fotovoltaicos, los que se distribuirán según la región:
1.1. Proyectos de Acondicionamiento Térmico Regular y PDA cartera 2024, Regiones del Maule, de Ñuble, del Biobío, de La Araucanía y de Los Lagos.
1.2. Proyectos de Acondicionamiento Térmico Regular en localidades desde la Región de Valparaíso hasta la región de Magallanes, según zonas térmicas especificadas en la Norma NCh 1079/2019, que no estén emplazadas en ciudades o zonas que tengan un PDA vigente.
1.3. Proyectos de Acondicionamiento Térmico PDA en localidades desde la Región de Valparaíso hasta la Región de Aysén, según zonas térmicas especificadas en la Norma NCh 1079/2019, emplazadas en ciudades o zonas que tengan un PDA vigente.
1.4. Proyectos de Eficiencia Energética e Hídrica, para la postulación de Sistemas Solares Térmicos (SST) y Sistemas Fotovoltaicos (SFV), en localidades desde la Región de Arica y Parinacota hasta la Región de Los Lagos.
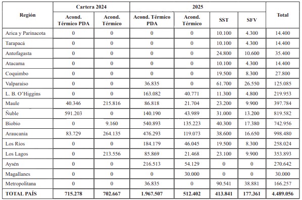
2. Los recursos máximos disponibles para efectuar las selecciones de beneficiarios serán los señalados en el siguiente cuadro, los cuales se podrán ajustar, redistribuir, incrementar o complementar a fin de garantizar la asignación total de los recursos disponibles. No obstante, previo a la emisión de la resolución de selección, se deberá validar el monto disponible, por eventuales asignaciones directas que se hayan cursado.

3. Establécense las siguientes condiciones especiales y operativas generales para las postulaciones al presente llamado.
3.1. En postulaciones individuales: las personas postulantes deberán encontrarse hasta el tramo del 60% de Clasificación Socio Económica (C.S.E.) del Registro Social de Hogares (RSH) y hasta el 90% del RSH en el caso de proyectos de la Región de Magallanes.
3.2. En postulación grupal: a lo menos el 60% de los postulantes que integran el grupo deben pertenecer hasta al 60% del RSH y en la Región de Magallanes, al menos el 90% de los postulantes que integran el grupo debe pertenecer al 90% más vulnerable del RSH.
3.3. Las postulaciones grupales deberán ser de un mínimo de 10 y un máximo de 70 postulantes.
3.4. La vigencia de los subsidios será de 24 meses.
3.5. Los proyectos tendrán un plazo de hasta 90 días para el inicio de obras, en reemplazo del plazo señalado en el artículo 50 del DS Nº 27 (V. y U.), con excepción de proyectos de Acondicionamiento Térmico Regular o PDA que realicen obras de retiro de asbesto en techumbre; requieran permiso de edificación de la DOM; les corresponde que la Fiscalización Técnica de Obras sea realizada por el SERVIU en cumplimiento con lo señalado en el artículo 38 del D.S. Nº 27 y/o se encuentren desde la Región de Ñuble hasta la Región de Magallanes, en cuyo caso, dichos proyectos tendrán un plazo de inicio de obras de hasta 150 días. En casos debidamente justificados por motivos de fuerza mayor, distintos a los ya mencionados.
3.6. Las Viviendas Objeto del presente llamado corresponde a las Viviendas Objeto del Programa señaladas en las letras a., b. y c. del artículo 4 del DS Nº 27 (V. y U.), de 2016, aplicando además las siguientes condiciones especiales y requisitos:
a) El valor del avalúo fiscal de las viviendas objeto del Resolución 1538 EXENTA,
VIVIENDA
N° 1, 1.2
D.O. 24.10.2025presente llamado, al que se refiere la letra c. de Viviendas Objeto del programa mencionadas en el artículo 4 del DS Nº 27 (V. y U.), de 2016, podrá ser igual o inferior a 1.375 UF, calculados al valor de la UF del 1º de enero de 2025, considerando el costo del terreno y de las construcciones. En el caso de la Región de Magallanes, podrá ser igual o inferior a 1.500 UF.
VIVIENDA
N° 1, 1.2
D.O. 24.10.2025presente llamado, al que se refiere la letra c. de Viviendas Objeto del programa mencionadas en el artículo 4 del DS Nº 27 (V. y U.), de 2016, podrá ser igual o inferior a 1.375 UF, calculados al valor de la UF del 1º de enero de 2025, considerando el costo del terreno y de las construcciones. En el caso de la Región de Magallanes, podrá ser igual o inferior a 1.500 UF.
b) Las viviendas deben contar con certificado de recepción final otorgado por la DOM.
Tratándose de postulantes que se encuentren impedidos deResolución 1538 EXENTA,
VIVIENDA
N° 1, 1.3
D.O. 24.10.2025 acreditar el certificado de recepción definitiva, debido a que la DOM respectiva lo hubiere extraviado, perdido o destruido por motivos de fuerza mayor, dicho certificado podrá ser reemplazado por un Certificado emitido por la DOM que acredite la ausencia del documento y en el que deberá constar la fecha de recepción de las obras. De no constar la fecha, excepcionalmente para estos casos, se podrá complementar el documento emitido por la DOM, con el Certificado de Avalúo Fiscal que detalle el año de construcción de la edificación respectiva.
VIVIENDA
N° 1, 1.3
D.O. 24.10.2025 acreditar el certificado de recepción definitiva, debido a que la DOM respectiva lo hubiere extraviado, perdido o destruido por motivos de fuerza mayor, dicho certificado podrá ser reemplazado por un Certificado emitido por la DOM que acredite la ausencia del documento y en el que deberá constar la fecha de recepción de las obras. De no constar la fecha, excepcionalmente para estos casos, se podrá complementar el documento emitido por la DOM, con el Certificado de Avalúo Fiscal que detalle el año de construcción de la edificación respectiva.
c) Las viviendas deberán contar con Permiso de Edificación Municipal otorgado en las siguientes fechas según el tipo de proyecto.
i. En proyectos de Acondicionamiento Térmico regular: hasta el 31 de diciembre de 2007.
ii. En el caso de postular a proyectos de Acondicionamiento Térmico PDA: hasta el 31 de diciembre de 2009.
iii. En el caso de postular a proyectos de Acondicionamiento Térmico Regular o PDA en las Zona Térmica I, hasta el 31 de diciembre de 2015.
Lo que se acreditará presentando el certificado en la Carpeta del Proyecto y se verificará por el Serviu en la etapa de Revisión y Calificación.
d) Excepcionalmente, tratándose de viviendas que Resolución 1538 EXENTA,
VIVIENDA
N° 1, 1.4
D.O. 24.10.2025cuenten con un permiso de edificación emitido con posterioridad a las fechas señaladas precedentemente, podrán postular al llamado, siempre y cuando acrediten que no hayan aplicado el artículo 4.1.10 de la OGUC vigente al momento de su edificación, mediante documentación formal como el Permiso de Edificación; el certificado de Recepción Final; el Certificado de Regularización u otro documento emitido por la DOM correspondiente, que indique expresamente la condición señalada, o bien contar con un informe técnico complementario de la Entidad Patrocinante que demuestre la insuficiencia térmica de la vivienda, el cual Serviu apruebe durante la etapa de Revisión y Calificación de los proyectos, para lo cual podrá solicitar antecedentes adicionales.
VIVIENDA
N° 1, 1.4
D.O. 24.10.2025cuenten con un permiso de edificación emitido con posterioridad a las fechas señaladas precedentemente, podrán postular al llamado, siempre y cuando acrediten que no hayan aplicado el artículo 4.1.10 de la OGUC vigente al momento de su edificación, mediante documentación formal como el Permiso de Edificación; el certificado de Recepción Final; el Certificado de Regularización u otro documento emitido por la DOM correspondiente, que indique expresamente la condición señalada, o bien contar con un informe técnico complementario de la Entidad Patrocinante que demuestre la insuficiencia térmica de la vivienda, el cual Serviu apruebe durante la etapa de Revisión y Calificación de los proyectos, para lo cual podrá solicitar antecedentes adicionales.
e) Viviendas emplazadas en zonas con PDA, aunque hubieran obtenido un subsidio de acondicionamiento térmico PPPF hasta el año 2009. En el caso de las viviendas de la comuna de Valdivia se permitirá postular viviendas con este tipo de subsidios otorgados hasta el año 2011.
f) Las viviendas deberán tener una antigüedad mínima de cinco años, contados desde la fecha de recepción final emitida por la Dirección de Obras Municipales.
Tratándose de viviendas que hubieren obtenido Resolución 1538 EXENTA,
VIVIENDA
N° 1, 1.5
D.O. 24.10.2025recepción de obras mediante la ley Nº 20.898, citada en el visto 33 de la presente resolución, y en atención a que las construcciones regularizadas corresponden a inmuebles construidos hasta el 2016, podrán postular aunque el Certificado de Recepción de Obras haya sido otorgado en los últimos cinco años.
VIVIENDA
N° 1, 1.5
D.O. 24.10.2025recepción de obras mediante la ley Nº 20.898, citada en el visto 33 de la presente resolución, y en atención a que las construcciones regularizadas corresponden a inmuebles construidos hasta el 2016, podrán postular aunque el Certificado de Recepción de Obras haya sido otorgado en los últimos cinco años.
El puntaje que se asigne por concepto de antig¼edad de la vivienda, a que se refiere el numeral 9.1 del resuelvo 9 de la presente resolución, corresponderá al año en que se haya otorgado la recepción de obras por parte de la DOM, lo que deberá ser verificado por el Serviu respectivo, en la etapa de revisión del proyecto.
g) No son viviendas objeto del presente llamado, las viviendas que conforman copropiedades de tipo A, de conformidad a la definición establecida en el literal c) del artículo 1 de la Ley 21.442, sobre Copropiedad Inmobiliaria.
3.7. Los proyectos que se ejecuten en viviendas sociales deberán emplear el Crédito Especial para Empresas Constructoras (C.E.E.C.), equivalente al 3,09% y aplicar dicha rebaja del IVA al presupuesto, según las condiciones que le sean aplicables. Para ello siempre se requerirá el ingreso de un Certificado de Vivienda Social emitido por la DOM.
3.8. Además de los documentos señalados en los artículos 45, 47, 54, del DS Nº 27, (V. y U.), de 2016, el contratista podrá entregar un Certificado de Fianza pagadero a su solo requerimiento, emitido por una Institución de Garantía Recíproca regida por la Ley Nº 20.179, clasificada en categoría A en el Registro respectivo que lleva la Comisión para el Mercado Financiero (CMF) que cumpla con los mismos requisitos exigidos para la boleta bancaria de garantía. A su vez, en estos casos, conforme lo dispone el inciso segundo del Artículo 18 de la ley Nº 20.179, corresponderá al solicitante acompañar copia del informe favorable de evaluación, del año en curso, emitido por una entidad independiente de la sociedad especializada en la materia, denominadas "Firmas Evaluadoras de Instituciones de Garantía Recíproca", las que deben encontrarse inscritas en la citada CMF, todo lo anterior en conformidad a lo dispuesto en la Circular Nº 1 de 2007 y sus modificaciones, que fija normas para estas instituciones, emitida por la Superintendencia de Bancos e Instituciones Financieras, hoy CMF.
3.9. Lo señalado en el inciso segundo del artículo 38 del DS Nº 27 (V. y U.), de 2016, respecto de la Fiscalización Técnica de Obras para obras por parte del SERVIU, aplicará en proyectos cuyo monto supere las 11.000 UF. En postulaciones grupales, cada grupo es un proyecto y para la definición de este monto se considerará sólo el monto de obras asociado al proyecto.
3.10. En el caso de los proyectos de Acondicionamiento Térmico Regular y PDA, además de cumplir con las definiciones técnicas señaladas en el resuelvo 7 de la presente resolución, se deberá aplicar lo dispuesto en el itemizado técnico del Capítulo Segundo, regulado por la resolución exenta Nº 852 (V. y U.), de 2020, señalada en el visto 22 de la presente Resolución, respecto de aquellos elementos no contemplados en los instrumentos técnicos respectivos.
3.11. En la aplicación de lo indicado en el numeral 2 del artículo 34 del DS Nº 27, (V. y U.), de 2016, respecto de los productos de Asistencia Técnica que no han sido ejecutados, no se considerarán aquellos que se encuentran en esta condición debido a que no se ha producido el pronunciamiento de entidades públicas externas al Serviu, como las Direcciones de Obras Municipales, Secretaría Regional Ministerial de Salud, entre otras, siempre y cuando la Entidad Patrocinante acredite que se encuentra en trámite la gestión correspondiente.
Corresponderá al Serviu respectivo modificar, ajustar y Resolución 1538 EXENTA,
VIVIENDA
N° 1, 1.6
D.O. 24.10.2025adaptar los formatos de acreditaciones cuando corresponda; en cumplimiento a las condiciones y requisitos establecidos en el DS Nº 27 (V. y U.), de 2016; en la presente resolución que regula el Llamado a postulación año 2025; en la resolución exenta Nº 1.237 (V. y U.), de 2019; y la resolución exenta Nº 490 (V. y U.), de 2023; debiendo poner a disposición de los postulantes el formato respectivo.
VIVIENDA
N° 1, 1.6
D.O. 24.10.2025adaptar los formatos de acreditaciones cuando corresponda; en cumplimiento a las condiciones y requisitos establecidos en el DS Nº 27 (V. y U.), de 2016; en la presente resolución que regula el Llamado a postulación año 2025; en la resolución exenta Nº 1.237 (V. y U.), de 2019; y la resolución exenta Nº 490 (V. y U.), de 2023; debiendo poner a disposición de los postulantes el formato respectivo.
Sin perjuicio de lo señalado, y en atención a lo establecido en el considerando número 4 de la presente resolución, tratándose de postulantes que hubieren participado en el proceso de postulación del año 2024, cuyos proyectos ya fueron preparados por las Entidades Patrocinantes, los formatos podrán corresponder a los utilizados en el proceso anterior.
4. Establécense los siguientes requisitos, eximiciones y condiciones especiales y regulaciones operativas a los postulantes del presente llamado:
4.1. Del ahorro señalado en el artículo 97 del DS Nº 27 (V. y U.), de 2016, cumpliendo con lo estipulado en los artículos 15, 16, 17, 18, 19 y 20, bajo las siguientes condiciones:
a) Están exentos de aportar ahorro los postulantes de 60 o más años dentro del año calendario del llamado; postulantes con discapacidad según el RSH; así como aquellos que se encuentren dentro del 80% de la población más vulnerable del país, según el RSH.
b) Aquellos postulantes que no posean alguna de las condiciones señaladas en el numeral precedente, deberá acreditar un ahorro de 3 U.F.
c) En el caso de proyectos de Acondicionamiento Térmico en la Región de Magallanes, el ahorro mínimo exigido será de 1,5 UF.
d) En aquellos casos en que el ahorro esté exento o sea rebajado, como el caso de Magallanes, el monto del subsidio base se incrementará en 3 UF o 1,5 UF, respectivamente.
e) La constructora podrá girar el ahorro de las familias una vez iniciadas las obras del grupo postulante, siempre y cuando entregue al SERVIU una garantía por el monto girado. En caso de que el beneficiario renuncie al subsidio sin que se haya comenzado la obra en su vivienda, la empresa constructora deberá restituir al beneficiario el total del ahorro girado de su cuenta, en un plazo máximo de 1 mes desde que el SERVIU apruebe la renuncia. En caso de no devolverlo, el SERVIU hará efectiva la garantía completa para reponer dicho ahorro.
4.2. De lo establecido en el artículo 8 del DS Nº 27, (V. y U.), de 2016, respecto de la imposibilidad de volver a postular a un mismo tipo de obras, a aquellos postulantes cuya vivienda sea objeto del llamado y que hayan obtenido un subsidio de acondicionamiento térmico de la vivienda en el marco del Programa de Protección del Patrimonio Familiar hasta el año 2009.
4.3. Del Diagnóstico Técnico Constructivo. Los postulantes deberán presentar un Informe Técnico de su vivienda a intervenir, elaborado e ingresado por la Entidad Patrocinante en la plataforma SURVEY 123, el cual deberá ser suscrito por un profesional competente en la materia, en reemplazo del Diagnóstico Técnico Constructivo (D.T.C.) establecido en el literal 3, letra a, del artículo 27 del DS Nº 27, (V. y U.), de 2016. Dicho Informe Técnico se encuentra descrito en anexo 1 de la presente resolución.
4.4. En el caso de proyectos de Acondicionamiento Térmico PDA, de lo establecido en el numeral 6 del artículo 79, del DS Nº 27, (V. y U.), de 2016, referido a ser propietario o asignatario de la vivienda del postulante, en cuyo caso el postulante podrá:
a) Presentarse a la postulación en calidad de arrendatario u otro ocupante de la vivienda a título oneroso o gratuito, en cuyo caso deberá presentarse una declaración jurada simple del propietario de la vivienda en la que señale la calidad de propietario, su autorización a la postulación y a la aplicación del subsidio en su vivienda en caso de resultar seleccionada y que no subirá el valor del arriendo por motivo de las mejoras realizadas a la vivienda. La identificación del propietario de la vivienda deberá estar señalada en el Informe Técnico referido en la letra b) precedente. En este caso, el propietario de la vivienda no podrá poseer más de dos viviendas.
b) Presentarse a la postulación en calidad de comodatario de la vivienda, siempre que se trate de una vivienda SERVIU.
4.5. En el caso de proyectos de Acondicionamiento Térmico Regular, de lo establecido en el numeral 6 del artículo 79, del DS Nº 27, (V. y U.), de 2016, referido a ser propietario o asignatario de la vivienda del postulante, podrán postular personas comodatarias de la vivienda, siempre que se trate de una vivienda SERVIU.
4.6. En el caso de proyectos de Acondicionamiento Térmico PDA, de lo establecido en el numeral 7 del artículo 79 del DS Nº 27, (V. y U.), de 2016, referido a que ni el postulante, ni su cónyuge, conviviente civil o conviviente, podrán ser propietarios o asignatarios de otra vivienda, por lo que se autoriza la postulación de familias con más de una vivienda, siempre que la vivienda que integra el proyecto corresponda a la que el postulante y su grupo familiar habita, según la dirección del Registro Social de Hogares.
4.7. En el caso de postulaciones grupales, la representación del grupo a la que se refiere el numeral 9 del artículo 79 del DS Nº 27, (V. y U.), de 2016, podrá ser acreditada bajo las siguientes modalidades.
a) Representación mediante la Junta de Vecinos de la unidad vecinal donde se emplazan las viviendas del grupo, la cual deberá tener su personalidad jurídica vigente. En este caso, quien ejerce la presidencia de la junta de vecinos, actuará como representante legal del grupo para todos los efectos.
La Junta de Vecinos, podrá representar a más de un grupo en el mismo proceso de postulación, para lo cual, haciendo uso de las facultades que le otorgan los artículos 41 y 42 de la Ley 19.418, citada en el visto 2, deberá conformar, con el apoyo de la Entidad Patrocinante, "comités de vecinos" integrados totalmente por los postulantes del grupo, los cuales no tendrán personalidad jurídica. Asimismo, para cada "comité de vecinos", se deberá identificar dos delegados del grupo que actuarán como contraparte la Entidad Patrocinante y el SERVIU.
b) Representación mediante organización social funcional con personalidad jurídica vigente. Este tipo de organización solo podrá representar a un grupo postulante en un mismo proceso de postulación. Quien ejerce la presidencia de la organización actuará como representante legal de este para todos los efectos y los integrantes del grupo deberán ser socios de la organización. En el caso de que quien ejerza la presidencia de la organización no forme parte del grupo postulante, se deberá identificar a dos delegados que, junto con el representante legal de la organización, serán contraparte de la Entidad Patrocinante y el SERVIU.
c) De conformidad con lo señalado en el Resolución 1538 EXENTA,
VIVIENDA
N° 1, 1.7
D.O. 24.10.2025considerando 12 de la presente resolución, en el caso de los proyectos correspondientes a la 'Cartera 2024', los grupos podrán postular con las mismas condiciones de representación legal con que hubieren obtenido la aprobación del Serviu el año 2024.
VIVIENDA
N° 1, 1.7
D.O. 24.10.2025considerando 12 de la presente resolución, en el caso de los proyectos correspondientes a la 'Cartera 2024', los grupos podrán postular con las mismas condiciones de representación legal con que hubieren obtenido la aprobación del Serviu el año 2024.
4.8. De lo establecido en el artículo 25 del D.S. N°27, (V. y U.), de 2016, referido a publicar los llamados a postulación en el Diario Oficial con al menos 30 días corridos de anticipación al inicio del proceso de digitación. Tomado en consideración el período de Digitación establecido en la tabla inserta en el resuelvo 17 de la presente resolución.
5. Establécense las siguientes condiciones para la aplicación del Informe Técnico exigido a los postulantes del presente llamado:
5.1. Todos los postulantes que presenten sus proyectos a postulación al presente llamado deberán contar con su respectivo Informe Técnico, el cual levanta información territorial y técnica de las viviendas a intervenir.
5.2. El Informe Técnico deberá ser ingresado por la Entidad Patrocinante en la Plataforma SURVEY 123 antes del cierre de la etapa de digitación de las postulaciones. Es responsabilidad de la Entidad Patrocinante ingresar el Informe Técnico asociado a la vivienda objeto de la postulación en la carátula "Informe Técnico Eficiencia Energética 2025" dentro del plazo indicado por la presente resolución y con todos los campos completos, con información verídica e individual, identificando correctamente la persona que postula y el emplazamiento de la vivienda que debe estar en concordancia con la dirección que contenida en el Formulario de Postulación del sistema informático dispuesto para tales efectos.
5.3 Serán inadmisibles aquellos postulantes para los cuales Resolución 1538 EXENTA,
VIVIENDA
N° 1, 1.8
D.O. 24.10.2025se identifique la existencia de alguna de las siguientes situaciones: postulante sin Informe Técnico, Informe Técnico ingresado después del plazo establecido y/o Informe Técnico incoherente con la información digitada en el sistema de postulación Rukan. Estos casos quedarán excluidos del proceso de postulación en la etapa de Habilitación o en la etapa en que se constate alguna de estas situaciones. Tratándose de Postulantes que presenten más de un Informe Técnico, se considerará el último informe ingresado a Survey 123 por la Entidad Patrocinante, siempre que se encuentre dentro de plazo.
VIVIENDA
N° 1, 1.8
D.O. 24.10.2025se identifique la existencia de alguna de las siguientes situaciones: postulante sin Informe Técnico, Informe Técnico ingresado después del plazo establecido y/o Informe Técnico incoherente con la información digitada en el sistema de postulación Rukan. Estos casos quedarán excluidos del proceso de postulación en la etapa de Habilitación o en la etapa en que se constate alguna de estas situaciones. Tratándose de Postulantes que presenten más de un Informe Técnico, se considerará el último informe ingresado a Survey 123 por la Entidad Patrocinante, siempre que se encuentre dentro de plazo.
5.4 El Informe Técnico incorpora una sección de "verificación territorial", que permite georreferenciar el emplazamiento de los proyectos y verificar que estos se ubiquen dentro de una localidad urbana con más de 5.000 habitantes, en caso de detectarse esta u otra inconsistencia territorial el o los proyectos serán inadmisibles.
5.5. Durante la primera visita a obra de la Fiscalización Técnica de Obra (FTO) se deberá verificar que el emplazamiento de la vivienda se ubique conforme al proyecto aprobado por SERVIU y a la dirección o coordenadas ingresadas en el informe técnico. En caso de que no coincidieran dichas ubicaciones reportadas respecto del emplazamiento físico de la obra, ello será causal de incumplimiento normativo pudiendo cursarse el artículo 62 del DS Nº 27 (V. y U.), de 2016.
6. Establécese que los postulantes y sus respectivos Resolución 1538 EXENTA,
VIVIENDA
N° 1, 1.9
D.O. 24.10.2025proyectos que integran la "Cartera 2024" objeto de atención y postulación al llamado que regula la presente resolución, corresponde a aquellos postulantes con proyectos de Acondicionamiento Térmico Regular y PDA calificados favorablemente por Serviu en el marco del llamado realizado mediante la resolución exenta Nº 815 (V. y U.), de 2024, citada en el visto 25 de la presente resolución, cuyas viviendas están emplazadas en localidades de más de 5.000 habitantes, cuentan con recepción municipal de su vivienda y que cumplieron con la revisión a la que se refiere el considerando 3 de la resolución exenta Nº 655 (V. y U.), de 2025, citada en el visto 32 de la presente resolución, los cuales no resultaron seleccionados por estar bajo el corte de la disponibilidad de recursos en las regiones del Maule, Ñuble, Biobío, La Araucanía y Los Lagos, para los cuales aplican las siguientes condiciones.
VIVIENDA
N° 1, 1.9
D.O. 24.10.2025proyectos que integran la "Cartera 2024" objeto de atención y postulación al llamado que regula la presente resolución, corresponde a aquellos postulantes con proyectos de Acondicionamiento Térmico Regular y PDA calificados favorablemente por Serviu en el marco del llamado realizado mediante la resolución exenta Nº 815 (V. y U.), de 2024, citada en el visto 25 de la presente resolución, cuyas viviendas están emplazadas en localidades de más de 5.000 habitantes, cuentan con recepción municipal de su vivienda y que cumplieron con la revisión a la que se refiere el considerando 3 de la resolución exenta Nº 655 (V. y U.), de 2025, citada en el visto 32 de la presente resolución, los cuales no resultaron seleccionados por estar bajo el corte de la disponibilidad de recursos en las regiones del Maule, Ñuble, Biobío, La Araucanía y Los Lagos, para los cuales aplican las siguientes condiciones.
6.1. En el formulario de Postulación, el domicilio del postulante debe corresponder a la dirección de la vivienda objeto del proyecto, por lo tanto, esta debe coincidir de manera exacta a la dirección registrada en el informe Técnico. No obstante, el domicilio en que se haya realizado el Registro Social de Hogares, podrá corresponder a uno distinto.
6.2. El proyecto mantiene la aprobación técnica otorgadaResolución 1538 EXENTA,
VIVIENDA
N° 1, 1.10
D.O. 24.10.2025 por el Serviu en las condiciones del llamado realizado por la resolución exenta Nº 815 (V. y U.), de 2024, salvo lo señalado en el resuelvo 6 y aplicando las demás exigencias del llamado.
VIVIENDA
N° 1, 1.10
D.O. 24.10.2025 por el Serviu en las condiciones del llamado realizado por la resolución exenta Nº 815 (V. y U.), de 2024, salvo lo señalado en el resuelvo 6 y aplicando las demás exigencias del llamado.
6.3. Los grupos postulantes deberán estar conformados únicamente por aquellas familias que cumplen con lo señalado en el resuelvo 6. precedente, por lo que no se permite la incorporación de nuevos postulantes.
6.4. Para efectos del cálculo del puntaje, el incremento por complejidad técnica asociado a la vulnerabilidad socioeconómica, según lo indicado en la tabla inserta en el numeral 7.6., del Resuelvo 7 y para la aplicación de la exención de ahorro, se considerará el tramo del RSH que registraba el postulante durante el proceso de postulación del año 2024.
6.5. Aquellos postulantes que en el marco del proceso de postulación del año 2024 hayan estado exentos de presentar RSH, mantienen esta eximición. No obstante, no se les asignará el puntaje asociado a las variables cuyo dato proviene de dicho instrumento de caracterización socioeconómica. En este caso, la dirección de la vivienda del proyecto que se considerará en el proceso será la registrada en el Informe Técnico.
6.6. Los postulantes deberán contar con el Informe Técnico en la plataforma SURVEY 123, en los términos señalados en el Resuelvo 5 de la presente Resolución.
6.7. Los postulantes, a través de su Entidad Patrocinante, deberán digitar nuevamente su postulación en el sistema RUKAN, asegurando la coherencia entre su postulación, el Informe Técnico y la Carpeta de Antecedentes solicitada para el ingreso al SERVIU respectivo.
6.8. El puntaje de postulación será recalculado, aplicándose para tales efectos las variables y criterios establecidos en el presente llamado.
6.9. Los montos correspondientes a la Asistencia Técnica y al FTO deberán ajustarse a los valores vigentes definidos en el presente llamado, conforme a lo dispuesto en las Resoluciones Exentas Nº 1.237 (V. y U.), de 2019 y Nº 490 (V. y U.), de 2023, y lo señalado en el numeral 10.1., del resuelvo 10 de la presente resolución.
6.10. En la Etapa de Ingreso de Proyecto, se deberán ingresar los siguientes documentos actualizados: Contrato de construcción, Convenio de Asistencia Técnica suscrito entre la Entidad Patrocinante y el postulante y el presupuesto del proyecto.
6.11. Se permitirá la postulación de arrendatarios a proyectos Acondicionamiento Térmico Regular y PDA, siempre que presenten una declaración jurada simple y que esta condición conste en el Informe Técnico, según lo indicado en la letra a) del numeral 4.3., del Resuelvo 4., de la presente resolución.
6.12. Se permitirá postular viviendas en zonas PDA que hayan recibido subsidio de acondicionamiento térmico mediante el Programa de Protección al Patrimonio Familiar hasta 2009. En la zona PDA de Valdivia, se aceptarán aquellas subsidiadas hasta 2011.
6.13. Exímase de lo señalado en el numeral 2 del artículo 34 del D.S. N°27 (V. y U.), de 2016, en atención a contar servicios y/o productos que no hayan sido ejecutados, respecto del D.S. N°255 (V. y U.), de 2006, cuya vigencia de subsidio se encuentre vencida y para los cuales no hubiere procedido el cierre administrativo de proyectos.
7. Establécense, adicionalmente, las siguientes condiciones específicas para la postulación de Proyectos de Acondicionamiento Térmico Regular y en Zonas de Planes de Descontaminación Atmosférica:
7.1. Respecto de las exigencias térmicas:
a) Proyectos de Acondicionamiento Térmico Regular: el proyecto diseñado por la Entidad Patrocinante deberá cumplir con las exigencias térmicas establecidas en el estándar contenido el anexo 2 de la presente resolución en lo relativo a la envolvente de la vivienda, el riesgo de condensación superficial o intersticial, las infiltraciones de aire y la ventilación, asegurando la coherencia técnica de las soluciones propuestas.
b) Proyectos de Acondicionamiento Térmico PDA: el proyecto diseñado por la Entidad Patrocinante deberá cumplir con las exigencias térmicas contenidas en los Planes de Descontaminación Atmosférica respectivos, aprobados mediante los decretos citados en los vistos 6, 7, 8, 9, 10, 11, 12, 13, 14, 15 y 16 de esta resolución. En el caso específico de las regiones Metropolitana y de Valparaíso se deberá dar cumplimiento con lo señalado en el anexo 2 y en el anexo 3, de la presente resolución, respectivamente.
7.2. Sobre el recambio de Calefactor. En Proyectos de Acondicionamiento Térmico en zonas PDA, el proyecto podrá incluir el recambio de calefactor de la vivienda cuando esta tenga calefacción a leña, para lo cual podrá optar al incremento "Recambio de calefactor". La garantía de esta obra estará contenida en la garantía a la que se refiere el Artículo 44 del DS Nº 27. No obstante, antes de devolver el instrumento financiero, la Entidad Patrocinante deberá acreditar la realización de a lo menos una mantención al equipo asegurando su buen funcionamiento.
7.3. Las características técnicas de los calefactores, así como las condiciones que deberán cumplir las empresas proveedoras, serán definidas mediante Resolución de la Secretaría Regional Ministerial de Vivienda y Urbanismo correspondiente. Dicha resolución deberá ser emitida dentro de un plazo de 15 días corridos contados desde la publicación en el Diario Oficial de la presente resolución de llamado, y establecerá las especificaciones técnicas de los equipos a instalar y los requisitos mínimos de las empresas proveedoras.
7.4. Sobre la regularización de viviendas. En caso de viviendas que, para cumplir con el objetivo del proyecto, se requiera la regularización de ampliaciones, el proyecto podrá aplicar el incremento "Regularización" señalado en el numeral 7 del artículo 78 del DS Nº 27 (V. y U.), de 2016, debiendo cumplir con las siguientes condiciones:
a) De haberse iniciado la regularización de la vivienda con anterioridad a la postulación al presente llamado, se deberá acreditar dicha gestión mediante el comprobante de ingreso del expediente a la DOM en la etapa de presentación de la carpeta de proyectos a SERVIU. En caso contrario, la EP deberá presentar una carta de compromiso en la Carpeta del Proyecto, donde se compromete a gestionar dicha regularización durante la vigencia del subsidio, indicando que ha evaluado su factibilidad normativa. Adicionalmente, antes del inicio de las obras, la Entidad Patrocinante deberá acreditar el ingreso del expediente de regularización en la DOM. correspondientes.
En caso de que la regularización proyectada contemple incrementos por Proyectos de Especialidades, conforme a lo establecido en el Capítulo Cuarto de la resolución exenta Nº 1.237 (V. y U.), de 2019, citada en el visto 19 de la presente resolución, estos serán validados por el SERVIU en la etapa de Revisión y Calificación, mediante un documento oficial emitido por la DOM que acredite dichas exigencias.
b) En la Región de Aysén, solo podrán postular viviendas existentes que ya hayan ingresado su expediente de regularización en la DOM. En dichos casos, SERVIU validará el cumplimiento de los requisitos de regularización los que se deberán adjuntar en la Carpeta del Proyecto en la etapa Presentación de los Proyectos.
c) Será requisito para el inicio de obras que la Entidad Patrocinante acredite ante el SERVIU haber obtenido el Permiso de Edificación y/o haber ingresado el expediente de regularización, según corresponda. En caso de no presentarlo y que las obras no inicien dentro del plazo normativamente establecido, aplicará lo señalado en el artículo 56 del DS Nº 27 (V. y U.), de 2016 respecto a la caducidad del subsidio.
d) Las obras y la gestión ante la DOM para la regularización deberán realizarse mientras el subsidio se encuentre vigente. Si la regularización no se realiza dentro de la vigencia del subsidio, no se pagará a la Entidad Patrocinante los honorarios por Asistencia Técnica.
7.5. El financiamiento de los proyectos de las familias postulantes se determinará en función de la Zona Térmica en que se emplaza el proyecto. Para identificar dicha zona, la localidad urbana a la que pertenece el proyecto, y si a esa localidad le corresponde subsidio por Acondicionamiento Térmico Regular o por Plan de Descontaminación Atmosférica (PDA), se debe revisar la información disponible en el sitio web del Ministerio de Vivienda y Urbanismo: https://www.minvu.gob.cl/beneficios/mejorar-vivienda-y-barrio/
En particular, deben consultarse los siguientes insumos: la tabla titulada "Localidades Urbanas de más de 5.000 habitantes – DS. 27" y, el visor titulado "Visor Áreas o localidades de más de 5.000 habitantes". Ambos instrumentos han sido elaborados con información emanada del Instituto Nacional de Estadísticas (INE), en base a los resultados del Censo 2017.
7.6. Los montos de subsidio serán los indicados en la siguiente tabla:

7.7. De acuerdo con lo dispuesto en el numeral 7 del artículo 78 y en el artículo 99 del DS Nº 27 (V. y U.), de 2016, y en el cuadro de montos de subsidio señalado anteriormente, aplican las siguientes definiciones de los incrementos de subsidio:

7.8. En el caso de proyectos cuyo costo total exceda el monto máximo de subsidio al que puede optar el postulante según sus características, considerando subsidio base e incrementos, los postulantes deberán cofinanciar la diferencia, mediante un aporte adicional, lo cual deberá ser declarado al momento de la digitación de la postulación y acreditado en la presentación del proyecto. Si el postulante resultase beneficiado, el Serviu, previo al inicio de las obras, deberá verificar que dichos recursos se encuentren disponibles. En caso contrario la persona quedará excluida de la selección, mediante la aplicación de lo señalado en el artículo 62 del DS Nº 27 (V. y U.), de 2016.
7.9. Adicionalmente a los antecedentes señalados en el numeral 3., del artículo 27., del DS Nº 27 (V. y U.), de 2016, se deberán ingresar los siguientes documentos, al momento de ingresar la Carpeta del Proyecto en la etapa de Presentación de los Proyectos para su revisión por parte de S ERVIU:
a) Fichas tipo con las soluciones constructivas a utilizar en la vivienda, las que serán puestas a disposición de las EP a través de los SERVIU o, en el caso de no utilizarse las fichas tipo, las EP podrán proponer soluciones constructivas alternativas, las cuales deberán dar cumplimiento a los estándares técnicos que establecen los anexos 2 y 3 de la presente Resolución.
Véase el anexo 4 "Fichas de Acondicionamiento Térmico Regular y PDA", en el cual se detallan las fichas tipo que deberán ser utilizadas según corresponda a cada caso.
a) Presupuesto detallado identificando partidas, el cual debe coincidir con el proyecto técnico que se presente a aprobación del SERVIU. El proyecto puede ser desarrollado a partir del presupuesto tipo que se debe aplicar al utilizar las fichas de soluciones constructivas, o en base a la tabla de costos de construcción, cuando las soluciones constructivas no obedezcan a las indicadas en las fichas.
8. Los proyectos de Eficiencia Energética destinados a la instalación de un Sistema Solar Térmico (SST) o de un Sistema Fotovoltaico (SFV) en la vivienda, deberán realizarse de acuerdo con las siguientes condiciones específicas:
8.1. Las características técnicas que deberán cumplir estos proyectos serán las que se señalan en el Itemizado Técnico de Energías Renovables, contenidos en la resolución exenta Nº 720 (V. y U.), de 2019, consignada en el visto 17.
8.2. Los montos máximos del subsidio base aplicables a estos tipos de proyectos se determinan en función de los tres grupos de comunas establecidos, conforme a la siguiente distribución:

Para identificar la agrupación de comuna a la que pertenece cada localidad urbana, se debe revisar la información disponible en el sitio web del Ministerio de Vivienda y Urbanismo señalada en el numeral 7.5., del resuelvo 7, precedente, de la presente Resolución.
8.3. La garantía exigida en el artículo 44, del DS Nº 27 (V. y U.), en el caso específico de los proyectos de Sistema Solar Térmico (SST) debe tener una vigencia que exceda al menos en 2 años la fecha de pago del subsidio. Dicha garantía se devolverá previa certificación por el SERVIU de que los Sistemas están operando adecuadamente y que se efectuó a lo menos una mantención al equipo asegurando su buen funcionamiento. La mantención deberá ser realizada por el contratista que instaló el SST. En caso de que no se realice la mantención por el contratista, SERVIU deberá ejecutar la garantía y contratar un nuevo servicio de mantención para el SST.
9. Establécense las siguientes variables y categorías generales y específicas, según la tipología de proyecto, para el cálculo de los puntajes del presente llamado, en reemplazo de las señaladas en el artículo 80 y el artículo 101 del DS Nº 27 (V. y U.), de 2016.
9.1. Variables generales de puntaje aplicables a todos los tipos de proyectos.


9.2. Variable de puntaje específica para proyectos de Acondicionamiento Térmico PDA:

9.3. Variable de puntaje específica para proyectos de Sistemas Solares Térmicos:

9.4. Variable de puntaje para proyectos en Sistemas Fotovoltaicos:Resolución 1538 EXENTA,
VIVIENDA
N° 1, 1.11
D.O. 24.10.2025
VIVIENDA
N° 1, 1.11
D.O. 24.10.2025

9.5. Establécese que a aquellos postulantes a los que se refiere el resuelvo 3 de la resolución exenta Nº 655 (V. y U.), de 2025, citada en visto 32 de la presente resolución, se les adicionarán 100 puntos.
9.6. El puntaje total para la definición de la prelación de los postulantes corresponderá a la suma de los puntos obtenidos en cada una de las variables generales y específicas según el tipo de proyecto y en el caso de postulaciones grupales, se sumarán los puntajes individuales de cada postulante y su resultado se dividirá por el número total de postulantes del grupo.
9.7. Los puntos correspondientes a la variable "antigüedad de la vivienda" y a las variables señaladas en los numerales 9.3 y 9.4, precedentes, se aplicarán según la información entregada por la Entidad Patrocinante mediante el formulario de postulación en la etapa de Digitación y deberá ser acreditado por la EP y verificado por el SERVIU en la etapa de Revisión y Calificación. En el caso de no acreditarse o de haber inconsistencias, el proyecto será rechazado.
10. Los Servicios de Asistencia Técnica y de Fiscalización Técnica de Obras aplicables a los tipos de proyecto del presente llamado están regulados mediante la resolución exenta Nº 1.237 (V. y U.), de 2019 y sus modificaciones, y la resolución exenta Nº 490 (V. y U.), 2023, citadas en los vistos 19 y 20 de la presente resolución, respectivamente, considerando las siguientes condiciones.
10.1. Los montos base están ajustados conforme lo indicado en el considerando 5 de la presente Resolución y se encuentran resumidos en el siguiente cuadro.
10.2. Dentro de la Gestión Social de la Asistencia Técnica de los proyectos, se deberá realizar, además de lo establecido en la resolución exenta Nº 1.237 (V. y U.) de 2019, para el Capítulo IV, reuniones informativas a los beneficiarios con los siguientes contenidos adicionales, según el proyecto que se señala a continuación:
a) Sistema Solar Térmico.
i. Nociones básicas del Sistema Solar Térmico.
ii. Uso eficiente de la instalación solar térmica.
iii. Catálogo de cuidado y mantención del Sistema Solar Térmico.
b) Acondicionamiento Térmico Regular y PDA.
i. Nociones básicas de acondicionamiento térmico.
ii. Uso eficiente de la energía.
iii. Cuidado y mantención de la vivienda.
iv. Ventilación de la vivienda.
v. Calefacción.
vi. Producción de vapor de agua al interior de la vivienda.
c) Calefactor eficiente en proyectos PDA.
i. Nociones básicas del funcionamiento del calefactor y sus características.
ii. Catálogo de cuidado y mantención del calefactor.
iii. Uso eficiente del calefactor.
11. En todos los casos corresponderá al SERVIU verificar el cumplimiento de los requisitos para aprobar el pago de los recursos de Asistencia Técnica, es decir que los productos y servicios se encuentren ejecutados, incluidos los de la regularización de la vivienda en los casos que corresponda. El monto definitivo para pagar a la EP corresponde determinarlo a SERVIU, debiendo verificar que los honorarios aprobados guardan relación con las obras ejecutadas y las labores desempeñadas.
12. En el presente llamado, podrán prestar Servicios de Asistencia Técnica, Profesionales Independientes con Convenio SERVIU-Profesional Independiente vigente, inscritos en el Registro Nacional de Consultores del Minvu, habilitados según lo establecido en el artículo 17 de la Ley General de Urbanismo y Construcciones, conforme lo indicado en el artículo 34 del DS Nº 27 (V. y U.), de 2016, quienes también deberán suscribir el contrato de prestación de servicios de asistencia técnica con el o los postulantes.
13. Las EP y los Profesionales Independientes, podrán garantizar la prestación de los Servicios de Asistencia Técnica y FTO de diferentes proyectos mediante una misma garantía hasta por un máximo de 40 familias, ya sea postulación individual o grupal, siempre que correspondan a una misma región.
14. Respecto de la Tabla de Costos Unitarios a la que se refiere el artículo 4 del DS Nº 27 (V. y U.), de 2016, aplicará en el presente llamado aquella que se encuentre vigente al momento de la publicación de la presente resolución en el Diario Oficial.
15. El pago por la ejecución de obras se efectuará conforme a lo establecido en los artículos 51, 52, 53 y 54 del DS Nº 27 (V. y U.), de 2016. Sin embargo, en el caso del artículo 54, se autoriza a los Serviu para aplicar lo señalado en el numeral 2, de dicha disposición, respecto de entregar anticipos a cuenta del subsidio contra avance de obras, destinados a financiar la ejecución física de las obras, definiendo la cantidad de anticipos que se puedan otorgar, pudiendo llegar en total como máximo al 90% del precio del contrato. El avance físico de obras deberá acreditarse ante el SERVIU mediante un informe de la entidad que realiza la Fiscalización Técnica de Obras (FTO), en los términos indicados en el citado artículo.
16. En el caso de las condiciones de pago establecidas en el inciso segundo del artículo 51, podrán ser aplicadas, además de los casos ahí señalados, en aquellos proyectos que requieran recepciones u aprobaciones externas al finalizar las obras, tales como autorizaciones de la Superintendencia de Electricidad y Combustibles (SEC) en tramitaciones de TE1, TE4 o TC6 y autorizaciones del Ministerio de Salud, en el caso de retiro de elementos de asbesto cemento. En estos casos aplicará el mismo porcentaje señalado en el resuelvo 15 precedente.
17. Establécese que, de conformidad con las fases del proceso de postulación que regula el artículo 27 del DS Nº 27, (V. y U.), de 2016, el presente llamado a postulación considerará las siguientes etapas y plazos:
Para la implementación operativa del proceso señalado, se deberá tener en consideración lo siguiente:
17.1. Etapa digitación El ingreso del Informe Técnico en la Plataforma SURVEY 123 podrá realizarse hasta el cierre de la etapa Digitación de las Postulaciones y la digitación de la postulación deberá realizarse en los formularios habilitados en la plataforma RUKAN, según el tipo de proyecto.
En el marco del proceso de postulación, de acuerdo con lo señalado en el numeral 2 del artículo 27 del DS Nº 27, las Entidades Patrocinantes son responsables de introducir completa y correctamente al sistema informático de postulación la información de los postulantes y del proyecto, por lo que deben verificar que los datos y antecedentes entregados correspondan, ya que una vez que la postulación sea enviada, no existirá posibilidad de corregir la información debido a errores de digitación de la E.P., incluyendo los montos de subsidio y/o tipo de proyecto, entre otros.
17.2. Etapa Habilitación. En esta etapa, la División de Política Habitacional evaluará la admisibilidad de las postulaciones, considerando los antecedentes digitados en el Sistema Informático RUKAN, el Informe Técnico registrado en la plataforma SURVEY 123 y el Registro Social de Hogares.
A los proyectos admisibles se procederá a realizar al cálculo de puntajes, según las variables establecidas en la presente Resolución; se realizará una nómina según el orden de los postulantes en estricta prelación. Se identificarán las postulaciones que resulten hábiles para ingresar a revisión del SERVIU, según el número de proyectos susceptibles de ser seleccionados con los recursos disponibles en el presente llamado, además de una lista de espera, equivalente, como máximo, al 20% de los recursos disponibles para cada región en según el tipo de proyecto.
El objetivo de la lista de espera es reemplazar a aquellos proyectos que resulten excluidos del proceso de selección, según lo indicado en numeral 4 del artículo 27 del DS Nº 27 (V. y U.), de 2016, a fin de asegurar la completa asignación de los subsidios disponibles. No obstante, en caso de existir disponibilidad de recursos se podrá ampliar la selección a aquellos proyectos de la lista de espera que resulten calificados favorablemente por el SERVIU.
17.3. Validación de requisitos dentro de la etapa de Habilitación para determinar admisibilidad del proyecto.
a) Contar con Registro Social de Hogares (RSH) vigente.
b) Tramo del Registro Social de Hogares.
c) Contar con Informe Técnico válido, según Resuelvo 5 de la presente resolución.
d) Coincidencia de la localización de la dirección Resolución 1538 EXENTA,
VIVIENDA
N° 1, 1.12
D.O. 24.10.2025de la vivienda declarada en el Informe Técnico y la digitada en el formulario de postulación.
VIVIENDA
N° 1, 1.12
D.O. 24.10.2025de la vivienda declarada en el Informe Técnico y la digitada en el formulario de postulación.
e) Coherencia entre la información contenida en el Informe Técnico y la información del sistema informático.
f) Ubicación de la vivienda dentro de localidades urbanas de más de 5.000 habitantes.
g) Validaciones territoriales según la ubicación de la vivienda y el tipo del proyecto al que postula.
h) Acreditación del ahorro, según lo dispuesto en el numeral 4.1., resuelvo 4 del presente Llamado.
i) Antigüedad de la vivienda.
j) Avalúo fiscal.
k) Metros cuadrados de la vivienda.
l) Otros que apliquen.
17.4. Etapa presentación Carpeta de proyecto. Corresponde al ingreso de la Carpeta del Proyecto a SERVIU. Corresponderá a la Entidad Patrocinante hacer ingreso de la totalidad de la documentación correspondiente a su proyecto, en el plazo establecido. El incumplimiento esta medida dará origen a la exclusión del postulante del proceso de habilitación. Los antecedentes que conformar la Carpera del Proyecto corresponden a los indicados en el numeral 3 del artículo 27 del DS Nº 27 (V. y U.), de 2016, además de los siguientes:
a) Informe Técnico.
b) En caso de optar al incremento "Recambio de Calefactor", declaración jurada sobre el uso del sistema de calefacción a leña y registro fotográfico de respaldo.
c) En caso de postular a un proyecto con Sistema Fotovoltaico (SFV), deberá adjuntarse una declaración emitida por un profesional competente (ingeniero eléctrico clase A o B), que certifique que la instalación eléctrica interior existente es apta y segura para la implementación del sistema.
d) Permiso de Edificación.
e) Certificado de Recepción Final.
f) Certificado de Regularización u otro documento emitido por la DOM que acredite que la vivienda cumple con los requisitos para ser considerada objeto del programa.
g) Certificado de Avalúo Fiscal.
h) Documentación de exigencias específicas (proyecto sanitario, eléctrico u otros), en caso de haber sido solicitadas por la DOM para la regularización de la vivienda.
i) En caso de postular como arrendatario, declaración jurada simple y contrato de arriendo.
j) Declaración Jurada Simple (anexo 5): Podrá ser presentada en formato digital e incluirá: voluntad de postulación; conformidad con el proyecto, su presupuesto y partidas; y acreditación de propiedad de la vivienda postulada.
k) Fichas tipo o propuesta de soluciones constructivas alternativas que cumplan con los anexos 2 y 3, según corresponda al proyecto.
l) Presupuesto detallado coherente con el proyecto técnico y ajustado a fichas tipo o tabla de costos de construcción, según corresponda.
m) Fichas técnicas de los artefactos correspondientes a Sistema de Aporte Auxiliar (SSA)en proyectos de SST y Sistema Fotovoltaico (SFV), a fin de verificar el tipo de SSA y la Potencia mínima (1.000 Wp), lo cual debe coincidir con la información declarada en la etapa de Digitación.
17.5. Etapa de Revisión y Calificación de Proyectos. El proceso contemplará al menos una instancia de observaciones, quedando a discreción del SERVIU la cantidad de instancias que realizará. El SERVIU comunicará a la Entidad Patrocinante del proyecto las inconformidades detectadas y la fecha en que deberá reingresarse el proyecto subsanado. Si persistiesen inconformidades tras el reingreso, el SERVIU respectivo deberá excluir dicho proyecto del proceso de selección y comunicar dicha determinación a la Entidad Patrocinante.
Especialmente en los casos señalados en la letra d) del numeral 3.6., del resuelvo 3., el SERVIU podrá requerir en esta etapa, documentación adicional para verificar la condición de insuficiencia térmica de la vivienda postulante, con el fin de asegurar el cumplimiento técnico de los requisitos establecidos.
En esta instancia, el SERVIU deberá validar en base a los antecedentes presentados, la veracidad de la información declarada por la Entidad Patrocinante en la etapa de Digitación de las Postulaciones.
Finalmente, el SERVIU deberá realizar la calificación definitiva de los proyectos en el Sistema Informático respectivo, mediante la función denominada "habilidades", donde deberá registrar las postulaciones como "Aprobadas o Rechazadas", según sea el caso.
17.6. Proceso de selección. Una vez finalizada la etapa de Revisión y Calificación de los proyectos, el Minvu confeccionará las nóminas de los postulantes seleccionados, junto con sus respectivos proyectos, para su publicación oficial.
Durante este período y previo a la emisión de la resolución de selección, se realizará una cuadratura de los montos de cada proyecto, procedimiento que estará regulado mediante indicaciones emitidas a través del oficio al que se refiere el Resuelvo 18 de la presente resolución.
17.7. Delégase a la Secretaría Regional Ministerial de Vivienda y Urbanismo de la Región de Los Lagos lo señalado en el artículo 29 del DS Nº 27 (V. y U.), de 2016.
18. Delégase en el Jefe de la División de Política Habitacional, o quien lo subrogue, la facultad de modificar y comunicar mediante oficio circular, a las Secretarías Regionales de Vivienda y Urbanismo y Servicios de Vivienda y Urbanización correspondientes, las fechas de las fases del proceso de postulación; y la facultad de emitir mediante oficio circular, formatos e indicaciones para la aplicación práctica del presente llamado.
19. Los subsidios que se otorguen conforme a la presente resolución se imputarán a los recursos del año 2025 del Programa de Mejoramiento de Viviendas y Barrios, regulado por el DS Nº 27 (V. y U.), de 2016.
Anótese, publíquese y archívese.- Carlos Montes Cisternas, Ministro de Vivienda y Urbanismo.
Lo que transcribo para su conocimiento.- Vicente Burgos Salas, Subsecretario de Vivienda y Urbanismo (S).
ANEXO 1. Informe Técnico
1. Ingreso a Plataforma SURVEY 123: Se deberá acceder a la carátula titulada "Informe Técnico Eficiencia Energética 2025".
2. Validación territorial y datos generales: La primera sección del informe técnico identifica al postulante a través de su RUT y precisa la ubicación de la vivienda a través de la dirección y la geolocalización de dicha dirección, además de algunos otros datos de carácter socioeconómico de la familia y el grupo postulante. Se requerirá la siguiente información:
a) RUT.
b) Tipo de Proyecto.
c) Dirección de la Vivienda.
d) Ingreso Georreferenciación: Solo en caso de que la dirección no se logre encontrar en la base de datos de la Plataforma SURVEY 123 se podrá ingresar manualmente la ubicación, lo que se hará ingresando el punto geográfico en el centro geométrico de la propiedad.
e) Ubicación según Límite Urbano Censal (LUC) vigente: los proyectos que se encuentren afuera de LUC no será posible postularlos.
f) Zona habilitada para subsidio: De acuerdo a los territorios objetos del llamado se excluirán automáticamente aquellos territorios a los que no se pueda postular según línea de proyecto.
g) Tramo RSH.
h) Fecha de nacimiento.
i) Postulación individual o grupal.
j) Caracterización socioeconómica del grupo de atención postulante.
k) Otros datos adicionales.
3. Consideraciones Verificación Territorial: Con el objetivo de verificar territorialmente la ubicación de la vivienda, se deberá ingresar la siguiente información a la plataforma SURVEY 123:
a) Digitación de la dirección: Al momento de digitar el Informe Técnico en la Plataforma SURVEY 123, se debe considerar la dirección de la vivienda que se habita. Al ingresar la dirección en dicha Plataforma, se obtendrá la siguiente información: un punto en el mapa; una dirección con formato estructurado (por ejemplo: CALLE LOS SAUCES 1245, COMUNA DE TEMUCO, REGIÓN DE LA ARAUCANÍA, CHILE); las coordenadas exactas del emplazamiento de la vivienda (Latitud y Longitud).
b) Dirección no encontrada: En caso de que al digitar la dirección no arroje la ubicación real de vivienda se deberá ingresar manualmente la ubicación de la vivienda.
c) Inconsistencias territoriales: Las postulaciones con inconsistencias territoriales o fuera de los criterios de admisibilidad territorial serán rechazadas. Asimismo, en caso de detectarse que una dirección fue falseada y que corresponde a una dirección diferente, esta postulación también será rechazada.
d) Direcciones en la misma ubicación: No pueden existir en el presente llamado dos o más direcciones en la misma ubicación.
4. Presentación Informe Técnico: Para la etapa de Resolución 1538 EXENTA,
VIVIENDA
N° 1, 1.13
D.O. 24.10.2025presentación de los proyectos, la información contenida en el Informe Técnico será puesta a disposición por la División de Política Habitacional del Minvu, con objeto que los Serviu puedan revisar su contenido en concordancia con el resto de los antecedentes de la postulación. Dicho Informe Técnico contendrá una sección de identificación y validación territorial, una sección específica para cada tipo de proyecto, con sus requerimientos técnicos correspondientes.
VIVIENDA
N° 1, 1.13
D.O. 24.10.2025presentación de los proyectos, la información contenida en el Informe Técnico será puesta a disposición por la División de Política Habitacional del Minvu, con objeto que los Serviu puedan revisar su contenido en concordancia con el resto de los antecedentes de la postulación. Dicho Informe Técnico contendrá una sección de identificación y validación territorial, una sección específica para cada tipo de proyecto, con sus requerimientos técnicos correspondientes.
5. Presentación de Informe Técnico de acuerdo a las líneas de proyecto: A partir del tipo de proyecto que se seleccione, se desplegará una ventana por cada tipo de proyecto:
a) Informe de Calidad Térmica y Calefacción: Habitabilidad, confort térmico de la vivienda y pobreza energética.

b) Informe Pobreza Energética: Sistemas Solares Térmicos (SST) para Agua Caliente Sanitaria.

c) Informe Pobreza Energética: Sistemas Fotovoltaicos (SFV) para generación de electricidad.

ANEXO 2. Estándar Térmico
1. Estándar de la Envolvente Térmico por zona. Tabla de exigencias térmicas y alternativas de Acreditación Envolvente Térmica:

NOTA: Ver comunas y sus zonas térmicas en el anexo 4: Fichas de Acondicionamiento Térmico Regular y PDA
a) Mediante la especificación y colocación de un material aislante térmico, incorporado o adosado al complejo de techumbre, al complejo de muro o al complejo de piso ventilado, cuyo R100 mínimo rotulado cumpla con los valores establecidos en la tabla de inserta en la letra A. de este anexo, o el PDA correspondiente.
b) Mediante un Certificado de Ensaye en base a la Norma NCh 851, otorgado por un laboratorio con inscripción vigente en el Registro Oficial de Laboratorios de Control Técnico de Calidad de la Construcción del MINVU, demostrando el cumplimiento de la transmitancia o resistencia térmica total de la solución del complejo de techumbre, muro y piso ventilado.
c) Mediante cálculo, el que deberá ser realizado de acuerdo a lo señalado en las Normas NCh 853 y NCh 3117, según corresponda, demostrando el cumplimiento de la transmitancia o resistencia térmica total de la solución del complejo de techumbre, muro y piso ventilado. Dicho cálculo deberá ser efectuado por un profesional competente.
d) Mediante una solución constructiva específica para el complejo de techumbre, muro y piso ventilado que corresponda a alguna de las fichas presentes en Al Listado Oficial de Soluciones C onstructivas para Acondicionamiento Térmico del MINVU y de Soluciones Constructivas MINVU, según lo indicado en el Anexo 4: Fichas de Acondicionamiento Térmico Regular y PDA.
e) Corresponderá al profesional competente de la EP, informar la alternativa adoptada al momento del ingreso del proyecto al SERVIU.
f) Los proyectos deberán contemplar que la solución de aislación térmica de los muros se proyecte por la cara exterior del elemento, sin embargo, en aquellos casos que por razones constructivas esto no sea factible, el SERVIU podrá autorizar, excepcionalmente, soluciones constructivas alternativas.
2. Infiltraciones de Aire. Los proyectos de Acondicionamiento Térmico de viviendas existentes deberán controlar las infiltraciones de aire a través de la envolvente, incorporando las partidas de sellos en:
a) Encuentros entre marcos y vanos de puertas y ventanas.
b) Uniones de elementos de distinta materialidad.
c) Uniones de elementos de una misma materialidad.
d) Perforaciones de todas las instalaciones.
e) Encuentro de solera inferior con su elemento de soporte.
f) Encuentro de solera superior con el elemento que soporta.
g) Dispositivos de ventilación y extractores de aire.
h) Ductos de evacuación de gases.
i) Otros similares.
Alternativa de acreditación: Mediante la incorporación de la partida de "Control Infiltraciones de Aire" en las Especificaciones Técnicas y la presentación de las Fichas de Soluciones Constructivas de Hermeticidad MINVU (correspondientes a las soluciones constructivas del proyecto) según lo indicado en el anexo 4: Fichas de Acondicionamiento Térmico Regular y PDA.
3. Ventilación . Las viviendas deberán contar con un sistema de ventilación que garantice la calidad del aire interior, mediante la incorporación de un extractor de aire con control de higrostato, regulado al 65% de Humedad Relativa, en cada recinto de baño y cocina y dispositivos de ingreso de aire pasivos en cada recinto habitable.
Los extractores de aire deberán cumplir como mínimo con los caudales indicados a continuación, según el recinto donde se instalen:

Cada dormitorio, estar y comedor deberá contar con un dispositivo de ingreso de aire con una abertura de diámetro mínimo de 3 y, cuando incorpore filtro de MP (opcional) deberá ser de 4". Éstos deberán impedir el ingreso de insectos y de agua desde el exterior. Deberán ubicarse a una altura mínima de 1,8 m desde el NPT y a una distancia mínima de 3 m de una fuente de calor (equipos de calefacción fijos o cocinas) y de una fuente conocida de contaminación tales como chimeneas, respiraderos o campanas de extracción.
Los proyectos de ventilación se deberán ejecutar conforme a lo especificado en la Ficha de Ventilación "Ventilación. Solución Constructiva de Acondicionamiento Térmico" MINVU según lo indicado en el anexo 4: Fichas de Acondicionamiento Térmico Regular y PDA.
Lo anterior será acreditado por el profesional competente de la EP al momento del ingreso del proyecto al SERVIU, mediante la presentación de la Ficha de Ventilación MINVU "Ventilación. Solución Constructiva de Acondicionamiento Térmico" y las correspondientes Especificaciones Técnicas.
4. Ventanas. Para comprobar la Hermeticidad de las viviendas al paso del aire en puertas y ventanas, en los casos que lo requieran, esto será acreditado con Certificado de ensaye en base a NCh 3296 y NCh 3297 o utilizando las Fichas de puertas y ventanas Tipo de DITEC.
ANEXO 3. Estándar Térmico Región de Valparaíso
1. Estándar de la Envolvente Térmico por zona. Tabla de exigencias térmicas y alternativas de Acreditación Envolvente Térmica:

a) Mediante la especificación y colocación de un material aislante térmico, incorporado o adosado al complejo de techumbre, al complejo de muro o al complejo de piso ventilado, cuyo R100 mínimo rotulado cumpla con los valores establecidos en la tabla inserta en la letra A. de este anexo, o el PPDA correspondiente.
b) Mediante un Certificado de Ensaye en base a la Norma NCh 851, NCh 3076 parte 1 y parte 2, según corresponda, otorgado por un laboratorio con inscripción vigente en el Registro Oficial de Laboratorios de Control Técnico de Calidad de la Construcción del MINVU, demostrando el cumplimiento de la transmitancia o resistencia térmica total de la solución del complejo de techumbre, muro, piso ventilado y puerta.
c) Mediante cálculo, el que deberá ser realizado de acuerdo a lo señalado en las Normas NCh 853 y NCh 3117, NCh 3137 parte 1 y parte 2, según corresponda, demostrando el cumplimiento de la transmitancia o resistencia térmica total de la solución del complejo de techumbre, muro, piso ventilado y puerta. Dicho cálculo deberá ser efectuado por un profesional competente.
d) Mediante una solución constructiva específica para el complejo de techumbre, muro, piso ventilado o puerta, que corresponda a alguna de las Fichas presentes en el Listado Oficial de Soluciones Constructivas para Acondicionamiento Térmico del MINVU y de Soluciones Constructivas MINVU, según lo indicado en el anexo 4. Fichas de Acondicionamiento Térmico Regular y PDA.
e) Para acreditar el tipo de acristalamiento de las ventanas, en la Especificación Técnica del proyecto de arquitectura se deberá indicar el espesor de los cristales y el espesor del espaciador que componen el Doble Vidriado Hermético (DVH).
f) Corresponderá al profesional competente de la EP, informar la alternativa adoptada al momento del ingreso del proyecto al SERVIU.
g) Los proyectos deberán contemplar que la solución de aislación térmica de los muros se proyecte por la cara exterior del elemento, sin embargo, en aquellos casos que por razones constructivas esto no sea factible, el SERVIU podrá autorizar, excepcionalmente, soluciones constructivas alternativas.
2. Riesgo de condensación. Las soluciones constructivas de techumbre, muros perimetrales y pisos ventilados, que se adopten, deberán disminuir el riesgo de condensación superficial e intersticial.
Lo anterior, será acreditado por el profesional competente de la EP al momento del ingreso del proyecto al SERVIU, mediante el procedimiento de cálculo establecido en la NCh1973, considerando los criterios de cálculo que se señalan a continuación:
a) Período para el análisis correspondiente al mes de julio.
b) El análisis se debe realizar en dos secciones del elemento constructivo; la sección de menor resistencia térmica y la de mayor resistencia térmica.
c) Análisis del riesgo de condensación superficial e intersticial, para ambas secciones.
d) Temperatura del ambiente interior igual a 19ºC.
e) Humedad Relativa (HR) del ambiente interior: 65%, 75% y 80%.
f) Temperatura exterior igual a la temperatura media mínima para el mes de julio, de la provincia correspondiente.
g) Humedad relativa exterior: correspondiente a la HR asociada a la temperatura media mínima, para el mes de julio, de la provincia correspondiente.
3. Infiltraciones de aire. La envolvente térmica de las viviendas de los proyectos de acondicionamiento térmico deberá tener una clase de infiltración de aire igual o menor a la clase de infiltración señalada en la siguiente Tabla:

Asimismo, las puertas deberán tener una clase final de permeabilidad al aire, medido a 100Pa, igual o mayor a la señalada en siguiente tabla:

Para efectos de cumplir los estándares señalados en las tablas precedentes, se podrá optar por alguna de las siguientes alternativas:
a) Mediante un Certificado de Ensaye que acredite la clase de infiltración de aire de la vivienda, otorgado por un profesional competente o especialista, con inscripción vigente en el Registro de Consultores del MINVU, reglamentado por el DS Nº 135 (V. y U.), o por un laboratorio con inscripción vigente en el Registro Oficial de Laboratorios de Control Técnico de Calidad de la Construcción del MINVU, reglamentado por el DS Nº 10 (V. y U.), de 2002, efectuando a una vivienda o una muestra representativa de un conjunto de viviendas, en terreno, en base a la norma NCh3295. Para acreditar la Clase de Permeabilidad al aire de las puertas, mediante un Certificado de Ensaye en base a las Normas NCh3296 y NCh3297.
El ensaye en terreno se aplicará a una muestra representativa, una vez terminada la ejecución de la obra. El tamaño de la muestra a ensayar será el indicado en la siguiente tabla. Si el resultado de los ensayos alcanza la cantidad de "ítemes no conformes", se entenderá como rechazado y se deberá repetir el ensayo, el cual se aplicará a una muestra correspondiente al doble del tamaño indicado en la siguiente tabla para el tamaño del lote correspondiente.
Tamaño de la muestra de ensayo en terreno, según tamaño del lote y cantidad de ítemes no conformes.

El tamaño del lote y de la muestra, corresponden a las unidades de vivienda del proyecto y a las unidades de vivienda a ensayar, respectivamente. Los ítemes no conformes corresponden a la cantidad de muestras que no cumplen con el estándar definido en las tablas precedentes.
b) Mediante Especificaciones Técnicas. Para acreditar la clase de infiltración de aire máxima de la envolvente térmica se deberá especificar una solución constructiva determinada en la partida de sellos de las Especificaciones Técnicas, en:
i. Encuentros entre marcos y vanos de puertas y ventanas.
ii. Uniones de elementos de distinta materialidad.
iii. Uniones de elementos de una misma materialidad.
iv. Perforaciones de todas las instalaciones.
v. Encuentro de solera inferior con su elemento de soporte.
vi. Encuentro de solera superior con el elemento que soporta.
vii. Dispositivos de ventilación y extractores de aire.
viii. Ductos de evacuación de gases.
ix. Otros similares.
Se deberá incorporar la partida de "Control Infiltraciones de Aire" en las Especificaciones Técnicas y la presentación de las Fichas de Soluciones Constructivas de Hermeticidad MINVU (correspondientes a las soluciones constructivas del proyecto) según lo indicado en el anexo 4: Fichas de Acondicionamiento Térmico Regular y PDA.
c) Adopción de un elemento constructivo de puerta que corresponda a alguna de las soluciones inscritas en el Listado Oficial de Soluciones Constructivas para Acondicionamiento Térmico, confeccionado por el MINVU, que demuestre el cumplimiento del estándar señalado en la tabla respectiva.
4. Ventilación. Las viviendas deberán contar con un sistema de ventilación que garantice la calidad del aire interior. El proyecto de ventilación debe ser diseñado en base a los caudales mínimos definidos en las Normas NCh3308 y NCh3309, según corresponda. El sistema de ventilación deberá considerar dispositivos de entrada de aire natural o mecánica y extracción mecánica, en baños y cocina, con control de higrostato.
El proyecto de ventilación será acreditado según todas las consideraciones indicadas en el párrafo anterior y deberá ser presentado por la EP o responsable del proyecto al momento del ingreso al SERVIU.
Acreditación: Lo anterior será acreditado por el profesional competente de la EP al momento del ingreso del proyecto al SERVIU, mediante la presentación de la Ficha de Ventilación MINVU "Ventilación. Solución Constructiva de Acondicionamiento Térmico" y las correspondientes Especificaciones Técnicas.
ANEXO 4. Fichas de Acondicionamiento Térmico Regular y PDA
1. Acreditación de exigencias mediante Fichas MINVU. Para acreditar las exigencias de acondicionamiento térmico en techo, muros y pisos ventilados mediante la alternativa de "Fichas de Soluciones Constructivas MINVU" se deberán utilizar las fichas PDA que se encuentren en la zona térmica de emplazamiento del proyecto. En el caso de no existir un PDA vigente en la zona térmica se deberán utilizar las fichas que se indican en la siguiente Tabla 1, para cada Zona Térmica de emplazamiento del proyecto.
Tabla 1. Fichas soluciones techo, muros y pisos ventilados PDA MINVU según Zona Térmica:

Para acreditar las exigencias de Hermeticidad, en proyectos que se emplacen en Zonas Térmicas o Provincias donde no existe un PDA vigente, se deben utilizar las Fichas de "Soluciones de Hermeticidad" correspondientes al PDA de Osorno, según lo indicado en la Tabla 2.
Tabla 2. Fichas Soluciones de Hermeticidad PDA MINVU según Provincia y Zona Térmica:

Las "Fichas de Soluciones Constructivas MINVU" se encuentran disponibles en:
https://www.minvu.gob.cl/ditec/
ANEXO 5. Declaración Jurada
PROGRAMA DE MEJORAMIENTO DE VIVIENDAS Y BARRIOS (HOGAR MEJOR) DS Nº 27 (V. y U.) de 2016, CAPÍTULO IV: PROYECTOS PARA LA VIVIENDA
DECLARACIÓN JURADA Y FORMULARIO DE APROBACIÓN Y ACEPTACIÓN PARA POSTULACIÓN
YO,............................................(nombre completo)
RUT...............(número de RUT), Estado civil:...............(mencionar), con Domicilio en:
................ (agregar domicilio), con fecha................. declaro bajo juramento que:
. Soy (Propietario-asignatario- otra forma de tenencia) de la propiedad ubicada en (dirección) Villa............... (nombre de Villa), comuna de (Nombre de la comuna), Región ....................
. Leí el formulario "Declaración Jurada Simple de Tenencia de la Vivienda" y el documento "Mandato cuenta de ahorro" provisto por la Entidad Patrocinante y apruebo su contenido.
. No poseo beneficio anterior con las partidas que se postulan en este proyecto.
. No soy propietario de otra vivienda
. Apruebo el comprobante de postulación del sistema RUKAN o Umbral (dependiendo del caso).
. Apruebo el presupuesto del proyecto a realizarse en mi vivienda que me fue presentado por la EP (y sus especificaciones técnicas asociadas, además de los incrementos de subsidios de................................... (mencionarlos) a los que postulo, si es que corresponde).
. Apruebo el Contrato de Construcción de mi proyecto.
. Afirmo mi voluntad para participar de este Llamado.
. Fui informado sobre las características, derechos y deberes de este tipo de subsidio.
. Acepto ser postulado a través de vía digital.
Firma
Nombre de Postulante
Rut Postulante
